Experimental Investigation on Thermal Performance of Vapor Chambers with Diffident Wick Structures
Abstract
:1. Introduction
2. Experimental System and Method
2.1. VCs with Different Wick Structures
2.2. Experimental System
2.3. Data Analysis
3. Results and Discussion
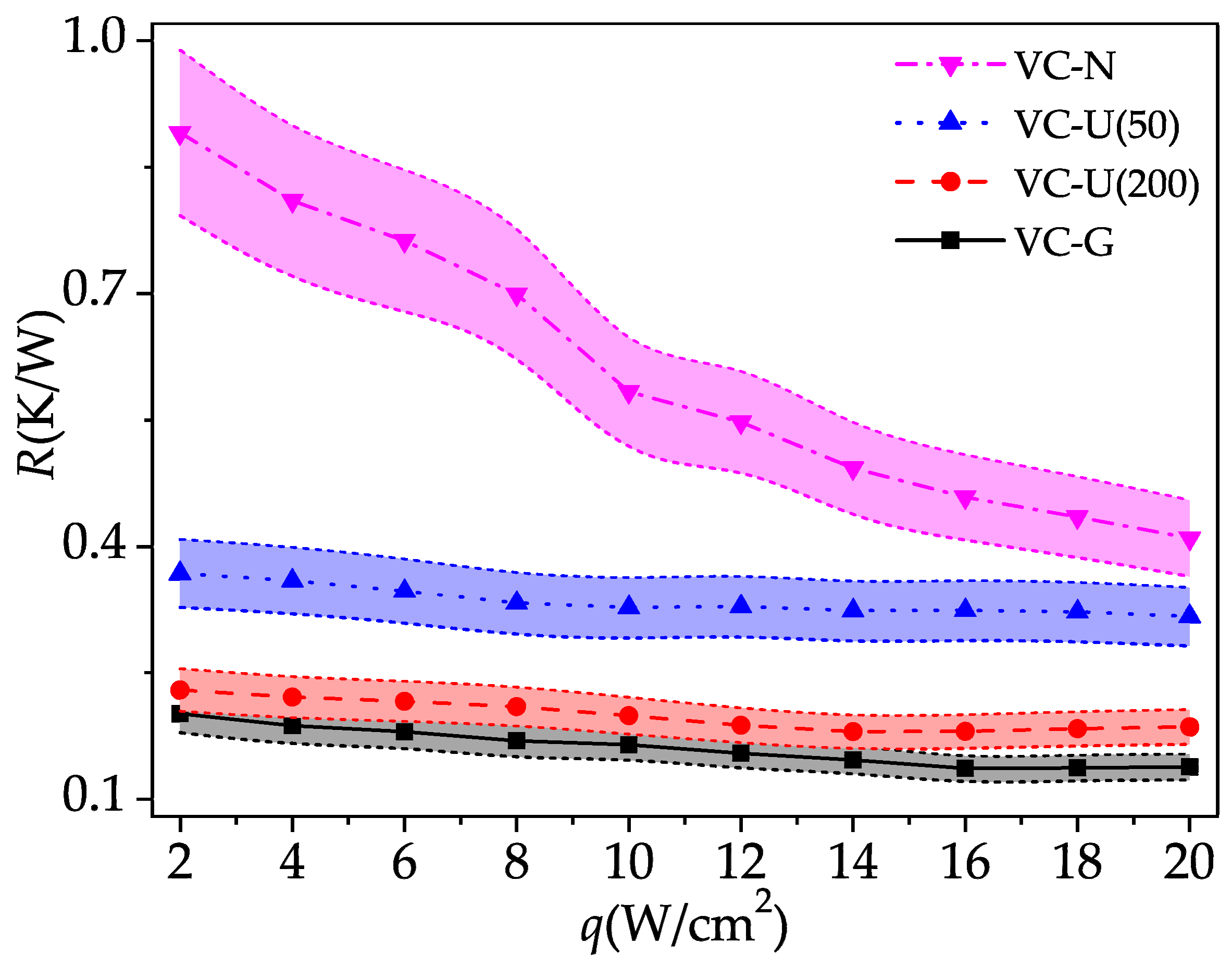
3.1. Heat Transfer Performance of VC with Different Wick Structures
3.2. Start-Up Performance of VC with Different Wick Structures
4. Conclusions
- (1)
- Benefiting from the gradient wick structure, the VC with a gradient wick has the smallest thermal resistance due to the smoothest vapor-condensate circulation when compared with the VCs with a uniform wick and without a wick.
- (2)
- The temperature of the evaporation surface of the VC with a gradient wick is more uniform than that of the VC with a uniform wick and without a wick. The temperature distribution uniformity coefficients of the evaporation surface increase with the increased heat flux.
- (3)
- As the flow resistance is higher in the VC-G when compared with an empty space for vapor spreading, the condensation surface temperature gradient of the VC-G from the center to the periphery is higher than that of the VC-N.
