Abstract
As conventional oil reservoirs are gradually being depleted, researchers worldwide are progressively shifting their focus towards the development and comprehensive study of tight oil reservoirs. Considering that hydraulic fracturing is one of the main approaches for developing tight sandstone reservoirs, it is of great significance to explore the mechanism of spontaneous imbibition and waterflooding behavior after hydraulic fracturing in tight oil reservoirs. This research delves into the analysis of tight sandstone core samples obtained from the Shahejie Formation in the Bohai Bay Basin. All core samples are used for a series of experiments, including spontaneous imbibition and water flooding experiments. An additional well-shut period experiment is designed to understand the impact and operational dynamics of well shut-in procedures in tight reservoir development. Utilizing nuclear magnetic resonance (NMR) technology, the pore sizes of a sample are divided into three types, namely, macropores (>100 ms), mesopores (10–100 ms), and micropores (<10 ms), to thoroughly assess the fluid distribution and changes in fluid signals during the spontaneous imbibition and water flooding stages. Experimental outcomes reveal that during the spontaneous imbibition stage, oil recovery ranges from 12.23% to 18.70%, predominantly depending on capillary forces. The final oil recovery initially rises and then falls as permeability decreases, while the contribution of micropores progressively grows as the share of mesopores and macropores deceases. With water flooding processes carried out after spontaneous imbibition, enhanced oil recovery is observed between 28.26% and 33.50% and is directly proportional to permeability. The well shut-in procedures can elevate the oil recovery to as high as 47.66% by optimizing energy balance.
1. Introduction
As energy demands continue to grow alongside societal economic progress and conventional oil and gas resources deplete, the exploitation of unconventional oil and gas deposits has become crucial. The magnitude of tight oil resources is now estimated to be 2–3 times larger than that of conventional oil and gas deposits, highlighting the significance of research in this area [1]. Tight oil reservoirs, known for their complex characteristics, including low porosity, limited permeability, small pore throats, and significant micro-level variability, require hydraulic fracturing as a vital method for their development [2]. In recent periods, the United States has made strides in the commercial exploitation of tight oil and shale formations, leveraging innovative methods such as horizontal drilling and comprehensive fracturing. This modern approach to hydraulic fracturing focuses on creating numerous fractures, potentially even networks of fractures, to realize goals of improving oil recovery. This strategy effectively establishes wide-impact, permeable flow channels in tight oil reservoirs, which naturally enhance extremely low permeability. Such advancements enhance the fluid flow capacity of the reservoir and optimize the extraction of movable fluids, thereby leading to better development results [3,4].
In the advancement of low-permeability oilfield technology, the utilization of capillary imbibition, propelled by capillary forces, is employed to displace oil through the incursion of water along the fracture walls. This method of oil recovery is referred to as imbibition oil recovery [5,6]. Therefore, the exploration of spontaneous imbibition theory holds practical relevance in the progress of tight oil exploration and development. It is widely recognized that the theoretical analysis and mathematical formulation of spontaneous imbibition originated in the 19th century. Capillary forces are the fundamental drivers of spontaneous imbibition. Accordingly, an initial simplified model for capillary porous media imbibition was introduced. This model underwent enhancements by Washburn (1921), contributing to the formation of the renowned Lucas–Washburn (L-W) model [7]. Handy (1960)’s study on imbibition in actual porous media led to the recommendation that the model should consider gravitational effects, introducing the Handy model for piston-like imbibition [8]. Researchers subsequently conducted extensive experiments to assess the impact of matrix and fluid characteristics on spontaneous imbibition. These characteristics include porosity, permeability, viscosity, interfacial tension (IFT), wettability, mineral composition, fluid chemical composition, boundary conditions, and salinity [9,10,11,12,13,14,15,16]. These studies have led to continuous enhancements in the models of spontaneous imbibition. Regarding the enhancement of oil recovery, contemporary studies into spontaneous imbibition mechanisms predominantly concentrate on the pore attributes of reservoirs, the wetting types and their surface characteristics, and the interfacial attributes between liquid and solid phases. This focus has catalyzed the development of methodologies aimed at modifying the displacement mobility ratio and adjusting wettability properties, thus aiming to boost oil recovery [17,18,19]. With the deepening of research in hydraulic fracturing and spontaneous imbibition, numerous researchers have turned to nuclear magnetic resonance (NMR) scanning technology for analyzing the pore structure in cores [20,21]. NMR, being an efficient, rapid, and non-invasive testing method, surpasses traditional experimental measurement methods. It is extensively utilized for quantitatively assessing the hydrogen content in porous fluids, tracking phase changes, and aiding in the analysis of imbibition mechanisms across various pore types. This has led to a global trend among researchers employing NMR scanning to explore the pore architecture in tight sandstone. This approach is often combined with high-pressure mercury intrusion curves to distinguish the changes in oil–water two-phase fluids across different pore sizes during the imbibition process [22,23,24]. Such a holistic method provides insights into the mechanism of capillary force in pores at various scales.
Water injection development after fracturing is a commonly utilized strategy for improved oil recovery and has shown considerable success in low-permeability reservoirs. However, the combination of “horizontal well + reservoir modification” in hydraulic fracturing frequently results in water channeling. This method is characterized by initially high output rates, followed by slow or ineffective water injection and a swift decline in production, leading to a primary recovery rate of merely about 5–10% [25,26,27]. The core issue is derived from the fracturing modification methods not sufficiently changing the permeability of the majority of reservoir matrices. Owing to the limiting characteristics of their minuscule pore throat structures, a majority of reservoir fluids encounter considerable flow resistance, which hinders their participation in later reservoir flow stages. When water injection occurs at relatively high displacement initiation pressure, the lack of high initial displacement energy fails to notably improve recovery. As a result, during the displacement phase of water injection, the original oil remains largely stationary, leading to an especially rapid decrease in production [28,29,30,31,32,33]. Acknowledging these difficulties in boosting energy through water injection, some scholars have suggested different methods to increase production [34]. Hence, it becomes clear that the conventional theories based on imbibition to enhance recovery are not suited for tight oil reservoirs. There has been scant research and experiment on the operational dynamics of balanced enhanced recovery involving fracturing and shut-in well methods. So, it is vital to study the properties of water injection for energy supplementation and displacement driving in tight oil reservoirs after extensive hydraulic fracturing.
