Research on the Mechanism of Evolution of Mechanical Anisotropy during the Progressive Failure of Oil Shale under Real-Time High-Temperature Conditions
Abstract
1. Introduction
2. Sampling and Methodology
2.1. Sample Preparation
2.2. Experimental Equipment and Test Methods
2.2.1. Microstructure Test
2.2.2. Mechanical-Properties Test
3. Results and Discussion
3.1. Characteristics of the Evolution of Pore and Fracture Structures in Oil Shale
Subsubsection
3.2. Deformation Characteristics of Oil Shale under High-Temperature Real-Time Conditions
3.3. Evolution Characteristics of Compressive Strength
3.4. Evolution of Elastic Modulus
3.5. Evolution of Poisson’s Ratio
3.6. Characteristics of Progressive Failure of Oil Shale at Different Temperatures
3.6.1. Initial Stress of Fractures at Different Temperatures
3.6.2. Damage Stress of Fractures at Different Temperatures
4. Conclusions
- Before the temperature reaches 400 °C, the stress state is the key factor determining the expansion behavior of pores and fractures. When the load is applied perpendicular and parallel to the bedding plane of oil shale, the characteristics of the evolution of pores and fractures exhibit significant differences. Within the temperature range of 20~200 °C, the pores and fractures will close inward as the temperature rises when loading is perpendicular to the bedding. However, at 300 °C, the aperture of bedding fractures increases. In contrast, when loading is parallel to the bedding, the fractures tend to propagate along the bedding. As the oil shale reaches the pyrolysis-temperature threshold (>400 °C), the number, size, and connectivity of fractures significantly increase under the combined effects of thermal cracking and organic matter pyrolysis for both loading conditions.
- When uniaxial compression is applied perpendicular to the bedding plane of oil shale, the proportion of the compaction stage initially decreases with rising temperature and then increases, reaching a minimum value at 200 °C. Up to 400 °C, the duration of the yield stage continuously increases due to the combined effects of increased porosity and fractures along with decreasing cohesion. However, beyond 400 °C, the transformation of clay minerals and sintering effects lead to a reduction in the duration of the yield stage. On the other hand, when uniaxial compression is applied parallel to the bedding plane, the strength between the layers becomes the key factor determining the shape of the stress−strain curve of the oil shale. With increasing temperature, the compaction stage gradually disappears, while the duration of the yield stage progressively increases.
- At ambient temperature, when loading is perpendicular to the bedding, the uniaxial compressive strength, elastic modulus, and Poisson’s ratio of oil shale are 72 MPa, 3.28 GPa, and 0.326, respectively, whereas those values when loading is parallel to bedding planes are 48.5 MPa, 4.5 GPa, and 0.278, respectively. As the temperature escalates, the compressive strength, elastic modulus, and Poisson’s ratio of oil shale exhibit a trend of initial decline followed by an increase. Specifically, the compressive strength and elastic modulus attain their minimum values at 400 °C, while the minimum Poisson’s ratios when loading is perpendicular to bedding and parallel to bedding are achieved at 500 °C and 200 °C, respectively. Before 300 °C, the loss of moisture, decrease in cohesion, and distribution characteristics of pores and fractures collectively contribute to the decline in the mechanical strength of oil shale. Within the temperature range of 300 °C to 400 °C, the pyrolysis of organic matter becomes the primary factor causing alterations in mechanical properties. Once the temperature surpasses 400 °C, mineral composition and pore and fracture distribution, along with clay-sintering effects, jointly influence the mechanical behavior of oil shale.
