Abstract
Pavement photovoltaic (PV) is an innovative energy-harvesting technology that seamlessly integrates into road surfaces, merging established PV power generation methods with conventional roadway infrastructure. This fusion optimally utilizes the extensive spatial assets inherent in road networks. This paper offers an exhaustive examination of the literature concerning the physical models and performance evaluation of photovoltaic pavements. This study delineates the essential three-tier structure of pavement modules and juxtaposes the advantages and drawbacks of design models across these strata, thereby facilitating the development of more suitable solutions for varying application scenarios. The importance of accommodating fluctuations in shadows and countering the heat island effect (HIE) is emphasized. Nevertheless, the technology remains in its nascent research phase, characterized by challenges associated with limited long-term durability and efficacy. Building upon these findings, this study addresses the challenges confronting pavement PV from three perspectives and outlines future prospects and recommendations for its progression.
1. Introduction
The excessive use of fossil fuels has led to an escalating threat of energy shortages and environmental damage, presenting a significant challenge to human survival [1,2]. China has announced plans to increase investment in renewable energy, setting ambitious goals to reach the peak of carbon emissions by 2030 and achieve carbon neutrality by 2060 [3]. This vision has driven the rapid deployment of renewable energy, particularly photovoltaic (PV) technology [4,5,6].
As an infrastructure, the construction, development, and function of roads play a pivotal role in advancing more sustainable development [7,8,9,10]. However, further increasing PV capacity in urban areas poses challenges. Taking Hong Kong as an example, by 2050, solar energy applications are expected to account for 1–2% of energy production [11]. However, the space available for PV installation in metropolitan areas is limited. In addition to installing PV panels on the roofs and facades of urban buildings, the integration of PV technology into traffic roads has gradually attracted attention. Taking into account the relatively large area of the road and using China’s data for 2021 as an example, the road area per 100 square kilometers is about 55 square kilometers [12]. Due to the relatively low utilization of PV panels during the day, this provides a greater opportunity to install PV panels on the road.
In the realm of solar energy collection, the practice of harvesting solar energy from roads has emerged as a topic of considerable interest, receiving extensive study over the past five years. Traditional off-grid PV systems are often installed on roadside poles [13,14]; however, more and more studies are now directly integrating PV panels into the road, which not only provides electricity for road lighting but also provides basic sensors and controllers for intelligent transportation infrastructure [15,16]. Pavement PV can not only be used as renewable power suppliers but can also be integrated into distributed energy systems of smart grids, such as the wireless charging of electric vehicles [17], and provide application scenarios for next-generation PV cells using new coatings [18,19]. In addition to electricity gains, pavement PV can also mitigate the heat island effect (HIE), and its thermal application potential is similar to road snowmelt [7,20]. Similar to PV tiles, pavement PV modules also have additional advantages such as piezoelectric and thermoelectric energy harvesting when combined with traditional asphalt concrete roads [21,22,23].
As a part of the road structure, the improved PV module not only has the function of power generation but also provides support for vehicle traffic. The primary advantage of this technology is that it does not require additional land. It is anticipated that the development of pavement PV will yield significant benefits in both economic and environmental domains. Previous studies indicate that large-scale asphalt pavement is a significant contributor to the urban heat island effect [24,25], while pavement PV has been shown to effectively mitigate this phenomenon [26]. By combining pumped storage [27], batteries [28], supercapacitors [29], and other energy storage technologies [30], its overall performance can be further improved. Additionally, it is anticipated that it will also be combined with upcoming transportation technologies such as snowmelt [31], wireless charging [17,32], and driverless technology [33] with pavement PV in the future, aiming to create a more environmentally friendly and intelligent road system.
The continuous advancement of PV technology and decreasing costs have facilitated the development of pavement PV [34,35]; however, research related to this technology is still in its early stages. Most studies are still limited to the laboratory sample stage. At the same time, researchers pay more attention to the composition and arrangement of physical models, with less emphasis on discussing various aspects of evaluation methods and results. Hence, it is highly significant to review the early research in this field, introduce the latest progress, point out the existing obstacles, and propose prospects, and future development directions.
This study will furnish a synopsis of the contemporary research status of pavement photovoltaics. After a brief introduction to the current application of photovoltaic technology on roads, the Section “Influencing Factors on PV Pavement” analyses the impact of shadow on photovoltaic power generation, the impact of the heat island effect, and the impact of different materials. In the Section on “Performance Evaluation”, the evaluation of the technology is summarized, including modular characteristics, power generation, and application benefits, and the corresponding evaluation methods are given. On the basis of the above literature review, the “Challenges and Prospects” Section puts forward the future challenges and prospects of road PV from three aspects.
2. The Current Situation of PV Technology on the Road
2.1. PV Module
Figure 1 depicts the electrical equivalent circuit of a PV cell using a single-diode model [36]. This model serves as the basis for deriving the engineering representation of PV cells; its math model is demonstrated in Equation (1).
where U represents the output voltage generated by the PV cell, Iph is the photocurrent, Id is the current flowing across the diode, I is the output current of the PV cell, and Rs and Rsh represent the equivalent series resistance and parallel resistance, respectively.
Figure 1.
Single-diode electrical equivalent circuit of PV cell.
PV cells are characterized by parameters solely under standard test conditions (STC). Thus, it becomes essential to formulate an equivalent engineering model for PV cells that aligns with the needs of practical applications. This is demonstrated in Equation (2).
where Uoc, Isc, Um, and Im represent the open-circuit voltage, short-circuit current, maximum power point (MPP) voltage, and MPP current under STC, respectively; meanwhile, I represents the output current, and U represents the output voltage. To enhance the accuracy of the model, relevant parameters are adjusted. The correction formula is as follows:
where a, b, and c are the compensation coefficient, and a = 0.0025/°C, b = 0.0005 m2/W, c = 0.0028/°C. Variables with a wavy superscript indicate values under non-STC. Here, Gref represents the reference irradiance, and G represents the current irradiance. The symbol ΔT denotes the difference between the current temperature and the reference temperature.
2.2. Pavement PV
Pavement PV power generation technology is an innovative practice that intersects the fields of PV power generation and traffic engineering. Compared with traditional PV power generation projects, pavement PV technology fully utilizes pavement space resources without occupying additional land or emitting pollution [37]. Furthermore, it can be consumed locally, effectively addressing the energy structure optimization challenge of PV power generation and local consumption [38]. As a new trend in the comprehensive utilization of PV power generation, “PV + highway” is in the embryonic stage of development [39].
PV power generation technology is used in the ”four world firsts” on roads or pavements [37], as shown in Figure 1. In 2014, Scott and Julie Brusaw built the world’s first pavement PV parking lot (Figure 2a). The Netherlands Institute of Applied Sciences installed the world’s first 70-meter PV bicycle lane in 2014, generating approximately 3000 kWh of electricity in the first half-year after completion (Figure 2b). In 2016, the world’s first “solar highway” was officially put into use in the town of Opertsche in Touruvres, northwest France. This is the first “solar highway” in the world that can be used for motor vehicles. This 1-kilometer-long highway generates electricity at an average rate of nearly 800 kWh per day. It generates about 280,000 kWh of electricity, which is sufficient to power the daily public lighting of a small town with a population of 5000 (Figure 2c). On 28 December 2017, Shandong Guangshi Energy Co., Ltd. completed the world’s first 1080-meter-long PV highway test section located on the south line of the Jinan Ring Expressway, with an annual power generation of about 1 million kWh (Figure 2d).
