Experimental Analysis of Hysteresis in the Motion of a Two-Input Piezoelectric Bimorph Actuator
Abstract
1. Introduction
2. Research Methods
3. Results
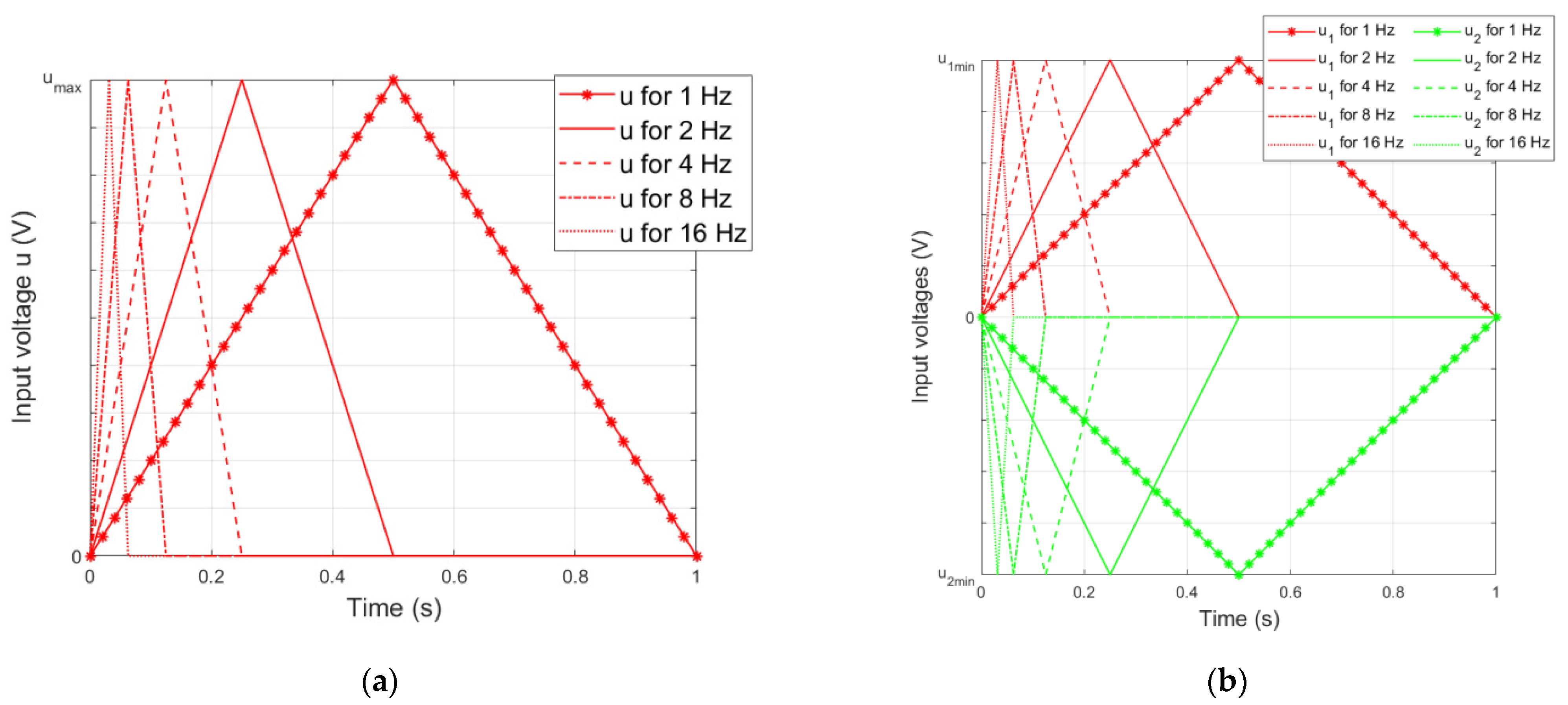
3.1. Laboratory Research Program
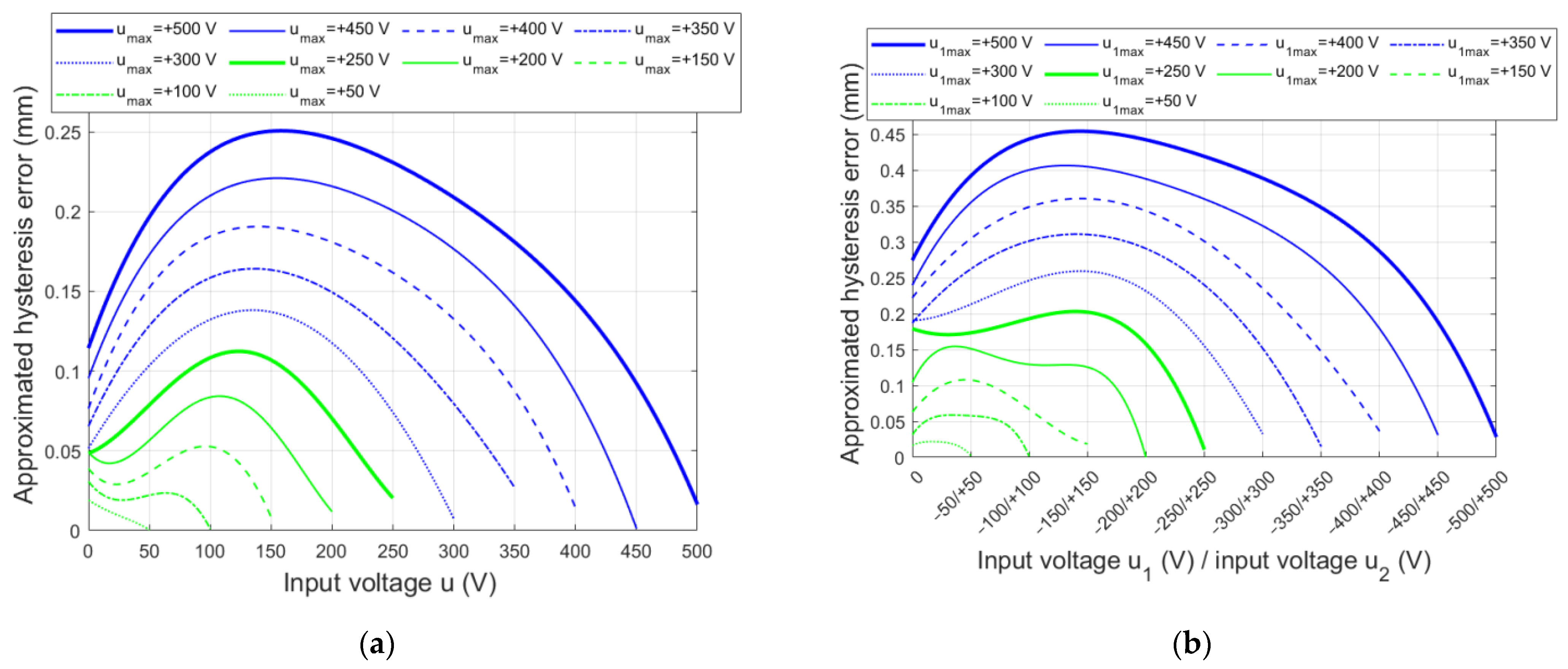
3.2. Impact of the Input Voltage Value on Hysteresis Waveforms
3.3. Impact of Frequency Changes of the Application of Input Voltage on Hysteresis Waveforms
4. Discussion
5. Conclusions
Funding
Data Availability Statement
Conflicts of Interest
References
- Yang, C.; Youcef-Toumi, K. Principle, implementation, and applications of charge control for piezo-actuated nanopositioners: A comprehensive review. Mech. Syst. Signal Process. 2022, 171, 108885. [Google Scholar] [CrossRef]
- Chilibon, I.; Dias, C.; Inacio, P.; Marat-Mendes, J. PZT and PVDF bimorph actuators. J. Optoelectron. Adv. Mater. 2007, 9, 1939–1943. [Google Scholar]
- Wang, X.; Zhou, W.; Wu, Z.; Wu, W. Optimal unimorph and bimorph configurations of piezocomposite actuators for bending and twisting vibration control of plate structures. J. Intell. Mater. Syst. Struct. 2018, 29, 1685–1696. [Google Scholar] [CrossRef]
- Takagi, K.; Li, J.F.; Yokoyama, S.; Watanabe, R.; Almajid, A.; Taya, M. Design and fabrication of functionally graded PZT/Pt piezoelectric bimorph actuator. Sci. Technol. Adv. Mater. 2002, 3, 217. [Google Scholar] [CrossRef]
- Sumit; Kane, S.R.; Sinha, A.K.; Shukla, R. Electric field-induced nonlinear behavior of lead zirconate titanate piezoceramic actuators in bending mode. Mech. Adv. Mater. Struct. 2022, 1–10. [Google Scholar] [CrossRef]
- Hu, D.; Lou, J.; Chen, T.; Yang, Y.; Xu, C.; Chen, H.; Cui, Y. Micro thrust measurement experiment and pressure field evolution of bionic robotic fish with harmonic actuation of macro fiber composites. Mech. Syst. Signal Process. 2021, 153, 107538. [Google Scholar] [CrossRef]
