Next Article in Journal
A Mathematical Model for Home Appliances in a DC Home Nanogrid
Previous Article in Journal
Rate Decline of Acid Fracturing Stimulated Well in Bi-Zone Composite Carbonate Gas Reservoirs
 
 
Font Type:
Arial Georgia Verdana
Font Size:
Aa Aa Aa
Line Spacing:
Column Width:
Background:
Article

Experimental Assessment on the Coupling Effect of Mixing Length and Methane-Ammonia Blends on Flame Stability and Emissions

by
Marwan Abdullah
1,
Thibault F. Guiberti
2,3 and
Radi A. Alsulami
1,*
1
Department of Mechanical Engineering, King Abdulaziz University, Jeddah 21589, Saudi Arabia
2
Clean Combustion Research Center, King Abdullah University of Science and Technology (KAUST), Thuwal 23955-6900, Saudi Arabia
3
Mechanical Engineering Program, Physical Science and Engineering Division, King Abdullah University of Science and Technology (KAUST), Thuwal 23955-6900, Saudi Arabia
*
Author to whom correspondence should be addressed.
Energies 2023, 16(7), 2955; https://doi.org/10.3390/en16072955
Submission received: 6 March 2023 / Revised: 19 March 2023 / Accepted: 22 March 2023 / Published: 23 March 2023

Abstract

Lean premixed combustion mode has become attractive for utilization in industrial gas turbines due to its ability to meet strict emissions regulations without compromising engine efficiency. In this combustion mode, the mixing process is the key player that affect the flame structure and stability, as well as the generated emissions. Many studies have investigated the aspects that influence premixed flames, including the effects of turbulence, combustor geometry, and level of partial premixing, while mostly using conventional natural gas fuel represented by methane. Recently, ammonia, a sustainable energy source, has been considered in gas turbines due to its carbon-free fuel producing no CO2. Utilizing 100% ammonia or a blend of methane and ammonia alters the combustion performance of a premixed flame due to the variation associated with the physical and chemical properties of ammonia. Thus, investigating the coupling between blend ratios and mixing length of methane-ammonia on flame stability and emissions is an essential step toward implementing ammonia in industrial gas turbines. In this study, the influence of various methane-ammonia blends, from 0 (pure methane) to XNH3 = 75%, and mixing lengths on the flame performance were studied. The mixing length was altered by delaying the injection (i.e., partially premixing) of the ammonia while using a fixed injection location for the reference methane-air mixture. This was done by using three fuel ports located at three different heights upstream of the combustion chamber. The results showed that the flame stability is negatively influenced by increasing (decreasing) ammonia fraction (mixing length ratio) and is more sensitive to the ammonia fraction than to the mixing length. At a constant equivalence ratio, the CO and NOx performances improved positively by increasing the ammonia volume fractions (especially at XNH3 = 75% compared to XNH3 = 25% and 50%) and the mixing length.