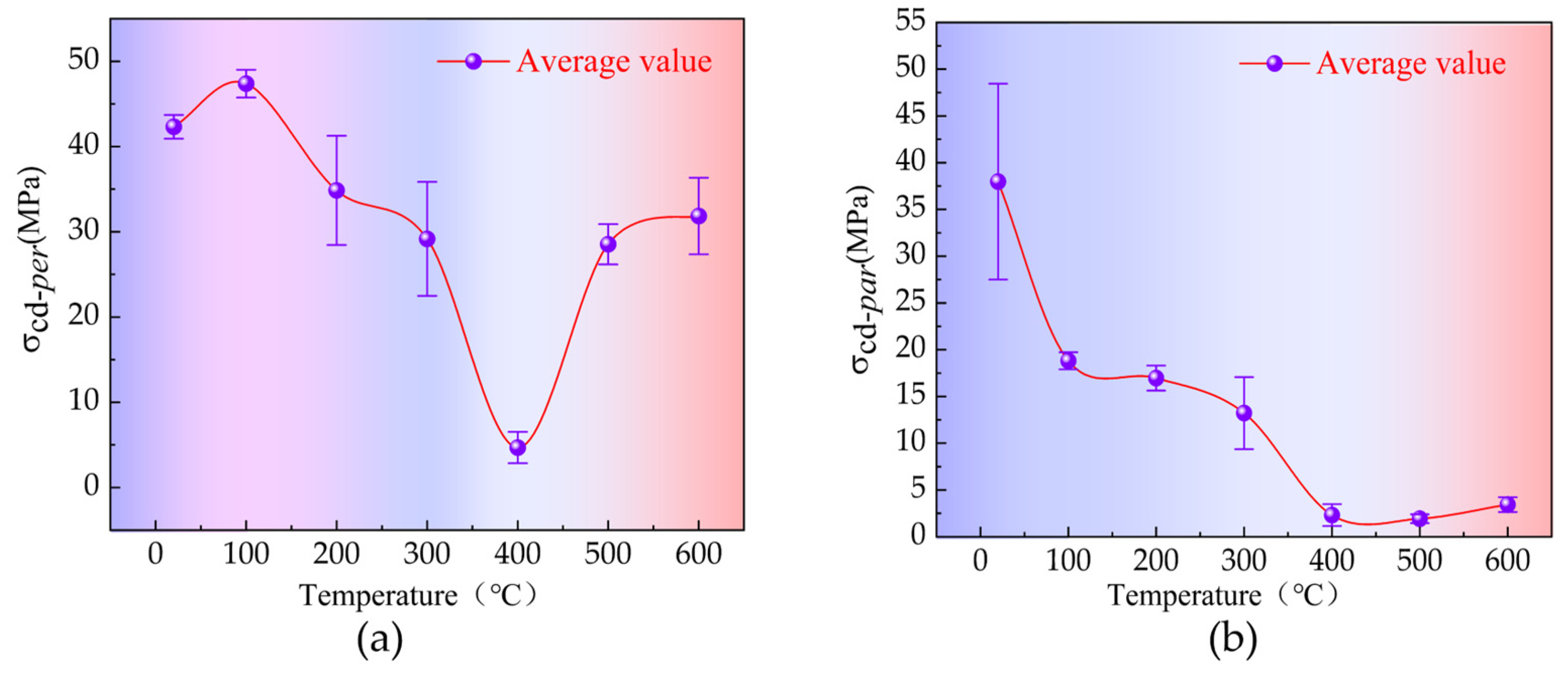
- When loading is perpendicular to the bedding planes, the initial stress σci-per exhibits a “step-like” decrease followed by an increase with rising temperature, with 400 °C marking the turning point. The damage stress σcd-per, on the other hand, initially increases, then decreases, and finally increases again, with 100 °C and 400 °C as the turning points. When loading is parallel to the bedding planes, both the initial stress σci-par and the damage stress σcd-par follow a pattern of initial decrease followed by an increase, reaching a minimum at 400 °C.