- (4)
- Under the same heat flux, the average evaporation surface temperature of the VC with a gradient wick is the lowest and reached stability in the shortest time. In addition, for the VC with a gradient wick, the average temperature reaches 63.2% of its maximum value in about 240 s, which is the fastest. That is to say, the VC-G has the best start-up performance.
- (5)
- Higher temperature difference and shorter time are needed for the VC-G to reach a new steady state when the heat flux increases.
Author Contributions
Funding
Data Availability Statement
Conflicts of Interest
References
- Wu, L.; Han, X.; Shao, C.; Yao, F.; Yang, W. Thermal Fatigue Modelling and Simulation of Flip Chip Component Solder Joints under Cyclic Thermal Loading. Energies 2019, 12, 2391. [Google Scholar] [CrossRef]
- Faghri, A. Review and Advances in Heat Pipe Science and Technology. J. Heat Transf. 2012, 134, 123001. [Google Scholar] [CrossRef]
- Sudhakar, S.; Weibel, J.A.; Zhou, F.; Dede, E.M.; Garimella, S.V. Area-scalable high-heat-flux dissipation at low thermal resistance using a capillary-fed two-layer evaporator wick. Int. J. Heat Mass Transf. 2019, 135, 1346–1356. [Google Scholar] [CrossRef]
- Li, Y.; Zhou, W.; Li, Z.; Chen, Z.; Gan, Y. Experimental analysis of thin vapor chamber with composite wick structure under different cooling conditions. Appl. Therm. Eng. 2019, 156, 471–484. [Google Scholar] [CrossRef]
- Wang, M.; Cui, W.; Hou, Y. Thermal spreading resistance of grooved vapor chamber heat spreader. Appl. Therm. Eng. 2019, 153, 361–368. [Google Scholar] [CrossRef]
- Tang, Y.; Deng, D.; Lu, L.; Pan, M.; Wang, Q. Experimental investigation on capillary force of composite wick structure by IR thermal imaging camera. Exp. Therm. Fluid Sci. 2010, 34, 190–196. [Google Scholar] [CrossRef]
- Wang, J.; Catton, I. Enhanced evaporation heat transfer in triangular grooves covered with a thin fine porous layer. Appl. Therm. Eng. 2001, 21, 1721–1737. [Google Scholar] [CrossRef]
- Hwang, G.; Fleming, E.; Carne, B.; Sharratt, S.; Nam, Y.; Dussinger, P.; Ju, Y.; Kaviany, M. Multi-artery heat-pipe spreader: Lateral liquid supply. Int. J. Heat Mass Transf. 2011, 54, 2334–2340. [Google Scholar] [CrossRef]
- Deng, D.; Huang, Q.; Xie, Y.; Huang, X.; Chu, X. Thermal performance of composite porous vapor chambers with uniform radial grooves. Appl. Therm. Eng. 2017, 125, 1334–1344. [Google Scholar] [CrossRef]
- Wang, Q.-H.; Zhao, H.; Xu, Z.-J.; Li, J.-R.; Deng, D.-X. Numerical analysis on the thermal hydraulic performance of a composite porous vapor chamber with uniform radial grooves. Int. J. Heat Mass Transf. 2019, 142, 118458. [Google Scholar] [CrossRef]
- Zhu, M.; Huang, J.; Song, M.; Hu, Y. Thermal performance of a thin flat heat pipe with grooved porous structure. Appl. Therm. Eng. 2020, 173, 115215. [Google Scholar] [CrossRef]
- Wiriyasart, S.; Naphon, P. Thermal performance enhancement of vapor chamber by coating mini-channel heat sink with porous sintering media. Int. J. Heat Mass Transf. 2018, 126, 116–122. [Google Scholar] [CrossRef]
- Liu, W.; Peng, Y.; Luo, T.; Luo, Y.; Huang, K. The performance of the vapor chamber based on the plant leaf. Int. J. Heat Mass Transf. 2016, 98, 746–757. [Google Scholar] [CrossRef]
- Velardo, J.; Date, A.; Singh, R.; Nihill, J.; Date, A.; Phan, T.L.; Takahashi, M. Experimental investigation of a vapour chamber heat spreader with hybrid wick structure. Int. J. Therm. Sci. 2019, 140, 28–35. [Google Scholar] [CrossRef]
- Byon, C.; Kim, S.J. Capillary performance of bi-porous sintered metal wicks. Int. J. Heat Mass Transf. 2012, 55, 4096–4103. [Google Scholar] [CrossRef]
- Chen, Y.-T.; Miao, J.-M.; Ning, D.-Y.; Chu, T.-F.; Chen, W.-E. Thermal performance of a vapor chamber heat pipe with diamond-copper composition wick structures. In Proceedings of the 4th International Microsystems, Packaging, Assembly and Circuits Technology Conference, Taipei, Taiwan, 21–23 October 2009; pp. 340–343. [Google Scholar] [CrossRef]