1. Introduction

Around 37% of the world’s energy is consumed as electricity [1]. More than 80% of that energy is supplied by fossil fuel. Although a significant amount of energy is associated with fossil fuels, these are not sustainable energy sources and are responsible for greenhouse gas emissions, especially when burned, which contributes to climate change [2,3]. The current strict regulations implemented by worldwide governments on pollutants emissions emitted from combustion devices burning hydrocarbons have driven much attention towards carbon-free fuels, e.g., ammonia (NH3) and hydrogen (H2). Furthermore, lean premixed combustion has been widely adopted in land-based gas turbines due to its superior emission performance. However, engines operating on lean premixed mode are usually prone to combustion instability, including autoignition, flashback, blow-off, and dynamic instabilities [4,5].
Flame stability and emissions are influenced by the level of fuel-air mixture inhomogeneity. Full mixing of the mixture upstream of the combustion chamber is desired to obtain low emissions. However, it is usually challenging to achieve complete mixing of fuel and air due to the short time available for this mixing and to some operational constraints, including avoiding flashback and auto-ignition [6]. Thus, the method of mixing is crucial in generating an appropriate mixture for efficient combustion with minimal pollution [7,8,9,10]. In this regard, Elbaz et al. [7] used a concentric flow slot burner to study the consequences of altering the velocity ratios between air and fuel and the level of mixture inhomogeneity on the mixing field structure and flame stability of two fuels (i.e., propane and natural gas). Their results showed that propane has a better mixture homogeneity than methane due to a higher velocity ratio with air. In addition, the flame stability performance was enhanced with a short mixing length due to the presence of lean and rich pockets (i.e., inhomogeneous global mixture). Similarly, Mansour [10] studied a wide range of mixture inhomogeneity using a concentric flow conical nozzle burner equipped with co-axial circular tubes. Other researchers utilized the same approach using laboratory burners [11,12,13,14,15,16,17,18,19], finding contradicting behaviors, including a positive relationship between mixture inhomogeneity and flame stability, in most cases, indicating that an inhomogeneous mixture increases flame stability. Badawy et al. [14] used a custom burner with variations of premixing degrees to compare the flame stability of natural gas (NG) and liquid petroleum gas (LPG). They observed that premixing level variation impacted the stability of the LPG flame significantly more than that of the NG and LPG flame as the mixing degree increased, while the stability of the NG flame was improved at a lower level of premixing. The stability of methane-air flames was examined at two fuel injection locations; one close to the burner outlet (generating a partially premixed flame) and the other one far from the flame (simulating a fully premixed flame), using the thermo-acoustic instability frequencies method [16]. The data proved that in the partially premixed case, there was lower instability frequencies, meaning that the flame stability map was extended due to incomplete premixing of fuel and air. Scarinci et al. [17] proposed different premixing techniques by changing how ethylene fuel and/or air are injected so that fuel-air ratio fluctuations over a wide range of frequencies could be passively damped out. Injecting the air through many small holes while supplying the fuel from a single source at the bottom of the mixer removed combustion instabilities while maintaining excellent NOx and CO emission levels. While the studies mentioned above have enhanced our understanding regarding the relationship between mixing quality and flame stability and emissions of conventional gaseous fuels, it necessary to investigate carbon-free fuels, e.g., ammonia, to accelerate its utilization, since these have different physical and chemical properties compared to traditional fuels.
Ammonia, a highly hydrogenated molecule, is, along with hydrogen, a promising substitute for conventional carbon-based fuels to mitigate carbon emissions [20,21]. However, fueling existing engines with ammonia is challenging for several reasons, including its low reactivity, represented by its flame speed, low flammability limits, high auto-ignition temperature, and its potential to produce high fuel-NOx. Recently, many researchers have studied the flame stabilization and emission performance of premixed fuel-air mixture utilizing pure ammonia or blends with methane, e.g., [5,22,23,24,25,26,27,28]. Hayakawa et al. [22] studied the flame stability and emission of ammonia-air premixed flames at various equivalence ratios and inlet flow velocities using a swirl combustor. They found that the flame was relatively stable under rich conditions while generating low NO concentration. Okafor et al. [23] used pure ammonia in a micro gas turbine combustor to assess NO emission and combustion efficiency. They successfully achieve low NO and high combustion efficiency for a slightly rich equivalence ratio, e.g., ϕ~1.1.
The stabilization mechanisms of ammonia-methane-air premixed flame have been taken into consideration by several publications [29,30,31,32,33,34,35,36,37,38,39]. In one of the pioneering works, Valera-Medina et al. [30] attempted to mitigate the low reactivity and fuel-NOx production of pure ammonia in gas turbine combustion via a testing blend of ammonia and methane (i.e., 61% NH3–39% CH4 in mole fraction) and different equivalence ratios. They found the lowest emissions with a blend fuel at ϕ ≥ 1.15 but an unacceptable CO level and lower stability. Ito et al. [32] used a two-stage combustion system to achieve low emissions and high combustion efficiency, which is difficult to achieve with a single-stage combustor. Khateeb et al. [34] examined the impact of ammonia fraction in NH3-CH4-air fuel mixtures on flame stability limit and exhaust emissions utilizing a generic swirl burner under atmospheric pressure conditions. They found that NO concentrations reached a maximum value at around 50% ammonia fraction and equivalence ratios between ϕ~0.70 and 0.80. The same group reproduced this study with elevated pressures in [35] and found that flames could be stabilized at a leaner equivalence ratio as the pressure increased. However, they observed that good NO performance was limited only to rich equivalence ratios, and they recommended a two-stage combustion in order to ensure globally lean operation. Avila et al. [36] studied emissions from a reduced-scale swirl burner relevant to a micro combustor while using an ammonia-methane mixture for a wide range of equivalence ratios. The study concluded that lean mixtures of ammonia and methane at equivalence ratios below 0.7 could lead to reduce NO emissions; however, they still exceeded global emissions targets.
From the literature above, extensive research has been done on investigating the impact of (1) mixing fields/quality (while mainly using conventional fuels, e.g., LPG and NG, sometimes represented by methane) and (2) ammonia-methane blends on premixed combustion instabilities and emissions. Considering the current trend in utilizing carbon-free fuels for power generation, the present work aimed to shed further light on these aspects by investigating the influence of the coupling between mixing length effect and methane-ammonia blends on flame stability and emissions. Different ammonia-methane blends (from 0, pure methane, to ammonia volume fraction of 75%) were used at a wide range of equivalence ratios from lean blow-off limits to fuel-rich conditions. Three different fuel inlet locations upstream of the combustion chamber were utilized, altering the mixing length and thus the homogeneity of the fuel-air mixtures reaching the combustion region.

