A Comprehensive Assessment of the Refrigerant Charging Amount on the Global Performance of a Transcritical CO2-Based Bus Air Conditioning and Heat Pump System
Abstract
1. Introduction
2. The Establishment of the Simulation Model
2.1. The Transcritical CO2-Based Bus Air Conditioning and Heat Pump System
2.2. The Simulation Model
- Compressor
- Gas-cooler
- Evaporator
- Expansion Valve
2.3. Methodology
3. Experimental Setup
4. Results and Discussion
4.1. The Influence of the Charging Amount on the Global Performance
4.2. The Influence of the Charging Amount on the Refrigerant Distribution
4.3. The Influence of the Ambient Temperature on the Optimal Charging Amount
4.4. The Influence of the Ambient Temperature on the Refrigerant Distribution
5. Conclusions
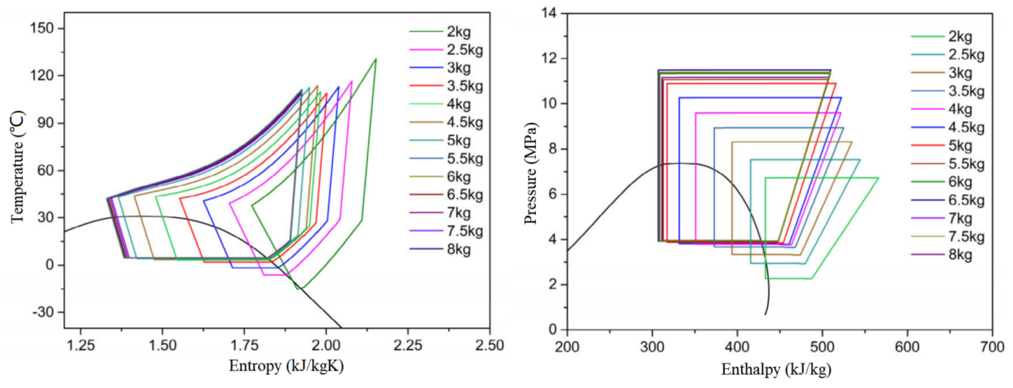
- As the CO2 charging amount varied from severely insufficient to overcharged (2 kg-5–8 kg; seriously insufficient at 2 kg and stable from 5 kg to 8 kg) the transcritical CO2 cycle varied from the low-pressure overheat region to the high-pressure liquid region.
- The system heating capacity and power consumption increased with the rising charging amount from the undercharging region, stayed almost unchanged during the well charging region, and finally increased again in the overcharging region; however, the system COP increased, remained almost unchanged, and then decreased in the undercharging, well charging and overcharging regions, respectively. From a quantitative perspective, regarding the cooling capacity, the 3–5 kg in the undercharged region increased rapidly from 9.5 kW to 18 kW, and the 5–8 kg in the stable region stabilized at 20 kW and then increased slowly in the overcharged region. The power showed the same trend, and the data showed that the stable area was maintained at 10 kW. For COP, at 3–5 kg, it rose rapidly from 1.2 to 2.2, remained stable at 2.2 from 5–8 kg, and then decreased slightly at 8–8.5 kg.
- The main parameters of the bus air conditioning/heat pump system remained almost unchanged in the well charging region (under a well charging amount of 5–8 kg, the refrigeration in the evaporator was maintained at 1 kg, while in the gas cooler, it was maintained at 3.6 kg), while the liquid level of the separator increased gradually (the gas decreased from 0.5 kg to about 0 kg, and the liquid increased from 0 kg to about 3.2 kg), which meant that the separator provided a proper adjustable margin to the system to some extent.
- The ambient temperature was found to have little effect on the determination of the refrigerant charging plateau (the well charging region), while the refrigerant distribution was found to be affected by the ambient temperature to some extent.
