Parametric Modelling Study to Determine the Feasibility of the Co-Gasification of Macroalgae and Plastics for the Production of Hydrogen-Rich Syngas
Abstract
:1. Introduction
2. Methodology
2.1. Model Description
2.2. Model Validation
2.3. Life Cycle Assessment
3. Results and Discussion
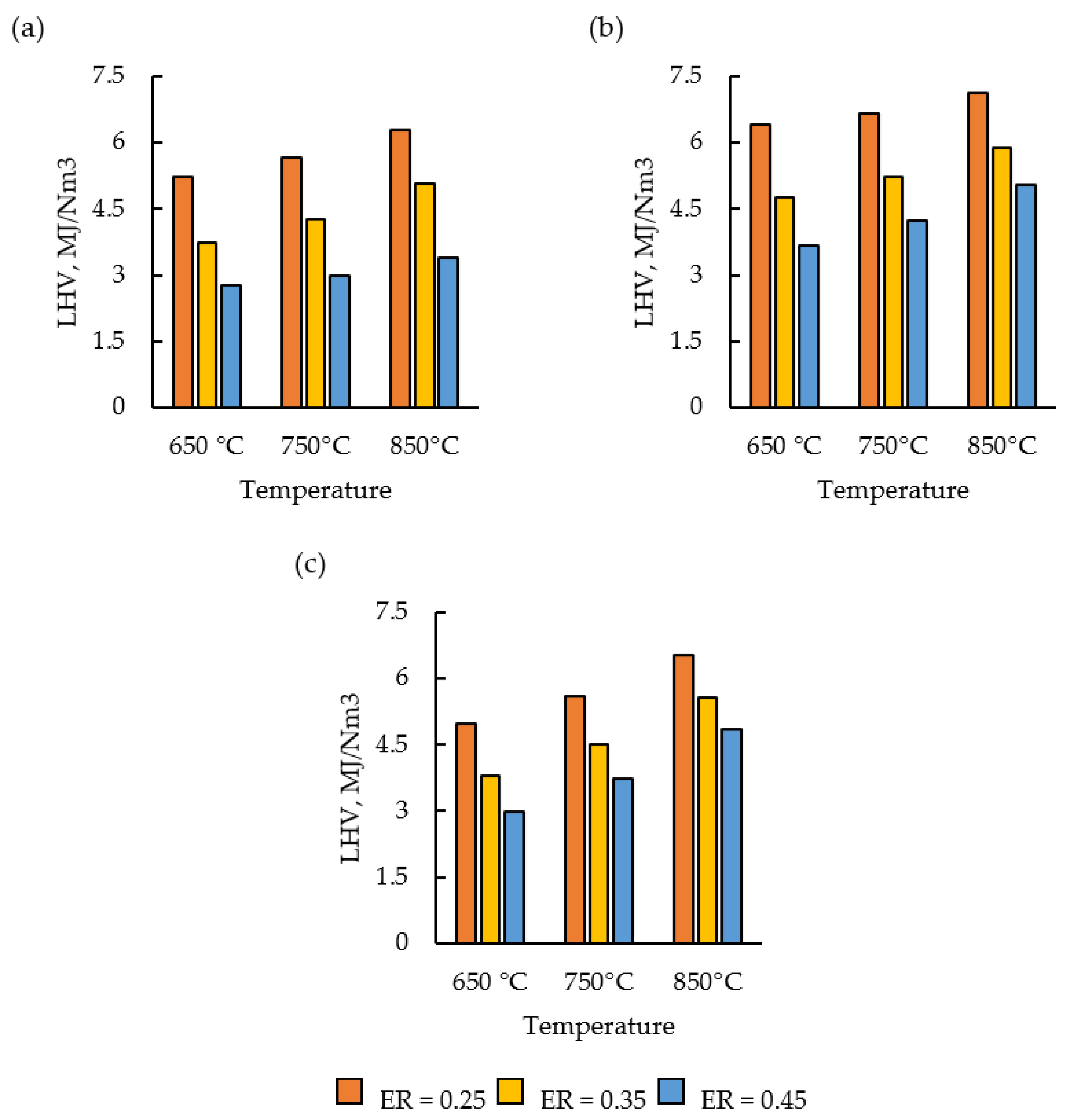
3.1. Effect of the Gas LHV
3.2. Effect of the Gas Tar Concentration
3.3. Effect of Cold Gas Efficiency
3.4. Effect of the Gas Composition
3.5. Effect of the Used Biomass
3.6. Life Cycle Assessment
4. Summary and Conclusions
- Adding plastics to biomasses for co-gasification can enhance the gas LHV; however, this does not occur when the biomass has a high elemental hydrogen content, as in the case of Sargassum natans. Similarly, the cold gas efficiency of the process increases with the increase in plastic content, except in cases where the biomass has a high hydrogen content.
