Synthesis and Performance Evaluation of Modified Polyaspartic-Acid-Based Scale Inhibitor
Abstract
1. Introduction
2. Materials and Methods
2.1. Materials
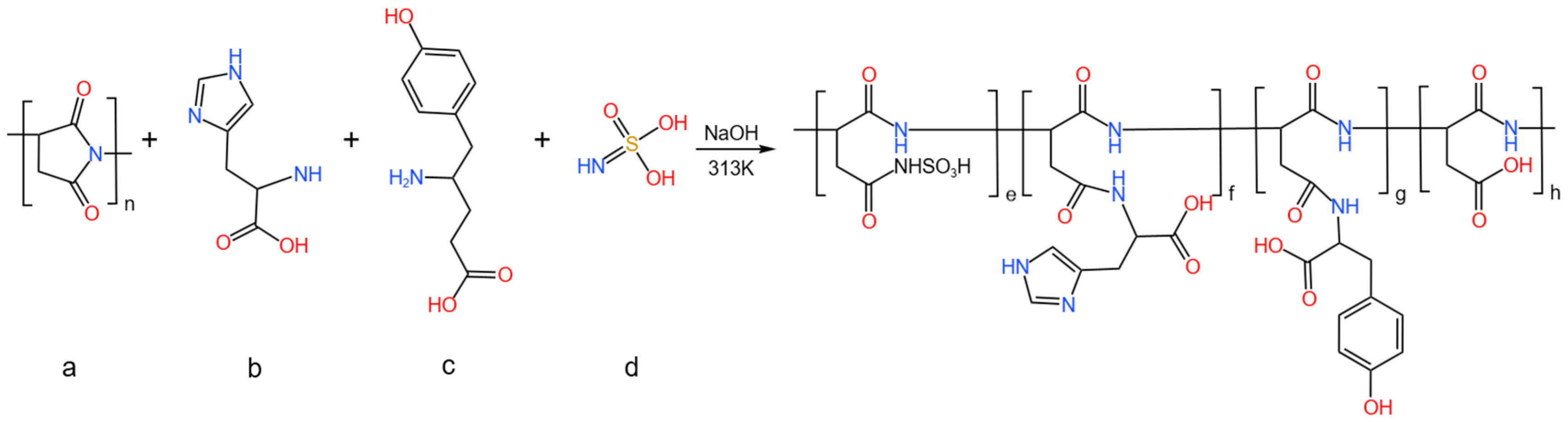
2.2. Synthesis of Polyaspartate (PASP)
2.3. Ring-Opening Graft Modification of PASP
2.4. Fourier-Transform Infrared Spectra
2.5. Evaluation Method of Scale Inhibition Effect
2.6. Dynamic Scale Inhibition Experimental Device and Experimental Method
3. Results
3.1. FTIR and1H NMR Analysis of His-Tyr-SA-PASP
3.2. Scale Inhibition Performance of His-Tyr-SA-PASP and Its Composite Scale Inhibitor
3.2.1. Scale Inhibition Performance of Scale Inhibitor Monomer
- After modification, the scale inhibition rate of PASP significantly improved, but the scale inhibition rates of modified PASP, DTPMPA, PBTCA, ATMP, and MA/AA were less than 90%, which did not meet the scale inhibition requirements. Therefore, this work developed and optimized suitable scale inhibitors for different water types, pH values, and scale ion concentrations of the water samples. Experiments were conducted on the synergistic effect of various scale inhibitors and the optimal scale inhibition rate was explored.
3.2.2. Scale Inhibition Performance of Compound SCALE Inhibitor
Static Scale Inhibition Experiment of Composite Scale Inhibitor
- In the field of water treatment, regional differences in ion concentrations in water samples and variations in pH lead to a wide variety of scaling phenomena. As a result of these differences, different types of scales are formed. In addition, different scale inhibitors have different inhibiting effects on various scaling conditions. Therefore, in order to solve the scaling problem of a specific water body more effectively, it is necessary to compound different scale inhibitors and optimize their ratios to achieve a better anti-scaling effect. Among the existing scale inhibitors, organophosphorus scale inhibitors have significant scale inhibition effects and require small dosages. However, their high phosphorus content can easily lead to environmental pollution. Conversely, copolymer scale inhibitors demonstrate high scale inhibition efficiency and low or non-toxicity. However, high phosphorus content in these inhibitors can easily lead to environmental pollution. In light of this, it is preferable to use the composite application of multiple scale inhibitors and optimize the ratio of these inhibitors to achieve the optimal anti-scaling effectiveness. In this context, modified polyphosphates (PASPs) show considerable potential to act in synergy with other scale inhibitors and exhibit highly efficient scale inhibition properties. Consequently, compounding them with organophosphate and copolymer scale inhibitors is expected to be an effective strategy to enhance the anti-scaling effect.