- Mallek, H.; Jrad, H.; Wali, M.; Dammak, F. Piezoelastic response of smart functionally graded structure with integrated piezoelectric layers using discrete double directors shell element. Compos. Struct. 2019, 210, 354–366. [Google Scholar] [CrossRef]
- Donoso, A.; Sigmund, O. Optimization of piezoelectric bimorph actuators with active damping for static and dynamic loads. Struct. Multidiscip. Optim. 2009, 38, 171–183. [Google Scholar] [CrossRef]
- Wang, H.; Xie, X.; Zhang, M.; Wang, B. Analysis of the nonlinear hysteresis of the bimorph beam piezoelectric bending actuator for the deformable mirror systems. J. Astron. Telesc. Instrum. Syst. 2020, 6, 029002. [Google Scholar] [CrossRef]
- Mansour, S.Z.; Seethaler, R.J.; Teo, Y.R.; Yong, Y.K.; Fleming, A.J. Piezoelectric bimorph actuator with integrated strain sensing electrodes. IEEE Sens. J. 2018, 18, 5812–5817. [Google Scholar] [CrossRef]
- Shen, D.; Wen, J.; Ma, J.; Hu, Y.; Wang, R.; Li, J. A novel linear inertial piezoelectric actuator based on asymmetric clamping materials. Sens. Actuators A Phys. 2020, 303, 111746. [Google Scholar] [CrossRef]
- Davis, C.L.; Calkins, F.T.; Butler, G.W. High-frequency jet nozzle actuators for noise reduction. In Smart Structures and Materials 2003: Industrial and Commercial Applications of Smart Structures Technologies; Anderson, E.H., Ed.; SPIE: San Diego, CA, USA, 2003; Volume 5054, pp. 34–44. [Google Scholar]
- Wang, Q.M.; Cross, L.E. Performance analysis of piezoelectric cantilever bending actuators. Ferroelectrics 1998, 215, 187–213. [Google Scholar] [CrossRef]
- Wang, H. Analytical analysis of a beam flexural-mode piezoelectric actuator for deformable mirrors. J. Astron. Telesc. Instrum. Syst. 2015, 1, 049001. [Google Scholar] [CrossRef]
- Chopra, S.; Gravish, N. Piezoelectric actuators with on-board sensing for micro-robotic applications. Smart Mater. Struct. 2019, 28, 115036. [Google Scholar] [CrossRef]
- Wood, R.J.; Steltz, E.; Fearing, R.S. Optimal energy density piezoelectric bending actuators. Sens. Actuators A Phys. 2005, 119, 476–488. [Google Scholar] [CrossRef]