Addressing the problems above, this study zeroes in on tight sandstone cores from the Shahejie Formation in the Bohai Bay Basin. It executes a series of experiments on tight sandstone, employing a methodical approach of spontaneous imbibition followed by water flooding, and clarifies the mechanism of balanced energy throughout the shut-in period. Leveraging NMR technology, the research evaluates the variations in fluid distribution and fluid signals in the core pores during the spontaneous imbibition and water flooding stages. This includes an assessment of both the overall oil recovery and the contribution to oil recovery of different pore sizes. This study delves into the varying mechanistic characteristics of these processes, acknowledging the considerable connection to permeability. In the phase of water flooding, the research emulates the well shut-in procedure through pressurized imbibition to probe the energy balance mechanism. This study bridges a knowledge gap in the field of water injection after volume fracturing in tight sandstone reservoirs, offering both theoretical insights and practical approaches for the application of imbibition and energy enhancement theory.
2. Experiment and Methods
2.1. Materials
2.1.1. Core
The rock specimens were provided from the Shahejie Formation sandstone reservoir in the Boxing Sag, Dongying, Shandong, supplied by Sinopec Shengli Oilfield Company (Dongying, China). The images of the rock samples are shown in Figure 1. The Dongying Depression is situated in the southeastern region of the Bohai Bay Basin, which is a Cenozoic rift basin located on the eastern coast of China, with an area extent of approximately 200,000 km2 located in eastern China. The Boxing Sag was developed on a northward-dipping, subsiding, faulted block within the Dongying Depression. The Eocene Shahejie Formation is divided into four members, which consist of 1st member, 2nd member (upper and lower), 3rd member (upper, middle, and lower), and 4th member (upper and lower). Fault activity had a significant impact on the diversity and complexity of rock structural, leading to various sedimentary systems in the Es4 member [35]. The four sandstones in the upper sub-member of the 4th member is the interval of interest in this research.
Figure 1.
The images of the rock samples used in experiments: (A) Sample C1; (B) Sample C2; (C) Sample C3; (D) Sample C4.
The fundamental characteristics of the four core samples are detailed in Table 1. The porosity distribution in the experimental cores varied from 5.31% to 7.33%, averaging at 6.41%. The permeability distribution spanned from 0.116 mD to 1.950 mD, with an average value of 0.758 mD.
Table 1.
Key parameters of the core samples.
2.1.2. Fluid
According to formation fluid data from Shengli Oilfield, the crude oil under surface conditions has a density of 0.8709 g/cm3 and exhibits a viscosity range of 9.4 to 15.3 mPa·s (measured at 50 °C). The density of the crude oil under formation conditions is 0.7217 g/cm3, and the viscosity of is 1.17 mPa·s. The pour point of the crude oil pour point fluctuates between 18 °C and 21 °C. The crude oil is classified as relatively light, having low viscosity and a pour point of moderate range by these characteristics. For experimental purposes, 0# diesel, sharing basic properties with the reservoir crude oil, was chosen. Its density is 0.835 g/cm3. Its dynamic viscosity varies from 3.0 mPa·s to 8.0 mPa·s at 20 °C, and its apparent viscosity ranges from 2.5 mPa·s to 3.7 mPa·s. Therefore, 0# diesel could serve as a stand-in for crude oil in the following experiments.
In the context of NMR experiments, the presence of manganese ions (Mn2+), which are paramagnetic, plays a vital role. It is well-known that 1H is the nucleus of choice for NMR analyses. These ions are known to reduce the relaxation time of 1H of water, leading to a more rapid decay of 1H signals in water, thereby effectively blocking 1H signals. Therefore, incorporating Mn2+ into distilled water ensures the prominence of only the oil-phase signal in a core sample, aiding in the analysis of data that follows. The choice of a precise manganese(II) chloride (MnCl2) concentration is essential in these NMR experiments. A concentration that is too low might not shield the signals adequately, resulting in potential experimental inaccuracies, whereas an excessively high concentration could interfere with the pore structure of the core. To identify the optimal MnCl2 concentration, a single core sample was saturated with MnCl2 solutions at three concentrations (1%, 2%, and 5%) under a pressure of 20 MPa. This methodology encompassed both pre- and post-experiment procedures for cleaning and drying the core. Following this, T2 spectra were recorded using an NMR instrument. As demonstrated in Figure 2, the T2 spectra and peak area histograms reveal a significant decrease in peak area in the saturated core as the Mn2+ concentration increases. Based on these observations, a 5% MnCl2 solution was determined to be the most effective concentration for NMR experiments.
Figure 2.
Results of MnCl2 concentration optimization experiments: (A) T2 of saturated cores at different concentrations of MnCl2; (B) plot of saturated core peak area versus MnCl2 concentration.
2.2. Experimental Procedure
2.2.1. Primary Experiment
Prior to the experiments, all rock samples were cut into cylindrical cores measuring 50 mm in length and 25 mm in diameter. These cores underwent immersion in a methanol solution for a duration of 72 h, serving to extract any lingering oil residues. Following this, a drying period of 24 h at a temperature of 80 °C was implemented. Post-drying, the weight of cores was recorded. The next step involved placing the dried cores in a device designed for pressure saturation, where they were exposed to a 12 h vacuum to evacuate any trapped air. The process continued with the saturation of the cores using 0# diesel oil, maintaining a saturation pressure of 30 MPa for a duration of 24 h. After saturation, the weight of the cores was again determined. Moreover, to evaluate the initial distribution of oil in the cores, a T2 spectrum was acquired utilizing NMR in their oil-saturated state. The variation in core weight before and after oil saturation was utilized to calculate the porosity of the cores.
2.2.2. Spontaneous Imbibition Experiment
In this study, four oil-saturated core samples were immersed in beakers filled with a 5% MnCl2 solution. To mitigate the negative impact of solution evaporation on the imbibition process, the beakers were hermetically sealed using plastic film. The designated imbibition durations were 2, 4, 16, 24, and 36 h. At the conclusion of each duration, the core samples were carefully extracted from the beakers for T2 spectrum analysis using an NMR system and subsequently returned to the beakers for continued imbibition.
