Nanostructured Thermoelectric PbTe Thin Films with Ag Addition Deposited by Femtosecond Pulsed Laser Ablation
Abstract
1. Introduction
2. Materials and Methods
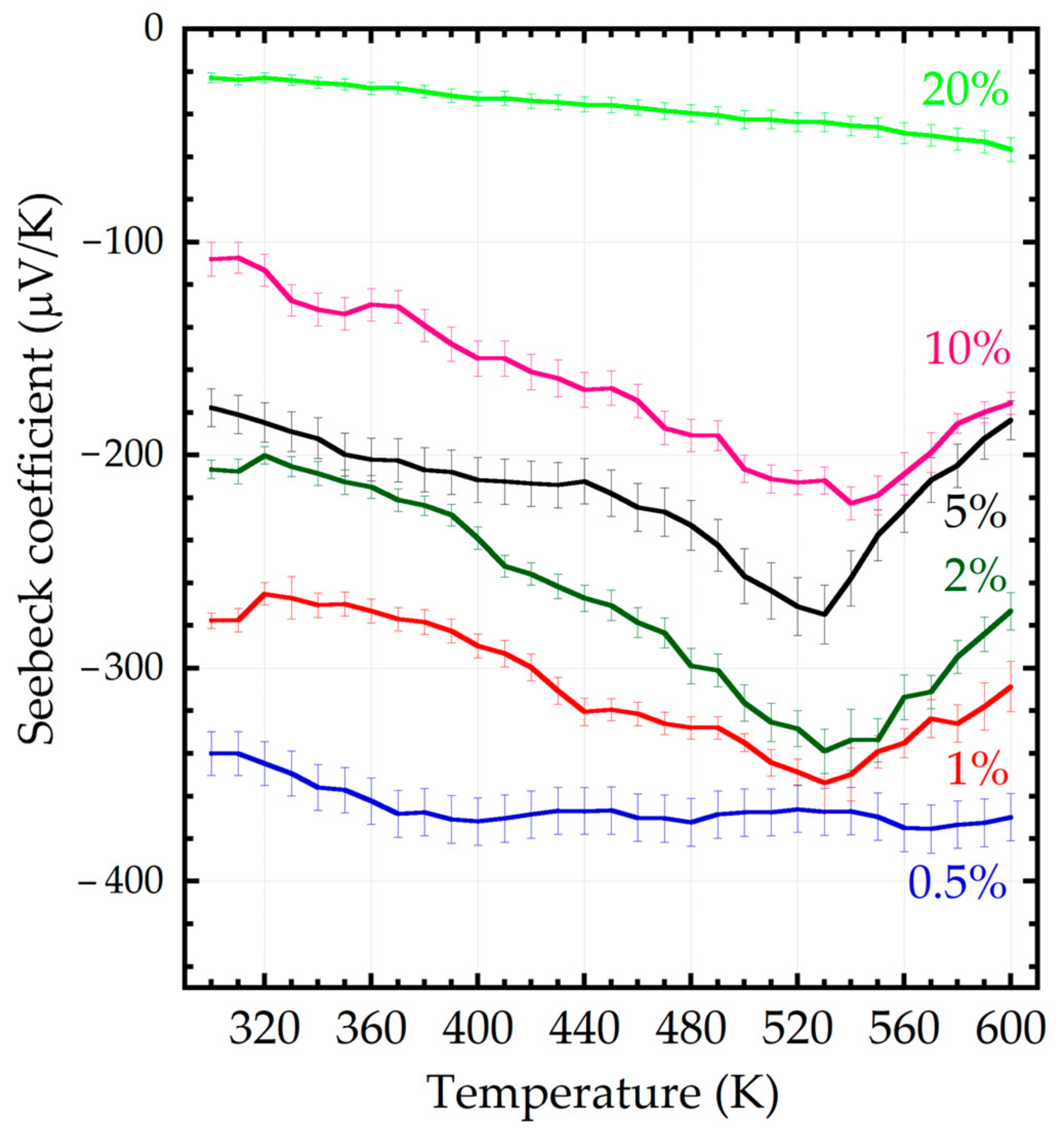
3. Results
4. Discussion
5. Conclusions
Author Contributions
Funding
Data Availability Statement
Acknowledgments
Conflicts of Interest
References
- Champier, D. Thermoelectric generators: A review of applications. Energy Convers. Manag. 2017, 140, 167–181. [Google Scholar] [CrossRef]
- Tritt, T.M.; Subramanian, M.A. Thermoelectric Materials, Phenomena, and Applications: A Bird’s Eye View. MRS Bull. 2006, 31, 188–198. [Google Scholar] [CrossRef]
- Baranowski, L.L.; Snyder, G.J.; Toberer, E.S. Concentrated solar thermoelectric generators. Energy Environ. Sci. 2012, 5, 9055. [Google Scholar] [CrossRef]
- Trucchi, D.M.; Bellucci, A.; Girolami, M.; Calvani, P.; Cappelli, E.; Orlando, S.; Polini, R.; Silvestroni, L.; Sciti, D.; Kribus, A. Solar Thermionic-Thermoelectric Generator (ST2G): Concept, Materials Engineering, and Prototype Demonstration. Adv. Energy Mater. 2018, 8, 1802310. [Google Scholar] [CrossRef]
- Bellucci, A.; Girolami, M.; Mastellone, M.; Serpente, V.; Trucchi, D.M. Upgrade and present limitations of solar thermionic-thermoelectric technology up to 1000 K. Sol. Energy Mater. Sol. Cells 2021, 223, 110982. [Google Scholar] [CrossRef]
- Dresselhaus, M.S.; Chen, G.; Tang, M.Y.; Yang, R.G.; Lee, H.; Wang, D.Z.; Ren, Z.F.; Fleurial, J.P.; Gogna, P. New Directions for Low-Dimensional Thermoelectric Materials. Adv. Mater. 2007, 19, 1043–1053. [Google Scholar] [CrossRef]
- Snyder, G.J.; Toberer, E.S. Complex thermoelectric materials. Nat. Mater. 2008, 7, 105–114. [Google Scholar] [CrossRef]
- Kanatzidis, M.G. Nanostructured Thermoelectrics: The New Paradigm? Chem. Mater. 2010, 22, 648–659. [Google Scholar] [CrossRef]
- Venkatasubramanian, R.; Silvola, E.; Colpitts, T.; O’Quinn, B. Thin-film thermoelectric devices with high room-temperature figures of merit. Nature 2001, 413, 597–602. [Google Scholar] [CrossRef]
- Biswas, K.; He, J.; Blum, I.D.; Wu, C.I.; Hogan, T.P.; Seidman, D.N.; Dravid, V.P.; Kanatzidis, M.G. High-performance bulk thermoelectrics with all-scale hierarchical architectures. Nature 2012, 489, 414–418. [Google Scholar] [CrossRef]
- Yang, L.; Chen, Z.-G.; Han, G.; Hong, M.; Zou, Y.; Zou, J. High-performance thermoelectric Cu2Se nanoplates through nanostructure engineering. Nano Energy 2015, 16, 367–374. [Google Scholar] [CrossRef]