Figure 2.
Physical map of PV pavement system. (a) Pavement PV parking lot. (b) 70-meter PV bicycle lane. (c) 1-kilometer-long solar highway, in northwest France. (d) 1080-meter-long PV highway in China.
2.3. Pavement PV Module
In 2012, Tighe et al. developed a three-layer solar panel with a numerical model, comprising a transparent layer, an optical layer, and a base layer [40,41,42]. In the study, the thickness of each layer was determined, and a suitable grid was designed to ensure that the 125 mm solar panel had adequate slotting space; however, the overall size of the solar panel has not been thoroughly discussed. In 2016, Zha et al. proposed a numerical hollow-plate element structure for PV pavement. The new structure consists of three layers, namely, a polymethyl methacrylate (PMMA) transparent protective layer, a solar cell layer, and a prefabricated concrete hollow base [43]. In this study, they used ANSYS to analyze the following four factors of solar panels: (i) length, (ii) width, (iii) sidewall thickness, and (iv) PMMA-layer thickness. By comprehensively considering the mechanical properties, safety, and economy, the recommended overall structural optimization scheme is obtained; however, these four factors are not prioritized in this study, which requires further research to provide guidance for future system optimization.
Two solar panel models were developed by Dezfooli et al. in their study [44], where the PV panel was embedded between rubber and plexiglass panels or between double-layer porous rubber, respectively. They tested their energy production efficiency, surface safety ratings, and structural stability.
Ma et al. [45] explored the viability of solar sidewalks in Hong Kong, and they designed square solar PV floor tiles suitable for pedestrian use. The floor tile’s structure comprises non-slip tempered glass, solar cells, and supporting elements made of tempered glass. The authors evaluated the electrical, thermal, and mechanical properties through laboratory and field tests. The results demonstrate the solar floor’s outstanding performance in energy conversion, skid resistance, heat resistance, and compressive strength.
Li et al. [46,47] developed translucent concrete by integrating recycled tempered glass and epoxy resin. The results indicate that the light transmittance of the material increases with the grain size of the blend. They indirectly determined the curing time of concrete and assessed the strength variation within the initial five days. The compressive strength increases with the duration of curing; there was a significant increase in compressive strength from day one to day two.
Vizzari et al. [48,49,50] put forward a composite road surface design that integrates solar roads with water-permeable surfacing. This system comprises a semi-transparent layer, solar cells, a permeable layer, and a dense-graded asphalt base. The top layer—composed of transparent polyurethane-bonded glass aggregates—is translucent, while the porous layer functions as a solar heat gatherer for the flow of heat-transfer media. The workability of solar pavement was assessed in terms of road safety under both dry and wet conditions. The study investigated the curing time and viscoelastic properties of four distinct types of thermosetting polyurethane. The results indicate that the properties of thermosetting polyurethane, particularly the glass transition temperature, significantly influence the curing temperature. Subsequently, Vizzari et al. [51] conducted an in-depth analysis of the translucent surface layer. They utilized the factorial design method to investigate how various variables (including thickness, glue concentration, and glass aggregate dispersal) affect the mechanical and optical properties of the material. The results show that increasing the thickness of the glass aggregate layer and reducing the particle diameter will adversely affect the optical properties. Raising the polyurethane content enhances both the light-related and structural properties of the superficial layer; however, this content should not surpass 20% as it may diminish its anti-skid performance.
3. Influencing Factors on PV Pavement
3.1. Shadow Occlusion
Occlusion has a pivotal role in influencing the power generation efficiency of solar pavements. Given the unique application settings of solar pavements, attention must be given not only to the occlusion caused by nearby buildings and trees but also to the consequences of driving-induced shadows created by vehicle movement on the power generation of solar roadways [52]. Selvaraju et al. [53] examined the impact and load-bearing capacity of shadows on solar pavements. They discovered that the effect of driving shadows on the power generation of PV pavements is dynamic and heavily influenced by vehicle speed and length. Additionally, the load-bearing capacity is associated with the depth of the surface layer of the panel.
Concerning the behavioral features of traffic-generated vehicle shadows, Wu et al. [54] contended that traditional evaluation methods failed to fully consider the spatial correlation and dynamic obscuring of vehicles. This oversight has adversely affected the accuracy of PV pavement output power assessments and potentially undermined the safety and coordination of the power system. Liu et al. [55] introduced a novel approach for computing the obtainable solar irradiance in urban roadway environments, which is based on models encompassing streetscape, solar radiation, and traffic volume. This method has been validated in Boston, USA, and the findings reveal that the roads in Boston are capable of supporting the energy requirements of 763,100 electric vehicles operating annually within urban areas, thereby underscoring the immense potential of road power generation. It is noteworthy that the decrease in traffic volume solely led to a 5% reduction in solar radiation on the right side.
3.2. Heat Island Effect
Another key issue for PV modules is to mitigate the urban heat island effect; however, numerous studies have highlighted the significant impact of operating temperature on the power generation efficiency of solar cells. As the temperature increases, the power generation efficiency of solar cells tends to decrease [56]. Since a significant portion of solar radiation is converted into heat energy upon reaching the surface of the solar cell, the operating temperature of the solar cell often exceeds 50 °C and can even reach as high as 80 °C [57,58]; therefore, it is imperative to investigate the heat dissipation mechanisms of solar cells within pavement PV systems. To address the heat dissipation challenge of solar cells, the integration of PV technology with thermal technology offers an effective solution, namely, the PV/thermal (PV/T) system [59,60]. Although the research on solar PV thermal building-integrated systems (BIPVTs) is more extensive [61,62,63], there is a relative scarcity of studies exploring the application of PV/T systems in pavement contexts. Xie and Wang’s study alleviated the urban heat island effect by reducing the road surface temperature by 3–5 °C in summer [22]. Similarly, in [26,64], the heat dissipation effect of PV panel modules has also been clearly demonstrated. However, these experiments were carried out without considering the heat transfer effect of thick ground, so the results are relatively rough. These studies usually choose the type of asphalt or fixed-depth asphalt concrete pavement. Another research work by Zhou et al. [65,66] focused on the structural performance of PV panel modules. The structural design of PV panel modules is also an important research focus, including new sealant module structures [67]; self-compacting concrete [68]; adding steam chambers, water tanks, and sun visors [21]; hollow structures with water pipes [64]; and methods for mixing fine concrete (such as cement and fine aggregates such as sand) with optical fibers [69]. Toughened glass with a metal frame and moisture-proof layer performs well in terms of load-carrying capacity and cost and is therefore recommended for use [45].
3.3. Materials for Pavement Energy Harvesting
A significant number of studies have been conducted to enhance existing pavement materials and new materials have been proposed. There have been many achievements in this research, and it is still ongoing; however, in the following chapters, the materials directly or indirectly related to pavement energy harvesting will be reviewed and classified. The structure of the photovoltaic road surface is shown in Figure 3 [70].
Figure 3.
Physical map of PV pavement system [70].