Author Contributions
Funding
Data Availability Statement
Conflicts of Interest
Nomenclature
| A | Heat transfer area (m2) |
| Cp | Specific heat capacity (kJ∙kg−1∙K−1) |
| Dh | Hydraulic diameter (m) |
| h | Enthalpy (kJ∙kg−1) |
| K | Heat transfer coefficient (W∙K−1∙m−2) |
| m | Mass flow rate (kg∙s−1) |
| P | Pressure (MPa) |
| Q | Heat transfer rate (kW) |
| T | Temperature (°C) |
| V | Theoretical displacement (m3) |
| W | Power consumption (kW) |
| Convective heat transfer coefficient (W∙K−1∙m−2) | |
| Density (kg∙m−3) | |
| Efficiency | |
| Dehumidification coefficient | |
| γ | heat leakage coefficient |
| Conductivity (W∙K−1∙m−2) | |
| h | Enthalpy (kJ∙kg−1) |
| v | Volumetric |
| a | air |
| com | Compressor |
| d | Discharge |
| exp | Electronic expansion valve |
| g | Saturated gas-vapor |
| i | Inlet |
| is | Isentropic |
| l | Saturated liquid |
| Motor | Motor |
| o | Outlet |
| r | Refrigerant |
| s | Suction |
| shaft | Shaft |
References
- Barta, R.B.; Groll, E.A.; Ziviani, D. Review of stationary and transport CO2 refrigeration and air conditioning technologies. Appl. Therm. Eng. 2021, 185, 116422. [Google Scholar] [CrossRef]
- Adams, S.; Adedoyin, F.; Olaniran, E.; Bekun, F.V. Energy consumption, economic policy uncertainty and carbon emissions; causality evidence from resource rich economies. Econ. Anal. Policy 2020, 68, 179–190. [Google Scholar] [CrossRef]
- Solaymani, S. CO2 emissions patterns in 7 top carbon emitter economies: The case of transport sector. Energy 2019, 168, 989–1001. [Google Scholar] [CrossRef]
- Mohanraj, M.; Abraham, J.D. Environment friendly refrigerant options for automobile air conditioners: A review. J. Therm. Anal. Calorim. 2020, 147, 47–72. [Google Scholar] [CrossRef]
- Yadav, S.; Liu, J.; Kim, S.C. A comprehensive study on 21st-century refrigerants—R290 and R1234yf: A review. Int. J. Heat Mass Transf. 2021, 182, 121947. [Google Scholar] [CrossRef]
- Cai, D.; Hao, Z.; Xu, H.; He, G. Research on flammability of R290/R134a, R600a/R134a and R600a/R290 refrigerant mixtures. Int. J. Refrig. 2022, 137, 53–61. [Google Scholar] [CrossRef]
- Llopis, R.; Nebot-Andrés, L.; Sánchez, D.; Catalán-Gil, J.; Cabello, R. Subcooling methods for CO2 refrigeration cycles: A review. Int. J. Refrig. 2018, 93, 85–107. [Google Scholar] [CrossRef]
- Bellos, E.; Tzivanidis, C. A comparative study of CO2 refrigeration systems. Energy Convers. Manag. X 2018, 1, 100002. [Google Scholar] [CrossRef]
- Yu, B.; Yang, J.; Wang, D.; Shi, J.; Chen, J. An updated review of recent advances on modified technologies in transcritical CO2 refrigeration cycle. Energy 2019, 189, 116147. [Google Scholar] [CrossRef]
- Manjili, F.E.; Cheraghi, M. Performance of a new two-stage transcritical CO2 refrigeration cycle with two ejectors. Appl. Therm. Eng. 2019, 156, 402–409. [Google Scholar] [CrossRef]
- Song, Y.; Cao, F. The evaluation of the optimal medium temperature in a space heating used transcritical air-source CO2 heat pump with an R134a subcooling device. Energy Convers Manag. 2018, 166, 409–423. [Google Scholar] [CrossRef]
- Song, Y.; Cao, F. The evaluation of optimal discharge pressure in a water precooler-based transcritical CO2 heat pump system. Appl. Therm. Eng. 2018, 131, 8–18. [Google Scholar] [CrossRef]
- Li, J.; Yang, Z.; Li, H.; Hu, S.; Duan, Y.; Yan, J. Optimal schemes and benefits of recovering waste heat from data center for district heating by CO2 transcritical heat pumps. Energy Convers. Manag. 2021, 245, 114591. [Google Scholar] [CrossRef]
