Efficiency of Renewable Energy Potential Utilization in European Union: Towards Responsible Net-Zero Policy
Abstract
1. Introduction
2. Literature Review
2.1. Scope, Categories, and Methodological Framework
2.2. DEA in Cross-Country Analysis of Energy Efficiency
2.3. NDEA in Assessing Energy Efficiency
2.4. DEA in Assessing the Impact of Geographical Location on Energy Efficiency
3. Research Methods and Data


4. Results
5. Discussion and Conclusions
- National Energy and Climate Plans (NECPs)—member states should tailor their NECPs to their unique resource potentials. Within each country’s renewable energy policy, adaptive use of feed-in tariffs (guaranteed purchase, fixed rates, long-term contracts) may serve as effective instruments fostering the development of photovoltaic and wind power capacity in accordance with local natural and technical possibilities [105,106].
- Joint Projects and Joint Support Schemes—multiple countries can collaborate on large projects to tap into renewable resources where they are most abundant and cost-effective.
- Cross-border grid integration and development—interconnectors, advanced transmission systems, digital monitoring, and energy storage capacity to increase resilience to fluctuating power generation potential, avoid bottlenecks, and allow surplus power to flow to demand centers.
- Cross-border Power Purchase Agreements (PPAs)—one member state can invest in or buy renewable electricity generated in another state. This further improves the overall renewable energy generation efficiency of the European Union.
- Tailored funding for innovation and technical assistance (Horizon Europe, European Regional Development Fund, the Just Transition Fund)—funds should be directed towards regions with strong but underutilized renewable resources. Such targeted support helps unlock local potential and diversifies the EU’s renewable energy mix [48]. Furthermore, strategically situated R&D centers and specialized supply chains help form sustainable energy innovation hubs that drive improvements in technology and create opportunities for knowledge and skill transfer to other EU regions [107].
Author Contributions
Funding
Data Availability Statement
Conflicts of Interest
Nomenclature
| Abbreviation | Description |
| AHP | Analytic Hierarchy Process |
| AI | Artificial Intelligence |
| APEC | Asia-Pacific Economic Co-Operation |
| BCC (VRS) | Variable Returns to Scale DEA Models |
| CCR | Constant Returns to Scale |
| CEF | Cost Efficiency Indicator |
| CO2 | Carbon Dioxide Emissions |
| DEA | Data Envelopment Analysis |
| DEAM | Data Envelopment Analysis Modified |
| DHW | Domestic Hot Water |
| DMU | Decision-Making Unit |
| DNSBM-DDF | Dynamic Slacks-Based Measure with Network Structure with Directional Distance Function |
| EPI | Environmental Performance Index |
| EU | European Union |
| FAHP | Fuzzy Analytic Hierarchy Process |
| FTOPSIS | Fuzzy Technique for Order of Preference by Similarity to Ideal Solution |
| FWASPAS | Fuzzy Weighted Aggregated Sum-Product Assessment |
| GDP | Gross Domestic Products |
| GHG | Greenhouse Gas Emissions |
| GVA | Gross Value Added |
| HDI | Human Development Index |
| IO | Input-Oriented |
| LCOE | Levelized Cost of Electricity |
| MI | Malmquist Index |
| MPI | Malmquist Productivity Index |
| NDEA | Network Data Envelopment Analysis |
| OLS | Ordinary Least Squares |
| OO | Output-Oriented |
| PLS-SEM | Partial Least Squares Structural Equation Modelling |
| PV | Photovoltaics |
| RE, REs | Renewable(s) |
| SBM | Slack Based Model |
| SFA | Stochastic Frontier Analysis |
| SOx | Sulfur Oxides |
| VRS (BCC) | Variable Returns to Scale DEA Models |
References
- Wiatros-Motyka, M. Global Electricity Review 2023. Ember. 2023. Available online: https://ember-energy.org/app/uploads/2024/11/Global-Electricity-Review-2023.pdf (accessed on 1 February 2025).
- Zappa, W.; Van Den Broek, M. Analysing the Potential of Integrating Wind and Solar Power in Europe Using Spatial Optimisation under Various Scenarios. Renew. Sustain. Energy Rev. 2018, 94, 1192–1216. [Google Scholar] [CrossRef]
- Budak, G.; Chen, X.; Celik, S.; Ozturk, B. A Systematic Approach for Assessment of Renewable Energy Using Analytic Hierarchy Process. Energy Sustain. Soc. 2019, 9, 37. [Google Scholar] [CrossRef]
- Kara, S.E.; Ibrahim, M.D.; Daneshvar, S. Dual Efficiency and Productivity Analysis of Renewable Energy Alternatives of OECD Countries. Sustainability 2021, 13, 7401. [Google Scholar] [CrossRef]
- Eerens, H.; de Visser, E. Wind-Energy Potential in Europe 2020-2030. ETC/ACC Technical Paper. The European Topic Centre on Air and Climate Change. 2008. Available online: https://www.eionet.europa.eu/etcs/etc-cme/products/etc-cme-reports/etcacc_tp_2008_6_ren_wind_energy_europe-1 (accessed on 1 February 2025).
- Hoogwijk, M.; De Vries, B.; Turkenburg, W. Assessment of the Global and Regional Geographical, Technical and Economic Potential of Onshore Wind Energy. Energy Econ. 2004, 26, 889–919. [Google Scholar] [CrossRef]
- Li, W.; Ji, Z.; Dong, F. Global Renewable Energy Power Generation Efficiency Evaluation and Influencing Factors Analysis. Sustain. Prod. Consum. 2022, 33, 438–453. [Google Scholar] [CrossRef]
- Perpiña Castillo, C.; Silva, F.B.E.; Lavalle, C. An Assessment of the Regional Potential for Solar Power Generation in EU-28. Energy Policy 2016, 88, 86–99. [Google Scholar] [CrossRef]
- Prăvălie, R.; Patriche, C.; Bandoc, G. Spatial Assessment of Solar Energy Potential at Global Scale. A Geographical Approach. J. Clean. Prod. 2019, 209, 692–721. [Google Scholar] [CrossRef]
- Suri, M.; Betak, J.; Rosina, K.; Chrkav, D.; Suriova, N.; Cebecauer, T.; Caltik, M.; Erdelyi, B. Global Photovoltaic Power Potential by Country; Energy Sector Management Assistance Program (ESMAP); World Bank Group: Washington, DC, USA, 2020. [Google Scholar]
- Kao, C. Network Data Envelopment Analysis; International Series in Operations Research & Management Science; Springer International Publishing: Cham, Switzerland, 2017; Volume 240, ISBN 978-3-319-31716-8. [Google Scholar]
- Chodakowska, E.; Nazarko, J. Network DEA Models for Evaluating Couriers and Messengers. Procedia Eng. 2017, 182, 106–111. [Google Scholar] [CrossRef]
- ISO 9000:2015; Quality Management Systems — Fundamentals and Vocabulary. ISO: Geneva, Switzerland, 2015.