3.3.1. Pavement PV Module Materials
In 2010, Kang-Won et al. conducted a feasibility assessment of installing solar panels on roads for solar energy collection. Their research found that thin film solar cells are not suitable for roads due to the large load-bearing period of roads and harsh environmental conditions; therefore, they proposed to develop new solar cells suitable for road energy harvesting [71]. To tackle this issue, Northmore and Tighe employed interlayers, reinforcements, and textured glass in 2012 to enhance the performance of solar panels [40]. In addition, George Washington University used onyx glass to create an accessible solar pavement channel [72]; however, the translucent glass layer restricts the power output of this walkable solar panel channel, limiting its overall efficiency [45]. In 2017, Dezfooli et al. conducted an evaluation of the power generation efficiency, structural performance, and safety aspects of solar panels and solar pavements. By incorporating novel solar cell layers and employing rubber pavements, they enhanced both the structural performance and power generation capabilities [44].
The thickness of the glass is a key parameter in the design of the transparent layer. For example, when designing a glass floor, it is necessary to leave a clear gap between the glass to reduce the tension of pedestrians walking on it; however, when it comes to solar pavement, a larger gap will result in reduced transmittance of sunlight. Therefore, solar panels typically consist of multiple layers of glass, ensuring that if one layer fails, the remaining layers can still sustain the design load. Therefore, many researchers have conducted research on the pressure-bearing capacity of pavement PV [73,74,75].
3.3.2. Pavement PV Materials
From the perspective of energy harvesting, the combination of piezoelectric, pyroelectric, thermoelectric, and PV materials into ordinary concrete can create a material called “energy harvesting concrete”. This type of concrete is capable of capturing and storing energy wasted by transportation infrastructure for reuse. Although the design and research of the pavement PV model is still in the preliminary stage, there are some issues in its practical application. Taking into account the unique characteristics of the aforementioned pavement PV models, the design evaluation can be divided into three main levels. By summarizing and comparing the advantages and disadvantages of diverse designs—combined with the needs of different practical application scenarios—a more suitable pavement PV solution can be obtained.
- (1)
- The surface–transparent layer
The materials utilized for the surface–transparent layer can be categorized into three primary types: tempered glass, reinforced resin (e.g., polymethyl methacrylate, commonly known as PMMA), and resin-bonded glass aggregate (see Table 1). In order to ensure the long-term stability of the PV pavement, it is advisable to utilize tempered glass in the surface–transparent layer rather than reinforced resin. Although the skid resistance of glass is relatively poor, it can be improved by applying texture to the surface. Although the cost of resin material is low, it is easily affected by the environment, so it needs more frequent maintenance and updates. Furthermore, a layer of resin-bonded glass aggregate film can be applied over the tempered glass to further enhance skid resistance and safeguard against surface scratches. According to Andrew’s research, any glass with a thickness of more than 9.53 mm can withstand a traffic load of 480 kPa [76].
Table 1.
The pros and cons of designs in the surface–transparent layer.
To verify the compression resistance of PV pavements, Yang et al. [74] measured the compressive strength of tempered glass with different anti-slip patterns, and the results are shown in Figure 4. It can be seen that both PV pavements with anti-slip patterns can withstand compressive strength above 14 MPa. To verify the compression resistance, Yang also provided example ground pressure values, as shown in Table 2. It can be observed that the compressive strength of the tempered glass is significantly greater than the example ground pressure values; therefore, it can be concluded that the existing materials can effectively handle the scenario of PV pavement.
Figure 4.
Compressive strength of the two PV pavement samples with tempered glass [74].
Table 2.
Example ground pressure values [74].
- (2)
- The middle–functional layer
The structure of the intermediate–functional layer can be categorized into solid and hollow structures, depending on whether the solar cell is in direct contact with the surface layer (see Table 3). The surface layer of the hollow structure is easily damaged due to uneven stress; however, according to the grid design described in [42], this phenomenon can be effectively avoided. In addition, the immature sealing method may lead to water penetration, which is the main hindrance to the advancement of this structure. This is because the diffusion of water vapor can expedite the decline in solar cell efficiency. Consequently, the solid structure remains the primary form currently in use.
Table 3.
The pros and cons of designs in the middle–functional layer.
When choosing solar cells, the monocrystalline silicon cell stands out for its superior photoelectric efficiency and relatively low sensitivity to temperature variations. On the other hand, the film cell boasts inherently better compression strength. Therefore, one can select the most suitable cell based on their specific requirements. In the solid structure, the former is an ideal choice for walkable tiles, whereas the latter is suitable for application on roads or highways, capable of bearing the load of heavy vehicles. The operational temperature of PV cells can vary significantly even under identical working conditions [79], necessitating careful consideration in practical projects. Furthermore, several emerging solar cell technologies, including dye-sensitized solar cells (DSSC) [80], organic solar cells (OSC) [81], and perovskite solar cells (PSC) [82], could potentially offer promising and cost-effective alternatives in the field of photovoltaic pavements in the future.
- (3)
- The bottom–protective layer
The bottom–protective layer in PV pavements commonly features designs such as tempered glass, concrete floor, and resin and polymer substrates, as outlined in Table 4.
Table 4.
The pros and cons of designs in the bottom–protective layer.
Out of the three designs, tempered glass appears to be the most suitable choice due to its long-term stability and comparatively lightweight nature. While the resin and polymer substrate, constructed from scrap and recoverable materials, offers ecological advantages, its practical performance remains to be fully evaluated. Some researchers suggest the implementation of a porous layer containing a working fluid for achieving a cooling effect and harnessing external heat benefits; however, this porous structure may potentially compromise the overall bearing capacity of the module. Additionally, addressing the persistent issue of moisture penetration remains a crucial objective for all future designs of the bottom layer.
3.4. Energy Harvesting
The excess solar radiation on the road is effectively utilized as a valuable energy source through solar–electric or solar–thermal conversion methods. Solar–electric conversion uses solar photovoltaic (PV) technology to generate electricity. Solar–thermal conversion, on the other hand, involves a combination of thermoelectric and pyroelectric power generation technologies [83] to generate heat through the circulation of water or air through pipes hidden under the road surface [64,84,85,86], also named pavement-integrated photovoltaic thermal (PIPVT). Solar photovoltaic technologies for roads encompass various innovations such as solar panel roads [44,76], acoustic photovoltaic barriers (APVB)—also referred to as photovoltaic sound barriers (PVSB) or photovoltaic noise barriers (PVNB) [87]—and solar arches [88].
Researchers such as Bobes-Jesus conducted a thorough review of asphalt solar collectors, emphasizing the analysis of factors that influence the efficiency of heat collection [89]. On the other hand, Wang et al. explored the utilization of energy-harvesting technology in roadway and bridge construction [90]. Ahmad et al. similarly assessed the implementation of energy-harvesting technologies for sidewalks and roads, with a focus on pertinent technologies and materials [91]. Gholikhani et al. have conducted a comprehensive and recent review of the literature on a variety of energy-harvesting technologies, including electromagnetic collectors, piezoelectric collectors, thermoelectric collectors, pyroelectric collectors, photovoltaic collectors, and solar collectors [92].
Furthermore, Sharma and Harinarayana [93] delved into the concept of solar arches by examining two representative highways in India. As shown in Figure 5a–d, they conducted a detailed analysis of the feasibility of generating electricity using this technology. Based on the solar irradiance potential on the studied highways and the available area for installing PV panels, the maximum power output for each highway was estimated to be approximately 86 and 81 gigawatt-hours per square kilometer per year, respectively.
Figure 5.
PV energy-harvesting system: (a) solar panel roads [86]; (b) solar panel roads [44,76]; (c) PV noise barriers [87]; (d) solar arches [93].