Author Contributions
Funding
Institutional Review Board Statement
Informed Consent Statement
Data Availability Statement
Conflicts of Interest
References
- Han, X.; Kulaots, I.; Jiang, X.; Suuberg, E.M. Review of Oil Shale Semicoke and Its Combustion Utilization. Fuel 2014, 126, 143–161. [Google Scholar] [CrossRef]
- Zhao, X.; Zhang, X.; Liu, Z.; Lu, Z.; Liu, Q. Organic Matter in Yilan Oil Shale: Characterization and Pyrolysis with or without Inorganic Minerals. Energy Fuels 2017, 31, 3784–3792. [Google Scholar] [CrossRef]
- Kang, Z.; Zhao, Y.; Yang, D. Review of Oil Shale In-Situ Conversion Technology. Appl. Energy 2020, 269, 115121. [Google Scholar] [CrossRef]
- Jiang, X.M.; Han, X.X.; Cui, Z.G. New Technology for the Comprehensive Utilization of Chinese Oil Shale Resources. Energy 2007, 32, 772–777. [Google Scholar] [CrossRef]
- Wang, J.; Feng, L.; Steve, M.; Tang, X.; Gail, T.E.; Mikael, H. China’s Unconventional Oil: A Review of Its Resources and Outlook for Long-Term Production. Energy 2015, 82, 31–42. [Google Scholar] [CrossRef]
- Clerici, A.; Alimonti, G. World Energy Resources. EPJ Web Conf. 2015, 98, 01001. [Google Scholar] [CrossRef]
- Zhu, Y.; Liu, K.; Zhong, X.; Wang, Y.; Gao, S. Experimental Investigation on the Anisotropic Behaviors Induced by Bedding Planes in Mechanical Properties of Ma′quan Oil Shale. Arab. J. Sci. Eng. 2021, 47, 11385–11403. [Google Scholar] [CrossRef]
- Raukas, A.; Punning, J.M. Environmental Problems in the Estonian Oil Shale Industry. Energy Environ. Sci. 2009, 2, 723–728. [Google Scholar] [CrossRef]
- Crawford, P.M.; Killen, J.C. New Challenges and Directions in Oil Shale Development Technologies. In Oil Shale: A Solution to the Liquid Fuel Dilemma; ACS Symposium Series; American Chemical Society: Washington, DC, USA, 2010; Volume 1032, pp. 21–60. ISBN 9780841225398. [Google Scholar]
- Kim, H.; Cho, J.W.; Song, I.; Min, K.B. Anisotropy of Elastic Moduli, P-Wave Velocities, and Thermal Conductivities of Asan Gneiss, Boryeong Shale, and Yeoncheon Schist in Korea. Eng. Geol. 2012, 147–148, 68–77. [Google Scholar] [CrossRef]
- Islam, M.A.; Skalle, P. An Experimental Investigation of Shale Mechanical Properties through Drained and Undrained Test Mechanisms. Rock Mech. Rock Eng. 2013, 46, 1391–1413. [Google Scholar] [CrossRef]
- Closmann, P.J.; Bradley, W.B. Effect of temperature on tensile and compressive strengths and young’s modulus of oil shale. Soc. Pet. Eng. AIME J. 1979, 19, 301–312. [Google Scholar] [CrossRef]
- Mokhtari, M.; Alqahtani, A.A.; Tutuncu, A.N. Impacts of Stress, Natural and Induced Fractures on Mechanical Properties of Organic-Rich Shales. In Proceedings of the Unconventional Resources Technology Conference 2013, Denver, Colorado, 12–14 August 2013. [Google Scholar]
- Zheng, D.; Miska, S.; Ozbayoglu, E.; Zhang, J. Combined Experimental and Well Log Study of Anisotropic Strength of Shale. In Proceedings—SPE Annual Technical Conference and Exhibition; SPE: San Antonio, TX, USA, 2023. [Google Scholar]
- Zheng, D.; Ozbayoglu, E.; Miska, S.Z.; Liu, Y.; Li, Y. Cement Sheath Fatigue Failure Prediction by ANN-Based Model. In Proceedings of the Annual Offshore Technology Conference, Houston, TX, USA, 3–5 May 2022. [Google Scholar]
