Modeling the Impact of Traffic Parameters on Electric Vehicle Energy Consumption
Abstract
1. Introduction
2. Methodology
2.1. Test Route Specifications
- Route type: city exit roads with relatively low traffic volume, allowing the vehicle to traverse the test section smoothly with minimal stops, as well as downtown streets with higher traffic density;
- Time of day: midday, between morning and afternoon rush hours, and the time during the afternoon rush hour.
- City exit road with a 70 km/h speed limit (Figure 1b);
- City exit road with a 50 km/h speed limit and a significant elevation change of over 60 m between the highest and lowest points;
- Two routes through the city center characterized by heavy traffic;
- Residential route with significant speed restrictions due to infrastructure (Figure 1a).
2.2. Measurement Equipment, Data Analysis, and Model Development
3. Results
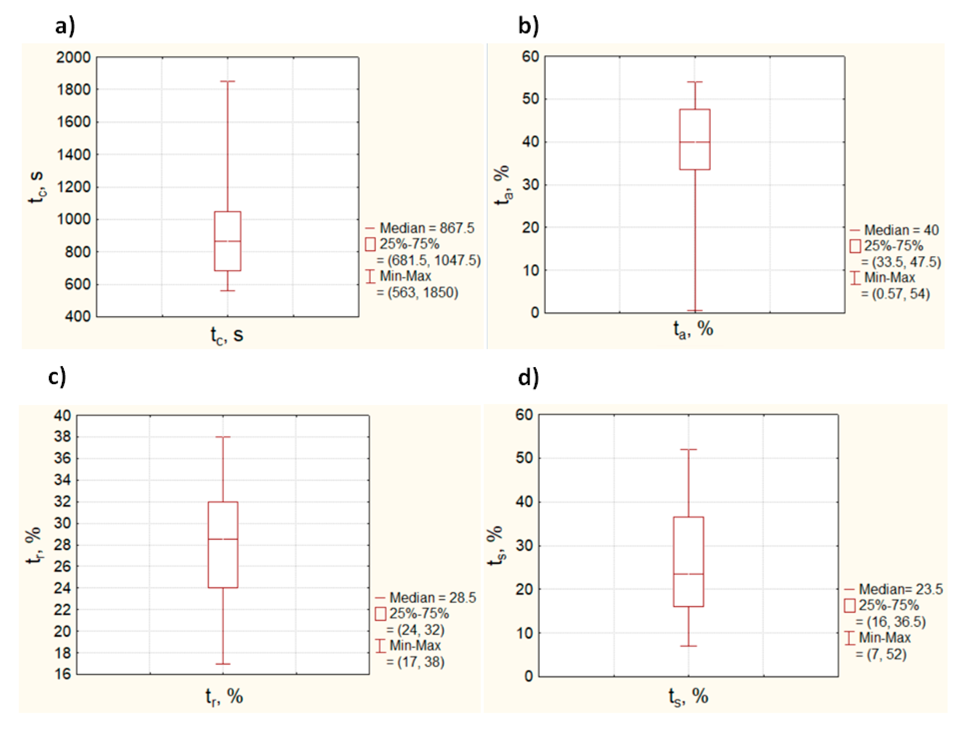
3.1. Statistical Analysis of the Kinematic Parameters of Electric Vehicle Movement
- Total travel time (tc) and the percentage breakdown of movement phases: acceleration time (ta), regenerative braking time (tr), and stopping time (ts);
- Speed: average speed (Vs), median speed (Vmed), and first quartile speed (VQ1);
- Longitudinal acceleration: maximum acceleration (amax), average acceleration (as), median acceleration (amed), and third-quartile acceleration (aQ3). Longitudinal deceleration: maximum deceleration (dmax), average deceleration (ds), median deceleration (dmed), and third-quartile deceleration (dQ3);
- Number of stops in a run (s);
- Number of brakes in a run (b).
3.2. Analysis of Average Electric Vehicle Energy Consumption
3.3. Development of an Average Energy Consumption Model for Electric Vehicle
4. Discussion and Conclusions
Author Contributions
Funding
Data Availability Statement
Acknowledgments
Conflicts of Interest
References
- New Passenger Car Registrations by Fuel Type in the European Union in Quarter 4. 2020. Available online: www.acea.auto/uploads/press_releases_files/20210204_PRPC_fuel_Q4_2020_FINAL.pdf (accessed on 27 January 2024).