- The presence of plastic in the biomass during co-gasification promotes the formation of tar; hence, although the co-gasification of plastics and sargassum can be a useful waste-handling alternative, and increasing the plastic content increases the gas LHV, a high plastic content (high mixing ratios) might not be operational in cases where the application of the produced gas requires a low tar concentration (for example, gas turbines).
- The addition of plastics for biomass co-gasification can be useful to regulate the produced syngas H2/CO ratio, since increasing the amounts of plastics tends to homogenize the ratio.
- Increasing the MR increases the amount of H2 and CH4 produced during gasification, while the CO and CO2 contents decrease.
- The damage assessment information obtained from the life cycle analysis indicate that the gasification of plastics has an impact somewhat similar to that of pyrolysis and recycling. Using the ReCiPe Endpoint methodology, it was found that the categories with the largest impact are human health followed by ecosystem damage, due to the formation of particulate matter and greenhouse gas releases, respectively.
Author Contributions
Funding
Data Availability Statement
Conflicts of Interest
References
- Zhang, T.; Wang, J.; Liu, D.; Sun, Z.; Tang, R.; Ma, X.; Feng, Z. Loading of microplastics by two related macroalgae in a sea area where gold and green tides occur simultaneously. Sci. Total Environ. 2022, 814, 152809. [Google Scholar] [CrossRef] [PubMed]
- Li, Q.; Su, L.; Ma, C.; Feng, Z.; Shi, H. Plastic debris in coastal macroalgae. Environ. Res. 2022, 205, 112464. [Google Scholar] [CrossRef] [PubMed]
- Idumah, C.I.; Nwuzor, I.C. Novel trends in plastic waste management. SN Appl. Sci. 2019, 1, 1402. [Google Scholar] [CrossRef]
- PlasticsEurope. Plastics—The Facts 2020; PlasticsEurope: Brussels, Belgium, 2020. [Google Scholar]
- OECD. OECD (2022), ‘Global Plastics Outlook’, OECD Environment Statistics (Database); OECD: Paris, France, 2022. [Google Scholar]
- Milledge, J.J.; Harvey, P.J. Golden Tides: Problem or Golden Opportunity? The Valorisation of Sargassum from Beach Inundations. J. Mar. Sci. Eng. 2016, 4, 60. [Google Scholar] [CrossRef]
- Alvarez-Zeferino, J.C.; Ojeda-Benítez, S.; Cruz-Salas, A.A.; Martínez-Salvador, C.; Vázquez-Morillas, A. Microplastics in Mexican beaches. Resour. Conserv. Recycl. 2020, 155, 104633. [Google Scholar] [CrossRef]
- Mendes, M.C.; Navalho, S.; Ferreira, A.; Paulino, C.; Figueiredo, D.; Silva, D.; Gao, F.; Gama, F.; Bombo, G.; Jacinto, R.; et al. Algae as Food in Europe: An Overview of Species Diversity and Their Application. Foods 2022, 11, 1871. [Google Scholar] [CrossRef]
- Wells, M.L.; Potin, P.; Craigie, J.S.; Raven, J.A.; Merchant, S.S.; Helliwell, K.E.; Smith, A.G.; Camire, M.E.; Brawley, S.H. Algae as nutritional and functional food sources: Revisiting our understanding. J. Appl. Phycol. 2017, 29, 949–982. [Google Scholar] [CrossRef]
- Zhao, X.; You, F. Life Cycle Assessment of Microplastics Reveals Their Greater Environmental Hazards than Mismanaged Polymer Waste Losses. Environ. Sci. Technol. 2022, 56, 11780–11797. [Google Scholar] [CrossRef]