- Guha Roy, D.; Singh, T.N.; Kodikara, J. Influence of Joint Anisotropy on the Fracturing Behavior of a Sedimentary Rock. Eng. Geol. 2017, 228, 224–237. [Google Scholar] [CrossRef]
- Jin, Z.; Li, W.; Jin, C.; Hambleton, J.; Cusatis, G. Anisotropic Elastic, Strength, and Fracture Properties of Marcellus Shale. Int. J. Rock Mech. Min. Sci. 2018, 109, 124–137. [Google Scholar] [CrossRef]
- Li, C.; Xie, H.; Wang, J. Anisotropic Characteristics of Crack Initiation and Crack Damage Thresholds for Shale. Int. J. Rock Mech. Min. Sci. 2020, 126, 104178. [Google Scholar] [CrossRef]
- Zheng, D.; Miska, S.; Ziaja, M.; Zhang, J. Study of Anisotropic Strength Properties of Shale. AGH Drill. Oil Gas 2019, 36, 93. [Google Scholar] [CrossRef]
- Zheng, D.; Ozbayoglu, E.; Miska, S.; Zhang, J. Experimental Study of Anisotropic Strength Properties Of Shale. In Proceedings of the 57th US Rock Mechanics/Geomechanics Symposium, Atlanta, GA, USA, 25–28 June 2023. [Google Scholar]
- Wang, P.; Ren, F.; Miao, S.; Cai, M.; Yang, T. Evaluation of the Anisotropy and Directionality of a Jointed Rock Mass under Numerical Direct Shear Tests. Eng. Geol. 2017, 225, 29–41. [Google Scholar] [CrossRef]
- Rafieepour, S.; Zheng, D.; Miska, S.; Ozbayoglu, E.; Takach, N.; Yu, M.; Zhang, J. Combined Experimental and Well Log Evaluation of Anisotropic Mechanical Properties of Shales: An Application to Wellbore Stability in Bakken Formation. In Proceedings of the SPE Annual Technical Conference and Exhibition, Virtual, 11–14 October 2020. [Google Scholar]
- Zheng, D.; Miska, Z.; Ozbayoglu, E.; Zhang, Y. The Influence of Elliptical-Geometry Wellbore on Zonal Isolation. In Proceedings of the 56th U.S. Rock Mechanics/Geomechanics Symposium, Santa Fe, NM, USA, 26–29 June 2022. [Google Scholar]
- Eymery, J.P.; Ylli, F. Study of a Mechanochemical Transformation in Iron Pyrite. J Alloys Compd. 2000, 298, 306–309. [Google Scholar] [CrossRef]
- Vishal, V.; Rizwan, M.; Mahanta, B.; Pradhan, S.P.; Singh, T.N. Temperature Effect on the Mechanical Behavior of Shale: Implication for Shale Gas Production. Geosyst. Geoenviron. 2022, 1, 100078. [Google Scholar] [CrossRef]
- Ranjith, P.G.; Viete, D.R.; Chen, B.J.; Perera, M.S.A. Transformation Plasticity and the Effect of Temperature on the Mechanical Behaviour of Hawkesbury Sandstone at Atmospheric Pressure. Eng. Geol. 2012, 151, 120–127. [Google Scholar] [CrossRef]
- Guo, Y.; Li, X.; Huang, L. Changes in Thermophysical and Thermomechanical Properties of Thermally Treated Anisotropic Shale after Water Cooling. Fuel 2022, 327, 125241. [Google Scholar] [CrossRef]
- Guo, W.; Guo, Y.; Cai, Z.; Yang, H.; Wang, L.; Yang, C.; Zhao, G.; Bi, Z. Mechanical Behavior and Constitutive Model of Shale under Real-Time High Temperature and High Stress Conditions. J. Pet. Explor. Prod. Technol. 2023, 13, 827–841. [Google Scholar] [CrossRef]
- Fan, X.; Luo, N.; Liang, H.; Sun, X.; Zhai, C.; Xie, L. Dynamic Breakage Characteristics of Shale with Different Bedding Angles under the Different Ambient Temperatures. Rock Mech. Rock Eng. 2021, 54, 3245–3261. [Google Scholar] [CrossRef]