This NMR system comprised a Meso-MR060-I low-field NMR detector (Suzhou Niumag Analytical Instrument Co., Suzhou, China), an NMR analysis system (Suzhou Niumag Analytical Instrument Co.), and a core displacement system, as shown in Figure 3. The system operated with a magnetic field intensity of 0.5 ± 0.08 T, a principal frequency of 21.3 MHz, and a coil with a 60 mm diameter. The NMR experiments utilized a Carr-Purcell-Meiboom-Gill (CPMG) sequence with the following parameters: a sampling frequency of 250 KHz, a relaxation time of 2 s, an echo time of 0.2 ms, a radiofrequency delay of 0.002 ms, 8 scans, and 1024 echoes. The CPMG NMR data can be inverted into the T2 spectra by utilizing the software included in the experimental equipment and processed by Origin software(2021).
Figure 3.
NMR equipment: (A) schematic diagram; (B) object picture.
2.2.3. Water Flooding Experiment
- (1)
- A solution containing 5% MnCl2 was transferred into a liquid storage vessel then pumped into a secondary container using pneumatic pressure. Thereafter, valves numbered 1, 2, and 3 were opened. The hermetic integrity was confirmed through a pressurization test conducted with a plunger pump.
- (2)
- Cores that had undergone spontaneous imbibition were firmly positioned in an NMR displacement unit, secured by heat-shrink tubing. To replicate in situ conditions, a hydraulic pump exerted a confining pressure of 35 MPa on the cores in this apparatus. (It is noted that the effective stress in the formation was equivalent to 35 MPa).
- (3)
- The cores were subjected to a displacement process at a flow rate of 0.05 mL/min for a duration of 10 PV. In the case of core C4, the procedure was halted upon the emergence of liquid droplets at the outlet, followed by the closure of all valves and the maintenance of an energy equilibrium for 24 h. Subsequently, the displacement of an additional 10 PV commenced.
- (4)
- After waterflooding displacement, the cores were analyzed using a 1-inch coil in NMR assessments.
3. Results and Discussion
3.1. Method for Quantitatively Evaluate the Effect of Fluid
Low-field NMR is recognized as a non-invasive, swift, and precise method for evaluating the characteristics of cores [36,37]. The T2 value of a core is closely associated with its pore structure, which is evident in the T2 spectrum. This relationship is foundational for employing NMR technology in this study of core pore structures and fluid distribution patterns [38]. In a consistent magnetic field, the transverse relaxation time, T2, is characterized as follows:
where T2B signifies the relaxation effect attributable to the fluid itself, referred to as bulk relaxation, measured in ms; T2S denotes the relaxation effect from the rock surface, termed surface relaxation, also in ms; ρ represents the relaxation rate, expressed in μm/ms; and S/V indicates the specific surface area 1/μm. Since T2B considerably exceeds T2S, 1/T2B can be ignored. This implies that the primary source of the fluid’s T2 relaxation is surface relaxation. In light of this,
where FS represents the shape factor for a single pore (FS = 3 for spherical pores and FS = 2 for cylindrical pores); and rc is the pore radius in μm.
By replacing Equation (2) into Equation (1), Equation (3) is obtained as follows:
Assuming C = ρFs, Equation (4) can be expressed as follows:
According to Equation (4), there appears to be a direct linear correlation between the transverse relaxation time T2 and the pore radius rc. The analysis of hydrogen signals offers a method for determining the distribution of fluids in different pore sizes.
Referencing Figure 4 and building on the findings of Dou [5], pores are classified into three types according to their T2 values: micropores, mesopores, and macropores. More specifically, pores with T2 values ranging from 0.01 to 10 ms are categorized as micropores, those between 10 and 100 ms as mesopores, and those between 100 and 1000 ms as macropores. Prior research has utilized Equation (5) to quantitatively evaluate the efficiency of spontaneous imbibition across different pore sizes. This approach, however, offers a limited perspective, focusing solely on the spontaneous efficiency of pores at varying scales and overlooking the contributions of different pore sizes to the overall oil recovery. Therefore, in this study, Equation (5) is employed to assess the overall oil recovery, while Equation (6) is utilized to determine the contributions to oil recovery from individual pore sizes.
where OR stands for oil recovery, %; CTR represents contribution to recovery, %; S1 denotes the peak area after reduction for the relaxation interval, dimensionless; S2 indicates the peak area for that relaxation interval at the end of the experiment, dimensionless; and S3 depicts the sum of peak areas for all other relaxation intervals, dimensionless.
Figure 4.
Detailed schematic for calculating the oil recovery. Note that S1 denotes the peak area after reduction for the relaxation interval, S2 indicates the peak area for that relaxation interval at the end of the experiment, and S3 depicts the sum of peak areas for all other relaxation intervals.
3.2. Spontaneous Imbibition Displacement
3.2.1. T2 Spectra Characteristics during Imbibition Displacement
The graphs presented in Figure 5A–D illustrate the variations in T2 relaxation times for cores of varying permeabilities during the process of imbibition displacement. The initial oil saturation curves for cores C1, C2, C3, and C4 reveal a two-peaked structure, where the left peak is lower than the right. In general, these profiles for all four cores demonstrate changes spanning from 0.01 to 1000 ms. Beyond 1 ms, there appears a gradual reduction in the amplitude of these curves over time. In particular, for core C1, the peak relaxation time shows a progressive increase from 541 ms to 622 ms, while the right peak’s relaxation value climbs from 77 ms to 95 ms. The left peak’s relaxation value is steady at around 0.24 ms, first decreasing before rising again. Regarding core C2, its peak relaxation time shows an increase from 622 ms to 766 ms, alongside a rise in the right peak’s relaxation value from 77 ms to 95 ms. The left peak’s relaxation value falls from 0.28 ms to 0.21 ms, with a continuous rise in the left peak value. For core C3, there is a gradual rise in the peak relaxation time from 541 ms to 580 ms, with the right peak’s relaxation value increasing from 38 ms to 58 ms. The left peak’s relaxation value remains fixed at 0.18 ms, showing a steady increase in the left peak value. Core C4 exhibits a consistent maximum relaxation time of 541 ms. The right peak evolves from a gradual incline to a more pronounced peak, while the left peak maintains a relatively flat profile. Over time, the relaxation value decreases from 0.28 ms to 0.21 ms, and the left peak value displays little significant change.
Figure 5.
T2 spectrum under different spontaneous imbibition times: (A) Sample C1; (B) Sample C2; (C) Sample C3; (D) Sample C4.