2. Experimental Set-Up and Methods

Understanding the coupling between the fuel-air mixing time/length and fuel compositions is a crucial step for ensuring stabilized flame with minimal generated emissions. To achieve this, a newly constructed stainless steel swirl burner, able to simulate various partially premixed modes by injecting the fuels from different locations upstream of the combustion chamber, was utilized. The burner and the experimental setup are shown in Figure 1, including a real image and a 3D schematic showing the burner’s main dimensions. The combustion chamber is delineated by a high-temperature resistant quartz tube with a 196-mm length and an inner diameter of 104 mm. The flame is swirled using eight tilted flat vanes at 45° fixed angle with respect to the centerline axis. A strong swirl flow with a swirl number (SN) of 0.78 is estimated using the following equation:
S N = 2 3 1 D h u b / D s w 3   1 D h u b / D s w 2     t a n   θ .
In Equation (1), 𝜃 is the flat vanes angles and equals 45°, D h u b is the swirler hub diameter (acting similar to a bluff-body) equal to 19.2 mm, and D s w is the swirler diameter of 38.4 mm. The vane angle and, accordingly, the swirl number used in the current study, are in the range recommended by [40] to generate sufficient swirl motion aiding in stabilizing the flame. Similar swirl specifications have been used in many related works, e.g., [22].
In this study, methane (CH4) fuel was used to represent natural gas (NG) due to its well-defined properties. Ammonia (NH3) with 99.9% purity was also used. Select properties of the tested fuels important for the current work are listed in Table 1. This work assessed various methane-ammonia blends and used three axial injection locations to introduce ammonia separately from methane. Variation in the position of the ammonia injection entrance altered the distance available for it to mix with the main mixture of methane and air. Port 1, located at the burner plenum, 627 mm upstream of the burner outlet, was used to inject the methane-air mixture (i.e., reference case). It is worth noting that the reference case was chosen as one point from port 1 because it provided the optimal/best flame stability and the least generated emissions compared to the other injection ports and tested fuel fractions. Ammonia may be injected from Port 1 along with the methane-air mixture. Alternatively, ammonia may be injected from Port 2 or Port 3, located 410.5 mm and 276 mm upstream of the combustion chamber, respectively, as shown in Figure 1. The mixing length, i.e., the distance between the port where ammonia is injected and burner lip (L), is normalized by the hydraulic burner diameter, calculated for the annular regime at the burner exit (D = D s w D h u b = 19.2 mm), to yield the (L/D) ratio. The details of the conditions tested in this work are listed in Table 2. The tested cases covered a range of global equivalence ratios, ϕ, between the lean blow-off limit and 1.35, thermal power, P t h , between ~2.1 and 6.1 kW, a range of L/D between 14 and 32, and various methane-ammonia blends, e.g., from 0 (pure methane) to 75% ammonia volume fraction, while Reynolds numbers, Re, ranged from 6200 to 7200. The global Reynolds number, thermal power, ammonia volume fractions from the fuel blend, and equivalence ratio were evaluated using the following equations, respectively:
R e = V ˙ a i r + V ˙ f u e l ρ   μ D ,  
P t h = m ˙ f .   L H V f ,  
X N H 3 = V ˙ N H 3 V ˙ N H 3 + V ˙ C H 4 ,  
ϕ = F A A c t u a l F A stoichiometric ,
where ρ is for the density of the fuel-air mixture, D is the injector’s hydraulic diameter of 19.2 mm, and μ stands for the dynamic viscosity of the fuel-air mixture. The volume flowrate of the air and fuel mixture are represented by V ˙ a i r   and   V ˙ f u e l , respectively. In Equation (3), m ˙ f stands for the mass flow rate of each fuel, and L H V f is the lower heating value of the used fuels (i.e., heat of combustion), as listed in Table 1. In Equation (5), F A A c t u a l was provided by mass flow controllers, while F A stoichiometric was predicted using the complete stoichiometric reaction of the fuel mixture and air. The flow rates of methane, ammonia, and air were controlled using Brooks mass flow controllers (SLA 5851 series) with an accuracy of ±0.6%. The fuels and air were delivered at room temperature, i.e., 298 ± 5 K.
The experiments were conducted under sea level conditions, i.e., 1 atm and 298 K. As mentioned above, the influence of mixing length, fuel blend, and equivalence ratio on flame stability, flame structure, and emissions were extensively investigated in this study. Flame stability was quantified by measuring the flame’s lean blow-off limit for each tested case. The lean blow-off was achieved by slowly decreasing the fuel flow rate while maintaining a constant air flow rate until the flame blew off, and then the equivalence ratio was noted. For each tested condition, measurements were repeated at least three times showing a maximum uncertainty of 0.5%.
To investigate flame structure, images were recorded with a digital camera (DSLR Nikon D700, AF-S NIKKOR 24–70 mm F2.8G, Nikon, Tokyo, Japan) with an exposure time of 2.00 s, an aperture of f/7.1, and 250 ISO number. At least five images were taken for each tested case. The exhaust emission, mainly NOx and CO, were measured using a Testo 350 gas analyzer showing a maximum deviation of 2% from the mean value. The gas analyzer probe was placed at the exit of the combustion chamber, ~10 cm downstream of the quartz tube, and the concentrations of the exhaust gases were recorded three times. The average of the three recorded values was then taken.

3. Results and Discussion

Understanding the effects of adding ammonia along with conventional fuel and the optimum mixing scenarios on flame stability and emissions is required to utilize ammonia fuel in gas turbine combustors successfully. Thus, flame stability limits and topology, as well as the CO and NOx emissions, were measured in this work for a wide range of methane-ammonia blends, mixing length, and equivalence ratios.

3.1. Flame Stability

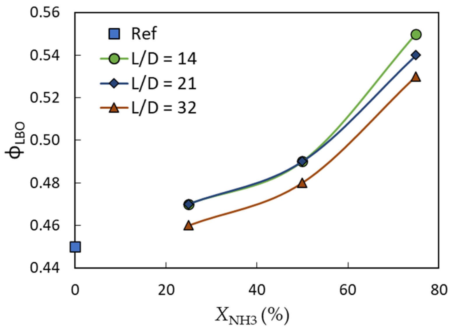
Flame stability was quantified by measuring the equivalence ratio for which lean blow-off occurs. Figure 2 shows the measured lean blow-off limits as a function of ammonia volume fraction for different mixing lengths. The baseline methane-air (i.e., Ref. case) was first examined at the baseline port (L/D = 32) and showed the best lean blow-off performance with ϕ = 0.45. As expected, the equivalence ratio at lean blow-off increased when the ammonia volume fraction increased. This was attributed to the reduction in the fuel blend reactivity (i.e., laminar flame speed) at a constant equivalence ratio [34,36]. As shown in Figure 2, similar strong positive correlation trends between flame stability limits and ammonia volume fractions for the different mixing lengths were noticed. The mixing ratio of L/D = 32 showed better lean blow-off performance over all tested blend ratios compared to the cases when ammonia injection was partially premixed (i.e., L/D = 14 and 21). For the tested conditions in the current work, the results indicate that the sooner ammonia was injected with methane, allowing for sufficient mixing, the better the flame stability. This is in agreement with similar results reported by [34,36]. However, other related works have listed that increasing the mixing degree lowers the flame stability. It is worth noting that in the current work we altered the mixing length of the reference mixture (methane-air) and ammonia by injecting the ammonia from different locations. Thus, delaying (i.e., partially premixing) the lower reactive fuel (ammonia) is probably not advantageous even with the existence of a local inhomogeneous mixture, which is usually associated with flame stability enhancement, especially when more reactive fuel (e.g., methane and/or hydrogen) is used.
Figure 2 shows a slight decrease in the equivalence ratio at the lean blow-off limits as the mixing length increases for constant ammonia fraction. A maximum lean blow-off enhancement of ~4% was noticed as the mixing is increased from L/D = 14 to 32 for the 75% ammonia fraction. On the other hand, a maximum flame stability reduction of ~17% was observed when the ammonia fraction was increased from 25% to 75% in the case of a shorter mixing length (i.e., L/D = 14). These results show that the lean blow-off limits for the current tested conditions were highly influenced by the ammonia fuel fraction and, to a lesser extent, the mixing length. An attempt to correlate the lean blow-off data with the ammonia fuel fraction and mixing length ratio was done by means of multiple regression analysis such that ϕ L B O = X NH 3 a   L / D b . The analysis resulted in fitting correlation factors of a = 0.13 and b = −0.03 with correlation coefficient (R2) of 0.86, indicating a strong positive correlation between ϕ L B O and XNH3 and a weak negative correlation between ϕ L B O and L/D, consistent with the observations above (Figure 2). The slight negative effect of mixing length on flame stability may indicate that this relation can be flipped to a positive one if a shorter mixing (i.e., L/D < 14, which is the shorter mixing length used in the current work) is used, leading to an enhancement of flame stability as noticed, for example, when pilot jet flame was utilized, e.g., as in [28].