- Burnham, A.K. Kinetic Models of Vitrinite, Kerogen, and Bitumen Reflectance. Org. Geochem. 2019, 131, 50–59. [Google Scholar] [CrossRef]
- Rabbani, A.; Baychev, T.G.; Ayatollahi, S.; Jivkov, A.P. Evolution of Pore-Scale Morphology of Oil Shale During Pyrolysis: A Quantitative Analysis. Transp. Porous Media 2017, 119, 143–162. [Google Scholar] [CrossRef]
- Liu, Z.; Yang, D.; Hu, Y.; Zhang, J.; Shao, J.; Song, S.; Kang, Z. Influence of in Situ Pyrolysis on the Evolution of Pore Structure of Oil Shale. Energies 2018, 11, 755. [Google Scholar] [CrossRef]
- Wang, L.; Yang, D.; Zhao, Y.; Wang, G. Evolution of Pore Characteristics in Oil Shale during Pyrolysis under Convection and Conduction Heating Modes. Oil Shale 2020, 37, 224–241. [Google Scholar] [CrossRef]
- Hatheway, A.W. The Complete ISRM Suggested Methods for Rock Characterization, Testing and Monitoring; 1974–2006. Environ. Eng. Geosci. 2009, 15, 47–48. [Google Scholar] [CrossRef]
- Gorshkov, A.M.; Khomyakov, I.S. Thermal Treatment of Reservoir as One of the Powerful Method of Shale Formation Development in Russia. IOP Conf. Ser. Earth Environ. Sci. 2019, 272, 032004. [Google Scholar] [CrossRef]
- Kang, Z.; Zhao, J.; Yang, D.; Zhao, Y.; Hu, Y. Study of the Evolution of Micron-Scale Pore Structure in Oil Shale at Different Temperatures. Oil Shale 2017, 34, 42–54. [Google Scholar] [CrossRef]
- Bai, F.; Sun, Y.; Liu, Y.; Guo, M. Evaluation of the Porous Structure of Huadian Oil Shale during Pyrolysis Using Multiple Approaches. Fuel 2017, 187, 1–8. [Google Scholar] [CrossRef]
- Yilmaz, G. The Effects of Temperature on the Characteristics of Kaolinite and Bentonite. Sci. Res. Essays 2011, 6, 1928–1939. [Google Scholar] [CrossRef]
- Yang, L.; Yang, D.; Zhao, J.; Liu, Z.; Kang, Z. Changes of oil shale pore structure and permeability at different temperatures. Oil Shale 2016, 33, 101. [Google Scholar] [CrossRef]
- Geng, Y.; Liang, W.; Liu, J.; Cao, M.; Kang, Z. Evolution of Pore and Fracture Structure of Oil Shale under High Temperature and High Pressure. Energy Fuels 2017, 31, 10404–10413. [Google Scholar] [CrossRef]
- Yang, S.; Yang, D.; Kang, Z. Experimental Investigation of the Anisotropic Evolution of Tensile Strength of Oil Shale Under Real-Time High-Temperature Conditions. Nat. Resour. Res. 2021, 30, 2513–2528. [Google Scholar] [CrossRef]
- Zheng, D.; Miska, S.Z.; Ozbayoglu, E. The Influence of Formation Creeping on Wellbore Integrity. In Proceedings of the Society of Petroleum Engineers—SPE 2021 Symposium Compilation, Virtual, 26 November 2021. [Google Scholar]
- Funatsu, T.; Kuruppu, M.; Matsui, K. Effects of Temperature and Confining Pressure on Mixed-Mode (I-II) and Mode II Fracture Toughness of Kimachi Sandstone. Int. J. Rock Mech. Min. Sci. 2014, 67, 1–8. [Google Scholar] [CrossRef]
- Heuze, F.E. High-Temperature Mechanical, Physical and Thermal Properties of Granitic Rocks—A Review. Int. J. Rock Mech. Min. Sci. 1983, 20, 3–10. [Google Scholar] [CrossRef]
- Zhang, W.; Sun, Q.; Hao, S.; Geng, J.; Lv, C. Experimental Study on the Variation of Physical and Mechanical Properties of Rock after High Temperature Treatment. Appl. Therm. Eng. 2016, 98, 1297–1304. [Google Scholar] [CrossRef]