- Zhang, X.; Tan, Y. A hybrid model for rate-dependent hysteresis in piezoelectric actuators. Sens. Actuators A Phys. 2010, 157, 54–60. [Google Scholar] [CrossRef]
- Ru, C.; Chen, L.; Shao, B.; Rong, W.; Sun, L. A hysteresis compensation method of piezoelectric actuator: Model, identification and control. Control Eng. Pract. 2009, 17, 1107–1114. [Google Scholar] [CrossRef]
- Xiaomin, X.; Luqi, C.; Xiaohong, W.; Qing, S. Study on electric–mechanical hysteretic model of Macro-Fiber Composite actuator. Journal Intell. Mater. Syst. Struct. 2014, 25, 1469–1483. [Google Scholar] [CrossRef]
- Jain, R.K.; Majumder, S.; Ghosh, B. Design and analysis of piezoelectric actuator for micro gripper. Int. J. Mech. Mater. Des. 2015, 11, 253–276. [Google Scholar] [CrossRef]
- Hu, K.M.; Li, H.; Wen, L.H. Experimental study of axial-compressed macro-fiber composite bimorph with multi-layer parallel actuators for large deformation actuation. J. Intell. Mater. Syst. Struct. 2020, 31, 1101–1110. [Google Scholar] [CrossRef]
- Gan, J.; Zhang, X. A review of nonlinear hysteresis modeling and control of piezoelectric actuators. AIP Adv. 2019, 9, 040702. [Google Scholar] [CrossRef]
- Rakotondrabe, M.; Clévy, C.; Lutz, P. Complete open loop control of hysteretic, creeped, and oscillating piezoelectric cantilevers. IEEE Trans. Autom. Sci. Eng. 2009, 7, 440–450. [Google Scholar] [CrossRef]
- Zhang, J.; Yang, Y.; Lou, J.; Wei, Y.; Fu, L. Development and hybrid position/force control of a dual-drive macro-fiber-composite microgripper. Sensors 2018, 18, 1301. [Google Scholar] [CrossRef] [PubMed]
- Hu, K.; Ge, H.; Li, H.; Xie, S.; Xu, S. Rate-Dependent Hysteresis Modeling and Displacement Tracking Control Based on Least-Squares SVM for Axially Pre-Compressed Macro-Fiber Composite Bimorph. Materials 2022, 15, 6480. [Google Scholar] [CrossRef]
- Fleming, A.J. Charge drive with active DC stabilization for linearization of piezoelectric hysteresis. IEEE Trans. Ultrason. Ferroelectr. Freq. Control 2013, 60, 1630–1637. [Google Scholar] [CrossRef]