3.2. Flame Shape

Figure 3 shows time-averaged broadband images of methane-ammonia-air flames for various mixing length ratios, ammonia volume fractions, and equivalence ratios. The reference methane air flame in Figure 3a shows a weak (faded) blue flame at leaner condition turning into a smaller and compact flame at stoichiometric fuel/air ratio. Interestingly, the reference flame turned into a larger and lighter bluish flame as ϕ reaches 1.35 with orange color toward the top of the combustion zoon indicating the presence of soot. With all mixing length ratio cases (Figure 3a–c), increasing the ammonia fuel fraction, for constant ϕ, led to a slightly larger flame and more significantly increased the intensity of the yellow-orange color in the flame. This color is mainly attributed to the NH2 ammonia alpha and water spectra (sometimes referred to nitrogen glow) as explained by [34].
To clearly demonstrate the influence of the mixing length on flame shape and behavior, images of the tested L/D ratios are plotted together at constant ϕ of 1.0 in Figure 4. For fixed ammonia fraction (e.g., 25%), the flame size shrank and became more compact near the swirler outlet as the mixing length ratio decreased. Adding more ammonia seemed to enlarge the flame. This can be explained by the presence of intense chemiluminescence (mainly CH* radical) when a less homogeneous mixture with higher reactivity was generated caused by lower mixing length ratio and/or ammonia fraction. This situation is opposite to the case when the ammonia fraction was increased leading to reduced hydrocarbon in the mixture.

3.3. Exhaust Gas Emissions

CO and NOx emissions were measured for the different conditions tested in this study, particularly for ϕ > 0.6, to ensure stable flame exists. Figure 5 shows the CO concentration as a function of ϕ for different mixing length ratios at fixed ammonia fractions. The reference methane-air had a low CO concentration at ϕ < 1.0 (as low as 0 ppm at ϕ = 0.9) before it sharply increased at ϕ > 1.0 reaching a maximum value of ~2000 ppm at ϕ ~1.35. This is attributed to uncomplete combustion especially at rich equivalence ratios where there is no sufficient oxygen to complete the reaction. As expected, increasing the mixing length ratios and/or ammonia volume fraction generally decreased the generated CO concentration. A longer mixing scenario is usually associated with more homogeneous mixture and thus better CO conversion to CO2, while increasing the volume fraction of carbon-free fuel (ammonia) in the mixture leads to lower carbon and thus less generated CO emission.
To better understand the influence of the mixing length ratio and ammonia fraction, the CO emission concentration for one equivalence ratio (e.g., ϕ = 1.1) is plotted in Figure 6. In general, for a fixed mixing ratio, a negative correlation between CO concentration and ammonia fractions appeared, indicating that, as expected, increasing the fraction of ammonia (carbon-free fuel) in the blend led to CO emission reduction. On the other hand, generally, decreasing the mixing length ratio seemed to increase the CO concentration. Figure 6 shows that decreasing the mixing length ratio from L/D = 32 to 14 increased CO concentration by a factor of about three for ammonia volume fractions of 25% and 50%. Although the CO concentration at XNH3 = 75%, and for all the mixing length ratios, was less than 76 ppm (relatively low), it was noticed that the CO emission was increased by a factor of ~4.4 when the mixing ratio reduced from L/D = 32 to 14. Figure 6 also shows that for a constant L/D =32, a significant reduction in the CO concentration (~97%) was achieved for XNH3 = 75% compared to pure methane. From Figure 6, a maximum decrease (by a factor of ~7) was noticed when ammonia fraction was increased from 25% to 75% for L/D = 21 case. This factor was decreased to about four with a shorter mixing length of L/D = 14. A multiple regression analysis, similar to that used earlier with lean flame blow-off, was done for the CO data concentration presented in Figure 6, showing a strong negative correlation between measured CO from one side and the mixing length ratio and ammonia fraction from the other side. The resultant fitting correlation factors were a = −1.5 and b = −1.5, with a correlation coefficient R2 of 0.81, indicating a similar negative sensitivity of the CO emission with L/D and ammonia fraction. This increase in the mixing length ratio is usually tied to a better homogeneous mixture. At the same time, a higher ammonia fraction means replacing a carbon fuel, which both tend to reduce CO emissions.
Figure 7 illustrates the NOx concentration as a function of ϕ for different mixing length ratios at fixed ammonia fractions. The reference methane-air mixture produced the lowest NOx concentration over all tested equivalence ratios (i.e., maximum value of ~20 ppm at ϕ = 1.0). This low value indicates an excellent NOx performance of the current burner. In the present study, the largest reported NOx concentration was 2900 ppm at ϕ = 0.85, L/D = 14, and ammonia fraction of 25%. These specific conditions could be favorable for NOx generation as shorter mixing length (leading to higher temperature as a result of existing pocket of rich fuel/air ratio) and enough ammonia coexisted. Higher reaction temperature enhanced the thermal NOx pathway, while having NH3 in the mixture promoted NOx generation from the fuel pathway. For most of ammonia fractions and mixing length ratios, the highest NOx emission occurred between ϕ = 0.8 and 0.95. The NOx concentration was relatively low (in most cases lower than 1500 ppm) at leaner conditions (e.g., ϕ < 0.8) and lower than 1000 ppm for richer conditions, e.g., ϕ ≥ 1.1. Similar trends/observations were noticed by [34]. Generally, increasing the mixing length ratio and using higher ammonia fuel fraction led to substantial reduction in NOx formation.
To further explain the influence of mixing length and ammonia fraction on NOx, Figure 8 shows the measured NOx concentration at a fixed ϕ = 0.9 as a function of ammonia fraction and for different mixing length ratios. It is interesting to note the trend of NOx concentration for the case of L/D = 32. The NOx level started very low at ~20 ppm when pure methane was used, then it substantially increased, reaching a maximum level of ~1780 ppm at XNH3 = 50%, before it dropped to ~880 ppm at the higher ammonia fraction (i.e., XNH3 = 75%). Figure 8 also shows that decreasing the mixing length ratio from L/D = 32 to 14 increased NOx concentration significantly by a factor of ~2 and 1.5 for ammonia volume fractions of 25% and 50%, respectively. This factor was reduced to ~1.2 at an ammonia volume fraction of 75%. Figure 8 shows that for a fixed mixing length ratio, the NOx concentration was very similar for ammonia volume fractions of 25% and 50%, decreasing dramatically when ammonia volume fraction dominated the mixture, e.g., at 75%. This behavior has been explained in the literature [5,31,39] and is attributed to the role of OH radicals in the NOx chemical pathways of ammonia-methane-air flames. The presence of large OH radical concentrations promote the oxidation of NH2 and NH radicals leading to NOx production [9,42]. The production of OH radicals is less in higher ammonia fraction flames (e.g., at 75%) than in smaller ammonia volume fraction (e.g., 25% and 50%), yielding lower NOx concentrations.