- New Passenger Car Registrations by Fuel Type in the European Union in Quarter 4. 2021. Available online: www.acea.auto/files/20220202_PRPC-fuel_Q4-2021_FINAL.pdf (accessed on 14 February 2024).
- New Passenger Car Registrations by Fuel Type in the European Union in Quarter 4. 2022. Available online: https://www.acea.auto/files/20230201_PRPC-fuel_Q4-2022_FINAL-1.pdf (accessed on 10 February 2024).
- Climate-Friendly Transport. Available online: www.bundesregierung.de/breg-en/issues/climate-action/climate-friendly-transport-1795842 (accessed on 20 February 2024).
- Electric Cars: The Ecological Bonus Reduced from 2021 (Voitures électriques: Le bonus Écologique Revu à la Baisse à Partir de 2021). Available online: www.lemondedelenergie.com/voitures-electriques-bonus-2021/2019/12/18/ (accessed on 20 February 2024).
- Overview—Electric Vehicles: Tax Benefits & Purchase Incentives in the European Union. 2022. Available online: www.acea.auto/fact/overview-electric-vehicles-tax-benefits-purchase-incentives-in-the-european-union-2022/ (accessed on 27 January 2024).
- Tu, J.-C.; Yang, C. Key Factors Influencing Consumers’ Purchase of Electric Vehicles. Sustainability 2019, 11, 3863. [Google Scholar] [CrossRef]
- Coffman, M.; Bernstein, P.; Wee, S. Electric vehicles revisited: A review of factors that affect adoption. Transp. Rev. 2017, 37, 79–93. [Google Scholar] [CrossRef]
- Mersky, A.C.; Sprei, F.; Samaras, C.; Qian, Z. Effectiveness of incentives on electric vehicle adoption in Norway. Transp. Res. Part D: Transp. Environ. 2016, 46, 56–68. [Google Scholar] [CrossRef]
- Münzel, C.; Plötz, P.; Sprei, F.; Gnann, T. How large is the effect of financial incentives on electric vehicle sales?—A global review and European analysis. Energy Econ. 2019, 84, 104493. [Google Scholar] [CrossRef]
- Christidis, P.; Focas, C. Factors Affecting the Uptake of Hybrid and Electric Vehicles in the European Union. Energies 2019, 12, 3414. [Google Scholar] [CrossRef]
- Franke, T.; Krems, J.F. What drives range preferences in electric vehicle users? Transp. Policy 2013, 30, 56–62. [Google Scholar] [CrossRef]
- Kim, S.; Lee, J.; Lee, C. Does Driving Range of Electric Vehicles Influence Electric Vehicle Adoption? Sustainability 2017, 9, 1783. [Google Scholar] [CrossRef]
- Pevec, D.; Babic, J.; Carvalho, A.; Ghiassi-Farrokhfal, Y.; Ketter, W.; Podobnik, V. A survey-based assessment of how existing and potential electric vehicle owners perceive range anxiety. J. Clean. Prod. 2020, 276, 122779. [Google Scholar] [CrossRef]
- Chen, R.; Liu, X.; Miao, L.; Yang, P. Electric Vehicle Tour Planning Considering Range Anxiety. Sustainability 2020, 12, 3685. [Google Scholar] [CrossRef]
- Yuan, Q.; Hao, W.; Su, H.; Bing, G.; Gui, X.; Safikhani, A. Investigation on Range Anxiety and Safety Buffer of Battery Electric Vehicle Drivers. J. Adv. Transp. 2018, 2018, 8301209. [Google Scholar] [CrossRef]
- Valentine-Urbschat, M.; Bernhart, W. Powertrain 2020—Future drives Electric; Roland Berger Strategy Consultants: Munich, Germany, 2009. [Google Scholar]
- Graham-Rowe, E.; Gardner, B.; Abraham, C.; Skippon, S.; Dittmar, H.; Hutchins, R.; Stannard, J. Mainstream consumers driving plug-in battery-electric and plug-in hybrid electric cars: A qualitative analysis of responses and evaluations. Transp. Res. Part A Policy Pract. 2012, 46, 140–153. [Google Scholar] [CrossRef]