- Zhou, A.; Li, X.-s.; Ren, X.-d.; Gu, C.-w. Improvement design and analysis of a supercritical CO2/transcritical CO2 combined cycle for offshore gas turbine waste heat recovery. Energy 2020, 210, 118562. [Google Scholar] [CrossRef]
- Chen, Y.; Zou, H.; Dong, J.; Wu, J.; Xu, H.; Tian, C. Experimental investigation on the heating performance of a CO2 heat pump system with intermediate cooling for electric vehicles. Appl. Therm. Eng. 2021, 182, 116039. [Google Scholar] [CrossRef]
- Wang, D.; Yu, B.; Li, W.; Shi, J.; Chen, J. Heating performance evaluation of a CO2 heat pump system for an electric vehicle at cold ambient temperatures. Appl. Therm. Eng. 2018, 142, 656–664. [Google Scholar] [CrossRef]
- Wang, D.; Yu, B.; Hu, J.; Chen, L.; Shi, J.; Chen, J. Heating performance characteristics of CO2 heat pump system for electric vehicles in a cold climate. Int. J. Refrig. 2018, 85, 27–41. [Google Scholar] [CrossRef]
- Llopis, R.; Sánchez, D.; Sanz-Kock, C.; Cabello, R.; Torrella, E. Energy and environmental comparison of two-stage solutions for commercial refrigeration at low temperature: Fluids and systems. Appl. Energy 2015, 138, 133–142. [Google Scholar] [CrossRef]
- Wang, D.; Wang, Y.; Yu, B.; Shi, J.; Chen, J. Numerical study on heat transfer performance of micro-channel gas coolers for automobile CO2 heat pump systems. Int. J. Refrig. 2019, 106, 639–649. [Google Scholar] [CrossRef]
- Dong, J.; Wang, Y.; Jia, S.; Zhang, X.; Huang, L. Experimental study of R744 heat pump system for electric vehicle application. Appl. Therm. Eng. 2020, 183, 116191. [Google Scholar]
- Wang, D.; Zhang, Z.; Yu, B.; Wang, X.; Shi, J.; Chen, J. Experimental research on charge determination and accumulator behavior in transcritical CO2 mobile air-conditioning system. Energy 2019, 183, 106–115. [Google Scholar] [CrossRef]
- Song, X.; Lu, D.; Lei, Q.; Cai, Y.; Wang, D.; Shi, J.; Chen, J. Experimental study on heating performance of a CO2 heat pump system for an electric bus. Appl. Therm. Eng. 2021, 190, 116789. [Google Scholar] [CrossRef]
- Chen, S.; Yang, W.; Wu, H.; Deng, R.; Li, T.; Guo, Y.; Jin, Z. Experimental study on the heating performance of transcritical CO2 heat pump for electric buses. Sci. Technol. Built Environ. 2022, 29, 65–74. [Google Scholar] [CrossRef]
- Han, X.; Zou, H.; Wu, J.; Tian, C.; Tang, M.; Huang, G. Investigation on the heating performance of the heat pump with waste heat recovery for the electric bus. Renew. Energy 2020, 152, 835–848. [Google Scholar] [CrossRef]
- Jiang, F.; Wang, Y.; Yu, B.; Wang, D.; Shi, J.; Chen, J. Effects of various operating conditions on the performance of a CO2 air conditioning system for trains. Int. J. Refrig. 2019, 107, 105–113. [Google Scholar] [CrossRef]
- Song, X.; Lu, D.; Lei, Q.; Wang, D.; Yu, B.; Shi, J.; Chen, J. Energy and exergy analyses of a transcritical CO2 air conditioning system for an electricity bus. Appl. Therm. Eng. 2021, 190, 116819. [Google Scholar] [CrossRef]
- Han, X.; Zou, H.; Xu, H.; Tian, C.; Kang, W. Experimental study on vapor injection air source heat pump with internal heat exchanger for electric bus. Energy Procedia 2019, 158, 4147–4153. [Google Scholar] [CrossRef]
- Lorentzen, G. Transcritical Vapor Compression Cycle Device. US Patent WO/07683 1990, 12 July 1990. [Google Scholar]
- Lorentzen, G. Revival of carbon dioxide as a refrigerant. Int. J. Refrig. 1994, 17, 292–300. [Google Scholar] [CrossRef]
- Lorentzen, G. The use of natural refrigerants: A complete solution to the CFC/HCFC predicament. Int. J. Refrig. 1995, 18, 190–197. [Google Scholar] [CrossRef]
- Xu, Y.; Mao, C.; Huang, Y.; Shen, X.; Xu, X.; Chen, G. Performance evaluation and multi-objective optimization of a low-temperature CO2 heat pump water heater based on artificial neural network and new economic analysis. Energy 2020, 216, 119232. [Google Scholar] [CrossRef]