- Nava, V.; Leoni, B. A critical review of interactions between microplastics, microalgae and aquatic ecosystem function. Water Res. 2021, 188, 116476. [Google Scholar] [CrossRef]
- Feng, Z.; Zhang, T.; Shi, H.; Gao, K.; Huang, W.; Xu, J.; Wang, J.; Wang, R.; Li, J.; Gao, G. Microplastics in bloom-forming macroalgae: Distribution, characteristics and impacts. J. Hazard. Mater. 2020, 397, 122752. [Google Scholar] [CrossRef]
- Vuppaladadiyam, A.K.; Vuppaladadiyam, S.S.V.; Awasthi, A.; Sahoo, A.; Rehman, S.; Pant, K.K.; Murugavelh, S.; Huang, Q.; Anthony, E.; Fennel, P.; et al. Biomass pyrolysis: A review on recent advancements and green hydrogen production. Bioresour. Technol. 2022, 364, 128087. [Google Scholar] [CrossRef]
- Nguyen, V.G.; Nguyen-Thi, T.X.; Nguyen, P.Q.P.; Tran, V.D.; Ağbulut, Ü.; Nguyen, L.H.; Balasubramanian, D.; Tarelko, W.; Bandh, S.A.; Pham, N.D.K. Recent advances in hydrogen production from biomass waste with a focus on pyrolysis and gasification. Int. J. Hydrogen Energy 2023. [Google Scholar] [CrossRef]
- Sikarwar, V.S.; Zhao, M.; Clough, P.; Yao, J.; Zhong, X.; Memon, M.Z.; Shah, N.; Anthony, E.J.; Fennell, P.S. An overview of advances in biomass gasification. Energy Environ. Sci. 2016, 9, 2939–2977. [Google Scholar] [CrossRef]
- Tobío-Pérez, I.; Alfonso-Cardero, A.; Díaz-Domínguez, Y.; Pohl, S.; Piloto-Rodríguez, R.; Lapuerta, M. Thermochemical Conversion of Sargassum for Energy Production: A Comprehensive Review. BioEnergy Res. 2022, 15, 1872–1893. [Google Scholar] [CrossRef]
- Li, J.; Qiao, Y.; Chen, X.; Zong, P.; Qin, S.; Wu, Y.; Wang, S.; Zhang, H.; Tian, Y. Steam gasification of land, coastal zone and marine biomass by thermal gravimetric analyzer and a free-fall tubular gasifier: Biochars reactivity and hydrogen-rich syngas production. Bioresour. Technol. 2019, 289, 121495. [Google Scholar] [CrossRef]
- He, Z.; Saw, W.L.; Lane, D.J.; van Eyk, P.J.; de Nys, R.; Nathan, G.J.; Ashman, P.J. The ash-quartz sand interaction behaviours during steam gasification or combustion of a freshwater and a marine species of macroalgae. Fuel 2020, 263, 116621. [Google Scholar] [CrossRef]
- Saebea, D.; Ruengrit, P.; Arpornwichanop, A.; Patcharavorachot, Y. Gasification of plastic waste for synthesis gas production. Energy Rep. 2020, 6, 202–207. [Google Scholar] [CrossRef]
- Dogu, O.; Pelucchi, M.; Van de Vijver, R.; Van Steenberge, P.H.; D’Hooge, D.R.; Cuoci, A.; Mehl, M.; Frassoldati, A.; Faravelli, T.; Van Geem, K.M. The chemistry of chemical recycling of solid plastic waste via pyrolysis and gasification: State-of-the-art, challenges, and future directions. Prog. Energy Combust. Sci. 2021, 84, 100901. [Google Scholar] [CrossRef]
- Mariyam, S.; Shahbaz, M.; Al-Ansari, T.; Mackey, H.R.; McKay, G. A critical review on co-gasification and co-pyrolysis for gas production. Renew. Sustain. Energy Rev. 2022, 161, 112349. [Google Scholar] [CrossRef]
- Kositkanawuth, K.; Bhatt, A.; Sattler, M.; Dennis, B. Renewable Energy from Waste: Investigation of Co-pyrolysis between Sargassum Macroalgae and Polystyrene. Energy Fuels 2017, 31, 5088–5096. [Google Scholar] [CrossRef]