- Emrouznejad, A.; Marra, M.; Yang, G.; Michali, M. Eco-Efficiency Considering NetZero and Data Envelopment Analysis: A Critical Literature Review. IMA J. Manag. Math. 2023, 34, 599–632. [Google Scholar] [CrossRef]
- Tsaples, G.; Papathanasiou, J. Data Envelopment Analysis and the Concept of Sustainability: A Review and Analysis of the Literature. Renew. Sustain. Energy Rev. 2021, 138, 110664. [Google Scholar] [CrossRef]
- Zhou, H.; Yang, Y.; Chen, Y.; Zhu, J. Data Envelopment Analysis Application in Sustainability: The Origins, Development and Future Directions. Eur. J. Oper. Res. 2018, 264, 1–16. [Google Scholar] [CrossRef]
- Chodakowska, E.; Nazarko, J. Assessing the Performance of Sustainable Development Goals of EU Countries: Hard and Soft Data Integration. Energies 2020, 13, 3439. [Google Scholar] [CrossRef]
- Ginevičius, R.; Nazarko, J.; Gedvilaitė, D.; Dacko-Pikiewicz, Z. Quantifying the Economic Development Dynamics of a Country Based on the Lorenz Curve. EM Ekon. Manag. 2021, 24, 55–65. [Google Scholar] [CrossRef]
- Omle, I.; Kovács, E.; Bolló, B. Applying Recent Efficient Numerical Methods for Long-Term Simulations of Heat Transfer in Walls to Optimize Thermal Insulation. Results Eng. 2023, 20, 101476. [Google Scholar] [CrossRef]
- Nazarko, J.; Chodakowska, E.; Nazarko, Ł. Evaluating the Transition of the European Union Member States towards a Circular Economy. Energies 2022, 15, 3924. [Google Scholar] [CrossRef]
- Tucki, K.; Krzywonos, M.; Orynycz, O.; Kupczyk, A.; Bączyk, A.; Wielewska, I. Analysis of the Possibility of Fulfilling the Paris Agreement by the Visegrad Group Countries. Sustainability 2021, 13, 8826. [Google Scholar] [CrossRef]
- Nazarko, L.; Melnikas, B. Operationalising Responsible Research and Innovation—Tools for Enterprises. Eng. Manag. Prod. Serv. 2019, 11, 21–28. [Google Scholar] [CrossRef]
- Nazarko, Ł. Responsible Research and Innovation in Industry: From Ethical Acceptability to Social Desirability. In Corporate Social Responsibility in the Manufacturing and Services Sectors; Golinska-Dawson, P., Spychała, M., Eds.; EcoProduction; Springer: Berlin/Heidelberg, Germany, 2019; pp. 127–138. ISBN 978-3-642-33850-2. [Google Scholar]
- Mardani, A.; Zavadskas, E.K.; Streimikiene, D.; Jusoh, A.; Khoshnoudi, M. A Comprehensive Review of Data Envelopment Analysis (DEA) Approach in Energy Efficiency. Renew. Sustain. Energy Rev. 2017, 70, 1298–1322. [Google Scholar] [CrossRef]
- Zeng, Y.; Guo, W.; Zhang, F. Comprehensive Evaluation of Renewable Energy Technical Plans Based on Data Envelopment Analysis. Energy Procedia 2019, 158, 3583–3588. [Google Scholar] [CrossRef]
- Wang, Q.; Jiang, F.; Li, R. Assessing Supply Chain Greenness from the Perspective of Embodied Renewable Energy—A Data Envelopment Analysis Using Multi-Regional Input-Output Analysis. Renew. Energy 2022, 189, 1292–1305. [Google Scholar] [CrossRef]
- Papież, M.; Śmiech, S.; Frodyma, K. Factors Affecting the Efficiency of Wind Power in the European Union Countries. Energy Policy 2019, 132, 965–977. [Google Scholar] [CrossRef]
- Liu, Y.; Alnafrah, I.; Zhou, Y. A Systemic Efficiency Measurement of Resource Management and Sustainable Practices: A Network Bias-Corrected DEA Assessment of OECD Countries. Resour. Policy 2024, 90, 104771. [Google Scholar] [CrossRef]
- Mavi, N.K.; Mavi, R.K. Energy and Environmental Efficiency of OECD Countries in the Context of the Circular Economy: Common Weight Analysis for Malmquist Productivity Index. J. Environ. Manag. 2019, 247, 651–661. [Google Scholar] [CrossRef] [PubMed]
- Almeida Neves, S.; Cardoso Marques, A.; Moutinho, V. Two-Stage DEA Model to Evaluate Technical Efficiency on Deployment of Battery Electric Vehicles in the EU Countries. Transp. Res. Part Transp. Environ. 2020, 86, 102489. [Google Scholar] [CrossRef]
- Jamshidi, N.; Meybodi, M.E. Dynamic Spillover Effects of Renewable Energy Efficiency in the European Countries. Environ. Sci. Pollut. Res. 2024, 31, 11698–11715. [Google Scholar] [CrossRef]
- Wang, C.-N.; Nguyen, T.T.-V.; Chiang, C.-C.; Le, H.-D. Evaluating Renewable Energy Consumption Efficiency and Impact Factors in Asia-Pacific Economic Cooperation Countries: A New Approach of DEA with Undesirable Output Model. Renew. Energy 2024, 227, 120586. [Google Scholar] [CrossRef]
- Zhang, T.; Nakagawa, K.; Matsumoto, K. Evaluating Solar Photovoltaic Power Efficiency Based on Economic Dimensions for 26 Countries Using a Three-Stage Data Envelopment Analysis. Appl. Energy 2023, 335, 120714. [Google Scholar] [CrossRef]
- Wang, C.-N.; Nguyen, N.-A.-T.; Dang, T.-T.; Wang, J.-W. Assessing Asian Economies Renewable Energy Consumption Efficiency Using DEA with Undesirable Output. Comput. Syst. Sci. Eng. 2022, 43, 347–362. [Google Scholar] [CrossRef]
- Wang, C.-N.; Dang, T.-T.; Tibo, H.; Duong, D.-H. Assessing Renewable Energy Production Capabilities Using DEA Window and Fuzzy TOPSIS Model. Symmetry 2021, 13, 334. [Google Scholar] [CrossRef]
- Rodríguez-Lozano, G.; Cifuentes-Yate, M. Efficiency Assessment of Electricity Generation from Renewable and Non-renewable Energy Sources Using Data Envelopment Analysis. Int. J. Energy Res. 2021, 45, 19597–19610. [Google Scholar] [CrossRef]
- Koçak, E.; Kınacı, H.; Shehzad, K. Environmental Efficiency of Disaggregated Energy R&D Expenditures in OECD: A Bootstrap DEA Approach. Environ. Sci. Pollut. Res. 2021, 28, 19381–19390. [Google Scholar] [CrossRef]
- Maradin, D.; Cerović, L.; Šegota, A. The Efficiency of Wind Power Companies in Electricity Generation. Energy Strategy Rev. 2021, 37, 100708. [Google Scholar] [CrossRef]
- Akbari, N.; Jones, D.; Treloar, R. A Cross-European Efficiency Assessment of Offshore Wind Farms: A DEA Approach. Renew. Energy 2020, 151, 1186–1195. [Google Scholar] [CrossRef]
- Wang, C.-N.; Hsu, H.-P.; Wang, Y.-H.; Nguyen, T.-T. Eco-Efficiency Assessment for Some European Countries Using Slacks-Based Measure Data Envelopment Analysis. Appl. Sci. 2020, 10, 1760. [Google Scholar] [CrossRef]