- Zhang, Y.; Liu, X.; Zhang, T.; Gu, Z. Review of the Electric Vehicle Charging Station Location Problem. In Proceedings of the International Conference on Dependability in Sensor, Cloud, and Big Data Systems and Applications, Guangzhou, China, 12–15 November 2019; Springer: Singapore, 2019; pp. 435–445. [Google Scholar] [CrossRef]
- Luo, X.; Qiu, R. Electric Vehicle Charging Station Location towards Sustainable Cities. Int. J. Environ. Res. Public Health 2020, 17, 2785. [Google Scholar] [CrossRef] [PubMed]
- Szumska, E.M. Electric Vehicle Charging Infrastructure along Highways in the EU. Energies 2023, 16, 895. [Google Scholar] [CrossRef]
- LaMonaca, S.; Ryan, L. The state of play in electric vehicle charging services—A review of infrastructure provision, players, and policies. Renew. Sustain. Energy Rev. 2022, 154, 111733. [Google Scholar] [CrossRef]
- Mishra, S.; Verma, S.; Chowdhury, S.; Gaur, A.; Mohapatra, S.; Dwivedi, G.; Verma, P. A Comprehensive Review on Developments in Electric Vehicle Charging Station Infrastructure and Present Scenario of India. Sustainability 2021, 13, 2396. [Google Scholar] [CrossRef]
- Lee, S.H.; Kim, M.H.; Lee, S. Development of an energy prediction model based on driving data for predicting the driving distance of an electric vehicle. Int. J. Automot. Technol. 2019, 20, 389–395. [Google Scholar] [CrossRef]
- Andre, D.; Appel, C.; Soczka-Guth, T.; Sauer, D.U. Advanced mathematical methods of SOC and SOH estimation for lithium-ion batteries. J. Power Sources 2013, 224, 20–27. [Google Scholar] [CrossRef]
- De Cauwer, C.; Verbeke, W.; Coosemans, T.; Faid, S.; Van Mierlo, J. A Data-Driven Method for Energy Consumption Prediction and Energy-Efficient Routing of Electric Vehicles in Real-World Conditions. Energies 2017, 10, 608. [Google Scholar] [CrossRef]
- Jung, H.; Silva, R.; Han, M. Scaling Trends of Electric Vehicle Performance: Driving Range, Fuel Economy, Peak Power Output, and Temperature Effect. World Electr. Veh. J. 2018, 9, 46. [Google Scholar] [CrossRef]
- Sarrafan, K.; Sutanto, D.; Muttaqi, K.M.; Town, G. Accurate range estimation for an electric vehicle including changing environmental conditions and traction system efficiency. IET Electr. Syst. Transp. 2017, 7, 117–124. [Google Scholar] [CrossRef]
- Bi, J.; Wang, Y.; Shao, S.; Cheng, Y. Residual range estimation for battery electric vehicle based on radial basis function neural network. Measurement 2018, 128, 197–203. [Google Scholar] [CrossRef]
- Yuksel, T.; Michalek, J.J. Effects of Regional Temperature on Electric Vehicle Efficiency, Range, and Emissions in the United States. Environ. Sci. Technol. 2015, 49, 3974–3980. [Google Scholar] [CrossRef] [PubMed]
- Mamala, J.; Graba, M.; Bieniek, A.; Prażnowski, K.; Augustynowicz, A.; Śmieja, M. Study of energy consumption of a hybrid vehicle in real-world conditions. Maint. Reliab. 2021, 23, 636–645. [Google Scholar] [CrossRef]
- Vaz, W.; Nandi, A.K.; Landers, R.G.; Koylu, U.O. Electric vehicle range prediction for constant speed trip using multi-objective optimization. J. Power Sources 2015, 275, 435–446. [Google Scholar] [CrossRef]
- Varga, B.O.; Sagoian, A.; Mariasiu, F. Prediction of Electric Vehicle Range: A Comprehensive Review of Current Issues and Challenges. Energies 2019, 12, 946. [Google Scholar] [CrossRef]
- Yuan, X.; Zhang, C.; Hong, G.; Huang, X.; Li, L. Method for evaluating the real-world driving energy consumptions of electric vehicles. Energy 2017, 141, 1955–1968. [Google Scholar] [CrossRef]