- Cheng, Z.; Gao, X.; Ma, Z.; Guo, X.; Wang, J.; Luan, P.; He, S.; Yan, B.; Chen, G. Studies on synergistic effects in co-pyrolysis of sargassum and poplar: Thermal behavior and kinetics. J. Anal. Appl. Pyrolysis 2022, 167, 105660. [Google Scholar] [CrossRef]
- Halba, A.; Thengane, S.K.; Arora, P. A Critical Outlook on Lignocellulosic Biomass and Plastics Co-Gasification: A Mini-Review. Energy Fuels 2023, 37, 19–35. [Google Scholar] [CrossRef]
- Inayat, M.; Sulaiman, S.A.; Kurnia, J.C.; Shahbaz, M. Effect of various blended fuels on syngas quality and performance in catalytic co-gasification: A review. Renew. Sustain. Energy Rev. 2019, 105, 252–267. [Google Scholar] [CrossRef]
- Fazil, A.; Kumar, S.; Mahajani, S.M. Downdraft co-gasification of high ash biomass and plastics. Energy 2022, 243, 123055. [Google Scholar] [CrossRef]
- Qin, Y.-H.; Han, Q.-Q.; Zhao, Z.-B.; Du, Z.-Y.; Feng, J.; Li, W.-Y.; Vassilev, S.V.; Vassileva, C.G. Impact of biomass addition on organic structure and mineral matter of char during coal-biomass co-gasification under CO2 atmosphere. Fuel 2017, 202, 556–562. [Google Scholar] [CrossRef]
- Brown, R.C. Thermochemical Processing of Biomass: Conversion into Fuels, Chemicals and Power; John Wiley & Sons, Ltd.: New York, NY, USA, 2011. [Google Scholar] [CrossRef]
- Basu, P. Biomass Gasification, Pyrolysis and Torrefaction. In Biomass Gasification, Pyrolysis and Torrefaction; Academic Press: Cambridge, MA, USA, 2013; pp. 439–455. [Google Scholar] [CrossRef]
- Fries, E.; Dekiff, J.H.; Willmeyer, J.; Nuelle, M.-T.; Ebert, M.; Remy, D. Identification of polymer types and additives in marine microplastic particles using pyrolysis-GC/MS and scanning electron microscopy. Environ. Sci. Process. Impacts 2013, 15, 1949–1956. [Google Scholar] [CrossRef]
- Hale, R.C.; Seeley, M.E.; La Guardia, M.J.; Mai, L.; Zeng, E.Y. A Global Perspective on Microplastics. J. Geophys. Res. Oceans 2020, 125, e2018JC014719. [Google Scholar] [CrossRef]
- Rios, M.L.V.; González, A.M.; Lora, E.E.S.; del Olmo, O.A.A. Reduction of tar generated during biomass gasification: A review. Biomass-Bioenergy 2018, 108, 345–370. [Google Scholar] [CrossRef]
- Zhang, X. Essential scientific mapping of the value chain of thermochemically converted second-generation bio-fuels. Green Chem. 2016, 18, 5086–5117. [Google Scholar] [CrossRef]
- Hellweg, S. Time- and site-dependent life cycle assessment of thermal waste treatment processes. Int. J. Life Cycle Assess. 2001, 6, 46. [Google Scholar] [CrossRef]
- Antelava, A.; Damilos, S.; Hafeez, S.; Manos, G.; Al-Salem, S.M.; Sharma, B.K.; Kohli, K.; Constantinou, A. Plastic Solid Waste (PSW) in the Context of Life Cycle Assessment (LCA) and Sustainable Management. Environ. Manag. 2019, 64, 230–244. [Google Scholar] [CrossRef] [PubMed]
- Koukkari, P. Introduction to Constrained Gibbs Energy Methods in Process and Materials. 2014. Available online: http://www.vtt.fi/inf/pdf/technology/2014/T160.pdf (accessed on 15 August 2023).