- Tenente, M.; Henriques, C.; Da Silva, P.P. Eco-Efficiency Assessment of the Electricity Sector: Evidence from 28 European Union Countries. Econ. Anal. Policy 2020, 66, 293–314. [Google Scholar] [CrossRef]
- Rakshit, I.; Mandal, S.K. A Global Level Analysis of Environmental Energy Efficiency: An Application of Data Envelopment Analysis. Energy Effic. 2020, 13, 889–909. [Google Scholar] [CrossRef]
- Wang, C.-N.; Tibo, H.; Duong, D.H. Renewable Energy Utilization Analysis of Highly and Newly Industrialized Countries Using an Undesirable Output Model. Energies 2020, 13, 2629. [Google Scholar] [CrossRef]
- Jalali Sepehr, M.; Haeri, A.; Ghousi, R. A Cross-Country Evaluation of Energy Efficiency from the Sustainable Development Perspective. Int. J. Energy Sect. Manag. 2019, 13, 991–1019. [Google Scholar] [CrossRef]
- Mezősi, A.; Szabó, L.; Szabó, S. Cost-Efficiency Benchmarking of European Renewable Electricity Support Schemes. Renew. Sustain. Energy Rev. 2018, 98, 217–226. [Google Scholar] [CrossRef]
- Camioto, F.D.C.; Mariano, E.B.; Santana, N.B.; Yamashita, B.D.; Rebelatto, D.A.D.N. Renewable and Sustainable Energy Efficiency: An Analysis of Latin American Countries. Environ. Prog. Sustain. Energy 2018, 37, 2116–2123. [Google Scholar] [CrossRef]
- Robaina, M.; Dias, M.F. Energy Efficiency and Its Determinants: An Empirical Analysis. In Proceedings of the 2018 15th International Conference on the European Energy Market (EEM), Lodz, Poland, 27–29 June 2018; IEEE: New York, NY, USA, 2018; pp. 1–5. [Google Scholar]
- Gökgöz, F.; Güvercin, M.T. Energy Security and Renewable Energy Efficiency in EU. Renew. Sustain. Energy Rev. 2018, 96, 226–239. [Google Scholar] [CrossRef]
- Li, Y.; Chiu, Y.; Lin, T.-Y. Energy and Environmental Efficiency in Different Chinese Regions. Sustainability 2019, 11, 1216. [Google Scholar] [CrossRef]
- Tian, Z.; Xiao, Q.-W.; Ren, F.-R. Assessing the Efficiency and CO2 Reduction Performance of China’s Regional Wind Power Industry Using an Epsilon-Based Measure Model. Front. Energy Res. 2021, 9, 672183. [Google Scholar] [CrossRef]
- Yi, Q.G.; Chen, H.T.; Li, X.; Ma, C. Comprehensive Assessment of Regional Sustainability via Emergy, Green GDP And DEA: A Case Study in Guizhou Province, China. Appl. Ecol. Environ. Res. 2021, 19, 597–609. [Google Scholar] [CrossRef]
- Jha, A.P.; Singh, S.K. The Dynamics of Indian Energy Mix: A Two-Phase Analysis. Benchmarking Int. J. 2022, 29, 1162–1184. [Google Scholar] [CrossRef]
- Cayir Ervural, B.; Zaim, S.; Delen, D. A Two-Stage Analytical Approach to Assess Sustainable Energy Efficiency. Energy 2018, 164, 822–836. [Google Scholar] [CrossRef]
- Wang, C.-N.; Quynh Le, T.; Dang, T.-T. Measuring Operating Efficiency of Solar Photovoltaic Power Plants Using Epsilon-Based Measure Model: A Case Study in Vietnam. Meas. Control 2023, 56, 874–890. [Google Scholar] [CrossRef]
- Mohd Chachuli, F.S.; Ahmad Ludin, N.; Mat, S.; Sopian, K. Renewable Energy Performance Evaluation Studies Using the Data Envelopment Analysis (DEA): A Systematic Review. J. Renew. Sustain. Energy 2020, 12, 062701. [Google Scholar] [CrossRef]
- Sargent, A.; Broadwater, R.P.; Thompson, J.C.; Nazarko, J. Estimation of Diversity and kWHR-to-Peak-kW Factors from Load Research Data. IEEE Trans. Power Syst. 1994, 9, 1450–1456. [Google Scholar] [CrossRef]
- Chen, Z.; Kourtzidis, S.; Tzeremes, P.; Tzeremes, N. A Robust Network DEA Model for Sustainability Assessment: An Application to Chinese Provinces. Oper. Res. 2022, 22, 235–262. [Google Scholar] [CrossRef]
- Xie, B.-C.; Jiang, J.; Chen, X.-P. Policy, Technical Change, and Environmental Efficiency: Evidence of China’s Power System from Dynamic and Spatial Perspective. J. Environ. Manag. 2022, 323, 116232. [Google Scholar] [CrossRef] [PubMed]
- Mehmood, K.; Iftikhar, Y.; Chen, S.; Amin, S.; Manzoor, A.; Pan, J. Analysis of Inter-Temporal Change in the Energy and CO2 Emissions Efficiency of Economies: A Two Divisional Network DEA Approach. Energies 2020, 13, 3300. [Google Scholar] [CrossRef]
- Li, Z.; Wei, Y.; Li, Y.; Wang, Z.; Zhang, J. China’s Provincial Eco-Efficiency and Its Driving Factors—Based on Network DEA and PLS-SEM Method. Int. J. Environ. Res. Public Health 2020, 17, 8702. [Google Scholar] [CrossRef] [PubMed]
- Tavassoli, M.; Ketabi, S.; Ghandehari, M. Developing a Network DEA Model for Sustainability Analysis of Iran’s Electricity Distribution Network. Int. J. Electr. Power Energy Syst. 2020, 122, 106187. [Google Scholar] [CrossRef]
- Feng, Y.; Yu, X.; Chiu, Y.; Chang, T.-H. Dynamic Linkages among Economic Development, Energy Consumption, Environment and Health Sustainable in EU and Non-EU Countries. Healthcare 2019, 7, 138. [Google Scholar] [CrossRef] [PubMed]
- Feng, Y.; Yu, X.; Chiu, Y.-H.; Lin, T.-Y. Energy Efficiency and Health Efficiency of Old and New EU Member States. Front. Public Health 2020, 8, 168. [Google Scholar] [CrossRef]
- Hsieh, J.; Lu, C.; Li, Y.; Chiu, Y.; Xu, Y. Environmental Assessment of European Union Countries. Energies 2019, 12, 295. [Google Scholar] [CrossRef]
- Li, Y.; Chiu, Y.; Lin, T.-Y. Research on New and Traditional Energy Sources in OECD Countries. Int. J. Environ. Res. Public Health 2019, 16, 1122. [Google Scholar] [CrossRef] [PubMed]
- Iftikhar, Y.; Wang, Z.; Zhang, B.; Wang, B. Energy and CO2 Emissions Efficiency of Major Economies: A Network DEA Approach. Energy 2018, 147, 197–207. [Google Scholar] [CrossRef]
- Yan, Q.; Wan, Y.; Yuan, J.; Yin, J.; Baležentis, T.; Streimikiene, D. Economic and Technical Efficiency of the Biomass Industry in China: A Network Data Envelopment Analysis Model Involving Externalities. Energies 2017, 10, 1418. [Google Scholar] [CrossRef]
- Kamali Saraji, M.; Streimikiene, D.; Suresh, V. A Novel Two-Stage Multicriteria Decision-Making Approach for Selecting Solar Farm Sites: A Case Study. J. Clean. Prod. 2024, 444, 141198. [Google Scholar] [CrossRef]