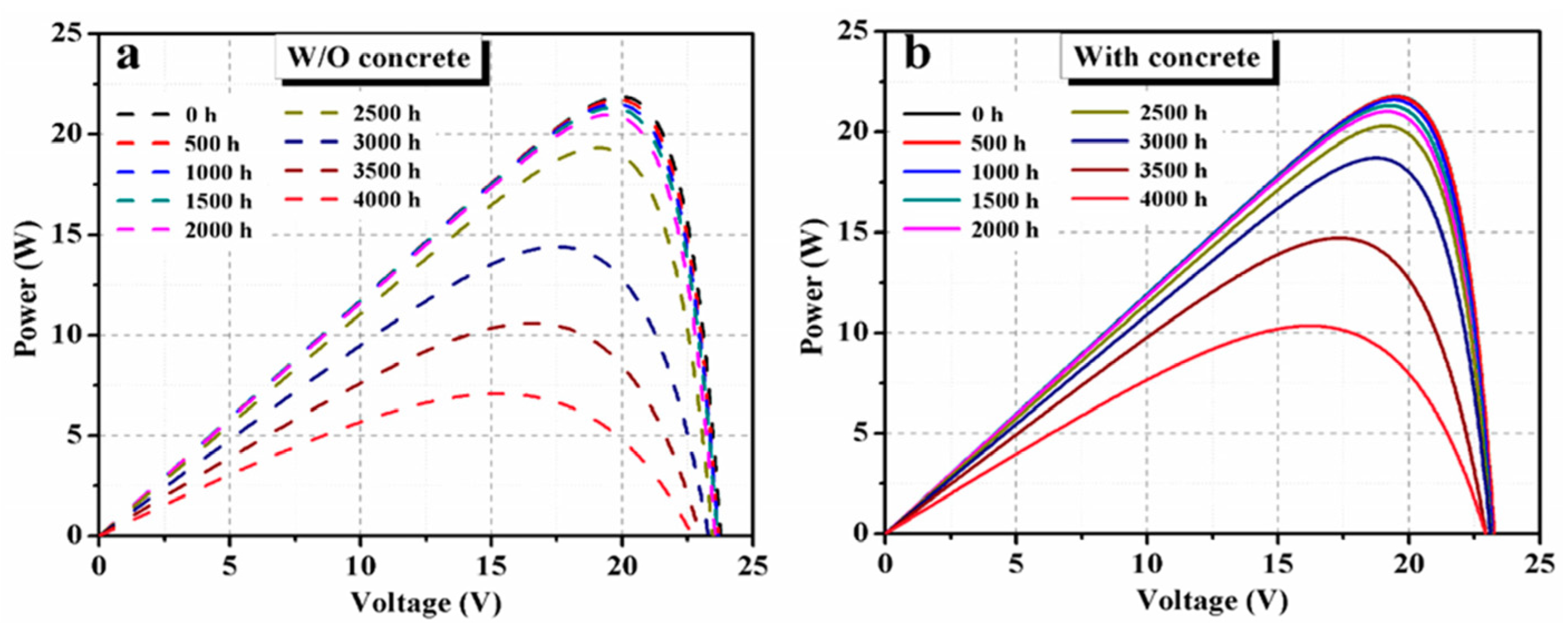
At the same time, Firoz Khan and Jae Hyun Kim conducted an analysis on the performance degradation of photovoltaic modules mounted on road pavements under damp-heat (DH) conditions, as shown in Figure 6a,b [94]. It can be observed that in the damp-heat environment, the rate of performance degradation decreases when the photovoltaic components are fixed on a concrete slab, compared to the situation without concrete.
Figure 6.
P–V curves of PV module in DH conditions without and with concrete [94]. (a) DH conditions without concrete. (b) DH conditions with concrete.
To validate the efficiency of various pavement systems, including conventional pavement (CP), pavement integrated with photovoltaic thermal (PIPVT), photovoltaic (PIPV), and solar thermal (PST) technologies, Ma et al. [45] conducted tests and sampling on these harvesting systems across different seasons. The outcomes of these tests are presented in Figure 7. It can be seen that PIPVT has the highest power generation efficiency because it can obtain energy through photovoltaic and thermal energy simultaneously.
Figure 7.
Energy yield and efficiency of solar energy-harvesting pavements [45].
4. Performance Evaluation
Pavement PV fulfills the demands for promoting clean and renewable energy sources while encompassing diverse energy conversion applications including transportation engineering technology, smart road equipment, and electric vehicle charging. This can achieve a sustainable equilibrium between limited resources and societal environmental necessities, thereby contributing towards the aspirations of “carbon peak” and “carbon neutrality”. Through an examination of the pertinent literature and case studies, the following key insights can be deduced:
- (1)
- Pavement PV are primarily composed of three layers: the top–transparent layer, the middle PV layer, and the bottom–protective layer. These three layers need to work in coordination to ensure the proper functioning of pavement PV. The commonly used structures for pavement PV are solid panel and hollow panel structures. The former boasts good load-bearing capacity and stability but its flat surface is not suitable for efficient monocrystalline silicon solar cells as they may break. The latter, however, does not face the risk of solar panel fracture and allows for adjustable placement angles. Yet, hollow panels demand higher packaging and waterproof drainage performance;
- (2)
- Pavement PV offers sustainable power solutions for smart roads, enabling the decentralized expansion of renewable energy sources. This approach minimizes the need for extensive power lines and associated energy losses, thereby promoting smart transportation systems and the development of electric vehicles. Furthermore, it effectively addresses issues such as road ice and snow melting, reduces greenhouse gas emissions, and mitigates urban heat island effects. Additionally, pavement PV creates job opportunities while simultaneously reducing fuel/energy consumption for projects or nearby buildings, thus contributing to a more sustainable and environmentally friendly urban infrastructure. However, various factors including traffic loads, material performance degradation, as well as environmental conditions such as temperature, humidity, and dust, have resulted in the failure or reduced durability of test projects, falling short of initial expectations. Presently, it appears that a suitable technology for constructing pavement PV that can withstand the impact of traffic loads while efficiently generating power remains elusive. The challenges persist in ensuring the durability and safety of the structure, materials, and collection circuits;
- (3)
- Research on the environmental impacts, costs, and efficiency indicates that another obstacle to the widespread application of pavement PV is their high cost; however, current costs cannot represent the installation cost at an industry scale. With the development of materials, technology, and economies of scale, future costs are expected to decrease. Hollow panel pavement PV have the lowest net present value (NPV) and levelized cost of energy (LCOE) among the other types of pavement PV, owing to lower material and production costs. In terms of current costs, the benefits of pavement PV are insufficient to cover the 20-year lifecycle costs. Nonetheless, if the LCOE drops below USD 0.2 per kWh, pavement PV would become economically attractive. This is not hard to achieve for hollow panel pavement PV.