- Zhang, Y.; Mehta, R.J.; Belley, M.; Han, L.; Ramanath, G.; Borca-Tasciuc, T. Lattice thermal conductivity diminution and high thermoelectric power factor retention in nanoporous macroassemblies of sulfur-doped bismuth telluride nanocrystals. Appl. Phys. Lett. 2012, 100, 193113. [Google Scholar] [CrossRef]
- Chowdhury, I.; Prasher, R.; Lofgreen, K.; Chrysler, G.; Narasimhan, S.; Mahajan, R.; Koester, D.; Alley, R.; Venkatasubramanian, R. On-chip cooling by superlattice-based thin-film thermoelectrics. Nat. Nanotechnol. 2009, 4, 235–238. [Google Scholar] [CrossRef]
- Elyamny, S.; Dimaggio, E.; Magagna, S.; Narducci, D.; Pennelli, G. High Power Thermoelectric Generator Based on Vertical Silicon Nanowires. Nano Lett. 2020, 20, 4748–4753. [Google Scholar] [CrossRef]
- Blackburn, J.L.; Ferguson, A.J.; Cho, C.; Grunlan, J.C. Carbon-Nanotube-Based Thermoelectric Materials and Devices. Adv. Mater. 2018, 30, 1704386. [Google Scholar] [CrossRef]
- Li, X.; Cai, K.; Gao, M.; Du, Y.; Shen, S. Recent advances in flexible thermoelectric films and devices. Nano Energy 2021, 89, 106309. [Google Scholar] [CrossRef]
- Xie, H.; Zhang, Y.; Gao, P. Thermoelectric-Powered Sensors for Internet of Things. Micromachines 2022, 14, 31. [Google Scholar] [CrossRef]
- Han, C.; Tan, G.; Varghese, T.; Kanatzidis, M.G.; Zhang, Y. High-Performance PbTe Thermoelectric Films by Scalable and Low-Cost Printing. ACS Energy Lett. 2018, 3, 818–822. [Google Scholar] [CrossRef]
- Fan, P.; Fan, W.-F.; Zheng, Z.-H.; Zhang, Y.; Luo, J.-T.; Liang, G.-X.; Zhang, D.-P. Thermoelectric properties of zinc antimonide thin film deposited on flexible polyimide substrate by RF magnetron sputtering. J. Mater. Sci. Mater. Electron. 2014, 25, 5060–5065. [Google Scholar] [CrossRef]
- Symeou, E.; Pervolaraki, M.; Mihailescu, C.N.; Athanasopoulos, G.I.; Papageorgiou, C.; Kyratsi, T.; Giapintzakis, J. Thermoelectric properties of Bi0.5Sb1.5Te3 thin films grown by pulsed laser deposition. Appl. Surf. Sci. 2015, 336, 138–142. [Google Scholar] [CrossRef]
- Bala, M.; Gupta, S.; Tripathi, T.S.; Varma, S.; Tripathi, S.K.; Asokan, K.; Avasthi, D.K. Enhancement of thermoelectric power of PbTe: Ag nanocomposite thin films. RSC Adv. 2015, 5, 25887–25895. [Google Scholar] [CrossRef]
- Bellucci, A.; Mastellone, M.; Girolami, M.; Orlando, S.; Medici, L.; Mezzi, A.; Kaciulis, S.; Polini, R.; Trucchi, D.M. ZnSb-based thin films prepared by ns-PLD for thermoelectric applications. Appl. Surf. Sci. 2017, 418, 589–593. [Google Scholar] [CrossRef]