- Ogunrinde, O.; Shittu, E. Benchmarking Performance of Photovoltaic Power Plants in Multiple Periods. Environ. Syst. Decis. 2023, 43, 489–503. [Google Scholar] [CrossRef]
- Dong, F.; Yang, Y.; Li, W. Analysis of Dynamic Renewable Energy Generation Efficiency and Its Influencing Factors Considering Cooperation and Competition between Decision-Making Units: A Case Study of China. Environ. Dev. Sustain. 2023. [Google Scholar] [CrossRef]
- Daoudi, M.; Ait Sidi Mou, A.; Idrissi, A.; Ihoume, I.; Arbaoui, N.; Benchrifa, M. New Approach to Prioritize Wind Farm Sites by Data Envelopment Analysis Method: A Case Study. Ocean Eng. 2023, 271, 113820. [Google Scholar] [CrossRef]
- Wang, C.-N.; Nguyen, H.-P.; Wang, J.-W. A Two-Stage Approach of DEA and AHP in Selecting Optimal Wind Power Plants. IEEE Trans. Eng. Manag. 2023, 70, 4299–4309. [Google Scholar] [CrossRef]
- Mostafaeipour, A.; Qolipour, M.; Rezaei, M.; Jahangiri, M.; Goli, A.; Sedaghat, A. A Novel Integrated Approach for Ranking Solar Energy Location Planning: A Case Study. J. Eng. Des. Technol. 2021, 19, 698–720. [Google Scholar] [CrossRef]
- Siampour, L.; Vahdatpour, S.; Jahangiri, M.; Mostafaeipour, A.; Goli, A.; Shamsabadi, A.A.; Atabani, A. Techno-Enviro Assessment and Ranking of Turkey for Use of Home-Scale Solar Water Heaters. Sustain. Energy Technol. Assess. 2021, 43, 100948. [Google Scholar] [CrossRef]
- Wang, C.-N.; Nguyen, N.-A.-T.; Dang, T.-T.; Bayer, J. A Two-Stage Multiple Criteria Decision Making for Site Selection of Solar Photovoltaic (PV) Power Plant: A Case Study in Taiwan. IEEE Access 2021, 9, 75509–75525. [Google Scholar] [CrossRef]
- Mariano, J.; Liao, M.; Ay, H. Performance Evaluation of Solar PV Power Plants in Taiwan Using Data Envelopment Analysis. Energies 2021, 14, 4498. [Google Scholar] [CrossRef]
- Wang, C.-N.; Dang, T.-T.; Nguyen, N.-A.-T. Location Optimization of Wind Plants Using DEA and Fuzzy Multi-Criteria Decision Making: A Case Study in Vietnam. IEEE Access 2021, 9, 116265–116285. [Google Scholar] [CrossRef]
- Khanjarpanah, H.; Jabbarzadeh, A.; Seyedhosseini, S.M. A Novel Multi-Period Double Frontier Network DEA to Sustainable Location Optimization of Hybrid Wind-Photovoltaic Power Plant with Real Application. Energy Convers. Manag. 2018, 159, 175–188. [Google Scholar] [CrossRef]
- Charnes, A.; Cooper, W.W.; Rhodes, E. Measuring the Efficiency of Decision Making Units. Eur. J. Oper. Res. 1978, 2, 429–444. [Google Scholar] [CrossRef]
- Farrell, M.J. The Measurement of Productive Efficiency. J. R. Stat. Soc. Ser. Gen. 1957, 120, 253. [Google Scholar] [CrossRef]
- Färe, R.; Grosskopf, S. Intertemporal Production Frontiers: With Dynamic DEA; Springer: Dordrecht, The Netherlands, 1996; ISBN 978-94-010-7309-7. [Google Scholar]
- Färe, R.; Grosskopf, S. Network DEA. Socioecon. Plann. Sci. 2000, 34, 35–49. [Google Scholar] [CrossRef]
- Charnes, A.; Cooper, W.W.; Golany, B.; Halek, R.; Klopp, G.; Schmitz, E.; Thomas, D. Two-Phase Data Envelopment Analysis Approaches to Policy Evaluation and Management of Army Recruiting Activities: Tradeoffs Between Joint Services and Army Advertising; The University of Texas at Austin. Center for Cybernetic Studies: Austin, TX, USA, 1986. [Google Scholar]
- Färe, R.; Whittaker, G. An Intermediate Input Model of Dairy Production Using Complex Survey Data. J. Agric. Econ. 1995, 46, 201–213. [Google Scholar] [CrossRef]
- Tone, K.; Tsutsui, M. Network DEA: A Slacks-Based Measure Approach. Eur. J. Oper. Res. 2009, 197, 243–252. [Google Scholar] [CrossRef]
- Zhu, J.; Cook, W.D. Modeling Data Irregularities and Structural Complexities in Data Envelopment Analysis; Springer: New York, NY, USA, 2010; ISBN 978-0-387-71607-7. [Google Scholar]
- Gavurova, B.; Kocisova, K.; Sopko, J. Health System Efficiency in OECD Countries: Dynamic Network DEA Approach. Health Econ. Rev. 2021, 11, 40. [Google Scholar] [CrossRef] [PubMed]
- Maleki, S.; Ebrahimnejad, A.; Kazemi Matin, R. Pareto–Koopmans Efficiency in Two-stage Network Data Envelopment Analysis in the Presence of Undesirable Intermediate Products and Nondiscretionary Factors. Expert Syst. 2019, 36, e12393. [Google Scholar] [CrossRef]
- Zhou, Z.; Lin, L.; Xiao, H.; Ma, C.; Wu, S. Stochastic Network DEA Models for Two-Stage Systems under the Centralized Control Organization Mechanism. Comput. Ind. Eng. 2017, 110, 404–412. [Google Scholar] [CrossRef]
- Tavassoli, M.; Fathi, A.; Saen, R.F. Assessing the Sustainable Supply Chains of Tomato Paste by Fuzzy Double Frontier Network DEA Model. Ann. Oper. Res. 2021. [Google Scholar] [CrossRef]
- Chodakowska, E.; Nazarko, J. Hybrid Rough Set and Data Envelopment Analysis Approach to Technology Prioritisation. Technol. Econ. Dev. Econ. 2020, 26, 885–908. [Google Scholar] [CrossRef]
- Xu, Y.; Zhang, H.; Cheng, K.; Zhang, Z.; Chen, Y. Efficiency Measurement in Multi-Period Network DEA Model with Feedback. Expert Syst. Appl. 2021, 175, 114815. [Google Scholar] [CrossRef]
- Cook, W.D.; Zhu, J. (Eds.) Data Envelopment Analysis: A Handbook on the Modeling of Internal Structures and Networks; International Series in Operations Research & Management Science; Springer: Boston, MA, USA, 2014; Volume 208, ISBN 978-1-4899-8067-0. [Google Scholar]
- Tone, K.; Tsutsui, M. Dynamic DEA with Network Structure: A Slacks-Based Measure Approach. Omega 2014, 42, 124–131. [Google Scholar] [CrossRef]
- Khezrimotlagh, D.; Kaffash, S.; Zhu, J.U.S. Airline Mergers’ Performance and Productivity Change. J. Air Transp. Manag. 2022, 102, 102226. [Google Scholar] [CrossRef]
- Emrouznejad, A.; Amin, G.R. DEA Models for Ratio Data: Convexity Consideration. Appl. Math. Model. 2009, 33, 486–498. [Google Scholar] [CrossRef]
- Orynycz, O.; Ruchała, P.; Tucki, K.; Wasiak, A.; Zöldy, M. A Theoretical Analysis of Meteorological Data as a Road towards Optimizing Wind Energy Generation. Energies 2024, 17, 2765. [Google Scholar] [CrossRef]
- Global Wind Atlas 3.0 2023. Available online: https://globalwindatlas.info/en/ (accessed on 1 September 2024).