- Buentello-Montoya, D.; Zhang, X. An Energy and Exergy Analysis of Biomass Gasification Integrated with a Char-Catalytic Tar Reforming System. Energy Fuels 2019, 33, 8746–8757. [Google Scholar] [CrossRef]
- Puig-Arnavat, M.; Bruno, J.C.; Coronas, A. Review and analysis of biomass gasification models. Renew. Sustain. Energy Rev. 2010, 14, 2841–2851. [Google Scholar] [CrossRef]
- Jess, A. Mechanisms and Kinetics of Thermal Reactions of Aromatics From Pyrolysis of Solid Fuels. Fuel 1996, 75, 1441–1448. [Google Scholar] [CrossRef]
- Frenklach, M. Reaction mechanism of soot formation in flames. Phys. Chem. Chem. Phys. 2002, 4, 2028–2037. [Google Scholar] [CrossRef]
- Lim, Y.I.; Lee, U.D. Quasi-equilibrium thermodynamic model with empirical equations for air-steam biomass gasification in fluidized-beds. Fuel Process. Technol. 2014, 128, 199–210. [Google Scholar] [CrossRef]
- Parker, D.S.N.; Kaiser, R.I.; Troy, T.P.; Ahmed, M. Hydrogen Abstraction/Acetylene Addition Revealed. Angew. Chem. Int. Ed. 2014, 53, 7740–7744. [Google Scholar] [CrossRef]
- Aznar, M.P.; Caballero, M.A.; Sancho, J.A.; Francés, E. Plastic waste elimination by co-gasification with coal and biomass in fluidized bed with air in pilot plant. Fuel Process. Technol. 2006, 87, 409–420. [Google Scholar] [CrossRef]
- Aydin, E.S.; Yucel, O.; Sadikoglu, H. Development of a semi-empirical equilibrium model for downdraft gasification systems. Energy 2017, 130, 86–98. [Google Scholar] [CrossRef]
- Cho, M.-H.; Mun, T.-Y.; Choi, Y.-K.; Kim, J.-S. Two-stage air gasification of mixed plastic waste: Olivine as the bed material and effects of various additives and a nickel-plated distributor on the tar removal. Energy 2014, 70, 128–134. [Google Scholar] [CrossRef]
- Gai, C.; Dong, Y. Experimental study on non-woody biomass gasification in a downdraft gasifier. Int. J. Hydrogen Energy 2012, 37, 4935–4944. [Google Scholar] [CrossRef]
- Jayah, T.; Aye, L.; Fuller, R.; Stewart, D. Computer simulation of a downdraft wood gasifier for tea drying. Biomass-Bioenergy 2003, 25, 459–469. [Google Scholar] [CrossRef]
- Kramb, J.; Konttinen, J.; Gómez-Barea, A.; Moilanen, A.; Umeki, K. Modeling biomass char gasification kinetics for improving prediction of carbon conversion in a fluidized bed gasifier. Fuel 2014, 132, 107–115. [Google Scholar] [CrossRef]
- Tuomi, S.; Kaisalo, N.; Simell, P.; Kurkela, E. Effect of pressure on tar decomposition activity of different bed materials in biomass gasification conditions. Fuel 2015, 158, 293–305. [Google Scholar] [CrossRef]
- Xiao, R.; Jin, B.; Zhou, H.; Zhong, Z.; Zhang, M. Air gasification of polypropylene plastic waste in fluidized bed gasifier. Energy Convers. Manag. 2007, 48, 778–786. [Google Scholar] [CrossRef]
- ISO 14040; Environmental Assessment—Life Cycle Assessment—Principles and Framework. International Organization for Standardization: Geneva, Switzerland, 2009; 1997, pp. 1–20.