- Iora, P.; Tribioli, L. Effect of Ambient Temperature on Electric Vehicles’ Energy Consumption and Range: Model Definition and Sensitivity Analysis Based on Nissan Leaf Data. World Electr. Veh. J. 2019, 10, 2. [Google Scholar] [CrossRef]
- Laurikko, J.; Granström, R.; Haakana, A. Realistic estimates of EV range based on extensive laboratory and field tests in Nordic climate conditions. World Electr. Veh. J. 2013, 6, 192–203. [Google Scholar] [CrossRef]
- Desreveaux, A.; Bouscayrol, A.; Castex, E.; Trigui, R.; Hittinger, E.; Sirbu, G.-M. Annual Variation in Energy Consumption of an Electric Vehicle Used for Commuting. Energies 2020, 13, 4639. [Google Scholar] [CrossRef]
- Bellocchi, S.; Guizzi, G.L.; Manno, M.; Salvatori, M.; Zaccagnini, A. Reversible heat pump HVAC system with regenerative heat exchanger for electric vehicles: Analysis of its impact on driving range. Appl. Therm. Eng. 2018, 129, 290–305. [Google Scholar] [CrossRef]
- Kambly, K.; Bradley, T.H. Geographical and temporal differences in electric vehicle range due to cabin conditioning energy consumption. J. Power Sources 2015, 275, 468–475. [Google Scholar] [CrossRef]
- Lv, C.; Zhang, J.; Li, Y.; Yuan, Y. Mechanism analysis and evaluation methodology of regenerative braking contribution to energy efficiency improvement of electrified vehicles. Energy Convers. Manag. 2015, 92, 469–482. [Google Scholar] [CrossRef]
- Mruzek, M.; Gajdáč, I.; Kučera, Ľ.; Barta, D. Analysis of Parameters Influencing Electric Vehicle Range. Proc. Eng. 2016, 134, 165–174. [Google Scholar] [CrossRef]
- Ferreira, J.C.; Monteiro, V.; Alfonso, J.L. Data mining approach for range prediction of electric vehicle. In Proceedings of the Conference on Future Automotive Technology—Focus Electromobility, Munich, Germany, 26–27 March 2012; pp. 1–15. Available online: https://hdl.handle.net/1822/19439 (accessed on 24 April 2024).
- Skarbek-Żabkin, A.; Szczepański, T. The impact of traffic conditions on the energy consumption by an electric car. Masz. Elektr. Zesz. Probl. 2019, 22, 141–153. [Google Scholar]
- Wager, G.; Whale, J.; Braunl, T. Driving electric vehicles at highway speeds: The effect of higher driving speeds on energy consumption and driving range for electric vehicles in Australia. Renew. Sustain. Energy Rev. 2016, 63, 158–165. [Google Scholar] [CrossRef]
- Pielecha, I.; Cieślik, W.; Szałek, A. Operation of electric hybrid drive systems in varied driving conditions. Maint. Reliab. 2018, 20, 16–23. [Google Scholar] [CrossRef]
- Szumska, E.; Jurecki, R.; Pawełczyk, M. Evaluation of the use of hybrid electric powertrain system in urban traffic conditions. Maint. Reliab. 2020, 22, 154–160. [Google Scholar] [CrossRef]
- Donkers, A.; Yang, D.; Viktorović, M. Influence of driving style, infrastructure, weather and traffic on electric vehicle performance. Transp. Res. Part D Transp. Environ. 2020, 88, 102569. [Google Scholar] [CrossRef]
- Skuza, A.; Jurecki, R.; Szumska, E. Influence of Traffic Conditions on the Energy Consumption of an Electric Vehicle. Commun.—Sci. Lett. Univ. Zilina 2023, 25, B22–B33. [Google Scholar] [CrossRef]
- Szumska, E.M.; Jurecki, R. The Analysis of Energy Recovered during the Braking of an Electric Vehicle in Different Driving Conditions. Energies 2022, 15, 9369. [Google Scholar] [CrossRef]