3.2.2. Influence of Permeability on Spontaneous Imbibition
The relationship between the extent of recovery and the duration of spontaneous imbibition for four cores is determined via Equation (5) and shown in Figure 6. Each of these cores exhibits a swift rise in the rate of recovery in the early phases of spontaneous imbibition. However, as the duration of spontaneous imbibition extends, this rate of recovery begins to decelerate, eventually stabilizing at a peak, signifying the maximum levels of recovery achieved. In this oil–water spontaneous imbibition setup, core C1, characterized by its significantly greater permeability relative to the other three cores, attains a state of capillary equilibrium at the 16 h interval. Conversely, the other three cores with permeabilities below 1 mD demonstrate similar times to reach capillary equilibrium.
Figure 6.
Oil recovery with different permeabilities at different imbibition times.
This relationship between the degree of recovery and permeability is depicted in the accompanying Figure 6. Core C1, possessing the most significant permeability at 1.95 mD, exhibits a recovery level of 12.23%. In comparison, cores with permeabilities measuring 0.72 mD, 0.25 mD, and 0.11 mD display recovery levels of 15.69%, 18.70%, and 17.45%, respectively.
Further experimental results are shown in Figure 7. It is observed that the degree of recovery in these cores does not linearly increase as permeability decreases. Typically, rock formations with lower permeability possess narrower pore radii. While these small pore sizes contribute to stronger capillary forces, enhancing the effect of spontaneous imbibition, they simultaneously impose greater resistance on the movement of oil droplets. As permeability declines, the amplified resistance encountered during spontaneous imbibition surpasses the benefits gained from increased imbibition efficiency, leading to a reduced degree of recovery. Additionally, the presence of more elaborate pore throat configurations can result in the entrapment of oil droplets, attributed to inadequate connectivity in the rock. This entrapment impedes the movement of oil and water, further influencing the degree of recovery.
Figure 7.
Relationship between spontaneous imbibition recovery and core permeabilities.
3.2.3. Characteristics of Spontaneous Imbibition
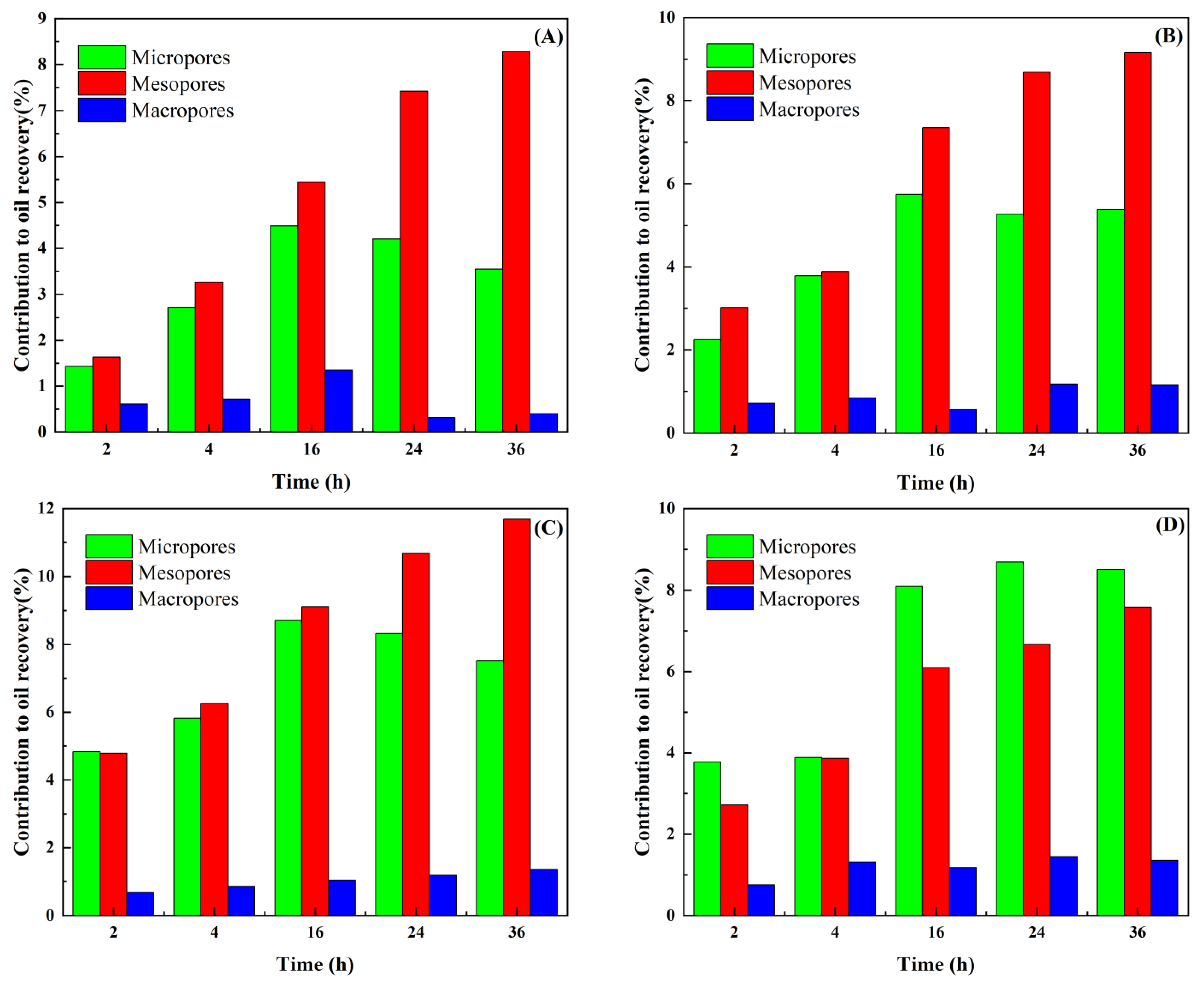
Employing Equation (6), the study computed the contribution of recovery degree across varying pore dimensions and various imbibition durations. The data in Figure 8A–D indicated that, as imbibition time increases, the recovery degree contribution from mesopores in each of the four cores exhibits a consistent upward trend, thus reaching values of 8.2%, 9.1%, 10.6%, and 7.5%, respectively. In contrast, the contribution from micropores peaks at the 16 h mark before gradually decreasing, with final values recorded at 3.5%, 5.4%, 7.5%, and 8.5%. Meanwhile, the contribution from macropores remains relatively minimal throughout, concluding at 0.4%, 1.2%, 1.4%, and 1.4%. Extending the analysis to the aggregate recovery degree contribution for the four cores and calculating the proportion of recovery degree contribution from different pore sizes against the total recovery degree reveals that cores with permeabilities of 1.95 mD, 0.72 mD, 0.25 mD, and 0.11 mD demonstrate small pore recovery degree contributions of 29.0%, 34.3%, 38.5%, and 49.8%, respectively; contributions from mesopores are 67.8%, 58.4%, 54.6%, and 43.5%; and those from macropores are 3.2%, 7.4%, 7.0%, and 7.8%.