- Bashash, S.; Jalili, N. Underlying memory-dominant nature of hysteresis in piezoelectric materials. J. Appl. Phys. 2006, 100, 014103. [Google Scholar] [CrossRef]
- Rios, S.A.; Fleming, A.J. A new electrical configuration for improving the range of piezoelectric bimorph benders. Sens. Actuators A Phys. 2015, 224, 106–110. [Google Scholar] [CrossRef]
- Grzybek, D. LQG Control of the Smart Truss with the Piezoelectric Active Members. In Solid State Phenomena; Kot, A., Ed.; Trans Tech Publications Ltd.: Durnten-Zurich, Switzerland, 2014; Volume 208, pp. 125–133. [Google Scholar]
- Tamburrano, P.; Sciatti, F.; Plummer, A.R.; Distaso, E.; De Palma, P.; Amirante, R. A Review of Novel Architectures of Servovalves Driven by Piezoelectric Actuators. Energies 2021, 14, 4858. [Google Scholar] [CrossRef]
- Milecki, A.; Regulski, R. Investigations of electronic amplifiers supplying a piezobimorph actuator. Mech. Syst. Signal Process. 2016, 78, 43–54. [Google Scholar] [CrossRef]
- Chouza, A.; Barambones, O.; Calvo, I.; Velasco, J. Sliding mode-based robust control for piezoelectric actuators with inverse dynamics estimation. Energies 2019, 12, 943. [Google Scholar] [CrossRef]
- Smart Material—Home of the MFC. Available online: https://www.smart-material.com/MFC-product-mainV2.html (accessed on 30 August 2021).
- Grzybek, D. Control System for Multi-Input and Simple-Output Piezoelectric Beam Actuator Based on Macro Fiber Composite. Energies 2022, 15, 2042. [Google Scholar] [CrossRef]
- RT-DAC/Zynq User’s Manual. Available online: http://www.inteco.com.pl/Docs/Rtdac_Zynq.pdf (accessed on 30 August 2022).
- TD250 V9 Six Channel +/-250V Amplifier. Manual and Specifications. Available online: https://www.piezodrive.com/wp-content/uploads/2022/04/TD250-V9-R1.pdf (accessed on 30 August 2022).
- L-GAGE® LG Laser Gauging Sensors. Available online: https://info.bannerengineering.com/cs/groups/public/documents/literature/59786.pdf (accessed on 30 August 2022).