4. Conclusions

The current study investigated the coupled influence of mixing length and methane-ammonia blend composition on flame stability, morphology, and exhaust emissions (CO and NOx). The mixing length was altered by utilizing three different ports with various horizontal locations upstream of the combustion chamber to inject ammonia while maintaining a fixed injection location of the reference methane-air mixture. The ammonia volume fraction in the fuel blend and the global equivalence ratio were varied. The main findings of the current study are summarized below:
  • The lean blow-off limit for the current tested conditions was highly influenced by the ammonia fuel fraction and to a lesser extent by the mixing length. A maximum lean blow-off enhancement of ~4% was noticed when the mixing length ratio increased from L/D = 14 to 32 for the 75% ammonia fraction, while a maximum flame stability reduction of ~17% was observed when the ammonia volume fraction increased from 25% to 75% in the shorter mixing length case (i.e., L/D = 14).
  • Averaged flame images showed that increasing ammonia fuel fraction, for a constant equivalence ratio, led to a larger and brighter flame. The flame size shrank when the mixing length ratio was reduced for a fixed ammonia fraction and equivalence ratio, and also became more compact near the swirler outlet.
  • Increasing the mixing ratio and/or ammonia volume fraction decreased the CO concentration due to the relatively complete combustion of a more homogeneous mixture and/or the presence of less carbon caused by the increasing amount of carbon-free (ammonia) fuel, respectively.
  • Regardless of the equivalence ratio, the NOx concentration was negatively influenced by the mixing length ratio and the ammonia fraction. Generally, for a fixed equivalence ratio and L/D = 32, the NOx concentration increased from ~20 ppm to 1780 ppm when the ammonia fraction was increased from 0 (pure methane) to XNH3 = 50%, before it dropped again to ~880 ppm at XNH3 = 75%.
  • Delaying the injection (down to L/D = 14, which is the lower mixing limit used in current study) of the less reactive carbon-free fuel (ammonia), showed negative impacts on flame performance and emissions, leading to flame extinguishing at a larger equivalence ratio and increased CO and NOx emissions.
The results observed from the current study highlight the importance of adequately mixing the carbon-free fuel (ammonia) with the methane-air mixture upstream of the combustion chamber. The results also show superior emission performance for the high ammonia volume fraction blend (e.g., XNH3 = 75%) compared to lower fractions, e.g., 25% and 50%, indicating that a higher ammonia fraction should be considered if ammonia is utilized.

Author Contributions

Conceptualization, M.A. and R.A.A.; Methodology, M.A. and R.A.A.; Software, M.A.; Formal analysis, M.A. and R.A.A.; Investigation, M.A. and R.A.A.; Resources, R.A.A. and T.F.G.; Data curation, M.A.; Writing—original draft preparation, M.A. and R.A.A.; Writing—review and editing, M.A., R.A.A. and T.F.G.; Visualization, M.A. and R.A.A.; Supervision, R.A.A. and T.F.G. All authors have read and agreed to the published version of the manuscript.

Funding

This research received no external funding.

Data Availability Statement

The data presented in this study are available on request from the corresponding author.

Conflicts of Interest

The authors declare no conflict of interest.