- Global Photovoltaic Power Potential by Country 2023. Available online: http://documents.worldbank.org/curated/en/466331592817725242/Global-Photovoltaic-Power-Potential-by-Country (accessed on 1 September 2024).
- The United Nations World Population Prospects 2024. Available online: https://population.un.org/wpp/ (accessed on 1 September 2024).
- The World Bank Data 2021. Available online: https://data.worldbank.org/indicator/AG.LND.TOTL.K2 (accessed on 1 September 2024).
- Renewable Capacity Statistics 2023; International Renewable Energy Agency: Masdar City, Abu Dhabi, 2023.
- Our World in Data, Wind Energy Generation 2023. Available online: https://ourworldindata.org/grapher/wind-energy-consumption-vs-installed-wind-energy-capacity (accessed on 1 September 2024).
- Our World in Data, Solar Power Generation 2023. Available online: https://ourworldindata.org/grapher/solar-energy-consumption (accessed on 1 September 2024).
- Li, S.-J.; Chang, T.-H.; Chang, S.-L. The Policy Effectiveness of Economic Instruments for the Photovoltaic and Wind Power Development in the European Union. Renew. Energy 2017, 101, 660–666. [Google Scholar] [CrossRef]
- García-Álvarez, M.T.; Cabeza-García, L.; Soares, I. Assessment of Energy Policies to Promote Photovoltaic Generation in the European Union. Energy 2018, 151, 864–874. [Google Scholar] [CrossRef]
- Bokun, K.; Nazarko, J. Smart Villages Concept—A Bibliometric Analysis and State-of-the-Art Literature Review. Prog. Plan. 2023, 175, 100765. [Google Scholar] [CrossRef]
- Nazarko, L. Responsible research and innovation—A conceptual contribution to theory and practice of technology management. Bus. Theor. Pract. 2019, 20, 342–351. [Google Scholar] [CrossRef]
- Chodakowska, E.; Polecki, A. Cross-National Comparison of Technology Innovation Capabilities in Automation and Robotics. Pomiary Autom. Robot. 2024, 28, 5–20. [Google Scholar] [CrossRef]
Disclaimer/Publisher’s Note: The statements, opinions and data contained in all publfications are solely those of the individual author(s) and contributor(s) and not of MDPI and/or the editor(s). MDPI and/or the editor(s) disclaim responsibility for any injury to people or property resulting from any ideas, methods, instructions or products referred to in the content. |








| Work | DMU | DEA Model | Analysis Criteria |
|---|---|---|---|
| [31] | 25 European countries from 2005 and 2020 | Two-stage: DEA and regression | Inputs: renewable energy consumption, capital, labor Outputs: GDP Influencing factors: GDP, energy price, renewable energy consumption, information and communications technology, industrial value added |
| [32] | 21 APEC member countries from 2011 to 2020 | DEA with undesirable output | Inputs: foreign direct investment, total energy consumption, total renewable energy capacity Outputs: GDP Undesirables: GHG |
| [33] | 26 countries from 2000 to 2020 | Three-stage: DEA-SFA-DEA | Inputs: capital, labor, PV installed capacity, PV patents Output: PV generation Environment variables: proportion of the urban population, GDP per capita, CO2 |
| [34] | 14 Asian countries in 2019 | DEA with undesirable output | Inputs: labor, energy consumption, the share of renewable energy, and total renewable energy capacity Outputs: CO2 and GDP |
| [7] | 36 countries from 2009 to 2018 | Super efficiency DEA, MI, and random forest regression model to analyze the influence of the selected factors | Inputs: five types of renewable energy installed capacity Outputs: renewable energy power generation Influencing factors: population size and density, economic level, urbanization rate, production level, industrialization level and structure, electricity and energy structure, carbon emissions, and technology level |
| [35] | 42 countries 2010–2019 | DEA window and FTOPSIS | Inputs: population, total energy consumption, and total renewable energy capacity Outputs: GDP, total energy production FTOPSIS: availability of resource, energy security, technological infrastructure, economic stability, social acceptance |
| [36] | 126 countries from 2000 to 2016 | BCC DEA | Inputs: renewable and non-renewable energy sources generation capacity Outputs: power generation, CO2 emissions avoided |
| [37] | 26 OECD countries | Bootstrap IO CCR DEA | Inputs: six different energy R&D expenditure indicators in 2015 Outputs: CO2 emission per capita |
| [4] | Selected OECD countries in 2012, 2014, and 2016 | OO BCC DEA and MI | Inputs: investment in RE sources Outputs: electricity generation, EPI, the proportion of the population with access to clean fuels and technology for cooking |
| [38] | 78 wind power companies in 12 selected European countries in 2014 | IO SBM VRS-DEA | Inputs: wind turbine power and number, fuel, tangible fixed assets, receivables and other assets, cash and cash equivalents Outputs: electricity production, EBITDA |
| [39] | 71 offshore wind farms across 5 countries in 2018 | CCR DEA with sensitivity analysis | Inputs: number of turbines, cost, distance to shore, area Outputs: connectivity, generated electricity, water depth |