- DTPMPA in organic phosphates has a significant chelating effect on metal ions, especially in the treatment of various types of scale, but the agent has poor tolerance to calcium ions, and its effectiveness decreases in strong alkali or high-temperature environments. PBTCA is suitable for alkaline water and can effectively inhibit scaling. By adjusting the ratio of DTPMPA and PBTCA, effective scale inhibition can be carried out for water bodies with different pH values. The dissociation characteristics of ATMP in water enable it to form stable multi-ring chelates with calcium, magnesium, and other metal ions, effectively destroying the formation of scale. Therefore, for the Mg2+ present in the water sample, it is appropriate to add ATMP for synergistic effect in the scale inhibitor.
- Copolymer scale inhibitor MA/AA, as a low-molecular-weight polyelectrolyte, is copolymerized by maleic acid and acrylic acid in a certain proportion. It has a significant dispersion effect on carbonates and has good thermal stability. It can maintain its effectiveness even in a high temperature environment of 300 °C. In addition, MA/AA shows good compatibility and synergistic effect with other water treatment agents. To enhance the high-temperature applicability of the scale inhibitor, it is necessary to choose to add a suitable amount of MA/AA for synergistic effect in the scale inhibitor.
- We conducted research on the prices of scale inhibitors in the market. The price of PASP is 6.5–12 CNY/kg, DTPMPA is 5.23–12.8 CNY/kg, PBTCA is 4.6–18 CNY/kg, ATMP is 6–7.8 CNY/kg, and MA/AA is 8.50 CNY/kg. However, when it comes to modified PASP scale inhibitors, compared to unmodified PASP with other raw materials added, their prices will be higher than ordinary PASP scale inhibitors. Despite this, by compounding them with other scale inhibitors, their scale inhibition performance can be improved, costs can be reduced, and better economic benefits may be obtained.
- Under the conditions of 75 °C temperature and 12 MPa pressure, to achieve the optimal concentration of mixed scale inhibitor for different water samples in different regions, the five selected scale inhibitors (modified PASP, DTPMPA, PBTCA, ATMP, and MA/AA) were used for mixing according to different water sample types. The experimental evaluation looked at the effect of mixed scale inhibitor concentration on the scale inhibition of the scaling water samples. Table 2 provides the formula of the mixed scale inhibitor; Table 3 shows the ion concentrations of the four water samples.
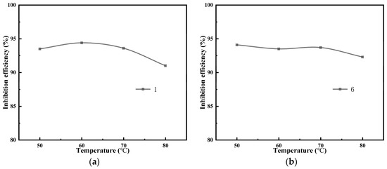
Dynamic Scale Inhibition Experiment of Composite Scale Inhibitor
4. Conclusions
Author Contributions
Funding
Data Availability Statement
Acknowledgments
Conflicts of Interest
References
- Cui, K.; Zhao, L.; Sun, G. Study on scale inhibition performance and molecular dynamics simulation of a pipeline scale inhibitor in an oil field. J. Yan’an Univ. (Nat. Sci. Ed.) 2023, 42, 9–15. [Google Scholar]
- Zhang, T.; Zhang, D.; Liu, D. Polyaspartic acid modified by fluorescent carbon quantum dots as an environmentally friendly scale inhibitor for calcium sulphate. Desalination 2024, 584, 117740. [Google Scholar] [CrossRef]
- Hai, X.; Liu, Z. Study on synergistic effect of scale inhibitor combination. Petrochem. Appl. 2012, 31, 95–97. [Google Scholar]
- Yang, Y.; Xie, B.; Han, W. Study on the synergistic effect and influencing factors of the composite scale inhibitor PASP-ATMP. Appl. Chem. Ind. 2012, 41, 834–836. [Google Scholar]