5. Challenges and Prospects
- (1)
- The electricity generation capacity of pavement PV is not solely determined by geographical location and climatic conditions but is also influenced by unpredictable factors such as the environment and traffic flow, causing instability. Consequently, to adapt to the constantly changing operational conditions, further research is necessary to optimize the circuit design of pavement PV, taking into account the unique characteristics of the road environment. Furthermore, targeted waterproof measures need to be designed to address the issue of permeability in the bottom–protective layer of pavement photovoltaics. Simultaneously, the development of corresponding energy storage technologies is essential to ensure that the electricity generation of pavement PV can meet load demands, thereby enhancing load management flexibility;
- (2)
- Currently, pavement PV faces a dearth of suitable detection methods and standardized evaluation criteria. Therefore, it is imperative to devise innovative testing methodologies and establish uniform evaluation standards to assess the load-carrying capacity, durability, sustained performance, and reliability of electricity generation output for pavement PV. At the same time, as pavement photovoltaics is a relatively novel technology, it is necessary to regularly update its standards during the initial stage of standard development. The wide coverage and distinct working environment of pavement PV render conventional road management and maintenance models obsolete. Research and exploration are imperative for maintaining and repairing damaged pavement PV during operation, encompassing surface cleaning, load-bearing structures, and electricity generation systems;
- (3)
- While pavement PV present a promising road energy production approach, they are currently not applicable to all road types. Heavy traffic increases the likelihood of structural damage, elevating costs and reducing durability. Therefore, it is also necessary to strengthen the structural design of pavement modules to optimize long-term stability and effectiveness; in addition, this also adds to the shading area and duration of pavement PV. When replacing traditional road surfaces with photovoltaic pavement modules, it is also necessary to consider whether they will have a negative impact on the movement of vehicles. To prevent uncontrollable factors and mitigate significant economic losses, it is crucial to undertake a thorough feasibility assessment of the pavement site prior to embarking on test projects. This comprehensive evaluation encompasses various aspects, including but not limited to, an on site solar resource assessment, traffic environment screening, and a detailed cost–benefit analysis. Furthermore, to enhance the system’s electricity generation efficiency, relying solely on a single energy collection method for pavement PV might not suffice for their developmental needs. Consequently, future research should focus on integrating pavement PV with other forms of energy collection technologies.
6. Conclusions
This paper provides a comprehensive review of physical models and performance evaluations related to pavement PV while also offering insights into future prospects. The integration of PV technology imbues roadways with the inherent capability of generating green energy, thereby transforming them from energy consumers to energy producers. The overall structure of PV roadways comprises three layers: the transparent–surface layer, the intermediate–functional layer, and the bottom–protective layer. Building upon this three-layer framework, a summary and comparison of the advantages and disadvantages of various designs for each layer aids in selecting appropriate models for diverse application scenarios. Standards for mechanical performance and stability testing, simulation methods for electricity generation, and assessments of socio-economic benefits are all introduced.
Presently, research on PV roadways is still in its nascent stage, with poor long-term stability and limited effectiveness constituting the primary obstacles to their development. Accordingly, it is essential to further optimize the structural design of the road surface modules themselves. Additionally, quantifiable testing standards must be established and periodically revised to ensure their relevance and accuracy. In practical engineering applications, the installation locations for PV roadways should be carefully chosen, accompanied by more comprehensive economic and environmental evaluations.
Funding
This work was supported by the National Natural Science Foundation of China (52107177).
Conflicts of Interest
Author Xiaoyu Ni was employed by the company Jiangsu Smart Energy Technology Inc. The remaining author declares that the research was conducted in the absence of any commercial or financial relationships that could be construed as a potential conflict of interest.
Abbreviations
| PV | Photovoltaic |
| STC | Standard test conditions |
| MPP | Maximum power point |
| PMMA | Polymethyl methacrylate |
| PV/T | PV/thermal |
| BIPVT | Building-integrated photovoltaic/thermal |
| DSSC | Dye-sensitized solar cells |
| OSC | Organic solar cells |
| PSC | Perovskite solar cells |
| APVB | Acoustic photovoltaic barriers |
| PVSV | Photovoltaic sound barriers |
| PVNB | Photovoltaic noise barriers |
| NPV | Net present value |
| LCOE | Levelized cost of energy |
| DH | Damp-heat |
| PIPVT | Pavement-integrated photovoltaic thermal |
| PIPV | Pavement-integrated photovoltaic |
| PIST | Pavement-integrated solar thermal |
| CP | Conventional pavement |
| HIE | Heat island effect |
References
- Martins, F.; Felgueiras, C.; Smitkova, M.; Caetano, N. Analysis of fossil fuel energy consumption and environmental impacts in european countries. Energies 2019, 12, 964. [Google Scholar] [CrossRef]
- Abas, N.; Kalair, A.; Khan, N. Review of fossil fuels and future energy technologies. Futures 2015, 69, 31–49. [Google Scholar] [CrossRef]
- National Development and Reform Commission (NDRC) of the People’s Republic of China. China Focus: China Maps Path to Carbon Peak, Neutrality under New Development Philosophy. 2021. Available online: https://en.ndrc.gov.cn/news/mediarusources/202110/t20211027_1301263.html (accessed on 27 October 2021).
- Chen, S.; Lu, X.; Miao, Y.; Logan, K.G.; Michael, B.; Chen, S.; Lu, X.; Miao, Y.; Deng, Y.; Nielsen, C.P.; et al. The potential of photovoltaics to power the belt and road initiative. Joule 2019, 3, 1895–1912. [Google Scholar] [CrossRef]
- Comello, S.; Reichelstein, S.; Sahoo, A. The road ahead for solar PV power. Renew. Sustain. Energy Rev. 2018, 92, 744–756. [Google Scholar] [CrossRef]
- Zhang, Y.; Ma, T.; Yang, H. Grid-connected photovoltaic battery systems: A comprehensive review and perspectives. Appl. Energy 2022, 328, 120182. [Google Scholar] [CrossRef]
- Papadimitriou, C.N.; Psomopoulos, C.S.; Kehagia, F. A review on the latest trend of Solar Pavements in Urban Environment. Energy Procedia 2019, 157, 945–952. [Google Scholar] [CrossRef]
- Kehagia, F.; Mirabella, S.; Psomopoulos, C.S. Solar pavement: A new source of energy. In Bituminous Mixtures and Pavements VII: Proceedings of the 7th International Conference ‘Bituminous Mixtures and Pavements’ (7ICONFBMP), June 12–14, 2019, Thessaloniki, Greece; CRC Press: Boca Raton, FL, USA, 2019; p. 441. [Google Scholar]
- Li, J.; Xiao, F.; Zhang, L.; Amirkhanian, S.N. Life cycle assessment and life cycle cost analysis of recycled solid waste materials in highway pavement: A review. J. Clean. Prod. 2019, 233, 1182–1206. [Google Scholar] [CrossRef]
- Silva, R.V.; de Brito, J.; Lynn, C.J.; Dhi, R.K. Environmental impacts of the use of bottom ashes from municipal solid waste incineration: A review. Resour. Conserv. Recycl. 2019, 140, 23–35. [Google Scholar] [CrossRef]
- Hong Kong ’s CLIMATE ACTION PLAN 2050; Hong Kong SAR: Hong Kong, China, 2021.
- Ministry of Transport of the People’s Republic of China. China Transport Industry Development. Statistical Bulletin; Ministry of Transport of the People’s Republic of China: Beijing, China, 2022.