| [40] | 17 European countries from 2013 to 2017 | SBM DEA with undesirable outputs model and MI | Inputs: energy consumption, labor productivity, the share of renewable energy in energy consumption, gross capital formation productivity Outputs: GDP per capita, CO2 per capita |
| [41] | 28 EU countries 2010 and 2014. | DEA Directional Distance Function model | Inputs: labor, capital, GHG, acidifying gases, ozone precursors Outputs: GVA |
| [42] | 149 economies categorized into low-, middle- and high-income from 1993 to 2013 | IO and OO DEA with and without undesirable output and directional distance function | Inputs: labor, capital, energy Outputs: GDP, CO2 |
| [43] | 17 countries highly and newly industrialized from 2013 to 2018 | DEA with undesirables preceded by Grey Prediction Model | Inputs: total renewable energy capacity, labor force, total energy consumption Outputs: CO2, GDP |
| [44] | 132 countries from 2007 to 2014 | MinSum DEA | Inputs: GDP per unit of energy use, renewable energy consumption Outputs: GDP, CO2 emissions per GDP |
| [45] | 25 EU member states and Norway from 2000 to 2015 | CCR DEA | Inputs: PV fee, wind fee, LCOE PV, LCOE wind Outputs: PV share, wind share, REs share |
| [46] | 156 Latin American countries from 1991 to 2013 | SBM VRS DEA with window analysis | Inputs: labor, capital, energy consumption Outputs: GDP, CO2 |
| [47] | 20 of the largest producers of renewable energy from 2009 to 2013 | BCC DEA and truncated regression | Input: primary energy consumption, capital, labor Output: GDP Regression: renewable energy consumption, GVA per capita, population density |
| [48] | 14 EU countries from 2004 to 2014 | DEA and sequential Malmquist-Luenberger index | Input: deployed renewables Output: increase in the share of RE in total electricity generation Undesirable outputs: coal products, oil products, and natural gas |
| Work | DMU | DEA Model | Analysis Criteria |
|---|---|---|---|
| [57] | 30 Chinese regions during 2000–2012 | multiplicative two-stage relational NDEA | capital, labor, energy, GDP, CO2, SO2 |
| [58] | 30 Chinese provinces from 2011 to 2020 | DNSBM-DDF model and global MPI | feed-in tariff, renewable portfolio standard CO2, SO2, NOx, and line loss |
| [52] | 18 Indian states from 2008 to 2016 | two phases consisting of two stages: serial NDEA and regression | renewable and conventional capacities, generation from RES and conventional sources, length of transmission lines, technical and commercial losses, agricultural-, residential-, and industrial consumption, state GDP per capita |
| [59] | Iran’s electricity distribution network | two-stage NDEA | labor, capital, energy consumption, GDP, CO2, the total population |
| [60] | 30 Chinese regions in 1996–2015 | two-stage serial NDEA and PLS-SEM | labor, asset, energy consumption, land used, water, GDP, wastewater, exhaust, SO2, investment in pollution control, solid waste utilization, wastewater treatment, greening rate |
| [61] | Iran’s electricity distribution network | serial and parallel NDEA | fuel, staff, import, export, sale to big industry, electricity generated, electricity distributed, loss in transmission, purchase, network length, service area, sale to customers |
| [62] | 8 EU and 53 non-EU countries from 2010 to 2014 | two-stage meta-frontier dynamic serial NDEA | labor, renewable and non-renewable energy consumption, assets, GDP, health expenditure, survival rate, tuberculosis rate, CO2, PM2.5, mortality rates |
| [63] | 15 old and 13 new EU states from 2010 to 2014 | two-stage meta-frontier dynamic serial NDEA | labor, renewable and non-renewable energy consumption, assets, GDP, health expenditure, survival rate, tuberculosis rate, CO2, PM2.5, mortality rates |
| [64] | 28 EU countries 2006–2013 | dynamic DEA | labor, capital, energy consumption, GHE, SOx, GDP, GCF |
| [65] | 35 OECD countries | dynamic SBM DEA | labor, energy consumption, new energy consumption, GDP, CO2, PM2.5, fixed assets |
| [66] | major economies | SBM two stages NDEA | energy resources, economic outputs, energy consumption, CO2 |
| [67] | 31 Chinese provinces in 2012 | NDEA model with undesirable outputs | operational cost, forest residues, organic waste, rural power, fertilizers, agricultural machinery, commercial and residential power, agricultural production, rural power, pollutants, agricultural and straw residues |
| Work | DMU | DEA Model | Analysis Criteria |
|---|---|---|---|
| [68] | 39 potential cities in the Baltic region | DEA and TOPSIS | temperature, wind speed, humidity, precipitation, and air pressure as inputs and sunshine hours, elevation, and irradiation, and six evaluation criteria to prioritize the locations |
| [69] | 3 PV power plants in multiple periods | multi-period DEA | solar insolation, daily sun-hours, temperature, installation cost, installed capacity |
| [70] | China’s provinces | DEA cross-efficiency | cumulative installed capacity, annual equipment utilization hours, electricity consumption of power generation companies, electricity generation |