- Stene, J. CO2 Heat Pump System for Space Heating and Hot Water Heating in Low-Energy Houses and Passive Houses. In Proceedings of the 1st Nordic Passive House Conference Passivhus Norden 2008, Trondheim, Norway, 2–3 April 2008; p. 36. [Google Scholar]
- Song, Y.; Cui, C.; Li, M.; Cao, F. Investigation on the effects of the optimal medium-temperature on the system performance in a transcritical CO2 system with a dedicated transcritical CO2 subcooler. Appl. Therm. Eng. 2020, 168, 114846. [Google Scholar] [CrossRef]
- Song, Y.; Ye, Z.; Wang, Y.; Cao, F. The experimental verification on the optimal discharge pressure in a subcooler-based transcritical CO2 system for space heating. Energy Build 2018, 158, 1442–1449. [Google Scholar] [CrossRef]
- Yerdesh, Y.; Abdulina, Z.; Aliuly, A.; Belyayev, Y.; Mohanraj, M.; Kaltayev, A. Numerical simulation on solar collector and cascade heat pump combi waterheating systems in Kazakhstan climates. Renew. Energy 2020, 145, 1222–1234. [Google Scholar] [CrossRef]
- Qin, X.; Wang, D.; Jin, Z.; Wang, J.; Zhang, G.; Li, H. A comprehensive investigation on the effect of internal heat exchanger based on a novel evaluation method in the transcritical CO2 heat pump system. Renew. Energy 2021, 178, 574–586. [Google Scholar] [CrossRef]
- Ye, Z.; Wang, Y.; Song, Y.; Yin, X.; Cao, F. Optimal discharge pressure in transcritical CO2 heat pump water heater with internal heat exchanger based on pinch point analysis. Int. J. Refrig. 2020, 118, 12–20. [Google Scholar] [CrossRef]
- Wang, Y.; Ye, Z.; Song, Y.; Yin, X.; Cao, F. Energy, exergy, economic and environmental analysis of refrigerant charge in air source transcritical carbon dioxide heat pump water heater. Energy Convers. Manag. 2020, 223, 113209. [Google Scholar] [CrossRef]
- Nguyen, A.; Eslami-Nejad, P. A transient coupled model of a variable speed transcritical CO2 direct expansion ground source heat pump for space heating and cooling. Renew. Energy 2019, 140, 1012–1102. [Google Scholar] [CrossRef]
- Dai, B.; Qi, H.; Liu, S.; Ma, M.; Zhong, Z.; Li, H.; Song, M.; Sun, Z. Evaluation of transcritical CO2 heat pump system integrated with mechanical subcooling by utilizing energy, exergy and economic methodologies for residential heating. Energy Convers. Manag. 2019, 192, 202–220. [Google Scholar] [CrossRef]
- Dai, B.; Zhao, P.; Liu, S.; Su, M.; Zhong, D.; Qian, J.; Hu, X.; Hao, Y. Assessment of heat pump with carbon dioxide/low-global warming potential working fluid mixture for drying process: Energy and emissions saving potential. Energy Convers. Manag. 2020, 222, 113225. [Google Scholar] [CrossRef]
- Cho, H.; Ryu, C.; Kim, Y.; Kim, H.Y. Effects of refrigerant charge amount on the performance of a transcritical CO2 heat pump. Int. J. Refrig. 2005, 28, 1266–1273. [Google Scholar] [CrossRef]
- Kim, J.H.; Cho, J.M.; Lee, I.H.; Lee, J.S.; Kim, M.S. Circulation concentration of CO2/propane mixtures and the effect of their charge on the cooling performance in an air-conditioning system. Int. J. Refrig. 2007, 30, 43–49. [Google Scholar] [CrossRef]
- Zhang, Z.; Dong, X.; Ren, Z.; Lai, T.; Hou, Y. Influence of Refrigerant Charge Amount and EEV Opening on the Performance of a Transcritical CO2 Heat Pump Water Heater. Energies 2017, 10, 1521. [Google Scholar] [CrossRef]
- Li, Z.; Jiang, H.; Chen, X.; Liang, K. Optimal refrigerant charge and energy efficiency of an oil-free refrigeration system using R134a. Appl. Therm. Eng. 2019, 164, 114473. [Google Scholar] [CrossRef]