References

  1. Capuano, L. US Energy Information Administration’s International Energy Outlook 2020 (Ieo2020); US Department of Energy: Washington DC, USA, 2020; Volume 7.
  2. Salam, M.A.; Khan, S.A. Transition towards Sustainable Energy Production—A Review of the Progress for Solar Energy in Saudi Arabia. Energy Explor. Exploit. 2018, 36, 3–27. [Google Scholar] [CrossRef]
  3. Amran, Y.H.A.; Amran, Y.H.M.; Alyousef, R.; Alabduljabbar, H. Renewable and Sustainable Energy Production in Saudi Arabia According to Saudi Vision 2030; Current Status and Future Prospects. J. Clean. Prod. 2020, 247, 119602. [Google Scholar] [CrossRef]
  4. Taamallah, S.; Vogiatzaki, K.; Alzahrani, F.M.; Mokheimer, E.M.A.; Habib, M.A.; Ghoniem, A.F. Fuel Flexibility, Stability and Emissions in Premixed Hydrogen-Rich Gas Turbine Combustion: Technology, Fundamentals, and Numerical Simulations. Appl. Energy 2015, 154, 1020–1047. [Google Scholar] [CrossRef]
  5. Kobayashi, H.; Hayakawa, A.; Somarathne, K.D.K.A.; Okafor, E.C. Science and Technology of Ammonia Combustion. Proc. Combust. Inst. 2019, 37, 109–133. [Google Scholar] [CrossRef]
  6. Huang, Y.; Yang, V. Dynamics and Stability of Lean-Premixed Swirl-Stabilized Combustion. Prog. Energy Combust. Sci. 2009, 35, 293–364. [Google Scholar] [CrossRef]
  7. Elbaz, A.M.; Mansour, M.S.; Akoush, B.M.; Juddoo, M.; Khedr, A.M.; Al-Bulqini, H.M.; Zayed, M.F.; Ahmed, M.M.A.; Roberts, W.L.; Masri, A.R. Detailed Investigation of the Mixing Field and Stability of Natural Gas and Propane in Highly Turbulent Planar Flames. Fuel 2022, 309, 122222. [Google Scholar] [CrossRef]
  8. Souflas, K.; Koutmos, P. On the Non-Reacting Flow and Mixing Fields of an Axisymmetric Disk Stabilizer, under Inlet Mixture Stratification and Preheat. Exp. Therm. Fluid Sci. 2018, 99, 357–366. [Google Scholar] [CrossRef]
  9. Glarborg, P.; Miller, J.A.; Ruscic, B.; Klippenstein, S.J. Modeling Nitrogen Chemistry in Combustion. Prog. Energy Combust. Sci. 2018, 67, 31–68. [Google Scholar] [CrossRef]
  10. Mansour, M.S. A Concentric Flow Conical Nozzle Burner for Highly Stabilized Partially Premixed Flames. Combust. Sci. Technol. 2000, 152, 115–145. [Google Scholar] [CrossRef]
  11. Meares, S.; Masri, A.R. A Modified Piloted Burner for Stabilizing Turbulent Flames of Inhomogeneous Mixtures. Combust. Flame 2014, 161, 484–495. [Google Scholar] [CrossRef]
  12. Barlow, R.S.; Meares, S.; Magnotti, G.; Cutcher, H.; Masri, A.R. Local Extinction and Near-Field Structure in Piloted Turbulent CH4/Air Jet Flames with Inhomogeneous Inlets. Combust. Flame 2015, 162, 3516–3540. [Google Scholar] [CrossRef]
  13. Ahmed, M.M.A.; Birouk, M. Mixing Tube Length Effect on the Stability of Confined Swirling Partially Premixed Methane Flames off a Concentric Flow Conical Nozzle Burner. Combust. Sci. Technol. 2021, 193, 2833–2855. [Google Scholar] [CrossRef]
  14. Badawy, T.; Hamza, M.; Mansour, M.S.; Elbaz, A.M.; Turner, J.W.G.; Fayad, M.A.; Al Jubori, A.M.; Daabo, A.M.; Wang, Z.; Wang, C. Flame Stability and Equivalence Ratio Assessment of Turbulent Partially Premixed Flames. Fuel 2022, 326, 125107. [Google Scholar] [CrossRef]
  15. El-Mahallawy, F.; Abdelhafez, A.; Mansour, M.S. Mixing and Nozzle Geometry Effects on Flame Structure and Stability. Combust. Sci. Technol. 2007, 179, 249–263. [Google Scholar] [CrossRef]
  16. Kwak, S.; Joo, S.; Chul Lee, M.; Yoon, Y. Difference in Thermo-Acoustic Instability Frequency Between Partially and Fully Premixed Flames. J. Propuls. Power 2022, 38, 726–735. [Google Scholar] [CrossRef]
  17. Scarinci, T.; Freeman, C.; Day, I. Passive Control of Combustion Instability in a Low Emissions Aeroderivative Gas Turbine. In Proceedings of the Turbo Expo: Power for Land, Sea, and Air, Vienna, Austria, 14–17 June 2004; Volume 41669, pp. 487–499. [Google Scholar]
  18. Meares, S.; Prasad, V.N.; Magnotti, G.; Barlow, R.S.; Masri, A.R. Stabilization of Piloted Turbulent Flames with Inhomogeneous Inlets. Proc. Combust. Inst. 2015, 35, 1477–1484. [Google Scholar] [CrossRef]
  19. Alsulami, R.A. Study on Lean Premixed Flame Stability Enhancement by Altering Fuel-Air Mixture Homogeneity. In Proceedings of the AIAA SCITECH 2023 Forum, National Harbor, MD, USA, 23–27 January 2023; p. 922. [Google Scholar]
  20. Zamfirescu, C.; Dincer, I. Using Ammonia as a Sustainable Fuel. J. Power Sources 2008, 185, 459–465. [Google Scholar] [CrossRef]
  21. Valera-Medina, A.; Banares-Alcantara, R. Techno-Economic Challenges of Green Ammonia as an Energy Vector; Academic Press: Cambridge, MA, USA, 2020; ISBN 0128208864. [Google Scholar]
  22. Hayakawa, A.; Arakawa, Y.; Mimoto, R.; Somarathne, K.D.K.A.; Kudo, T.; Kobayashi, H. Experimental Investigation of Stabilization and Emission Characteristics of Ammonia/Air Premixed Flames in a Swirl Combustor. Int. J. Hydrog. Energy 2017, 42, 14010–14018. [Google Scholar] [CrossRef]
  23. Okafor, E.C.; Somarathne, K.D.K.A.; Hayakawa, A.; Kudo, T.; Kurata, O.; Iki, N.; Kobayashi, H. Towards the Development of an Efficient Low-NOx Ammonia Combustor for a Micro Gas Turbine. Proc. Combust. Inst. 2019, 37, 4597–4606. [Google Scholar] [CrossRef]
  24. Ariemma, G.B.; Sorrentino, G.; Ragucci, R.; de Joannon, M.; Sabia, P. Ammonia/Methane Combustion: Stability and NOx Emissions. Combust. Flame 2022, 241, 112071. [Google Scholar] [CrossRef]
  25. Vigueras-Zúñiga, M.O.; Tejeda-del-Cueto, M.E.; Mashruk, S.; Kovaleva, M.; Ordóñez-Romero, C.L.; Valera-Medina, A. Methane/Ammonia Radical Formation during High Temperature Reactions in Swirl Burners. Energies 2021, 14, 6624. [Google Scholar] [CrossRef]
  26. Kim, N.; Lee, M.; Park, J.; Park, J.; Lee, T. A Comparative Study of NOx Emission Characteristics in a Fuel Staging and Air Staging Combustor Fueled with Partially Cracked Ammonia. Energies 2022, 15, 9617. [Google Scholar] [CrossRef]
  27. Vijrumbana, Y.; Singh, A.S.; Lee, B.J.; Reddy, V.M. Chemical Kinetic Analysis to Study the Potential of Fuel Staging in Reducing the Emissions from NH3/CH4-Air Combustion at Different Pressures. Fuel 2023, 339, 127404. [Google Scholar] [CrossRef]
  28. Avila Jimenez, C.D.; Cardona, S.; Juaied, M.A.; Younes, M.; Jamal, A.; Guiberti, T.F.; Roberts, W.L. Influence of the Pilot Flame on the Morphology and Exhaust Emissions of NH3-CH4-Air Swirl Flames Using a Reduced-Scale Burner at Atmospheric Pressure. Energies 2022, 16, 231. [Google Scholar] [CrossRef]
  29. Jojka, J.; Ślefarski, R. Dimensionally Reduced Modeling of Nitric Oxide Formation for Premixed Methane-Air Flames with Ammonia Content. Fuel 2018, 217, 98–105. [Google Scholar] [CrossRef]
  30. Valera-Medina, A.; Marsh, R.; Runyon, J.; Pugh, D.; Beasley, P.; Hughes, T.; Bowen, P. Ammonia–Methane Combustion in Tangential Swirl Burners for Gas Turbine Power Generation. Appl. Energy 2017, 185, 1362–1371. [Google Scholar] [CrossRef]