- Duman, A.C.; Güler, Ö. Techno-economic analysis of off-grid photovoltaic LED road lighting systems: A case study for northern, central and southern regions of Turkey. Build. Environ. 2019, 156, 89–98. [Google Scholar] [CrossRef]
- Babatunde, M.O.; Akinbulire, T.O.; Oluseyi, P.O.; Emezirinwune, M.U. Techno-economic viability of off-grid standalone PV-powered LED street lighting system in Lagos, Nigeria. Afr. J. Sci. Technol. Innov. Dev. 2019, 11, 807–819. [Google Scholar] [CrossRef]
- Ferri, C.; Ziar, H.; Nguyen, T.T.; Hv, L.; Zeman, M.; Isabella, O. Mapping the photovoltaic potential of the roads including the effect of traffic. Renew. Energy 2022, 182, 427–442. [Google Scholar] [CrossRef]
- Del Serrone, G.; Peluso, P.; Moretti, L. Photovoltaic road pavements as a strategy for low-carbon urban infrastructures. Heliyon 2023, 9, 9. [Google Scholar] [CrossRef] [PubMed]
- Zhou, B.; Pei, J.; Calautit, J.K.; Zhang, J.; Guo, F. Solar self-powered wireless charging pavement—A review on photovoltaic pavement and wireless charging for electric vehicles. Sustain. Energy Fuels 2021, 5, 5139–5159. [Google Scholar] [CrossRef]
- Chu, L.; Zhai, S.; Ahmad, W.; Zhang, J.; Zang, Y.; Yan, W.; Li, Y. High-performance largearea perovskite photovoltaic modules. Nano Res. Energy 2022, 1, 9120024. [Google Scholar] [CrossRef]
- Zeng, J.; Bi, L.; Cheng, Y.; Xu, B.; Jen, A.K.-Y. Self-assembled monolayer enabling improved buried interfaces in blade-coated perovskite solar cells for high efficiency and stability. Nano Res. Energy 2022, 1, e9120004. [Google Scholar] [CrossRef]
- Hamakareem, M.I. Solar Roadways: Purpose, Construction, and Applications. The Constructor. Available online: https://theconstructor.org/transportation/solar-roadways-construction-applications/506048/#google_vignette (accessed on 25 April 2021).
- Wei, J.; Xiao, J.; Yuan, D.; Lu, H.; Xu, S.; Huang, Y. Design and experiment of thermoelectric asphalt pavements with power-generation and temperaturereduction functions. Energy Build. 2018, 169, 39–47. [Google Scholar]
- Xie, P.; Wang, H. Potential benefit of photovoltaic pavement for mitigation of urban heat island effect. Appl. Therm. Eng. 2021, 191, 116883. [Google Scholar] [CrossRef]
- Sun, W.; Lu, G.; Ye, C.; Chen, S.; Hou, Y.; Wang, D.; Wang, L.; Oeser, M. The state of the art: Application of green technology in sustainable pavement. Adv. Mater. Sci. Eng. 2018, 2018, 9760464. [Google Scholar] [CrossRef]
- Wama, M.; Yoshinaka, T.; Nishioka, S.; Murakami, H. Reflectivity and Durability Assessment of Solar Heat-Blocking Pavement. In Proceedings of the 5th International Symposium on Asphalt Pavements & Environment (APE); Springer: Cham, Switzerland, 2020. [Google Scholar] [CrossRef]
- Mohajerani, A.; Bakaric, J.; Jeffrey-Bailey, T. The urban heat island effect, its causes, and mitigation, with reference to the thermal properties of asphalt concrete. J. Environ. Manag. 2017, 197, 522–538. [Google Scholar] [CrossRef]
- Efthymiou, C.; Santamouris, M.; Kolokotsa, D.; Koras, A. Development and testing of photovoltaic pavement for heat island mitigation. Sol. Energy 2016, 130, 148–160. [Google Scholar] [CrossRef]
- Javed, M.S.; Zhong, D.; Ma, T.; Song, A.; Ahmed, S. Hybrid pumped hydro and battery storage for renewable energy based power supply system. Appl. Energy 2020, 257, 114026. [Google Scholar] [CrossRef]
- Javed, M.S.; Ma, T.; Jurasz, J.; Canales, F.A.; Lin, S.; Ahmed, S.; Zhang, Y. Economic analysis and optimization of a renewable energy based power supply system with different energy storages for a remote island. Renew. Energy 2021, 164, 1376–1394. [Google Scholar] [CrossRef]
- Ma, T.; Yang, H.; Lu, L. Development of hybrid battery–supercapacitor energy storage for remote area renewable energy systems. Appl. Energy 2015, 153, 56–62. [Google Scholar] [CrossRef]
- Javed, M.S.; Song, A.; Ma, T. Techno-economic assessment of a stand-alone hybrid solar-wind-battery system for a remote island using genetic algorithm. Energy 2019, 176, 704–717. [Google Scholar] [CrossRef]
- van Bijsterveld, W.T.; Houben, L.J.M.; Scarpas, A.; Molenaar, A.A.A. Using pavement as solar collector: Effect on pavement temperature and structural response. Transp. Res. Rec. 2001, 1778, 140–148. [Google Scholar] [CrossRef]
- Suh, I.; Kim, J. Electric vehicle on-road dynamic charging system with wireless power transfer technology. In Proceedings of the 2013 International Electric Machines & Drives Conference, Chicago, IL, USA, 12–15 May 2013. [Google Scholar] [CrossRef]
- Lipson, H.; Kurman, M. Driverless: Intelligent Cars and the Road Ahead; The Mit Press: Cambridge, MA, USA, 2016. [Google Scholar]
- Green, M.A. Photovoltaic technology and visions for the future. Prog. Energy 2019, 1, 013001. [Google Scholar] [CrossRef]
- Gan, P.Y.; Li, Z. Quantitative study on long term global solar photovoltaic market. Renew. Sustain. Energy Rev. 2015, 46, 88–99. [Google Scholar] [CrossRef]
- Shannan, N.M.A.A.; Yahaya, N.Z.; Singh, B. Single-diode model and two-diode model of PV modules: A comparison. In Proceedings of the 2013 IEEE International Conference on Control System, Computing and Engineering, Penang, Malaysia, 29 November–1 December 2013; pp. 210–214. [Google Scholar]
- Zhou, B.; Pei, J.; Xue, B.; Guo, F.; Wen, Y.; Zhang, Z.; Li, R. Solar/road from ‘forced coexistence’ to ‘harmonious symbiosis’. Appl. Energy 2019, 255, 113808. [Google Scholar] [CrossRef]
- Ferwani, R.; Gupta, S. Solar Roadways: A Road Toward Betterment. In Proceedings of Second International Conference on Smart Energy and Communication; Springer: Singapore, 2021; pp. 433–437. [Google Scholar]
- Coutu, R.A., Jr.; Newman, D.; Munna, M.; Tschida, J.H.; Tschida, S. Engineering Tests to Evaluate the Feasibility of an Emerging Solar Pavement Technology for Public Roads and Highways. Technologies 2020, 8, 9. [Google Scholar] [CrossRef]
- Northmore, A.; Tighe, S. Developing innovative roads using solar technologies. In Proceedings of the International Transportation Specialty Conference of the Canadian Society of Civil Engineers Conference, Edmonton, AB, Canada, 6–9 June 2012. [Google Scholar]
- Northmore, A.B. Canadian Solar Road Panel Design: A Structural and Environmental Analysis; University of Waterloo: Waterloo, ON, Canada, 2014. [Google Scholar]
- Northmore, A.B.; Tighe, S.L. Performance modelling of a solar road panel prototype using finite element analysis. Int. J. Pavement Eng. 2016, 17, 449–457. [Google Scholar] [CrossRef]