- He, Y.-J.; Liang, X.-Y.; Cheng, J.-H.; Shao, L.-L.; Zhang, C.-L. Approaching optimum COP by refrigerant charge management in transcritical CO2 heat pump water heater. Int. J. Refrig. 2020, 118, 161–172. [Google Scholar] [CrossRef]
- Li, K.; Lan, J.; Zhou, G.; Tang, Q.; Cheng, Q.; Fang, Y.; Su, L. Investigation on the Influence of Refrigerant Charge Amount on the Cooling Performance of Air Conditioning Heat Pump System for Electric Vehicles. J. Therm. Sci. 2018, 28, 294–305. [Google Scholar] [CrossRef]
- Li, K.; Yu, J.; Liu, M.; Xu, D.; Su, L.; Fang, Y. A Study of Optimal Refrigerant Charge Amount Determination for Air-Conditioning Heat Pump System in Electric Vehicles. Energies 2020, 13, 657. [Google Scholar] [CrossRef]
- Chesi, A.; Esposito, F.; Ferrara, G.; Ferrari, L. Experimental analysis of R744 parallel compression cycle. Appl. Energy 2014, 135, 274–285. [Google Scholar] [CrossRef]
- Zhang, J.; Zhang, H.-H.; He, Y.-L.; Tao, W.-Q. A comprehensive review on advances and applications of industrial heat pumps based on the practices in China. Appl. Energy 2016, 178, 800–825. [Google Scholar] [CrossRef]
- Laura, A.; Daniel, S.; Daniel, A.; Ramon, C.; Rodrigo, L. Experimental determination of the optimum intermediate and gas-cooler pressures of a commercial transcritical CO2 refrigeration plant with parallel compression. Appl. Eng 2021, 189, 116671. [Google Scholar]
- Han, Z.; Bai, C.; Ma, X.; Li, B.; Hu, H. Study on the performance of solar-assisted transcritical CO2 heat pump system with phase change energy storage suitable for rural houses. Sol. Energy 2018, 174, 45–54. [Google Scholar] [CrossRef]
- Dai, B.; Liu, S.; Zhu, K.; Sun, Z.; Ma, Y. Thermodynamic performance evaluation of transcritical carbon dioxide refrigeration cycle integrated with thermoelectricity subcooler and expander. Energy 2017, 122, 787–800. [Google Scholar] [CrossRef]
- Kohsokabe, H.; Funakoshi, S.; Tojo, K.; Nakayama, S.; Kurashige, K. Basic operating characteristics of CO2 refrigeration cycles with expander-compressor unit. In Proceedings of the International Refrigeration and Air Conditioning Conference at Purdue, West Lafayette, IN, USA, 14–17 July 2006; pp. 1–8. [Google Scholar]
- Kim, H.J.; Ahn, J.M.; Cho, S.O.; Cho, K.R. Numerical simulation on scroll expander–compressor unit for CO2 trans-critical cycles. Appl. Therm. Eng. 2008, 28, 1654–1661. [Google Scholar] [CrossRef]
- Kakuda, M.; Nagata, H.; Ishizono, F. Development of a Scroll Expander for the CO2 Refrigeration Cycle. HVACR Res. 2009, 15, 771–783. [Google Scholar] [CrossRef]
- Nagata, H.; Kakuda, M.; Sekiya, S.; Shimoji, M.; Koda, T. Development of a scroll expander for the CO2 refrigeration cycle. In Proceedings of the International Compressor Engineering Conference at Purdue, West Lafayette, IN, USA, 12–15 July 2010; pp. 1–7. [Google Scholar]
- Gullo, P.; Ryhl, K.M.; Haida, M.; Smolka, J.; Elbel, S. A review on current status of capacity control techniques for two-phase ejectors. Int. J. Refrig. 2020, 119, 64–79. [Google Scholar] [CrossRef]
- Gullo, P.; Tsamos, K.M.; Hafner, A.; Banasiak, K.; Ge, Y.T.; Tassou, S.A. Crossing CO2 equator with the aid of multi-ejector concept: A comprehensive energy and environmental comparative study. Energy 2018, 164, 236–263. [Google Scholar] [CrossRef]
- Song, Y.; Li, D.; Cao, F.; Wang, X. Investigation of the optimal intermediate water temperature in a combined R134a and transcritical CO2 heat pump for space heating. Int. J. Refrig. 2017, 79, 10–24. [Google Scholar] [CrossRef]
- Song, Y.; Li, D.; Cao, F.; Wang, X. Theoretical investigation on the combined and cascade CO2/R134a heat pump systems for space heating. Appl. Therm. Eng. 2017, 124, 1457–1470. [Google Scholar] [CrossRef]