  31. Li, S.; Zhang, S.; Zhou, H.; Ren, Z. Analysis of Air-Staged Combustion of NH3/CH4 Mixture with Low NOx Emission at Gas Turbine Conditions in Model Combustors. Fuel 2019, 237, 50–59. [Google Scholar] [CrossRef]
  32. Ito, S.; Kato, S.; Saito, T.; Fujimori, T.; Kobayashi, H. Development of Ammonia/Natural Gas Dual Fuel Gas Turbine Combustor. In Proceedings of the NH3 Fuel Conference, Los Angeles, CA, USA, 19 September 2016; pp. 18–21. [Google Scholar]
  33. Hayakawa, A.; Goto, T.; Mimoto, R.; Arakawa, Y.; Kudo, T.; Kobayashi, H. Laminar Burning Velocity and Markstein Length of Ammonia/Air Premixed Flames at Various Pressures. Fuel 2015, 159, 98–106. [Google Scholar] [CrossRef]
  34. Khateeb, A.A.; Guiberti, T.F.; Zhu, X.; Younes, M.; Jamal, A.; Roberts, W.L. Stability Limits and Exhaust NO Performances of Ammonia-Methane-Air Swirl Flames. Exp. Therm. Fluid Sci. 2020, 114, 110058. [Google Scholar] [CrossRef]
  35. Khateeb, A.A.; Guiberti, T.F.; Wang, G.; Boyette, W.R.; Younes, M.; Jamal, A.; Roberts, W.L. Stability Limits and NO Emissions of Premixed Swirl Ammonia-Air Flames Enriched with Hydrogen or Methane at Elevated Pressures. Int. J. Hydrog. Energy 2021, 46, 11969–11981. [Google Scholar] [CrossRef]
  36. Avila, C.; Wang, G.; Zhu, X.; Es-Sebbar, E.-T.; Abdullah, M.; Younes, M.; Jamal, A.; Guiberti, T.; Roberts, W.L. Lean Stability Limits and Exhaust Emissions of Ammonia-Methane-Air Swirl Flames at Micro Gas Turbine Relevant Pressure. In Proceedings of the Turbo Expo: Power for Land, Sea, and Air, American Society of Mechanical Engineers, Rotterdam, The Netherlands, 13–17 June 2022; Volume 85994, p. V03AT04A004. [Google Scholar]
  37. Laera, D.; Agostinelli, P.W.; Selle, L.; Cazères, Q.; Oztarlik, G.; Schuller, T.; Gicquel, L.; Poinsot, T. Stabilization Mechanisms of CH4 Premixed Swirled Flame Enriched with a Non-Premixed Hydrogen Injection. Proc. Combust. Inst. 2021, 38, 6355–6363. [Google Scholar] [CrossRef]
  38. Cheng, T.-S.; Wu, C.-Y.; Li, Y.-H.; Chao, Y.-C. Chemiluminescence Measurements of Local Equivalence Ratio in a Partially Premixed Flame. Combust. Sci. Technol. 2006, 178, 1821–1841. [Google Scholar] [CrossRef]
  39. Okafor, E.C.; Naito, Y.; Colson, S.; Ichikawa, A.; Kudo, T.; Hayakawa, A.; Kobayashi, H. Measurement and Modelling of the Laminar Burning Velocity of Methane-Ammonia-Air Flames at High Pressures Using a Reduced Reaction Mechanism. Combust. Flame 2019, 204, 162–175. [Google Scholar] [CrossRef]
  40. Lefebvre, A.H.; Ballal, D.R. Gas Turbine Combustion: Alternative Fuels and Emissions; CRC Press: Boca Raton, FL, USA, 2010; ISBN 0429141041. [Google Scholar]
  41. Rowley, R.L.; Wilding, W.V.; Oscarson, J.L.; Yang, Y.; Zundel, N.A.; Daubert, T.E.; Danner, R.P. DIPPR Information and Data Evaluation Manager for the Design Institute for Physical Properties; AIChE: New York, NY, USA, 2011; Volume 5. [Google Scholar]
  42. Wargadalam, V.J.; Löffler, G.; Winter, F.; Hofbauer, H. Homogeneous Formation of NO and N2O from the Oxidation of HCN and NH3 at 600–1000 °C. Combust. Flame 2000, 120, 465–478. [Google Scholar] [CrossRef]
Figure 1. Experimental setup and schematic of the swirl burner (all dimensions in mm).
Figure 1. Experimental setup and schematic of the swirl burner (all dimensions in mm).
Energies 16 02955 g001
Figure 2. Measured equivalence ratios at lean blow-off limits as a function of ammonia volume fractions for different mixing lengths.
Figure 2. Measured equivalence ratios at lean blow-off limits as a function of ammonia volume fractions for different mixing lengths.
Energies 16 02955 g002
Figure 3. Time-averaged broadband flame images for the three tested mixing length ratios, (a) L/D = 32, (b) L/D = 21, (c) L/D = 14, and at different ammonia volume fractions and equivalence ratios.
Figure 3. Time-averaged broadband flame images for the three tested mixing length ratios, (a) L/D = 32, (b) L/D = 21, (c) L/D = 14, and at different ammonia volume fractions and equivalence ratios.
Energies 16 02955 g003
Figure 4. Time-averaged broadband images of methane-ammonia flames for different mixing length ratios and ammonia fractions and at a fixed equivalence ratio of 1.0.
Figure 4. Time-averaged broadband images of methane-ammonia flames for different mixing length ratios and ammonia fractions and at a fixed equivalence ratio of 1.0.
Energies 16 02955 g004
Figure 5. Measured CO concentrations at different equivalence ratios for different mixing length ratios at a fixed ammonia fraction, e.g., (a) 25, (b) 50 and (c) 75%. The reference case in (a) is for a neat methane-air mixture at L/D = 32.
Figure 5. Measured CO concentrations at different equivalence ratios for different mixing length ratios at a fixed ammonia fraction, e.g., (a) 25, (b) 50 and (c) 75%. The reference case in (a) is for a neat methane-air mixture at L/D = 32.
Energies 16 02955 g005
Figure 6. CO emission for ϕ = 1.1 as function of ammonia fractions at different mixing length ratios.
Figure 6. CO emission for ϕ = 1.1 as function of ammonia fractions at different mixing length ratios.
Energies 16 02955 g006
Figure 7. Measured NOx concentrations at different equivalence ratios for different mixing length ratios at a fixed ammonia fraction, e.g., (a) 25, (b) 50 and (c) 75%. The reference case in (a) is for a neat methane-air mixture at L/D = 32.
Figure 7. Measured NOx concentrations at different equivalence ratios for different mixing length ratios at a fixed ammonia fraction, e.g., (a) 25, (b) 50 and (c) 75%. The reference case in (a) is for a neat methane-air mixture at L/D = 32.
Energies 16 02955 g007
Figure 8. Measured NOx emission for ϕ = 0.9 as function of ammonia fractions at different mixing length ratios.
Figure 8. Measured NOx emission for ϕ = 0.9 as function of ammonia fractions at different mixing length ratios.
Energies 16 02955 g008
Table 1. Select physical and chemical properties of methane and ammonia at standard conditions T = 298 K and P = 1 atm [41].
Table 1. Select physical and chemical properties of methane and ammonia at standard conditions T = 298 K and P = 1 atm [41].
PropertiesMethane (CH4)Ammonia (NH3)
Density [kg/m3]0.6570.704
Viscosity [kg/m.s]1.11 × 10−51.01 × 10−5
Laminar burning velocity [m/s]0.370.07
Adiabatic flame temperature [K]22232073
Heat of combustion [MJ/kg]5018.6
Table 2. Summary of the tested conditions.
Table 2. Summary of the tested conditions.
ParameterTest Point
Air flowrate (L/min)100
Equivalence ratio (ϕ)0.45–1.35
Reynold number (Re)6200–7200
Swirl number (SN)0.78
Thermal Power (kW)~2.1–6.1
L/D ratio14, 21, & 32
XNH3 (volume%)0, 25, 50, & 75
Number of ports3
Methane-air (Ref.) injectionPort 1
Ammonia injectionAll ports
Disclaimer/Publisher’s Note: The statements, opinions and data contained in all publications are solely those of the individual author(s) and contributor(s) and not of MDPI and/or the editor(s). MDPI and/or the editor(s) disclaim responsibility for any injury to people or property resulting from any ideas, methods, instructions or products referred to in the content.