Figure 8.
Contribution to oil recovery in different pore sizes during spontaneous imbibition: (A) Sample C1; (B) Sample C2; (C) Sample C3; (D) Sample C4.
The dataset reveals that in the early phases of spontaneous imbibition, owing to the stronger capillary forces in micropores, there is a tendency for the aqueous phase to accumulate predominantly in these pores. This accumulation gradually forces the oil phase to migrate towards the larger, medium-sized pores. As capillary forces act in numerous micropores, the oil phase initially present in mesopores is either pushed towards the rock surface or shifts into macropores. During spontaneous imbibition, particularly in scenarios where rock throats exhibit varied size distributions, the simultaneous occurrence of wetting phase imbibition in fine throats and the expulsion of the non-wetting phase from coarse throats is observed [37]. The inflow of the wetting phase into the discharge channels can obstruct these pathways, leading to residual saturation. In NMR measurements, this residual saturation is detected as an oil signal in micropores, which influences the recovery degree attributed to these pores [36]. Figure 9 further demonstrates that as permeability decreases, the contribution of micropores to the overall recovery degree progressively increases, whereas the total contributions from mesopores and macropores decrease. Therefore, permeability serves as an indirect indicator of both pore size and the complexity of pore throat structures in the rock. Due to the dense arrangement of the rock’s micropores, water tends to occupy a significant portion of these narrow channels, which, in turn, amplifies the percentage contribution of micropores to the overall recovery process [6].
Figure 9.
Final contribution to oil recovery in different pore sizes during spontaneous imbibition.
3.3. Water Flooding
3.3.1. T2 Spectra Characteristics during Water Flooding
Figure 10A–D illustrate the changes in T2 values for various permeabilities of cores, observed both before and after water flooding. These changes in T2 values span a range from 0.01 to 1000 ms. Notably, for time intervals exceeding 100 ms, there is a significant decrease in T2 values following water flooding, whereas this reduction is less pronounced for intervals under 100 ms. Concurrently, there appears to be an increased peak area at approximately 0.1 ms. After 10 PV of water flooding, the cores labeled C1, C2, C3, and C4 consistently show a three-peak structure. Specifically, the relaxation times for C1’s peaks occur at 0.14 ms, 2.25 ms, and 49.30 ms; C2’s peaks at 0.13 ms, 2.24 ms, and 95.47 ms; C3’s at 0.14 ms, 1.83 ms, and 23.82 ms; and C4’s at 0.14 ms, 2.41 ms, and 50.96 ms. When these observations are contrasted with spontaneous imbibition, a general leftward shift in relaxation times is apparent. This shift suggests that water flooding predominantly displaces the oil phase in macropores. However, due to variations in the pore throat structures among the four cores, residual oil remains entrapped in diverse pore throat scales. Throughout the imbibition process, the uninterrupted oil phase adopts various forms, including dispersed droplets, membranous structures, and continuous columns. The agglomeration of signals from these different relaxation times and morphological forms produces a characteristic three-peak pattern in the overall T2 spectrum of each core.
Figure 10.
T2 spectrum under different experimental modes: (A) Sample C1; (B) Sample C2; (C) Sample C3; (D) Sample C4. Note that SI stands for spontaneous imbibition, WF represents water flooding.
3.3.2. Characteristics of Water Flooding Displacement after Spontaneous Imbibition
The total recovery ratios for cores C1, C2, and C3 following water flooding were determined utilizing Equation (5). As indicated in Figure 11, the water flooding total recovery percentages for cores with permeabilities of 1.95 mD, 0.72 mD, and 0.25 mD stand at 33.50%, 30.38%, and 28.26%, respectively. The role of each pore size range in the oil recovery during water flooding was calculated using Equation (6). As illustrated in Figure 11, a decline in the total oil recovery is observed as permeability decreases. In cores C1 and C2, which exhibit higher permeabilities, the contribution of macropores to the oil recovery is notably greater, recorded at 17.47% and 17.85%, respectively, compared to the 10.39% contribution from macropores in core C3. Conversely, the contribution of mesopores in core C3 is markedly higher at 13.07%, surpassing the 10.15% and 7.20% contributions in cores C1 and C2, respectively.
Figure 11.
Contribution to oil recovery in different pore sizes and the final utilization degree during water flooding.
The experimental evidence suggests that adopting a strategy of transitioning from spontaneous imbibition after 36 h to water flooding effectively merges the advantages of both methods. As shown in Figure 12, these three images depict the state of the core under saturated oil conditions, the state after 36 h of spontaneous imbibition, and the oil–water distribution under the combined mode, respectively. Spontaneous imbibition moves oil droplets from nano and micrometer-sized pores to mesopores and macropores, utilizing capillary forces as the primary mechanism for transport in the oil channels [24,39]. Thereafter, the water flooding method is employed to eject the continuous oil phase that has accumulated in the medium and macropores, thereby achieving enhanced recovery objectives.
Figure 12.
The mechanism of the combination of spontaneous imbibition and water flooding: (A) saturated oil; (B) spontaneous imbibition; (C) water flooding after imbibition. Note that the figures above describe two-phase flow in porous media artistically. These figures are composed of basically three elements; the gray part represents the rock framework, and the red and blue parts, respectively, signify the oil and water phases.
In contrast, the influence of micropores on oil recovery in all three cores during water flooding is relatively modest. This indicates that the effectiveness of water flooding largely depends on the amplification of energy in macropores, facilitating the displacement of the oil phase through hydraulic forces. The structural limitations of micropores result in increased flow resistance. In comparison to mesopores and macropores, micropores are less capable of providing supplemental displacement energy in the short term under the increased initiation pressure of water flooding [27]. Therefore, the contribution to oil recovery from micropores during water flooding is substantially lower than that from medium and macropores.