- Ye, P.; Zhu, D.; Wang, W. Experimental study on factors influencing the scale inhibition performance of organic phosphoric acid and polycarboxylic acid. Ind. Water Wastewater 2007, 5, 93–96. [Google Scholar]
- Elhenawy, Y.; Fouad, K.; Bassyouni, M. Design and performance a novel hybrid membrane distillation/humidification–dehumidification system. Energy Convers. Manag. 2023, 286, 117039. [Google Scholar] [CrossRef]
- Macedo, R.; Marques, N.; Paulucci, L. Water-soluble carboxymethylchitosan as green scale inhibitor in oil wells. Carbohydr. Polym. 2019, 215, 137–142. [Google Scholar] [CrossRef]
- Xu, J.; Jing, G.; Liu, T. Research progress of green scale inhibitors: A mini review. Pet. Sci. Technol. 2022, 40, 59–72. [Google Scholar] [CrossRef]
- Hasson, D.; Shemer, H.; Sher, A. State of the art of friendly “green” scale control inhibitors: A review article. Ind. Eng. Chem. Res. 2011, 50, 7601–7607. [Google Scholar] [CrossRef]
- Zhou, Y.; Wang, J.; Fang, Y. Green and high effective scale inhibitor based on ring-opening graft modification of polyaspartic acid. Catalysts 2021, 11, 802. [Google Scholar] [CrossRef]
- Migahed, M.; Rashwan, S.; Kamel, M. Synthesis, characterization of polyaspartic acid-glycine adduct and evaluation of their performance as scale and corrosion inhibitor in desalination water plants. J. Mol. Liq. 2016, 224, 849–858. [Google Scholar] [CrossRef]
- Ling, G.; Li, Z.; Li, N. Research progress of green scale inhibitors for oilfield development. Oilfield Chem. 2022, 39, 564–570. [Google Scholar]
- Zhang, S.; Qu, H.; Yang, Z. Scale inhibition performance and mechanism of sulfamic/amino acids modified polyaspartic acid against calcium sulfate. Desalination 2017, 419, 152–159. [Google Scholar] [CrossRef]
- GB/T 16632–2019; Determination of Scale Inhibition Properties of Water Treatment Agents, Calcium Carbonate Deposition Method. China National Standard: Shanghai, China, 2019.
- Yang, J.; Hu, Z.; Wang, Z.; Wu, C.; Dong, L.; Meng, X.; Lin, X.; Zhao, J.; Chen, Y. Preparation and scale inhibition performance of modified polyaspartic acid (M-PASP). J. Mol. Liq. 2024, 401, 124712. [Google Scholar] [CrossRef]
- Zhang, Y.; Yin, H.; Zhang, Q.; Li, Y.; Yao, P.; Huo, H. A novel polyaspartic acid derivative with multifunctional groups for scale inhibition application. Environ. Technol. 2018, 39, 843–850. [Google Scholar] [CrossRef] [PubMed]
- Chen, Z.; Liu, X.; Han, J. Synthesis of multi branched polyaspartic acid derivatives and their scale inhibition performance. Ind. Water Treat. 2017, 37, 51–54. [Google Scholar]
- Yu, R.; Cheng, K.; Fu, S. Synthesis and properties of amino acid modified PASP. Funct. Mater. 2022, 53, 12184–12188. [Google Scholar]
- Chen, Y.; Chen, X.; Liang, Y. Synthesis of polyaspartic acid-oxidized starch copolymer and evaluation of its inhibition performance and dispersion capacity. Dispers. Sci. Technol. 2021, 42, 1926–1935. [Google Scholar] [CrossRef]
- Cheng, Y.; Guo, X.; Zhao, X. Nanosilica modified with polyaspartic acid as an industrial circulating water scale inhibitor. NPJ Clean. Water 2021, 4, 46. [Google Scholar] [CrossRef]
- Chen, Y.; Chen, X.; Liang, Y. Synthesis of polyaspartic acid/graphene oxide grafted copolymer and evaluation of scale inhibition and dispersion performance. Diam. Relat. Mater. 2020, 108, 107949. [Google Scholar] [CrossRef]
- Song, S.; Jia, W.; Wang, B. Study on scaling mechanism and scale resistance in pre-oxidation process of heavy oil hot mining sewage. Appl. Chem. Ind. 2020, 49, 2206–2210. [Google Scholar]