Share and Cite

MDPI and ACS Style

Abdullah, M.; Guiberti, T.F.; Alsulami, R.A. Experimental Assessment on the Coupling Effect of Mixing Length and Methane-Ammonia Blends on Flame Stability and Emissions. Energies 2023, 16, 2955. https://doi.org/10.3390/en16072955

AMA Style

Abdullah M, Guiberti TF, Alsulami RA. Experimental Assessment on the Coupling Effect of Mixing Length and Methane-Ammonia Blends on Flame Stability and Emissions. Energies. 2023; 16(7):2955. https://doi.org/10.3390/en16072955

Chicago/Turabian Style

Abdullah, Marwan, Thibault F. Guiberti, and Radi A. Alsulami. 2023. "Experimental Assessment on the Coupling Effect of Mixing Length and Methane-Ammonia Blends on Flame Stability and Emissions" Energies 16, no. 7: 2955. https://doi.org/10.3390/en16072955

APA Style

Abdullah, M., Guiberti, T. F., & Alsulami, R. A. (2023). Experimental Assessment on the Coupling Effect of Mixing Length and Methane-Ammonia Blends on Flame Stability and Emissions. Energies, 16(7), 2955. https://doi.org/10.3390/en16072955

Note that from the first issue of 2016, this journal uses article numbers instead of page numbers. See further details here.

Article Metrics

Back to TopTop