- Xu, S.; Zhu, W.; Zhao, H.; Xu, L.; Sheng, P.; Zhao, G.; Deng, Y. Enhanced thermoelectric performance of SnTe thin film through designing oriented nanopillar structure. J. Alloys Compd. 2018, 737, 167–173. [Google Scholar] [CrossRef]
- Wang, A.; Xue, Y.; Wang, J.; Yang, X.; Wang, J.; Li, Z.; Wang, S. High thermoelectric performance of Cu2Se-based thin films with adjustable element ratios by pulsed laser deposition. Mater. Today Energy 2022, 24, 100929. [Google Scholar] [CrossRef]
- Wei, M.; Ma, H.L.; Nie, M.Y.; Li, Y.Z.; Zheng, Z.H.; Zhang, X.H.; Fan, P. Enhanced Thermoelectric Performance of CoSb3 Thin Films by Ag and Ti Co-Doping. Materials 2023, 16, 1271. [Google Scholar] [CrossRef]
- Thaowonkaew, S.; Insawang, M.; Vora-ud, A.; Horprathum, M.; Muthitamongkol, P.; Maensiri, S.; Kumar, M.; Phan, T.B.; Seetawan, T. Effect of substrate rotation and rapid thermal annealing on thermoelectric properties of Ag-doped Sb2Te3 thin films. Vacuum 2023, 211, 111920. [Google Scholar] [CrossRef]
- Latronico, G.; Mele, P.; Sekine, C.; Wei, P.S.; Singh, S.; Takeuchi, T.; Bourges, C.; Baba, T.; Mori, T.; Manfrinetti, P.; et al. Effect of the annealing treatment on structural and transport properties of thermoelectric Smy(FexNi1−x)4Sb12 thin films. Nanotechnology 2023, 34, 115705. [Google Scholar] [CrossRef]
- Dughaish, Z.H. Lead telluride as a thermoelectric material for thermoelectric power generation. Phys. B Condens. Matter 2002, 322, 205–223. [Google Scholar] [CrossRef]
- Pei, Y.; Wang, H.; Snyder, G.J. Band Engineering of Thermoelectric Materials. Adv. Mater. 2012, 24, 6125–6135. [Google Scholar] [CrossRef]
- Takagiwa, Y.; Pei, Y.; Pomrehn, G.; Snyder, G.J. Dopants effect on the band structure of PbTe thermoelectric material. Appl. Phys. Lett. 2012, 101, 092102. [Google Scholar] [CrossRef]
- Dow, H.S.; Oh, M.W.; Kim, B.S.; Park, S.D.; Min, B.K.; Lee, H.W.; Wee, D.M. Effect of Ag or Sb addition on the thermoelectric properties of PbTe. J. Appl. Phys. 2010, 108, 113709. [Google Scholar] [CrossRef]
- Ito, M.; Seo, W.-S.; Koumoto, K. Thermoelectric properties of PbTe thin films prepared by gas evaporation method. J. Mater. Res. 1999, 14, 209–212. [Google Scholar] [CrossRef]
- Shing, Y.H.; Chang, Y.; Mirshafii, A.; Hayashi, L.; Roberts, S.S.; Josefowicz, J.Y.; Tran, N. Sputtered Bi2Te3 and PbTe thin films. J. Vac. Sci. Technol. A 1983, 1, 503–506. [Google Scholar] [CrossRef]
- Dauscher, A.; Dinescu, M.; Boffoué, O.M.; Jacquot, A.; Lenoir, B. Temperature-dependant growth of PbTe pulsed laser deposited films on various substrates. Thin Solid Film. 2006, 497, 170–176. [Google Scholar] [CrossRef]