- Skuza, A.; Jurecki, R.; Szumska, E. Analysis of the operating parameters of electric, hybrid, and conventional vehicles on different types of roads. Open Eng. 2023, 13, 20220443. [Google Scholar] [CrossRef]
- Szumska, E.M.; Jurecki, R.S. Parameters Influencing on Electric Vehicle Range. Energies 2021, 14, 4821. [Google Scholar] [CrossRef]
- Cioroianu, C.C.; Marinescu, D.G.; Iorga, A.; Sibiceanu, A.R. Simulation of an electric vehicle model on the new WLTC test cycle using AVL CRUISE software. IOP Conf. Ser. Mater. Sci. Eng. 2017, 252, 12060. [Google Scholar] [CrossRef]
- Pielecha, I.; Pielecha, J. Simulation analysis of electric vehicles energy consumption in driving tests. Maint. Reliab. 2020, 22, 130–137. [Google Scholar] [CrossRef]
- Hu, K.; Wu, J.; Schwanen, T. Differences in Energy Consumption in Electric Vehicles: An Exploratory Real-World Study in Beijing. J. Adv. Transp. 2017, 2017, 4695975. [Google Scholar] [CrossRef]
- De Cauwer, C.; Van Mierlo, J.; Coosemans, T. Energy Consumption Prediction for Electric Vehicles Based on Real-World Data. Energies 2015, 8, 8573–8593. [Google Scholar] [CrossRef]
- Yao, E.; Yang, Z.; Song, Y.; Zuo, T. Comparison of Electric Vehicle’s Energy Consumption Factors for Different Road Types. Discret. Dyn. Nat. Soc. 2013, 2013, 328757. [Google Scholar] [CrossRef]
- Li, W.; Stanula, P.; Egede, P.; Kara, S.; Herrmann, C. Determining the Main Factors Influencing the Energy Consumption of Electric Vehicles in the Usage Phase. Proc. CIRP 2016, 48, 352–357. [Google Scholar] [CrossRef]
- Yao, E.; Lang, Z.; Song, Y.; Yang, Y.; Zuo, T. Microscopic Driving Parameters-Based Energy-Saving Effect Analysis under Different Electric Vehicle Penetration. Adv. Mech. Eng. 2013, 5, 435721. [Google Scholar] [CrossRef]
- Neaimeh, M.; Hill, G.A.; Hübner, Y.; Blythe, P.T. Routing systems to extend the driving range of electric vehicles. IET Intell. Transp. Syst. 2013, 7, 327–336. [Google Scholar] [CrossRef]
- Qi, Z.; Yang, J.; Jia, R.; Wang, F. Investigating Real-World Energy Consumption of Electric Vehicles: A Case Study of Shanghai. Proc. Comput. Sci. 2018, 131, 367–376. [Google Scholar] [CrossRef]
- Liu, K.; Wang, J.; Yamamoto, T.; Morikawa, T. Modelling the multilevel structure and mixed effects of the factors influencing the energy consumption of electric vehicles. Appl. Energy 2016, 183, 1351–1360. [Google Scholar] [CrossRef]
- Wang, J.-B.; Liu, K.; Yamamoto, T.; Morikawa, T. Improving Estimation Accuracy for Electric Vehicle Energy Consumption Considering the Effects of Ambient Temperature. Energy Proc. 2017, 105, 2904–2909. [Google Scholar] [CrossRef]
- Liu, Y.; Zhang, Q.; Lyu, C.; Liu, Z. Modelling the energy consumption of electric vehicles under uncertain and small data conditions. Transp. Res. Part A Policy Pract. 2021, 154, 313–328. [Google Scholar] [CrossRef]
- Janpoom, K.; Suttakul, P.; Achariyaviriya, W.; Fongsamootr, T.; Katongtung, T.; Tippayawong, N. Investigating the influential factors in real-world energy consumption of battery electric vehicles. Energy Rep. 2023, 9, 316–320. [Google Scholar] [CrossRef]
- Pokharel, S.; Sah, P.; Ganta, D. Improved Prediction of Total Energy Consumption and Feature Analysis in Electric Vehicles Using Machine Learning and Shapley Additive Explanations Method. World Electr. Veh. J. 2021, 12, 94. [Google Scholar] [CrossRef]
- Mańczak, K. Technique for Planning an Experiment; Warsaw University of Science and Technology: Warsaw, Poland, 1976. (In Polish) [Google Scholar]