- Rony, R.U.; Yang, H.; Krishnan, S.; Song, J. Recent advances in transcritical CO2 (R744) heat pump system: A review. Energies 2019, 12, 457. [Google Scholar] [CrossRef]
- Bevington, P.R.; Robinson, D.K.; Blair, J.M.; Mallinckrodt, A.J.; McKay, S. Data reduction and error analysis for the physical sciences. Comput. Phys. 1993, 7, 415–416. [Google Scholar] [CrossRef]











| Part Name | Parameter Description |
|---|---|
| Compressor | The displacement is 31.1 cm2 |
| Indoor heat exchanger | The finned heat exchanger is used as the heat exchanger, with the cross-flow as the flow path, copper tube as the material, and a heat exchange area of 0.972 m2 |
| Outdoor heat exchanger | The finned heat exchanger is used as the heat exchanger, with the cross-flow as the flow path, copper tube as the material, and a heat exchange area of 1.615 m2 |
| Throttling device | The electronic expansion valve (EEV) |
| Internal heat exchanger | The plate heat exchanger is used as the heat exchanger, the material is stainless steel, the number of plates is 10, and the heat exchange area is 0.095 m2 |
| Gas-liquid separator | 4.8 L |
| Name | Detailed Description |
|---|---|
| Sample duct | Collects indoor and outdoor ambient air for temperature measurement |
| Thermo-couple | Real-time temperature measurement of key components with a test error of ±0.5 °C |
| Armored thermocouple | Measures the air temperature in the sampling air duct (which is considered to be extracted from the environment) with a test error of ±0.5 °C |
| Thermal insulation cotton | Maintains the relative heat insulation of the thermo-couple measuring pipe |
| Pressure sensor | Monitors the real-time pressure of each component with a test error of ±0.5% of the test value |
Disclaimer/Publisher’s Note: The statements, opinions and data contained in all publications are solely those of the individual author(s) and contributor(s) and not of MDPI and/or the editor(s). MDPI and/or the editor(s) disclaim responsibility for any injury to people or property resulting from any ideas, methods, instructions or products referred to in the content. |
© 2023 by the authors. Licensee MDPI, Basel, Switzerland. This article is an open access article distributed under the terms and conditions of the Creative Commons Attribution (CC BY) license (https://creativecommons.org/licenses/by/4.0/).
Share and Cite
Song, Y.; Xie, H.; Yang, M.; Wei, X.; Cao, F.; Yin, X. A Comprehensive Assessment of the Refrigerant Charging Amount on the Global Performance of a Transcritical CO2-Based Bus Air Conditioning and Heat Pump System. Energies 2023, 16, 2600. https://doi.org/10.3390/en16062600
Song Y, Xie H, Yang M, Wei X, Cao F, Yin X. A Comprehensive Assessment of the Refrigerant Charging Amount on the Global Performance of a Transcritical CO2-Based Bus Air Conditioning and Heat Pump System. Energies. 2023; 16(6):2600. https://doi.org/10.3390/en16062600
Chicago/Turabian StyleSong, Yulong, Hongsheng Xie, Mengying Yang, Xiangyu Wei, Feng Cao, and Xiang Yin. 2023. "A Comprehensive Assessment of the Refrigerant Charging Amount on the Global Performance of a Transcritical CO2-Based Bus Air Conditioning and Heat Pump System" Energies 16, no. 6: 2600. https://doi.org/10.3390/en16062600
APA StyleSong, Y., Xie, H., Yang, M., Wei, X., Cao, F., & Yin, X. (2023). A Comprehensive Assessment of the Refrigerant Charging Amount on the Global Performance of a Transcritical CO2-Based Bus Air Conditioning and Heat Pump System. Energies, 16(6), 2600. https://doi.org/10.3390/en16062600