- Cappelli, E.; Bellucci, A.; Medici, L.; Mezzi, A.; Kaciulis, S.; Fumagalli, F.; Di Fonzo, F.; Trucchi, D.M. Nano-crystalline Ag–PbTe thermoelectric thin films by a multi-target PLD system. Appl. Surf. Sci. 2014, 336, 283–289. [Google Scholar] [CrossRef]
- Bellucci, A.; Cappelli, E.; Orlando, S.; Medici, L.; Mezzi, A.; Kaciulis, S.; Polini, R.; Trucchi, D.M. Fs-pulsed laser deposition of PbTe and PbTe/Ag thermoelectric thin films. Appl. Phys. A Mater. Sci. Process. 2014, 117, 401–407. [Google Scholar] [CrossRef]
- Amoruso, S.; Ausanio, G.; Bruzzese, R.; Lanotte, L.; Scardi, P.; Vitiello, M.; Wang, X.T. Synthesis of nanocrystal films via femtosecond laser ablation in vacuum. J. Phys. Condens. Matter 2006, 18, L49–L53. [Google Scholar] [CrossRef]
- Bellucci, A.; Orlando, S.; Girolami, M.; Mastellone, M.; Serpente, V.; Paci, B.; Generosi, A.; Mezzi, A.; Kaciulis, S.; Polini, R.; et al. Aluminum (Oxy)nitride thin films grown by fs-PLD as electron emitters for thermionic applications. AIP Conf. Proc. 2021, 2416, 020004. [Google Scholar] [CrossRef]
- Qiu, B.; Bao, H.; Zhang, G.; Wu, Y.; Ruan, X. Molecular dynamics simulations of lattice thermal conductivity and spectral phonon mean free path of PbTe: Bulk and nanostructures. Comput. Mater. Sci. 2012, 53, 278–285. [Google Scholar] [CrossRef]
- Sakata, O.; Nakamura, M. Grazing Incidence X-Ray Diffraction. In Surface Science Techniques; Bracco, G., Holst, B., Eds.; Springer: Berlin/Heidelberg, Germany, 2013; pp. 165–190. [Google Scholar]
- Holland, T.J.B.; Redfern, S.A.T. UNITCELL: A nonlinear least-squares program for cell-parameter refinement and implementing regression and deletion diagnostics. J. Appl. Crystallogr. 1997, 30, 84. [Google Scholar] [CrossRef]
- Trucchi, D.M.; Zanza, A.; Bellucci, A.; Marotta, V.; Orlando, S. Photoconductive and photovoltaic evaluation of In2O3–SnO2 multilayered thin-films deposited on silicon by reactive pulsed laser ablation. Thin Solid Film. 2010, 518, 4738–4742. [Google Scholar] [CrossRef]
- Ko, D.K.; Murray, C.B. Probing the Fermi Energy Level and the Density of States Distribution in PbTe Nanocrystal (Quantum Dot) Solids by Temperature-Dependent Thermopower Measurements. ACS Nano 2011, 5, 4810–4817. [Google Scholar] [CrossRef] [PubMed]
- Schneider, C.A.; Rasband, W.S.; Eliceiri, K.W. NIH Image to ImageJ: 25 years of image analysis. Nat. Methods 2012, 9, 671–675. [Google Scholar] [CrossRef] [PubMed]