| Grading Standard | Correlation Degree |
|---|---|
| r = 0 | No correlation |
| 0 < |r| ≤ 0.19 | Very week |
| 0.20 ≤ |r| ≤ 0.39 | Weak |
| 0. 40 ≤ |r| ≤ 0.69 | Moderate |
| 0.70 ≤ |r| ≤ 0.89 | Strong |
| 0.90 ≤ |r| ≤ 1.0 | Very strong |
| r = 1.0 | Monotonic correlation |
| xi | Vs | VQ1 | Vmed | Tc | ta | tr | ts | s | b | aQ3 | amax | dQ3 | dmax |
|---|---|---|---|---|---|---|---|---|---|---|---|---|---|
| r | 0.36 | 0.53 | 0.42 | −0.40 | 0.25 | 0.42 | −0.73 | −0.62 | −0.30 | 0.26 | 0.21 | 0.14 | 0.08 |
| xi | Vs | VQ1 | Vmed | Tc | ta | tr | ts | s | b | aQ3 | amax | dQ3 | dmax |
|---|---|---|---|---|---|---|---|---|---|---|---|---|---|
| Vs | - | 0.72 | 0.96 | −0.93 | 0.38 | 0.67 | −0.83 | −0.71 | −0.90 | −0.22 | −0.56 | −0.29 | −0.56 |
| VQ1 | 0.71 | - | 0.70 | −0.57 | 0.11 | 0.55 | −0.78 | −0.63 | −0.48 | 0.10 | −0.24 | −0.10 | −0.28 |
| Vmed | 0.96 | 0.70 | - | −0.91 | 0.46 | 0.74 | −0.86 | −0.70 | −0.88 | −0.18 | −0.47 | −0.32 | −0.46 |
| Tc | −0.93 | −0.57 | −0.91 | - | −0.46 | −0.66 | 0.80 | 0.75 | 0.88 | 0.25 | 0.52 | 0.24 | 0.51 |
| ta | 0.38 | 0.12 | 0.46 | −0.46 | - | 0.37 | −0.44 | −0.41 | 0.38 | 0.04 | −0.10 | −0.08 | −0.07 |
| tr | 0.67 | 0.55 | 0.74 | −0.66 | 0.37 | - | −0.79 | −0.62 | −0.63 | 0.11 | −0.20 | −0.03 | −0.22 |
| ts | −0.83 | −0.79 | −0.86 | 0.80 | −0.44 | −0.79 | - | 0.85 | 0.70 | −0.03 | 0.23 | 0.12 | 0.30 |
| s | −0.71 | −0.63 | −0.70 | 0.75 | −0.41 | −0.62 | 0.85 | - | 0.69 | −0.05 | 0.27 | 0.11 | 0.18 |
| b | −0.90 | −0.48 | −0.88 | 0.88 | −0.38 | −0.63 | 0.70 | 0.69 | - | 0.30 | 0.50 | 0.37 | 0.43 |
| aQ3 | −0.22 | 0.10 | −0.18 | 0.25 | 0.04 | 0.11 | −0.03 | −0.05 | 0.30 | - | 0.52 | 0.77 | 0.50 |
| amax | −0.55 | −0.24 | −0.47 | 0.52 | −0.10 | −0.20 | 0.23 | 0.27 | 0.50 | 0.52 | - | 0.29 | 0.50 |
| dQ3 | −0.25 | −0.10 | −0.32 | 0.24 | −0.08 | −0.03 | 0.12 | 0.11 | 0.37 | 0.77 | 0.29 | - | 0.51 |
| dmax | −0.56 | −0.28 | −0.46 | 0.51 | −0.07 | −0.22 | 0.30 | 0.18 | 0.43 | 0.50 | 0.50 | 0.51 | - |
Disclaimer/Publisher’s Note: The statements, opinions and data contained in all publications are solely those of the individual author(s) and contributor(s) and not of MDPI and/or the editor(s). MDPI and/or the editor(s) disclaim responsibility for any injury to people or property resulting from any ideas, methods, instructions or products referred to in the content. |
© 2024 by the authors. Licensee MDPI, Basel, Switzerland. This article is an open access article distributed under the terms and conditions of the Creative Commons Attribution (CC BY) license (https://creativecommons.org/licenses/by/4.0/).
Share and Cite
Skuza, A.; Szumska, E.M.; Jurecki, R.; Pawelec, A. Modeling the Impact of Traffic Parameters on Electric Vehicle Energy Consumption. Energies 2024, 17, 5423. https://doi.org/10.3390/en17215423
Skuza A, Szumska EM, Jurecki R, Pawelec A. Modeling the Impact of Traffic Parameters on Electric Vehicle Energy Consumption. Energies. 2024; 17(21):5423. https://doi.org/10.3390/en17215423
Chicago/Turabian StyleSkuza, Adriana, Emilia M. Szumska, Rafał Jurecki, and Artur Pawelec. 2024. "Modeling the Impact of Traffic Parameters on Electric Vehicle Energy Consumption" Energies 17, no. 21: 5423. https://doi.org/10.3390/en17215423
APA StyleSkuza, A., Szumska, E. M., Jurecki, R., & Pawelec, A. (2024). Modeling the Impact of Traffic Parameters on Electric Vehicle Energy Consumption. Energies, 17(21), 5423. https://doi.org/10.3390/en17215423