- Huijbregts, M.A.J.; Steinmann, Z.; Elshout, P.M.F.; Verones, F.; Vieira, M.; Zijp, M.; Hollander, A.; van Zelm, R. ReCiPe 2016 v1.1. RIVM Report 2016-0104. 2017, p. 201. Available online: www.rivm.nl/en (accessed on 20 July 2023).
- Jeswani, H.; Krüger, C.; Russ, M.; Horlacher, M.; Antony, F.; Hann, S.; Azapagic, A. Life cycle environmental impacts of chemical recycling via pyrolysis of mixed plastic waste in comparison with mechanical recycling and energy recovery. Sci. Total Environ. 2021, 769, 144483. [Google Scholar] [CrossRef]
- Khoo, H.H. LCA of plastic waste recovery into recycled materials, energy and fuels in Singapore. Resour. Conserv. Recycl. 2019, 145, 67–77. [Google Scholar] [CrossRef]
- Ardolino, F.; Lodato, C.; Astrup, T.F.; Arena, U. Energy recovery from plastic and biomass waste by means of fluidized bed gasification: A life cycle inventory model. Energy 2018, 165, 299–314. [Google Scholar] [CrossRef]
- Wernet, G.; Bauer, C.; Steubing, B.; Reinhard, J.; Moreno-Ruiz, E.; Weidema, B. The ecoinvent database version 3 (part I): Overview and methodology. Int. J. Life Cycle Assess. 2016, 21, 1218–1230. [Google Scholar] [CrossRef]
- Acharya, C.K.; Jiang, F.; Liao, C.-H.; Fitzgerald, P.; Vecchio, K.S.; Cattolica, R.J. Tar and CO2 removal from simulated producer gas with activated carbon and charcoal. Fuel Process. Technol. 2013, 106, 201–208. [Google Scholar] [CrossRef]
- Abdoulmoumine, N.; Adhikari, S.; Kulkarni, A.; Chattanathan, S. A review on biomass gasification syngas cleanup. Appl. Energy 2015, 155, 294–307. [Google Scholar] [CrossRef]
- Liu, Q.; Hu, C.; Peng, B.; Liu, C.; Li, Z.; Wu, K.; Zhang, H.; Xiao, R. High H2/CO ratio syngas production from chemical looping co-gasification of biomass and polyethylene with CaO/Fe2O3 oxygen carrier. Energy Convers. Manag. 2019, 199, 111951. [Google Scholar] [CrossRef]
- Vassilev, S.V.; Baxter, D.; Andersen, L.K.; Vassileva, C.G. An overview of the chemical composition of biomass. Fuel 2010, 89, 913–933. [Google Scholar] [CrossRef]
- Burra, K.; Gupta, A. Synergistic effects in steam gasification of combined biomass and plastic waste mixtures. Appl. Energy 2018, 211, 230–236. [Google Scholar] [CrossRef]
- Schwarz, A.E.; Ligthart, T.N.; Bizarro, D.G.; De Wild, P.; Vreugdenhil, B.; van Harmelen, T. Plastic recycling in a circular economy; determining environmental performance through an LCA matrix model approach. Waste Manag. 2021, 121, 331–342. [Google Scholar] [CrossRef]









| Element | Algae Species | ||
|---|---|---|---|
| Chlorella vulgaris | Sargassum natans | Sargassum fluitans | |