- Hung, S.K.; Hwu, E.T.; Hwang, S.; Fu, L.C. Postfitting control scheme for periodic piezoscanner driving. Jpn. J. Appl. Phys. 2006, 45, 1917. [Google Scholar] [CrossRef]
- Fujii, F.; Tatebatake, K.I.; Morita, K.; Shiinoki, T. A Bouc–Wen model-based compensation of the frequency-dependent hysteresis of a piezoelectric actuator exhibiting odd harmonic oscillation. Actuators 2018, 7, 37. [Google Scholar] [CrossRef]
- Wang, X.; Zhou, W.; Zhang, Z.; Jiang, J.; Wu, Z. Theoretical and experimental investigations on modified LQ terminal control scheme of piezo-actuated compliant structures in finite time. J. Sound Vib. 2021, 491, 115762. [Google Scholar] [CrossRef]
- Fu, Z.; Shen, Y.; Wang, S.; Jiang, W.; Li, J.; Bin, G.; Hu, B. Asymmetric Bouc-Wen hysteresis modeling for MFC actuator via hybrid APSO-TRR identification algorithm. Sens. Actuators A Phys. 2022, 346, 113830. [Google Scholar] [CrossRef]
- Yang, C.; Verbeek, N.; Xia, F.; Wang, Y.; Youcef-Toumi, K. Modeling and control of piezoelectric hysteresis: A polynomial-based fractional order disturbance compensation approach. IEEE Trans. Ind. Electron. 2020, 68, 3348–3358. [Google Scholar] [CrossRef]
- Ghosh, B.; Jain, R.K.; Majumder, S.; Roy, S.S.; Mukhopadhyay, S. Experimental characterizations of bimorph piezoelectric actuator for robotic assembly. J. Intell. Mater. Syst. Struct. 2017, 28, 2095–2109. [Google Scholar] [CrossRef]


















| Parameters | Symbol | Value | Unit |
|---|---|---|---|
| Length of an active part in MFC patch [33] | la | 85 | mm |
| Length of a passive part in MFC patch [33] | lb | 7.5 | mm |
| Length of a carrier layer | lc | 120 | mm |
| Width of a carrier layer | wc | 20 | mm |
| Width of an active area in MFC patch [33] | wa | 14 | mm |
| Width of MFC patch | wMFC | 20 | mm |
| Thickness of a carrier layer [33] | tc | 1 | mm |
| Thickness of MFC patch | tMFC | 0.3 | mm |
| Distance between bimorph and clamping | ld | 110 | mm |
| Experiment Number (Unimorph) | |||||||||||
|---|---|---|---|---|---|---|---|---|---|---|---|
| 1 | 2 | 3 | 4 | 5 | 6 | 7 | 8 | 9 | 10 | ||
| Value Name | Unit | Set Values in Experiment | |||||||||
| Maximum of u | V | +500 | +450 | +400 | +350 | +300 | +250 | +200 | +150 | +100 | +50 |
| Experiment number (bimorph) | |||||||||||
| 11 | 12 | 13 | 14 | 15 | 16 | 17 | 18 | 19 | 20 | ||
| Set values in experiment | |||||||||||
| Maximum of u1 | V | +500 | +450 | +400 | +350 | +300 | +250 | +200 | +150 | +100 | +50 |
| Minimum of u2 | V | −500 | −450 | −400 | −350 | −300 | –250 | −200 | −150 | −100 | −50 |
| Experiment Number (Unimorph) | |||||||||||
|---|---|---|---|---|---|---|---|---|---|---|---|
| 21 | 22 | 23 | 24 | 25 | 26 | 27 | 28 | 29 | 30 | ||
| Value Name | Unit | Set Values in Experiment | |||||||||
| Maximum of u | V | +500 | +450 | +400 | +350 | +300 | +250 | +200 | +150 | +100 | +50 |
| Experiment number (bimorph) | |||||||||||
| 31 | 32 | 33 | 34 | 35 | 36 | 37 | 38 | 39 | 40 | ||
| Set values in experiment | |||||||||||
| Maximum of u1 | V | +500 | +450 | +400 | +350 | +300 | +250 | +200 | +150 | +100 | +50 |
| Minimum of u2 | V | −500 | –450 | –400 | –350 | –300 | –250 | –200 | –150 | –100 | –50 |
| Experiment Number (Unimorph) | |||||||||||
|---|---|---|---|---|---|---|---|---|---|---|---|
| 1 | 2 | 3 | 4 | 5 | 6 | 7 | 8 | 9 | 10 | ||
| Variable Name | Unit | ||||||||||