- Yao, F.; Miao, S.; Zhang, M.; Chen, Y. An experimental study of an anti-gravity vapor chamber with a tree-shaped evaporator. Appl. Therm. Eng. 2018, 141, 1000–1008. [Google Scholar] [CrossRef]
- Liu, X.; Chen, Y.; Shi, M. Dynamic performance analysis on start-up of closed-loop pulsating heat pipes (CLPHPs). Int. J. Therm. Sci. 2013, 65, 224–233. [Google Scholar] [CrossRef]
- Liu, X.; Chen, Y. Transient thermal performance analysis of micro heat pipes. Appl. Therm. Eng. 2013, 58, 585–593. [Google Scholar] [CrossRef]
- Chen, Y.P.; Yao, F.; Shi, M.H. Thermal response of a heat pipe with axially “Omega”-shaped microgrooves. Int. J. Heat Mass Transfer. 2012, 55, 4476–4484. [Google Scholar] [CrossRef]
- Wang, Y.; Vafai, K. Transient characterization of flat plate heat pipes during startup and shutdown operations. Int. J. Heat Mass Transf. 2000, 43, 2641–2655. [Google Scholar] [CrossRef]
- Hu, Y.; Cheng, J.; Zhang, W.; Shirakashi, R.; Wang, S. Thermal performance enhancement of grooved heat pipes with inner surface treatment. Int. J. Heat Mass Transf. 2013, 67, 416–419. [Google Scholar] [CrossRef]















| VC-G | VC-U (200) | VC-U (50) | VC-N | ||
|---|---|---|---|---|---|
| Wick structure | Aperture (mesh) | 200/100/50 | 200 | 50 | |
| Outside diameter (mm) | 30/55/80 | 80 | 80 | ||
| Thickness (mm) | 5 | 5 | 5 | 
| Parameters | Value | Unit | |
|---|---|---|---|
| 20 °C | 120 °C | ||
| Density (liquid) | 790 | 660.3 | kg/m3 | 
| Density (vapor) | 0.64 | 11.02 | kg/m3 | 
| Specific heat (liquid) | 2.16 | 2.61 | kJ/(kg·K) | 
| Specific heat (vapor) | 1.271 | 1.560 | kJ/(kg·K) | 
| Latent heat of vaporization | 552.0 | 426.1 | kJ/kg | 
| Saturation Vapor pressure | 27 | 670 | kPa | 
| Number of Measuring Point | Value (°C) | Standard Deviation | |||
|---|---|---|---|---|---|
| #1 | #2 | #3 | Average | ||
| T1 | 33.82 | 34.32 | 34.61 | 34.25 | 0.40 | 
| T2 | 34.95 | 35.46 | 35.75 | 35.39 | 0.41 | 
| T3 | 36.38 | 36.73 | 37.08 | 36.73 | 0.35 | 
| T4 | 37.13 | 37.09 | 36.79 | 37.00 | 0.19 | 
| T5 | 36.64 | 36.54 | 36.18 | 36.45 | 0.24 | 
| T6 | 35.72 | 36.14 | 36.47 | 36.11 | 0.38 | 
| T7 | 34.44 | 35.75 | 35.53 | 35.24 | 0.70 | 
| Parameters | T | Qin | Rtot | s | 
|---|---|---|---|---|
| Maximum Uncertainty | 0.28 °C | 4.85% | 11.0% | 3.96% | 
| Disclaimer/Publisher’s Note: The statements, opinions and data contained in all publications are solely those of the individual author(s) and contributor(s) and not of MDPI and/or the editor(s). MDPI and/or the editor(s) disclaim responsibility for any injury to people or property resulting from any ideas, methods, instructions or products referred to in the content. | 
© 2023 by the authors. Licensee MDPI, Basel, Switzerland. This article is an open access article distributed under the terms and conditions of the Creative Commons Attribution (CC BY) license (https://creativecommons.org/licenses/by/4.0/).
Share and Cite
Xia, Y.; Yao, F.; Wang, M. Experimental Investigation on Thermal Performance of Vapor Chambers with Diffident Wick Structures. Energies 2023, 16, 6464. https://doi.org/10.3390/en16186464
Xia Y, Yao F, Wang M. Experimental Investigation on Thermal Performance of Vapor Chambers with Diffident Wick Structures. Energies. 2023; 16(18):6464. https://doi.org/10.3390/en16186464
Chicago/Turabian StyleXia, Yujuan, Feng Yao, and Mengxiang Wang. 2023. "Experimental Investigation on Thermal Performance of Vapor Chambers with Diffident Wick Structures" Energies 16, no. 18: 6464. https://doi.org/10.3390/en16186464
APA StyleXia, Y., Yao, F., & Wang, M. (2023). Experimental Investigation on Thermal Performance of Vapor Chambers with Diffident Wick Structures. Energies, 16(18), 6464. https://doi.org/10.3390/en16186464
 
        




 
       