| [71] | 14 offshore sites of the Moroccan seas for 2016–2020 | DEAM (supper-efficiency DEA model) | water depth, distance to coast, accessibility, maximum wave height, maximum wind speed, wind power density |
| [72] | 12 locations in Vietnam | DEA (CCR-I, CCR-O, BCC-I, BCC-O, SBM-I-O, SMB-O-C) and AHP | DEA: frequency of natural disasters, land cost, wind blow, population, quantity of proper geological and topographical area AHP: location characteristic, technical, economic, social, environmental |
| [73] | 10 provinces in Canada | hybrid approach composed of data (DEA), balanced scorecard (BSC) and game theory (GT) | cost of construction, income, electricity generated by the plant and electricity generated by the panel, amount of pollution |
| [74] | 2 types of solar water heaters for 45 stations in Turkey | BCC and additive DEA model | total annual irradiation, diffuse radiation percentage, cold water temperature, total solar fraction, solar contribution to heating, CO2 emissions avoided, boiler energy to heating and to DHW |
| [75] | 20 potential cities and counties of Taiwan | DEA (CCR-I, CCR-O, BCC-I, BCC-O, SBM-I-O, SMB-O-C) and AHP | DEA: temperature, wind speed, humidity, precipitation, air pressure, sunshine hours, insolation AHP: site characteristics, technical, economic, social, environmental |
| [76] | solar PV power plants in Taiwan | epsilon-based DEA | surface area, number of modules, ambient temperature, plant capacity, PV module temperature, irradiation, generated energy |
| [77] | 20 potential provinces in Vietnam | DEA, FAHP, FWASPAS | DEA: land cost, intensity of natural disasters occurrence, wind power density, quantity of proper geological areas, population FAHP: technical, economic, social/political, environmental |
| [27] | 27 EU countries | two-stage bias-corrected DEA | installed wind power capacity, average wind power density, wind-generated electricity, and additional aspects: environmental, economic, and energy security |
| [78] | 22 Iran provinces | double frontier (optimistic and pessimistic) parallel single- and multi-period NDEA | land cost, HDI, distance to high consumptions province, wind speed, population, electricity consumptions, sunny hours, above sea level |
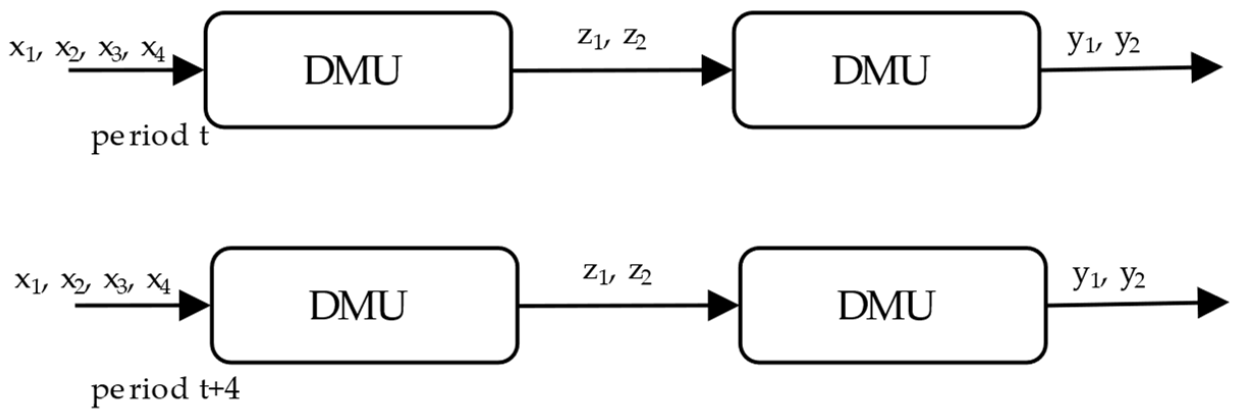
| Variable | Description, Source | Unit, Year | Source |
|---|---|---|---|
| x1 | Mean wind speed | m/s (data for 10% windiest area) | [98] |
| x2 | GHI | kWh/m2/day | [99] |
| x3 | Population | million people, 2018–2022 | [100] |
| x4 | Land area | square thousand km, 2021 | [101] |
| z1 | Wind energy capacity | MW, 2018, 2022 | [102] |
| z2 | Solar PV capacity | MW, 2018–2022 | [102] |
| y1 | Wind energy generation | GWh per year, 2018–2022 | [103] |
| y2 | Solar power generation | TWh per year, 2018–2022 | [104] |
| v1 | Wind capacity per capita | W | |
| v2 | PV capacity per capita | W | |
| v3 | Wind energy generation per capita | kW | |
| v4 | Solar power generation per capita | kW |
| Population | Land Area | Mean Wind Speed | GHI | Wind Capacity | Solar PV Capacity | Wind Capacity per Capita | Solar PV Capacity per Capita | Wind Energy Generation | Solar Power Generation | Wind Energy Generation per Capita | |
|---|---|---|---|---|---|---|---|---|---|---|---|
| Population | 1.000 | ||||||||||
| Land area | 0.769 | 1.000 | |||||||||
| Mean Wind Speed | 0.101 | 0.103 | 1.000 | ||||||||
| GHI | 0.058 | −0.002 | −0.555 | 1.000 | |||||||
| Wind capacity | 0.842 | 0.641 | 0.267 | −0.051 | 1.000 | ||||||
| Solar PV capacity | 0.873 | 0.503 | 0.183 | −0.027 | 0.930 | 1.000 | |||||
| Wind capacity per capita | 0.128 | 0.365 | 0.675 | −0.376 | 0.406 | 0.205 | 1.000 | ||||
| Solar PV capacity per capita | 0.309 | −0.037 | 0.182 | 0.014 | 0.399 | 0.575 | 0.132 | 1.000 | |||
| Wind energy generation | 0.825 | 0.652 | 0.297 | −0.058 | 0.996 | 0.914 | 0.455 | 0.409 | 1.000 | ||
| Solar power generation | 0.906 | 0.597 | 0.141 | 0.084 | 0.932 | 0.968 | 0.195 | 0.511 | 0.922 | 1.000 | |
| Wind energy generation per capita | 0.060 | 0.295 | 0.687 | −0.374 | 0.327 | 0.130 | 0.990 | 0.113 | 0.381 | 0.120 | 1.000 |
| Solar power generation per capita | 0.345 | 0.039 | 0.022 | 0.324 | 0.411 | 0.540 | 0.032 | 0.903 | 0.421 | 0.563 | 0.013 |
| Min | Max | Mean | Std. Dev. | |
|---|---|---|---|---|
| x1 | 5.66 | 10.11 | 7.79 | 0.91 |
| x2 | 2.53 | 5.21 | 3.44 | 0.76 |
| x3 | 526.87 | 83,771.56 | 16,580.09 | 22,265.03 |
| x4 | 0.32 | 547.56 | 148.02 | 158.63 |
| z1 | 0.00 | 66,315.00 | 7556.96 | 13,688.60 |
| z2 | 56.00 | 66,554.00 | 7413.63 | 13,961.76 |
| y1 | 0.00 | 124,816.00 | 15,593.41 | 26,271.58 |
| y2 | 0.04 | 60.79 | 7.81 | 13.92 |
| v1 | 0.00 | 1392.65 | 392.94 | 372.79 |
| v2 | 26.71 | 1269.86 | 343.48 | 254.52 |
| v3 | 26.71 | 3239.64 | 869.30 | 894.69 |
| v4 | 21.31 | 960.13 | 361.62 | 240.09 |
| Country | Two-Stage NDEA 2018 | Two-Stage NDEA 2022 | Malmquist Index | |||||||||
|---|---|---|---|---|---|---|---|---|---|---|---|---|
| One Stage DEA 2018 | One Stage DEA 2022 | First Stage | Second Stage | Overall | First Stage | Second Stage | Overall | Catch-Up | Frontier-Shift | Index | ||