- Zha, X.; Zhang, C.; Wu, Z.; Zhang, Q. Mechanical analysis and model preparation for hollow slab element of solar pavement. Acta Energiae Solaris Sin. 2016, 37, 136–141. [Google Scholar]
- Dezfooli, A.S.; Nejad, F.M.; Zakeri, H.; Kazemifard, S. Solar pavement: A new emerging technology. Sol. Energy 2017, 149, 272–284. [Google Scholar] [CrossRef]
- Ma, T.; Yang, H.; Gu, W.; Li, Z.; Yan, S. Development of walkable photovoltaic floor tiles used for pavement. Energy Convers. Manag. 2019, 183, 764–771. [Google Scholar] [CrossRef]
- Li, Z. Research on Preparation and Performance of Material and Model for Solar Pavement Based on Transparent Resin Concrete. Master’s Thesis, Changsha University of Science and Technology, Changsha, China, 2018. [Google Scholar]
- Li, Y.; Zhang, J.; Cao, Y.; Hu, Q.; Guo, X. Design and evaluation of light-transmitting concrete (LTC) using waste tempered glass: A novel concrete for future photovoltaic road. Constr. Build. Mater. 2021, 280, 122551. [Google Scholar] [CrossRef]
- Vizzari, D.; Puntorieri, P.; Pratico, F.; Fiamma, V.; Barbaro, G. Energy harvesting from solar and permeable pavements: A feasibility study. Ann. Chim. Sci. Des. Mater. 2018, 42, 517–534. [Google Scholar] [CrossRef]
- Vizzari, D.; Puntorieri, P.; Pratico, F.; Fiamma, V.; Barbaro, G. Solar and permeable road: A prototypical study. In Proceedings of the RILEM International Symposium on Bituminous Materials; RILEM Bookseries; Springer: Cham, Switzeland, 2021; Volume 27. [Google Scholar] [CrossRef]
- Vizzari, D.; Chailleux, E.; Gennesseaux, E.; Lavaud, S.; Vignard, N. Viscoelastic characterisation of transparent binders for application on solar roads. Road Mater. Pavement Des. 2019, 20 (Suppl. S1), S112–S126. [Google Scholar] [CrossRef]
- Vizzari, D.; Chailleux, E.; Lavaud, S.; Gennesseaux, E.; Bouron, S. Fraction factorial design of a novel semi-transparent layer for applications on solar roads. Infrastructure 2020, 5, 5. [Google Scholar] [CrossRef]
- Demir, E.; Uçar, S. Effect of traffic flow on electricity generation with photovoltaic panels on roads. Kent Akad. 2021, 14, 335–346. [Google Scholar] [CrossRef]
- Selvaraju, R.K. Characterization of Solar Roadways via Computational and Experimental Investigations. Master’s Thesis, The University of Western Ontario, London, ON, Canada, 2012; p. 906. Available online: https://ir.lib.uwo.ca/etd/906 (accessed on 23 October 2012).
- Wu, L.; Yuan, Y.; Wu, H. Solar road power generation assessment based on coupled transportation and power distribution systems. J. Phys. Conf. 2020, 1659, 12041. [Google Scholar] [CrossRef]
- Liu, Z.; Yang, A.; Gao, M.; Jiang, H.; Kang, Y.; Zhang, F.; Fei, T. Towards feasibility of photovoltaic road for urban traffic-solar energy estimation using street view image. J. Clean. Prod. 2019, 228, 303–318. [Google Scholar] [CrossRef]
- Radziemska, E. The effect of temperature on the power drop in crystalline silicon solar cells. Renew. Energy 2003, 28, 1–12. [Google Scholar] [CrossRef]
- Singh, P.; Ravindra, N.M. Temperature dependence of solar cell performancedan analysis. Sol. Energy Mater. Sol. Cells 2012, 101, 36–45. [Google Scholar] [CrossRef]
- Maka, A.O.; O’Donovan, T.S. Modelling of the thermal behaviour of solar high concentrating photovoltaic receiver. Therm. Sci. Eng. Prog. 2019, 9, 281–288. [Google Scholar] [CrossRef]
- Zhang, Y.; Ma, T.; Yang, H.; Cao, S.; Wang, Y. Solar Energy Harvesting from the Photovoltaic/Thermal (PV/T) Pavement: Energy Performance Analyses and Comparison Considering Ground Influence. Sustain. Cities Soc. 2023, 99, 104895. [Google Scholar] [CrossRef]
- Klimenta, D.; Jevtić, M.; Andriukaitis, D.; Mijailović, V. Increasing the Transmission Performance of a Conventional 110 KV Cable Line by Combining a Hydronic Concrete Pavement System with Photovoltaic Floor Tiles. Electr. Eng. 2021, 103, 1401–1415. [Google Scholar] [CrossRef]
- Debbarma, M.; Sudhakar, K.; Baredar, P. Thermal modeling, exergy analysis, performance of BIPV and BIPVT: A review, Renew. Sustain. Energy Rev. 2017, 73, 1276–1288. [Google Scholar] [CrossRef]
- Buonomano, A.; Calise, F.; Palombo, A.; Vicidomini, M. BIPVT systems for residential applications: An energy and economic analysis for European climates. Appl. Energy 2016, 184, 1411–1431. [Google Scholar] [CrossRef]
- Mishra, G.K.; Tiwari, G.N. Performance evaluation of 7.2kWp standalone building integrated semi-transparent photovoltaic thermal system. Renew. Energy 2020, 146, 205–222. [Google Scholar] [CrossRef]
- Zhou, B.; Pei, J.; Calautit, J.K.; Zhang, J.; Yong, L.X.; Pantua, C.A.J. Analysis of mechanical response and energy efficiency of a pavement integrated photovoltaic/thermal system (PIPVT). Renew. Energy 2022, 194, 1–12. [Google Scholar] [CrossRef]
- Zhou, B.; Pei, J.; Hughes, B.R.; Nasir, D.S.; Zhang, J. Analysis of mechanical properties for two different structures of photovoltaic pavement unit block. Constr. Build. Mater. 2020, 239, 117864. [Google Scholar] [CrossRef]
- Zhou, B.; Pei, J.; Nasir, D.M.; Zhang, J. A review on solar pavement and photovoltaic/thermal (PV/T) system. Transp. Res. D 2021, 93, 102753. [Google Scholar] [CrossRef]
- López-Escalante, M.C.; Fernández-Rodríguez, M.; Caballero, L.J.; Martín, F.; Gabás, M.; Ramos-Barrado, J.R. Novel encapsulant architecture on the road to photovoltaic module power output increase. Appl. Energy 2018, 228, 1901–1910. [Google Scholar] [CrossRef]
- Zha, X.; Qiu, M.; Hu, H.; Hu, J.; Lv, R.; Pan, Q. Simulation of structure and power generation for self-compacting concrete hollow slab solar pavement with micro photovoltaic array. Sustain. Energy Technol. Assess. 2022, 53, 102798. [Google Scholar] [CrossRef]
- Patila, A.R.; Khairnara, V.Y.; Kokatea, D.A.V.; Narkhede, D.R.S. A novel route for construction of smart highways by using photovoltaic solar panels. Int. J. Res. Anal. Rev. 2018, 5, 491–496. [Google Scholar]
- Li, S.; Ma, T.; Wang, D. Photovoltaic Pavement and Solar Road: A Review and Perspectives. Sustain. Energy Technol. Assess. 2023, 55, 102933. [Google Scholar] [CrossRef]
- Lee, K.; Correia, A.J. A Pilot Study for Investigation of Novel Methods to Harvest Solar Energy from Asphalt Pavements; Korea Institute of Construction Technology (KICT): Goyang City, Republic of Korea, 2010. [Google Scholar]
- GW Debuts Solar Walk on the Virginia Science and Technology Campus. GWTODAY 2013. 2013. Available online: https://gwtoday.gwu.edu/gw-debuts-solar-walk-virginia-science-and-technology-campus (accessed on 14 July 2021).