- Swetha, V.; Lavanya, S.; Sabeena, G.; Pushpalaksmi, E.; Jenson, S.J.; Annadurai, G. Synthesis and Characterization of Silver Nanoparticles from Ashyranthus aspera Extract for Antimicrobial Activity Studies. J. Appl. Sci. Environ. Manag. 2020, 24, 1161–1167. [Google Scholar] [CrossRef]
- Jagodzinski, H.; Klug, H.P.; Alexander, L.E. X-ray Diffraction Procedures for Polycrystalline and Amorphous Materials, 2. Auflage. John Wiley & Sons, New York-Sydney-Toronto 1974, 966 Seiten, Preis: £18.55. Ber. Bunsenges. Phys. Chem. 1975, 79, 553. [Google Scholar]
- Miotkowska, S.; Dynowska, E.; Miotkowski, I.; Szczerbakow, A.; Witkowska, B.; Kachniarz, J.; Paszkowicz, W. The lattice constants of ternary and quaternary alloys in the PbTe–SnTe–MnTe system. J. Cryst. Growth 1999, 200, 483–489. [Google Scholar] [CrossRef]
- Sharov, M.K. Silver solubility in PbTe crystals. Inorg. Mater. 2008, 44, 569–571. [Google Scholar] [CrossRef]
- Pei, Y.; May, A.F.; Snyder, G.J. Self-Tuning the Carrier Concentration of PbTe/Ag2Te Composites with Excess Ag for High Thermoelectric Performance. Adv. Energy Mater. 2011, 1, 291–296. [Google Scholar] [CrossRef]
- Wang, S.; Chang, C.; Bai, S.; Qin, B.; Zhu, Y.; Zhan, S.; Zheng, J.; Tang, S.; Zhao, L.D. Fine Tuning of Defects Enables High Carrier Mobility and Enhanced Thermoelectric Performance of n-Type PbTe. Chem. Mater. 2023, 35, 755–763. [Google Scholar] [CrossRef]
- Zhang, Z.; Gurtaran, M.; Li, X.; Un, H.I.; Qin, Y.; Dong, H. Characterization of Magnetron Sputtered BiTe-Based Thermoelectric Thin Films. Nanomaterials 2023, 13, 208. [Google Scholar] [CrossRef]
- Rogacheva, E.I.; Krivulkin, I.M.; Nashchekina, O.N.; Sipatov, A.Y.; Volobuev, V.A.; Dresselhaus, M.S. Percolation transition of thermoelectric properties in PbTe thin films. Appl. Phys. Lett. 2001, 78, 3238–3240. [Google Scholar] [CrossRef]
- Zhu, H.; Zhang, B.; Zhao, T.; Zheng, S.; Wang, G.; Wang, G.; Lu, X.; Zhou, X. Achieving glass-like lattice thermal conductivity in PbTe by AgBiTe2 alloying. Appl. Phys. Lett. 2022, 121, 241903. [Google Scholar] [CrossRef]







| Material/Dopants | Production Technique | Maximum Power Factor (W m−1 K−2) at T | Publication Year (Reference) |
|---|---|---|---|
| ZnSb | RF Magnetron Sputtering | 2.35 × 10−3 at 533 K | 2014 [19] |
| Bi0.5Sb1.5Te3 | KrF excimer PLD | 3.2 × 10−3 at 390 K | 2015 [20] |
| PbTe | Thermal evaporation | ~0.45 × 10−3 at 400 K | 2015 [21] |
| ZnSb/Cr | ArF excimer PLD | 0.2 × 10−3 at 600 K | 2017 [22] |
| SnTe | Thermal evaporation | 1.98 × 10−3 at 823 K | 2018 [23] |