| Maximum hysteresis | mm | 0.26 | 0.23 | 0.20 | 0.17 | 0.14 | 0.12 | 0.09 | 0.05 | 0.03 | 0.03 |
| Input signal u | V | 129 | 147 | 122 | 124 | 123 | 94 | 104 | 89 | 0 | 0 |
| Experiment number (bimorph) | |||||||||||
| 11 | 12 | 13 | 14 | 15 | 16 | 17 | 18 | 19 | 20 | ||
| Maximum hysteresis | mm | 0.47 | 0.42 | 0.37 | 0.32 | 0.27 | 0.21 | 0.16 | 0.11 | 0.06 | 0.03 |
| Input signal u1 | V | +144 | +123 | +144 | +125 | +144 | +146 | +40 | +61 | +41 | +18 |
| Input signal u2 | V | –144 | –123 | –144 | –125 | –144 | –146 | –40 | –61 | –41 | –18 |
| Experiment Number (Unimorph) | ||||||||||||
|---|---|---|---|---|---|---|---|---|---|---|---|---|
| 1 | 2 | 3 | 4 | 5 | 6 | 7 | 8 | 9 | 10 | |||
| Variable Name | Unit | |||||||||||
| Mean difference | mm | 0.012 | 0.023 | 0.005 | 0.048 | 0.001 | 0.038 | 0.014 | 0.012 | 0.006 | 0.003 | × 10−4 |
| Standard deviation | mm | 0.036 | 0.031 | 0.033 | 0.040 | 0.030 | 0.031 | 0.021 | 0.014 | 0.012 | 0.015 | × 10−1 |
| Variance | - | 0.131 | 0.099 | 0.111 | 0.157 | 0.092 | 0.099 | 0.046 | 0.021 | 0.015 | 0.021 | × 10−4 |
| Experiment number (bimorph) | ||||||||||||
| 11 | 12 | 13 | 14 | 15 | 16 | 17 | 18 | 19 | 20 | |||
| Mean difference | mm | 0.021 | 0.028 | 0.042 | 0.009 | 0.064 | 0.023 | 0.028 | 0.038 | 0.007 | 0.006 | × 10−4 |
| Standard deviation | mm | 0.053 | 0.055 | 0.053 | 0.039 | 0.052 | 0.042 | 0.031 | 0.034 | 0.017 | 0.012 | × 10−1 |
| Variance | - | 0.282 | 0.305 | 0.280 | 0.151 | 0.269 | 0.175 | 0.098 | 0.114 | 0.028 | 0.014 | × 10−4 |
| Experiment Number (Unimorph) | |||||||||||
|---|---|---|---|---|---|---|---|---|---|---|---|
| 1 | 2 | 3 | 4 | 5 | 6 | 7 | 8 | 9 | 10 | ||
| Variable Name | Symbol | ||||||||||
| Squared correlation coefficient | R2 | 0.992 | 0.993 | 0.989 | 0.971 | 0.978 | 0.959 | 0.971 | 0.948 | 0.878 | 0.863 |
| Experiment number (bimorph) | |||||||||||
| 11 | 12 | 13 | 14 | 15 | 16 | 17 | 18 | 19 | 20 | ||
| Squared correlation coefficient | R2 | 0.996 | 0.990 | 0.991 | 0.994 | 0.977 | 0.986 | 0.988 | 0.966 | 0.966 | 0.865 |
Disclaimer/Publisher’s Note: The statements, opinions and data contained in all publications are solely those of the individual author(s) and contributor(s) and not of MDPI and/or the editor(s). MDPI and/or the editor(s) disclaim responsibility for any injury to people or property resulting from any ideas, methods, instructions or products referred to in the content. |
© 2023 by the author. Licensee MDPI, Basel, Switzerland. This article is an open access article distributed under the terms and conditions of the Creative Commons Attribution (CC BY) license (https://creativecommons.org/licenses/by/4.0/).
Share and Cite
Grzybek, D. Experimental Analysis of Hysteresis in the Motion of a Two-Input Piezoelectric Bimorph Actuator. Energies 2023, 16, 1198. https://doi.org/10.3390/en16031198
Grzybek D. Experimental Analysis of Hysteresis in the Motion of a Two-Input Piezoelectric Bimorph Actuator. Energies. 2023; 16(3):1198. https://doi.org/10.3390/en16031198
Chicago/Turabian StyleGrzybek, Dariusz. 2023. "Experimental Analysis of Hysteresis in the Motion of a Two-Input Piezoelectric Bimorph Actuator" Energies 16, no. 3: 1198. https://doi.org/10.3390/en16031198
APA StyleGrzybek, D. (2023). Experimental Analysis of Hysteresis in the Motion of a Two-Input Piezoelectric Bimorph Actuator. Energies, 16(3), 1198. https://doi.org/10.3390/en16031198