- Zhou, G.; Luo, J.; Liu, C. A highly efficient polyampholyte hydrogel sorbent based fixed-bed process for heavy metal removal in actual industrial effluent. Water Res. 2016, 89, 151–160. [Google Scholar] [CrossRef]
- Elgendy, A.; Elkholy, A.; El Basiony, N. Monte Carlo simulation for the antiscaling performance of Gemini ionic liquids. J. Mol. Liq. 2019, 285, 408–415. [Google Scholar] [CrossRef]
- Issabayev, Y.; Boiko, G.; Lyubchenko, N. Synthesis of unexplored aminophosphonic acid and evaluation as scale inhibitor for industrial water applications. J. Water Process Eng. 2018, 22, 198–202. [Google Scholar] [CrossRef]







| Scale Inhibitor Monomer | Modified PASP | Unmodified PASP | DTPMPA | PBTCA | ATMP | MA/AA |
| ScaleInhibitionRate | 82.6 | 62.2 | 71.5 | 79.6 | 67.6 | 65.4 |
| Compound Formulations | Modified PASP | DTPMPA | PBTCA | ATMP | MA/AA |
|---|---|---|---|---|---|
| 1 | 10 | 10 | 5 | 1 | 9 |
| 2 | 10 | 10 | 5 | 5 | 5 |
| 3 | 17.5 | 10 | 5 | 1 | 1.5 |
| 4 | 12.5 | 10 | 5 | 1 | 6.5 |
| 5 | 15 | 10 | 5 | 1 | 4 |
| 6 | 15 | 10 | 5 | 2.5 | 2.5 |
| 7 | 15 | 10 | 5 | 1.5 | 3.5 |
| 8 | 10 | 10 | 5 | 2.5 | 7.5 |
| 9 | 12.5 | 10 | 5 | 2.5 | 5 |
| 10 | 17.5 | 10 | 5 | 1.5 | 1 |
| 11 | 12.5 | 5 | 10 | 1 | 6.5 |
| 12 | 12.5 | 5 | 10 | 2.5 | 5 |
| 13 | 10 | 5 | 10 | 1 | 9 |
| 14 | 15 | 5 | 10 | 1 | 4 |
| 15 | 17.5 | 5 | 10 | 1 | 1.5 |
| 16 | 15 | 5 | 10 | 4 | 1 |
| 17 | 15 | 5 | 10 | 5 | 5 |
| 18 | 10 | 5 | 10 | 9 | 1 |
| 19 | 12.5 | 5 | 10 | 6.5 | 1 |
| 20 | 17.5 | 5 | 10 | 2 | 0.5 |
| Water Sample | Ion Concentration/(mg/L) | pH | Mineralization Degree | ||||||||
|---|---|---|---|---|---|---|---|---|---|---|---|
| K+ | Na+ | Ca2+ | Mg2+ | Ba2+ | Cl− | SO42− | CO32− | HCO3− | |||
| A | 30.9 | 298 | 417.8 | 162.7 | 2 | 152 | 215 | 214.1 | 372.4 | 6.39 | 1864.9 |
| B | 120 | 2492.1 | 697 | 195 | 2.45 | 4626.2 | 172.2 | 0 | 64 | 6.21 | 8368.9 |
| C | 42.05 | 753.2 | 382.2 | 131.52 | 0.89 | 689 | 204 | 379.2 | 1035.3 | 8.6 | 3617.3 |
| D | 790.1 | 1285 | 276.7 | 1343.1 | 59.6 | 248.77 | 0.76 | 420.5 | 3011.2 | 9.3 | 7435.7 |
Disclaimer/Publisher’s Note: The statements, opinions and data contained in all publications are solely those of the individual author(s) and contributor(s) and not of MDPI and/or the editor(s). MDPI and/or the editor(s) disclaim responsibility for any injury to people or property resulting from any ideas, methods, instructions or products referred to in the content. |
© 2024 by the authors. Licensee MDPI, Basel, Switzerland. This article is an open access article distributed under the terms and conditions of the Creative Commons Attribution (CC BY) license (https://creativecommons.org/licenses/by/4.0/).
Share and Cite
Gao, W.; Sun, L.; Li, M.; Ye, X.; Gao, Q.; Kong, D.; An, J.; Wang, K.; Yang, F. Synthesis and Performance Evaluation of Modified Polyaspartic-Acid-Based Scale Inhibitor. Energies 2024, 17, 3195. https://doi.org/10.3390/en17133195
Gao W, Sun L, Li M, Ye X, Gao Q, Kong D, An J, Wang K, Yang F. Synthesis and Performance Evaluation of Modified Polyaspartic-Acid-Based Scale Inhibitor. Energies. 2024; 17(13):3195. https://doi.org/10.3390/en17133195
Chicago/Turabian StyleGao, WenLong, LiWei Sun, Miao Li, XiAn Ye, QingChun Gao, DongLiang Kong, JunPu An, KuoBo Wang, and Fan Yang. 2024. "Synthesis and Performance Evaluation of Modified Polyaspartic-Acid-Based Scale Inhibitor" Energies 17, no. 13: 3195. https://doi.org/10.3390/en17133195
APA StyleGao, W., Sun, L., Li, M., Ye, X., Gao, Q., Kong, D., An, J., Wang, K., & Yang, F. (2024). Synthesis and Performance Evaluation of Modified Polyaspartic-Acid-Based Scale Inhibitor. Energies, 17(13), 3195. https://doi.org/10.3390/en17133195