- Yang, G.; Liu, J.; Li, X.; Bi, J. Effect of Temperature on Shale Strength under Dynamic Impact Loading. Arab. J. Geosci. 2020, 13, 1–9. [Google Scholar] [CrossRef]
- Zhang, Y.; Sun, Q.; Li, J.; Zhang, W. Pore and Mechanical Properties of Clay after High Temperature Roasting. Chin. J. Rock Mech. Eng. 2015, 34, 1480–1488. (In Chinese) [Google Scholar]
- Liu, J.; Xue, Y.; Zhang, Q.; Yao, K.; Liang, X.; Wang, S. Micro-Cracking Behavior of Shale Matrix during Thermal Recovery: Insights from Phase-Field Modeling. Eng. Fract. Mech. 2020, 239, 107301. [Google Scholar] [CrossRef]
- Wang, X.; Xie, H.; Zhang, R.; Zhang, G.; Xu, Z.; Deng, J.; Wang, D.; Li, C.; Feng, G.; Zhang, Z.; et al. Progressive Failure Characterization of Sandstone from Yingjinshan Area in Qinghai-Tibet Plateau. Rock Mech. Rock Eng. 2022, 55, 6723–6740. [Google Scholar] [CrossRef]
- Brace, W.F.; Paulding, B.W.; Scholz, C. Dilatancy in the Fracture of Crystalline Rocks. J. Geophys. Res. 1966, 71, 3939–3953. [Google Scholar] [CrossRef]
- Luo, J.; Wang, L. High-Temperature Mechanical Properties of Mudstone in the Process of Underground Coal Gasification. Rock Mech. Rock Eng. 2011, 44, 749–754. [Google Scholar] [CrossRef]














| Non-Clay Minerals and Content (%) | Clay Minerals and Content (%) | ||||||
|---|---|---|---|---|---|---|---|
| Quartz | Plagioclase | Potash feldspar | Pyrite | Mixed-layer illite | Illite | Kaolinite | Chlorite |
| 40.4 | 8.4 | 15.9 | 2.2 | 17.87 | 9.268 | 13.24 | 4.634 |
Disclaimer/Publisher’s Note: The statements, opinions and data contained in all publications are solely those of the individual author(s) and contributor(s) and not of MDPI and/or the editor(s). MDPI and/or the editor(s) disclaim responsibility for any injury to people or property resulting from any ideas, methods, instructions or products referred to in the content. |
© 2024 by the authors. Licensee MDPI, Basel, Switzerland. This article is an open access article distributed under the terms and conditions of the Creative Commons Attribution (CC BY) license (https://creativecommons.org/licenses/by/4.0/).
Share and Cite
Yang, S.; Zhang, Q.; Yang, D.; Wang, L. Research on the Mechanism of Evolution of Mechanical Anisotropy during the Progressive Failure of Oil Shale under Real-Time High-Temperature Conditions. Energies 2024, 17, 4004. https://doi.org/10.3390/en17164004
Yang S, Zhang Q, Yang D, Wang L. Research on the Mechanism of Evolution of Mechanical Anisotropy during the Progressive Failure of Oil Shale under Real-Time High-Temperature Conditions. Energies. 2024; 17(16):4004. https://doi.org/10.3390/en17164004
Chicago/Turabian StyleYang, Shaoqiang, Qinglun Zhang, Dong Yang, and Lei Wang. 2024. "Research on the Mechanism of Evolution of Mechanical Anisotropy during the Progressive Failure of Oil Shale under Real-Time High-Temperature Conditions" Energies 17, no. 16: 4004. https://doi.org/10.3390/en17164004
APA StyleYang, S., Zhang, Q., Yang, D., & Wang, L. (2024). Research on the Mechanism of Evolution of Mechanical Anisotropy during the Progressive Failure of Oil Shale under Real-Time High-Temperature Conditions. Energies, 17(16), 4004. https://doi.org/10.3390/en17164004