3.3.3. Mechanism of Energy Balance during Shut-in Period
In the field of imbibition studies [40,41], it is often presumed that cores are initially under no pressure in spontaneous imbibition experiments. Contrarily, these cores are typically saturated with high-pressure oil, placing both the internal rock structure and the saturated fluid under a state of compression. In the course of imbibition experiments using MnCl2 solution, the fluid–solid system might experience various levels of expansion, primarily due to the fluid’s significantly higher elastic compression coefficient in comparison to the rock structure. Therefore, prior to the activation of capillary forces, the rock initially expels the oil phase externally, leveraging the elastic energy stored in the rock structure and internal fluids, akin to the behavior in a newly discovered reservoir. When the internal energy is nearly exhausted, capillary forces, functioning under no pressure, start to facilitate spontaneous imbibition in the core. Nevertheless, relying solely on spontaneous imbibition for recovery proves time-consuming and misaligned with the operational demands of field reservoir development. Thus, it becomes vital to expedite reservoir enhancement precisely at the juncture when the core transitions into the phase of slow imbibition. Energy injection into the reservoir through water flooding can be a strategic approach. However, studies show that combining spontaneous imbibition with water flooding does not notably enhance oil recovery in core C3. This limited efficacy might be due to poor pore sizes in less permeable cores, such as core C3.
In these cores of low permeability, a considerable volume of oil does not accumulate in the larger pores. Additionally, methods focusing solely on enlarging pores struggle to mobilize oil trapped in nano and micrometer-sized pores. To address this, during the water flooding of core C4, a 24 h shut-in period under elevated pressure was integrated. This method aimed to equalize the internal pressure of the core while conducting pressurized imbibition in both mesopores and micropores. As shown in Figure 12, in the developmental model that shifts from spontaneous imbibition to water flooding after 36 h, core C4 reached an optimal water flooding recovery rate of 47.66%, surpassing the rates achieved by the other three cores. Regarding contributions to oil recovery, core C4 showed significantly higher contributions from micropores, mesopores, and macropores, with respective percentages of 7.69%, 19.02%, and 20.96%, in stark contrast to the data from the other three cores.
During the water flooding process, energy is infused into the reservoir, yet the distribution of this energy across different pore sizes is uneven. As shown in Figure 13, macropores more readily undergo energy increase and consumption, while the increasing energy is almost unable to influence micropores. In terms of production, the shut-in method proves effective in equalizing pressure distribution across the entire rock pore structure. This method increases pore pressure, which helps sustain pore channels compressed by external forces and keeps closed pore throats connected. Hence, this enhances flow channel connectivity, betters the physical properties of tight reservoirs, boosts fluid displacement in tiny pores, and ultimately heightens the efficiency of subsequent water flooding efforts.
Figure 13.
The mechanism of energy balance during the shut-in period. Note that the three images above describe three different stages during the experimental investigation of core sample C4, which are the waterflooding period, shut-in period, and waterflooding-after-shut-in period. The red and blue parts respectively signify the oil and water phases. The blue and white arrows describe flow direction and energy balance during the experiment.
4. Conclusions
In this paper, we analyzed samples of tight sandstone from the Shahejie Formation located in the Bohai Bay Basin. Tight sandstones with varying permeabilities underwent tests involving spontaneous imbibition followed by water flooding. The study analyzed the link between permeability and oil recovery. Moreover, the distribution of fluids and the associated changes were explored through NMR analysis. The purpose of this research was to explore the unique features and processes of spontaneous imbibition and water flooding, emphasizing the considerable benefits of integrating these methods for the advancement of tight oil reservoirs. Finally, the shut-in method in experiments was applied to explain the mechanism of energy balance. The principal findings of this study are summarized below:
- During the spontaneous imbibition experiments, total oil recovery initially rose and then fell with decreasing permeability. The oil recoveries observed were 12.23%, 15.69%, 18.70%, and 17.45% for varying levels of permeability. As the permeability decreases, the contribution to oil recovery from micropores gradually increased, while the total contribution from mesopores and macropores declined. Capillary forces emerged as the key drivers in spontaneous imbibition. In similar experimental setups, smaller pore sizes led to more effective imbibition. Nevertheless, it is difficult to improve oil recovery when the rise in transport resistance surpassed the gains in imbibition efficiency.
- After shifting from spontaneous imbibition to water flooding (excluding the shut-in period) for 10 PV, there was a significant rise in oil recovery, attaining 33.50%, 30.38%, and 28.26% for diverse permeabilities. These rates exhibited an upsurge with higher permeabilities, with the greatest oil recovery contribution originating from larger pores. Therefore, the sequential combination of spontaneous imbibition and water flooding as a production strategy effectively harnessed the capabilities of both methods.
- The development method of transitioning from spontaneous imbibition to water flooding was further optimized by incorporating shut-in during the waterflooding stage. Shut-in could balance the energy differences among different pore sizes by supporting tight pore throat passages and improving complex rock formations. The oil recovery of core C4 increases to 47.66%, attaining the maximum improvement in oil recovery among the four core samples.
While this research presents an imbibition and waterflooding combination experiment by utilizing the NMR technique, our conclusions rely solely on the NMR data analysis. Our future work will entail elucidating the underlying mechanisms of experimental phenomena by integrating mathematical analysis and simulation software. We aim to make advancements in the theory of two-phase fluid dynamics, providing theoretical guidance for practical engineering applications in this field.
Author Contributions
Conceptualization, L.T. and L.W.; Methodology, L.T. and L.W.; Software, L.T.; Investigation, L.T.; Writing—original draft, L.T.; Writing—review & editing, J.B., N.Z., W.S., Q.Z., Z.X. and G.W. All authors have read and agreed to the published version of the manuscript.
Funding
The authors would like to acknowledge the financial support from the Open Fund of Engineering Research Center of Development and Management for Low to Ultra-Low Permeability Oil & Gas Reservoirs in West China, Ministry of Education (No. KFJJ-XB-2022-2), the Chunhui Plan (No. HZKY20220163). This work was also supported by a grant from the Jiangsu Provincial Natural Science Foundation, Youth Fund (No. BK20230646).
Data Availability Statement
Data are contained within the article.
Acknowledgments
The authors would like to thank Li Liu of the Analysis and Testing Center and NERC Biomass of Changzhou University. The valuable comments of the anonymous reviewers are sincerely appreciated.
Conflicts of Interest
The authors declare no conflict of interest.