| C | 52.1 | 39.78 | 38 |
| H | 6.5 | 8.91 | 5.5 |
| O | 30.9 | 43.89 | 55 |
| N | 9.95 | 5.48 | 1.5 |
| S | 0.55 | 1.92 | 0 |
| Reference | Gasifier Type | Feedstock Composition | MAE | |||
|---|---|---|---|---|---|---|
| C | H | O | N | |||
| [47] | FB | 53.2 | 5.5 | 37.1 | 0.3 | 2.407 |
| [44] | DD | 43.83 | 5.95 | 45.01 | 0.97 | 1.556 |
| [46] | FB | 51.0 | 6.0 | 42.8 | 0.1 | 4.017 |
| [45] | DD | 50.6 | 6.5 | 0.2 | 42.0 | 3.601 |
| [48] | FB | 86.42 | 12.28 | 0 | 0.72 | 2.045 |
| [43] | FB | 80.8 | 12.8 | 5.1 | 0.2 | 1.038 |
| [26] | DD | 42.38 | 5.24 | 35.41 | 1.78 | 0.019 |
| [26] | DD | 85.32 | 14.68 | 0 | 0 | 0.019 |
| Species | MAE |
|---|---|
| H2 a | 1.872 |
| CO a | 1.165 |
| CO2 a | 1.142 |
| CH4 a | 1.015 |
| N2 a | 0.044 |
| Tar b | 2.5 |
Disclaimer/Publisher’s Note: The statements, opinions and data contained in all publications are solely those of the individual author(s) and contributor(s) and not of MDPI and/or the editor(s). MDPI and/or the editor(s) disclaim responsibility for any injury to people or property resulting from any ideas, methods, instructions or products referred to in the content. |
© 2023 by the authors. Licensee MDPI, Basel, Switzerland. This article is an open access article distributed under the terms and conditions of the Creative Commons Attribution (CC BY) license (https://creativecommons.org/licenses/by/4.0/).
Share and Cite
Buentello-Montoya, D.A.; Armenta-Gutiérrez, M.Á.; Maytorena-Soria, V.M. Parametric Modelling Study to Determine the Feasibility of the Co-Gasification of Macroalgae and Plastics for the Production of Hydrogen-Rich Syngas. Energies 2023, 16, 6819. https://doi.org/10.3390/en16196819
Buentello-Montoya DA, Armenta-Gutiérrez MÁ, Maytorena-Soria VM. Parametric Modelling Study to Determine the Feasibility of the Co-Gasification of Macroalgae and Plastics for the Production of Hydrogen-Rich Syngas. Energies. 2023; 16(19):6819. https://doi.org/10.3390/en16196819
Chicago/Turabian StyleBuentello-Montoya, David Antonio, Miguel Ángel Armenta-Gutiérrez, and Victor Manuel Maytorena-Soria. 2023. "Parametric Modelling Study to Determine the Feasibility of the Co-Gasification of Macroalgae and Plastics for the Production of Hydrogen-Rich Syngas" Energies 16, no. 19: 6819. https://doi.org/10.3390/en16196819
APA StyleBuentello-Montoya, D. A., Armenta-Gutiérrez, M. Á., & Maytorena-Soria, V. M. (2023). Parametric Modelling Study to Determine the Feasibility of the Co-Gasification of Macroalgae and Plastics for the Production of Hydrogen-Rich Syngas. Energies, 16(19), 6819. https://doi.org/10.3390/en16196819