| Cu2Se | XeCl excimer PLD | ~0.2 × 10−3 at 580 K | 2022 [24] |
| CoSb3/Ag, Ti | Magnetron Sputtering | 0.31 × 10−3 at 623 K | 2023 [25] |
| Sb2Te3/Ag | RF Magnetron Sputtering | 4.6 × 10−3 at 373 K | 2023 [26] |
| Smy(FexNi1−x)Sb12 | Nd: YAG PLD | ~0.38 × 10−3 at 525 K | 2023 [27] |
| Sample Name | Nominal [Ag] (%) | [Ag] (at.%) 1 | [Pb]/[Te] (at.%/at.%) 1 |
|---|---|---|---|
| PbTe05 | 0.5 | 1.1 | 1.2 |
| PbTe1 | 1 | 2.5 | 1.2 |
| PbTe2 | 2 | 4.6 | 1.1 |
| PbTe5 | 5 | 8.8 | 0.9 |
| PbTe10 | 10 | 14.4 | 0.7 |
| PbTe20 | 20 | 24.9 | 0.4 |
| Sample Name | Lattice Parameter (Å) | Grain Size (nm) |
|---|---|---|
| PbTe05 | 6.454 (3) | 25 |
| PbTe1 | 6.454 (4) | 25 |
| PbTe2 | 6.453 (3) | 29 |
| PbTe5 | 6.449 (3) | 39 |
| PbTe10 | 6.447 (3) | 39 |
| PbTe20 | 6.447 (3) | 39 |
Disclaimer/Publisher’s Note: The statements, opinions and data contained in all publications are solely those of the individual author(s) and contributor(s) and not of MDPI and/or the editor(s). MDPI and/or the editor(s) disclaim responsibility for any injury to people or property resulting from any ideas, methods, instructions or products referred to in the content. |
© 2023 by the authors. Licensee MDPI, Basel, Switzerland. This article is an open access article distributed under the terms and conditions of the Creative Commons Attribution (CC BY) license (https://creativecommons.org/licenses/by/4.0/).
Share and Cite
Bellucci, A.; Orlando, S.; Medici, L.; Lettino, A.; Mezzi, A.; Kaciulis, S.; Trucchi, D.M. Nanostructured Thermoelectric PbTe Thin Films with Ag Addition Deposited by Femtosecond Pulsed Laser Ablation. Energies 2023, 16, 3216. https://doi.org/10.3390/en16073216
Bellucci A, Orlando S, Medici L, Lettino A, Mezzi A, Kaciulis S, Trucchi DM. Nanostructured Thermoelectric PbTe Thin Films with Ag Addition Deposited by Femtosecond Pulsed Laser Ablation. Energies. 2023; 16(7):3216. https://doi.org/10.3390/en16073216
Chicago/Turabian StyleBellucci, Alessandro, Stefano Orlando, Luca Medici, Antonio Lettino, Alessio Mezzi, Saulius Kaciulis, and Daniele Maria Trucchi. 2023. "Nanostructured Thermoelectric PbTe Thin Films with Ag Addition Deposited by Femtosecond Pulsed Laser Ablation" Energies 16, no. 7: 3216. https://doi.org/10.3390/en16073216
APA StyleBellucci, A., Orlando, S., Medici, L., Lettino, A., Mezzi, A., Kaciulis, S., & Trucchi, D. M. (2023). Nanostructured Thermoelectric PbTe Thin Films with Ag Addition Deposited by Femtosecond Pulsed Laser Ablation. Energies, 16(7), 3216. https://doi.org/10.3390/en16073216