References
- Grieser, B.; Bray, J. Identification of Production Potential in Unconventional Reservoirs, in: All Days. In Proceedings of the Production and Operations Symposium, SPE, Oklahoma City, OK, USA, 31 March–3 April 2007; p. SPE-106623-MS. [Google Scholar] [CrossRef]
- Zhong, X.; Liu, L.; Wang, H.; Xu, Z.; Chen, H.; Wang, X.; Zhu, Y. Characteristics and origins of the modal pore throat structure in weakly cemented sandy conglomerate reservoirs. J. Pet. Sci. Eng. 2022, 208, 109470. [Google Scholar] [CrossRef]
- Wheeler, D.; MacGregor, M.; Atherton, F.; Christmas, K.; Dalton, S.; Dusseault, M.; Gagnon, G.; Hayes, B.; MacIntosh, C.; Mauro, I.; et al. Hydraulic fracturing—Integrating public participation with an independent review of the risks and benefits. Energy Policy 2015, 85, 299–308. [Google Scholar] [CrossRef]
- Liao, S.; Hu, J.; Zhang, Y. Investigation on the influence of multiple fracture interference on hydraulic fracture propagation in tight reservoirs. J. Pet. Sci. Eng. 2022, 211, 110160. [Google Scholar] [CrossRef]
- Dou, L.; Xiao, Y.; Gao, H.; Wang, R.; Liu, C.; Sun, H. The study of enhanced displacement efficiency in tight sandstone from the combination of spontaneous and dynamic imbibition. J. Pet. Sci. Eng. 2021, 199, 108327. [Google Scholar] [CrossRef]
- Tian, W.; Wu, K.; Gao, Y.; Chen, Z.; Gao, Y.; Li, J. A Critical Review of Enhanced Oil Recovery by Imbibition: Theory and Practice. Energy Fuels 2021, 35, 5643–5670. [Google Scholar] [CrossRef]
- Washburn, E.W. The Dynamics of Capillary Flow. Phys. Rev. B 1921, 17, 273–283. [Google Scholar] [CrossRef]
- Handy, L. Determination of Effective Capillary Pressures for Porous Media from Imbibition Data. Trans. AIME 1960, 219, 75–80. [Google Scholar] [CrossRef]
- Cai, J.; Li, C.; Song, K.; Zou, S.; Yang, Z.; Shen, Y.; Meng, Q.; Liu, Y. The influence of salinity and mineral components on spontaneous imbibition in tight sandstone. Fuel 2020, 269, 117087. [Google Scholar] [CrossRef]
- Gu, X.; Pu, C.; Khan, N.; Wu, F.; Huang, F.; Xu, H. The visual and quantitative study of remaining oil micro-occurrence caused by spontaneous imbibition in extra-low permeability sandstone using computed tomography. Fuel 2019, 237, 152–162. [Google Scholar] [CrossRef]
- Jing, W.; Huiqing, L.; Genbao, Q.; Yongcan, P.; Yang, G. Investigations on spontaneous imbibition and the influencing factors in tight oil reservoirs. Fuel 2019, 236, 755–768. [Google Scholar] [CrossRef]
- Lai, F.; Li, Z.; Wei, Q.; Zhang, T.; Zhao, Q. Experimental Investigation of Spontaneous Imbibition in a Tight Reservoir with Nuclear Magnetic Resonance Testing. Energy Fuels 2016, 30, 8932–8940. [Google Scholar] [CrossRef]
- Liu, D.; Ren, D.; Du, K.; Qi, Y.; Ye, F. Impacts of mineral composition and pore structure on spontaneous imbibition in tight sandstone. J. Pet. Sci. Eng. 2021, 201, 108397. [Google Scholar] [CrossRef]
- Lyu, C.; Ning, Z.; Chen, M.; Wang, Q. Experimental study of boundary condition effects on spontaneous imbibition in tight sandstones. Fuel 2019, 235, 374–383. [Google Scholar] [CrossRef]
- Ren, X.; Li, A.; Memon, A.; Fu, S.; Wang, G.; He, B. Experimental Simulation on Imbibition of the Residual Fracturing Fluid in Tight Sandstone Reservoirs. J. Energy Resour. Technol. 2019, 141, 082905. [Google Scholar] [CrossRef]
- Tang, Y.; Wang, R.; Li, Z.; Cui, M.; Lun, Z.; Lu, Y. Experimental Study on Spontaneous Imbibition of CO2-Rich Brine in Tight Oil Reservoirs. Energy Fuels 2019, 33, 7604–7613. [Google Scholar] [CrossRef]
- Liang, T.; Longoria, R.; DiCarlo, D.A. The Applicability of Surfactant-Based EOR Technique to Enhance the Productivity in Tight Formations. In Proceedings of the 3rd Unconventional Resources Technology Conference, Presented at the Unconventional Resources Technology Conference, American Association of Petroleum Geologists, San Antonio, TX, USA, 20–22 July 2015. [Google Scholar] [CrossRef]
- Xiao, Z.; Dexin, L.; Yue, L.; Lulu, L.; Jie, Y. Synergistic effects between anionic and amphoteric surfactants on promoting spontaneous imbibition in ultra-low permeability reservoirs: Study of mechanism and formula construction. Colloids Surf. A Physicochem. Eng. Asp. 2021, 625, 126930. [Google Scholar] [CrossRef]
- Zhou, B.; You, Q.; Li, Y.; Chu, Z.; Zhang, L.; Wang, P.; Liu, C.; Dai, C. Preparation and performance evaluation of an active nanofluid for enhanced oil recovery in ultra-low permeability reservoirs. J. Mol. Liq. 2022, 347, 118331. [Google Scholar] [CrossRef]
- Guo, X.; Huang, Z.; Zhao, L.; Han, W.; Ding, C.; Sun, X.; Yan, R.; Zhang, T.; Yang, X.; Wang, R. Pore structure and multi-fractal analysis of tight sandstone using MIP, NMR and NMRC methods: A case study from the Kuqa depression, China. J. Pet. Sci. Eng. 2019, 178, 544–558. [Google Scholar] [CrossRef]
- Wu, H.; Zhang, C.; Ji, Y.; Liu, R.; Wu, H.; Zhang, Y.; Geng, Z.; Zhang, Y.; Yang, J. An improved method of characterizing the pore structure in tight oil reservoirs: Integrated NMR and constant-rate-controlled porosimetry data. J. Pet. Sci. Eng. 2018, 166, 778–796. [Google Scholar] [CrossRef]