- Coutu, R.A., Jr.; Newman, D.; Crovetti, J.; Mishra, A.K.; Munna, M.; Delbridge-Ramos, A.; Brusaw, J.; Brusaw, S. Testing Photovoltaic Pavers for Roadway Applications. Sustain. Environ. 2019, 4, 86. [Google Scholar] [CrossRef]
- Yang, H.; Tao, M. Research and Development of Solar PV Pavement Panels for Application on the Green Deck (Final Report); The Hong Kong Polytechnic University (PolyU): Hongkong, China, 2016. [Google Scholar]
- Yuan, H.; Guan, Y.; Zhang, X.; Sun, R.; Ge, Z.; Li, W.; Feng, Y. Numerical Investigation of the Mechanical Response of Solar Pavement Based on Cement Concrete Under Vehicle and Temperature Loading. Arab. J. Sci. Eng. 2023, 48, 5305–5319. [Google Scholar] [CrossRef]
- Northmore, A.; Tighe, S. Innovative pavement design: Are solar roads feasible? In Proceedings of the Conference of the Transportation Association of Canada-Transportation: Innovations and Opportunities, Fredericton, NB, Canada, 14–17 October 2012. [Google Scholar]
- Munshi, A.H.; Sasidharan, N.; Pinkayan, S.; Barth, K.L.; Sampath, W.S.; Ongsakul, W. Thinfilm CdTe photovoltaics—The technology for utility scale sustainable energy generation. Sol. Energy 2018, 173, 511–516. [Google Scholar] [CrossRef]
- Tan, S.; Das, N.; Helwig, A.; Islam, S. Nano-structured gaas solar cell design, simulation and analysis for conversion efficiency improvement. In Proceedings of the 2018 Australasian Universities Power Engineering Conference, AUPEC 2018, Auckland, New Zealand, 27–30 November 2018. [Google Scholar] [CrossRef]
- Shekhar, A.; Kumaravel, V.K.; Klerks, S.; de Wit, S.; Venugopal, P.; Narayan, N.; Bauer, P.; Isabella, O.; Zeman, M. Harvesting roadway solar energy—Performance of the installed infrastructure integrated PV bike path. IEEE J. Photovolt. 2018, 8, 1066–1073. [Google Scholar] [CrossRef]
- Wanninayake, W.M.N.M.B.; Premaratne, K.; Kumara, G.R.A.; Rajapakse, R.M.G. Use of lithium iodide and tetrapropylammonium iodide in gel electrolytes for improved performance of quasi-solid-state dye-sensitized solar cells: Recording an efficiency of 6.40%. Electrochim. Acta 2016, 191, 1037–1043. [Google Scholar] [CrossRef]
- Duan, L.; Elumalai, N.K.; Zhang, Y.; Uddin, A. Progress in non-fullerene acceptor based organic solar cells. Sol. Energy Mater. Sol. Cells 2019, 193, 22–65. [Google Scholar] [CrossRef]
- Yang, R.; Li, R.; Cao, Y.; Wei, Y.; Miao, Y.; Tan, W.L.; Jiao, X.; Chen, H.; Zhang, L.; Chen, Q.; et al. Oriented Quasi-2D perovskites for high performance optoelectronic devices. Adv. Mater. 2018, 30, e1804771. [Google Scholar] [CrossRef] [PubMed]
- Bowen, C.R.; Taylor, J.; LeBoulbar, E.; Zabek, D.; Chauhan, A.; Vaish, R. Pyroelectric materials and devices for energy harvesting applications. Energy Environ. Sci. 2014, 7, 3836–3856. [Google Scholar] [CrossRef]
- Lee, K.W.; Correia, A.J.; Lee, K.-H.; Neilan, B.D.J.; Gregor, S. Solar energy harvesting from roadways. In Proceedings of the 93rd Annual Meeting of Transportation Research Board, Washington, DC, USA, 12–16 January 2014; pp. 4380-1–4380-18. [Google Scholar]
- Li, S.; Chen, Z.; Liu, X.; Zhang, X.; Zhou, Y.; Gu, W.; Ma, T. Numerical Simulation of a Novel Pavement Integrated Photovoltaic Thermal (PIPVT) Module. Appl. Energy 2021, 283, 116287. [Google Scholar] [CrossRef]
- Li, S.; Gu, W.; Liu, X.; Zhou, Y.; Chen, Z.; Zhang, X.; Ma, T. Pavement Integrated Photovoltaic Thermal (PIPVT) System: A Temporal and Spatial Analysis of Energy and Exergy Performance. J. Clean. Prod. 2022, 340, 130782. [Google Scholar] [CrossRef]
- Grasselli, U.; Schirone, L.; Bellucci, P. Infrastructures integration of photovoltaic power. In Proceedings of the International Conference on Clean Electrical Power, ICCEP’07, Capri, Itlay, 21–23 May 2007; pp. 397–400. [Google Scholar]
- Trials of Renewable Energy in Highways. The Tech Journal. 2011. Available online: https://thetechjournal.com/green-tech/trials-of-renewable-energy-in-highways.xhtml (accessed on 8 March 2024).
- Bobes-Jesus, V.; Pascual-Muñoz, P.; Castro-Fresno, D.; Rodriguez-Hernandez, J. Asphalt solar collectors: A literature review. Appl. Energy 2013, 102, 962–970. [Google Scholar] [CrossRef]
- Wang, H.; Jasim, A.; Chen, X. Energy Harvesting Technologies in Roadway and Bridge for Different Applications—A Comprehensive Review. Appl. Energy 2018, 212, 1083–1094. [Google Scholar] [CrossRef]
- Ahmad, S.; Abdul Mujeebu, M.; Farooqi, M.A. Energy harvesting from pavements and roadways: A comprehensive review of technologies, materials, and challenges. Int. J. Energy Res. 2019, 43, 1974–2015. [Google Scholar] [CrossRef]
- Gholikhani, M.; Roshani, H.; Dessouky, S.; Papagiannakis, A.T. A critical review of roadway energy harvesting technologies. Appl. Energy 2020, 261, 114388. [Google Scholar] [CrossRef]
- Sharma, P.; Harinarayana, T. Solar energy generation potential along national highways. Int. J. Energy Environ. Eng. 2013, 4, 16. [Google Scholar] [CrossRef]
- Khan, F.; Kim, J.H. Performance Degradation Analysis of C-Si PV Modules Mounted on a Concrete Slab under Hot-Humid Conditions Using Electroluminescence Scanning Technique for Potential Utilization in Future Solar Roadways. Materials 2019, 12, 4047. [Google Scholar] [CrossRef]
Disclaimer/Publisher’s Note: The statements, opinions and data contained in all publications are solely those of the individual author(s) and contributor(s) and not of MDPI and/or the editor(s). MDPI and/or the editor(s) disclaim responsibility for any injury to people or property resulting from any ideas, methods, instructions or products referred to in the content. |
© 2024 by the authors. Licensee MDPI, Basel, Switzerland. This article is an open access article distributed under the terms and conditions of the Creative Commons Attribution (CC BY) license (https://creativecommons.org/licenses/by/4.0/).