| AU | Austria | 40.5% | 50.0% | 37.9% | 78.4% | 29.7% | 47.3% | 74.5% | 35.2% | 1.19 | 0.53 | 0.63 |
| BE | Belgium | 100.0% | 71.0% | 83.7% | 88.1% | 73.7% | 60.7% | 95.2% | 57.8% | 0.78 | 0.66 | 0.52 |
| BG | Bulgaria | 35.7% | 31.8% | 17.5% | 83.3% | 14.6% | 15.8% | 84.9% | 13.4% | 0.92 | 0.81 | 0.74 |
| HR | Croatia | 13.7% | 16.9% | 5.7% | 73.5% | 4.2% | 7.5% | 54.5% | 4.1% | 0.97 | 0.46 | 0.45 |
| CY | Cyprus | 29.8% | 47.2% | 20.3% | 60.6% | 12.3% | 17.7% | 56.8% | 10.0% | 0.81 | 0.96 | 0.78 |
| CZ | Czechia | 42.0% | 26.0% | 6.6% | 86.5% | 5.7% | 6.1% | 79.7% | 4.8% | 0.84 | 0.94 | 0.80 |
| DK | Denmark | 100.0% | 100.0% | 54.4% | 73.6% | 40.0% | 75.5% | 62.0% | 46.8% | 1.17 | 0.50 | 0.59 |
| EE | Estonia | 20.1% | 46.9% | 8.4% | 66.6% | 5.6% | 32.5% | 84.5% | 27.4% | 4.89 | 0.12 | 0.58 |
| FI | Finland | 47.0% | 67.3% | 9.1% | 47.3% | 4.3% | 21.9% | 41.5% | 9.1% | 2.11 | 0.23 | 0.49 |
| FR | France | 32.6% | 40.1% | 29.7% | 100.0% | 31.2% | 36.4% | 100.0% | 36.4% | 1.17 | 0.66 | 0.77 |
| DE | Germany | 100.0% | 100.0% | 100.0% | 100.0% | 100.0% | 100.0% | 100.0% | 100.0% | 1.00 | 1.00 | 1.00 |
| GR | Greece | 66.3% | 75.1% | 42.1% | 96.3% | 40.5% | 57.8% | 89.3% | 51.6% | 1.27 | 0.54 | 0.69 |
| HU | Hungary | 12.1% | 50.9% | 6.6% | 78.2% | 5.1% | 6.3% | 81.1% | 5.1% | 0.99 | 0.78 | 0.77 |
| IE | Ireland | 74.2% | 68.5% | 2.6% | 43.5% | 1.1% | 5.8% | 67.0% | 3.9% | 3.49 | 0.14 | 0.48 |
| IT | Italy | 70.5% | 64.0% | 34.5% | 96.7% | 33.3% | 33.8% | 96.4% | 32.6% | 0.98 | 0.84 | 0.82 |
| LV | Latvia | 2.6% | 3.9% | 0.4% | 0.4% | 0.0% | 4.5% | 46.4% | 2.1% | 1491.46 | 0.00 | 0.45 |
| LT | Lithuania | 17.4% | 21.2% | 9.6% | 78.1% | 7.5% | 27.6% | 42.6% | 11.7% | 1.57 | 0.30 | 0.48 |
| LU | Luxembourg | 37.4% | 45.2% | 35.9% | 77.9% | 28.0% | 40.5% | 70.7% | 28.7% | 1.02 | 0.62 | 0.63 |
| NL | Netherlands | 98.1% | 100.0% | 93.7% | 80.3% | 75.3% | 100.0% | 100.0% | 100.0% | 1.33 | 0.59 | 0.79 |
| PL | Poland | 24.0% | 31.8% | 4.8% | 50.1% | 2.4% | 31.7% | 80.0% | 25.3% | 10.47 | 0.06 | 0.66 |
| PT | Portugal | 68.7% | 57.6% | 21.1% | 100.0% | 21.1% | 41.0% | 90.2% | 37.0% | 1.75 | 0.35 | 0.61 |
| RO | Romania | 21.5% | 18.5% | 16.8% | 96.5% | 16.2% | 13.2% | 90.0% | 11.9% | 0.73 | 0.87 | 0.64 |
| SK | Slovakia | 20.0% | 12.5% | 0.1% | 85.2% | 0.1% | 0.1% | 38.8% | 0.0% | 0.52 | 1.50 | 0.78 |
| SI | Slovenia | 22.8% | 32.0% | 0.3% | 71.3% | 0.2% | 0.2% | 71.5% | 0.2% | 0.74 | 1.07 | 0.79 |
| ES | Spain | 79.3% | 98.2% | 40.3% | 100.0% | 40.3% | 64.4% | 100.0% | 64.4% | 1.60 | 0.56 | 0.90 |
| SE | Sweden | 88.8% | 100.0% | 14.9% | 72.1% | 10.7% | 54.9% | 49.5% | 27.2% | 2.53 | 0.22 | 0.55 |
| Average | 48.7% | 52.9% | 26.8% | 76.3% | 23.2% | 37.4% | 74.9% | 28.7% | 1.19 | 0.53 | 0.63 | |
| Overall NDEA 2018 (X → Z → Y) | Overall NDEA 2022 (X → Z → Y) | DEA 2022 (X → Y) | |
| DEA 2018 (X → Y) | 0.748 | 0.901 | |
| DEA 2022 (X → Y) | 0.753 | ||
| Overall NDEA 2018 (X → Z → Y) | 0.934 | ||
| First-stage NDEA 2018 (X → Z → Y) | First-stage NDEA 2022 (X → Z → Y) | DEA 2022 (X → Z) | |
| DEA 2018 (X → Z) | 0.795 | 0.924 | |
| DEA 2022 (X → Z) | 0.830 | ||
| First-stage NDEA 2018 (X → Z → Y) | 0.898 | ||
| Second-stage NDEA 2018 (X → Z → Y) | Second-stage NDEA 2022 (X → Z → Y) | DEA 2022 (Z → Y) | |
| DEA 2018 (Z → Y) | 0.256 | 0.503 | |
| DEA 2022 (Z → Y) | 0.0884 | ||
| Second-stage NDEA 2018 (X → Z → Y) | 0.608 | ||
| First-stage NDEA 2022 (X → Z → Y) | Second-stage NDEA 2022 (X → Z → Y) | ||
| DEA 2022 (X → Y) | 0.818 | 0.368 | |
| First-stage NDEA 2018 (X → Z → Y) | Second-stage NDEA 2018 (X → Z → Y) | ||
| DEA 2018 (X → Y) | 0.763 | 0.358 |
Disclaimer/Publisher’s Note: The statements, opinions and data contained in all publications are solely those of the individual author(s) and contributor(s) and not of MDPI and/or the editor(s). MDPI and/or the editor(s) disclaim responsibility for any injury to people or property resulting from any ideas, methods, instructions or products referred to in the content. |
© 2025 by the authors. Licensee MDPI, Basel, Switzerland. This article is an open access article distributed under the terms and conditions of the Creative Commons Attribution (CC BY) license (https://creativecommons.org/licenses/by/4.0/).
Share and Cite
Chodakowska, E.; Nazarko, J.; Nazarko, Ł. Efficiency of Renewable Energy Potential Utilization in European Union: Towards Responsible Net-Zero Policy. Energies 2025, 18, 1175. https://doi.org/10.3390/en18051175
Chodakowska E, Nazarko J, Nazarko Ł. Efficiency of Renewable Energy Potential Utilization in European Union: Towards Responsible Net-Zero Policy. Energies. 2025; 18(5):1175. https://doi.org/10.3390/en18051175
Chicago/Turabian StyleChodakowska, Ewa, Joanicjusz Nazarko, and Łukasz Nazarko. 2025. "Efficiency of Renewable Energy Potential Utilization in European Union: Towards Responsible Net-Zero Policy" Energies 18, no. 5: 1175. https://doi.org/10.3390/en18051175
APA StyleChodakowska, E., Nazarko, J., & Nazarko, Ł. (2025). Efficiency of Renewable Energy Potential Utilization in European Union: Towards Responsible Net-Zero Policy. Energies, 18(5), 1175. https://doi.org/10.3390/en18051175