- Cheng, Z.; Ning, Z.; Yu, X.; Wang, Q.; Zhang, W. New insights into spontaneous imbibition in tight oil sandstones with NMR. J. Pet. Sci. Eng. 2019, 179, 455–464. [Google Scholar] [CrossRef]
- Liu, C.; Wang, T.-R.; You, Q.; Du, Y.-C.; Zhao, G.; Dai, C.-L. The effects of various factors on spontaneous imbibition in tight oil reservoirs. Pet. Sci. 2023; in press. [Google Scholar] [CrossRef]
- Wang, X.; Peng, X.; Zhang, S.; Du, Z.; Zeng, F. Characteristics of oil distributions in forced and spontaneous imbibition of tight oil reservoir. Fuel 2018, 224, 280–288. [Google Scholar] [CrossRef]
- Wang, C.; Sun, Z.; Sun, Q.; Zhang, L.; Zhang, X. Comprehensive evaluation of waterflooding front in low-permeability reservoir. Energy Sci. Eng. 2021, 9, 1394–1408. [Google Scholar] [CrossRef]
- Xiao, W.; Yang, Y.; Li, M.; Li, N.; You, J.; Zhao, J.; Zheng, L.; Zhou, K.; Ren, J.; Wang, Y. Experimental study on the oil production characteristics during the waterflooding of different types of reservoirs in Ordos Basin, NW China. Pet. Explor. Dev. 2021, 48, 935–945. [Google Scholar] [CrossRef]
- Zhang, W. Technology of Water Injection Development in Ultra-Low Permeability Reservoir. IOP Conf. Ser. Earth Environ. Sci. 2020, 558, 022001. [Google Scholar] [CrossRef]
- Cui, C.; Wu, Z.; Wang, Z.; Yang, J.; Sui, Y. New prediction method for transient productivity of fractured five-spot patterns in low permeability reservoirs at high water cut stages. Open Phys. 2018, 16, 499–508. [Google Scholar] [CrossRef]
- Liu, H.; Zhao, T. Theoretical and Experimental Study on Nonlinear Flow Starting Pressure Gradient in Low Permeability Reservoir. IOP Conf. Ser. Earth Environ. Sci. 2020, 571, 012044. [Google Scholar] [CrossRef]
- Shi, X.; Wei, J.; Bo, H.; Zheng, Q.; Yi, F.; Yin, Y.; Chen, Y.; Dong, M.; Zhang, D.; Li, J.; et al. A novel model for oil recovery estimate in heterogeneous low-permeability and tight reservoirs with pseudo threshold pressure gradient. Energy Rep. 2021, 7, 1416–1423. [Google Scholar] [CrossRef]
- Wang, X.; Sheng, J.J. Effect of low-velocity non-Darcy flow on well production performance in shale and tight oil reservoirs. Fuel 2017, 190, 41–46. [Google Scholar] [CrossRef]
- Wu, Z.; Cui, C.; Lv, G.; Bing, S.; Cao, G. A multi-linear transient pressure model for multistage fractured horizontal well in tight oil reservoirs with considering threshold pressure gradient and stress sensitivity. J. Pet. Sci. Eng. 2019, 172, 839–854. [Google Scholar] [CrossRef]
- Zhong, X.; Zhu, Y.; Jiao, T.; Qi, Z.; Luo, J.; Xie, Y.; Liu, L. Microscopic pore throat structures and water flooding in heterogeneous low-permeability sandstone reservoirs: A case study of the Jurassic Yan’an Formation in the Huanjiang area, Ordos Basin, Northern China. J. Asian Earth Sci. 2021, 219, 104903. [Google Scholar] [CrossRef]
- Song, Z.; Song, Y.; Li, Y.; Bai, B.; Song, K.; Hou, J. A critical review of CO2 enhanced oil recovery in tight oil reservoirs of North America and China. Fuel 2020, 276, 118006. [Google Scholar] [CrossRef]
- Yan, J.; Fan, J.; Wang, M.; Li, Z.; Hu, Q.; Chao, J. Rock fabric and pore structure of the Shahejie sandy conglomerates from the Dongying depression in the Bohai Bay Basin, East China. Mar. Pet. Geol. 2018, 97, 624–638. [Google Scholar] [CrossRef]
- Ren, W.; Ma, C.; Huang, X.; Gu, W.; Chen, Y.; Liu, X. Dynamic and static imbibition characteristics of tight sandstone based on NMR. Geoenergy Sci. Eng. 2023, 229, 212052. [Google Scholar] [CrossRef]
- Xu, R.; Yang, S.; Li, M.; Wang, J.; Dong, Z.; Xie, P.; Jin, Y.; Wang, X. Experimental study on unstable imbibition characteristics of fracturing fluids at high pressures and temperatures in the tight continental reservoir. Geoenergy Sci. Eng. 2023, 221, 211362. [Google Scholar] [CrossRef]
- Parchekhari, S.; Nakhaee, A.; Kadkhodaie, A.; Khalili, M. Predicting the impact of hydrocarbon saturation on T2 distribution curve of NMR logs—A case study. J. Pet. Sci. Eng. 2021, 204, 108650. [Google Scholar] [CrossRef]
- Alvarez, J.O.; Schechter, D.S. Wettability Alteration and Spontaneous Imbibition in Unconventional Liquid Reservoirs by Surfactant Additives. SPE Reserv. Eval. Eng. 2017, 20, 107–117. [Google Scholar] [CrossRef]
- Jia, B.; Xian, C.; Tsau, J.-S.; Zuo, X.; Jia, W. Status and Outlook of Oil Field Chemistry-Assisted Analysis during the Energy Transition Period. Energy Fuels 2022, 36, 12917–12945. [Google Scholar] [CrossRef]
- Simonov, O.A.; Erina, Y.Y.; Ponomarev, A.A. Review of modern models of porous media for numerical simulation of fluid flows. Heliyon 2023, 9, e22292. [Google Scholar] [CrossRef]
Disclaimer/Publisher’s Note: The statements, opinions and data contained in all publications are solely those of the individual author(s) and contributor(s) and not of MDPI and/or the editor(s). MDPI and/or the editor(s) disclaim responsibility for any injury to people or property resulting from any ideas, methods, instructions or products referred to in the content. |
© 2024 by the authors. Licensee MDPI, Basel, Switzerland. This article is an open access article distributed under the terms and conditions of the Creative Commons Attribution (CC BY) license (https://creativecommons.org/licenses/by/4.0/).












