Effect of Compositional and Processing Variations in New 5182-Type AlMgMn Alloys on Mechanical Properties and Deformation Surface Quality
Abstract
1. Introduction
2. Materials and Methods
3. Results
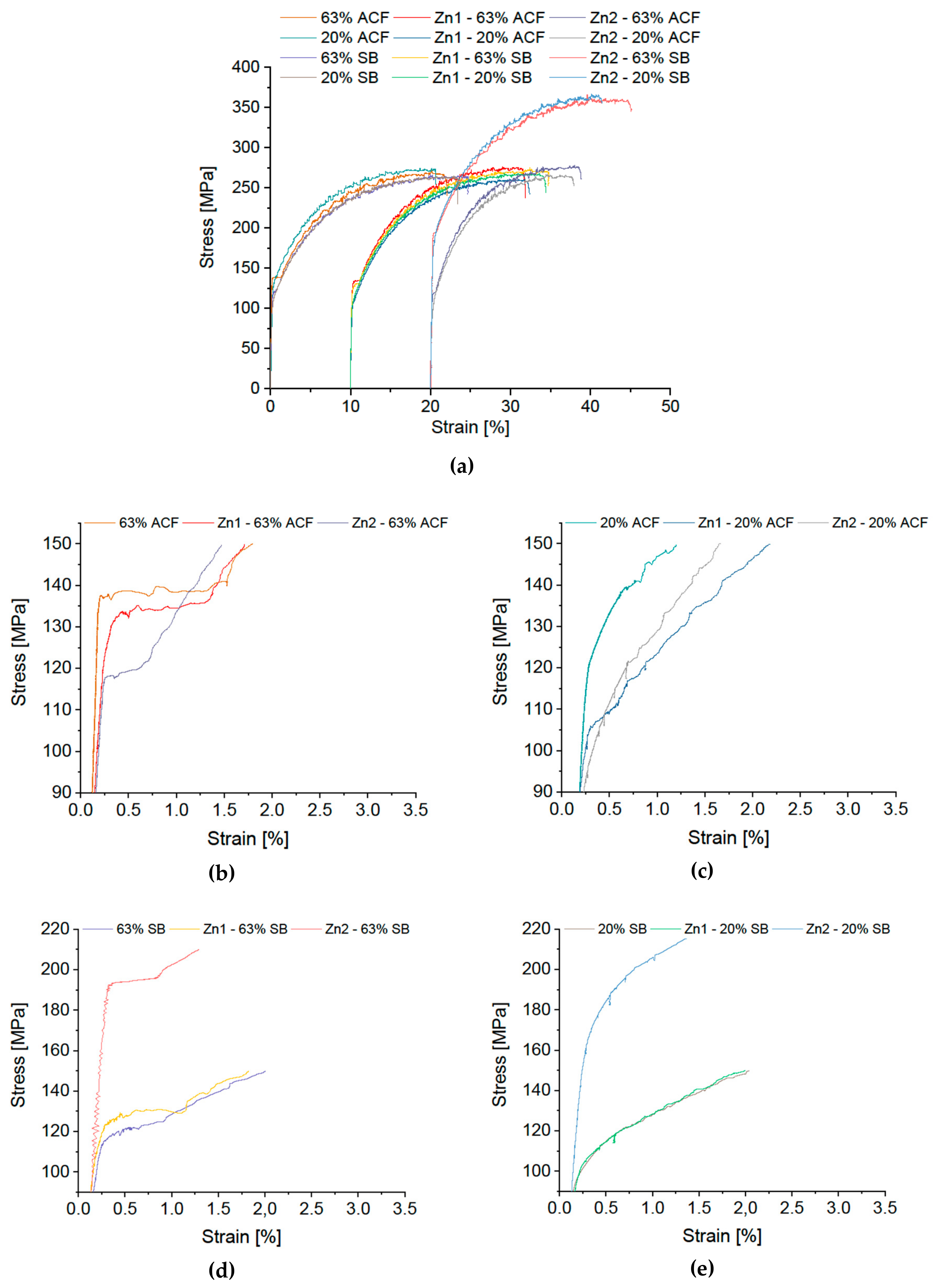
3.1. Mechanical Properties
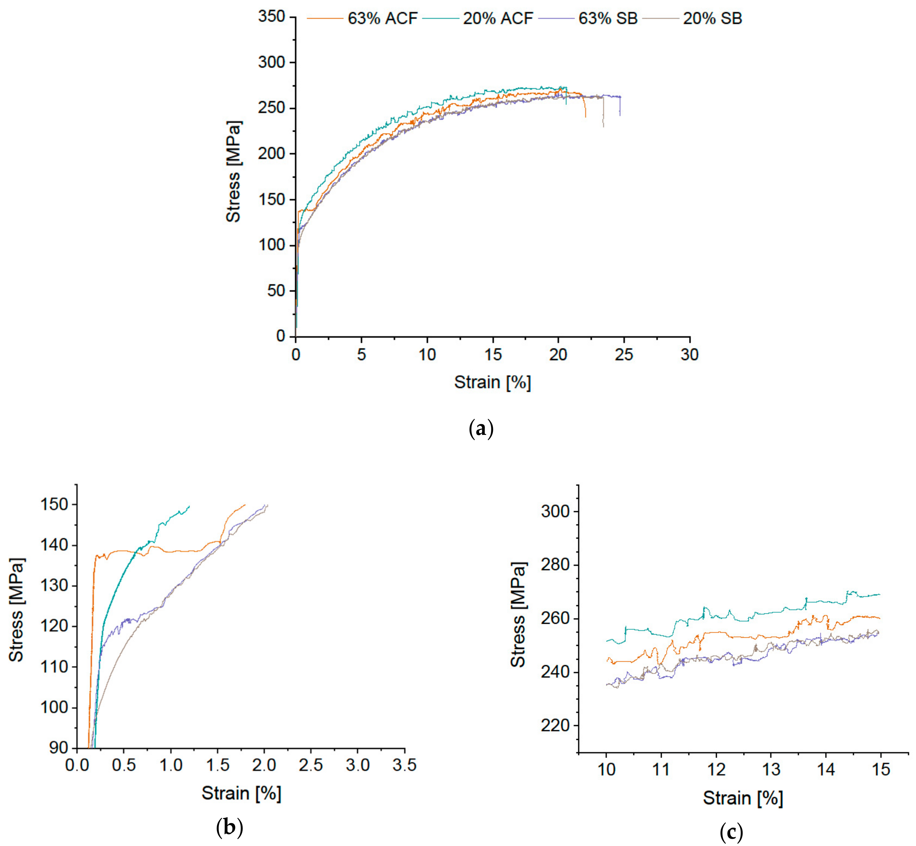
3.1.1. Standard 5182
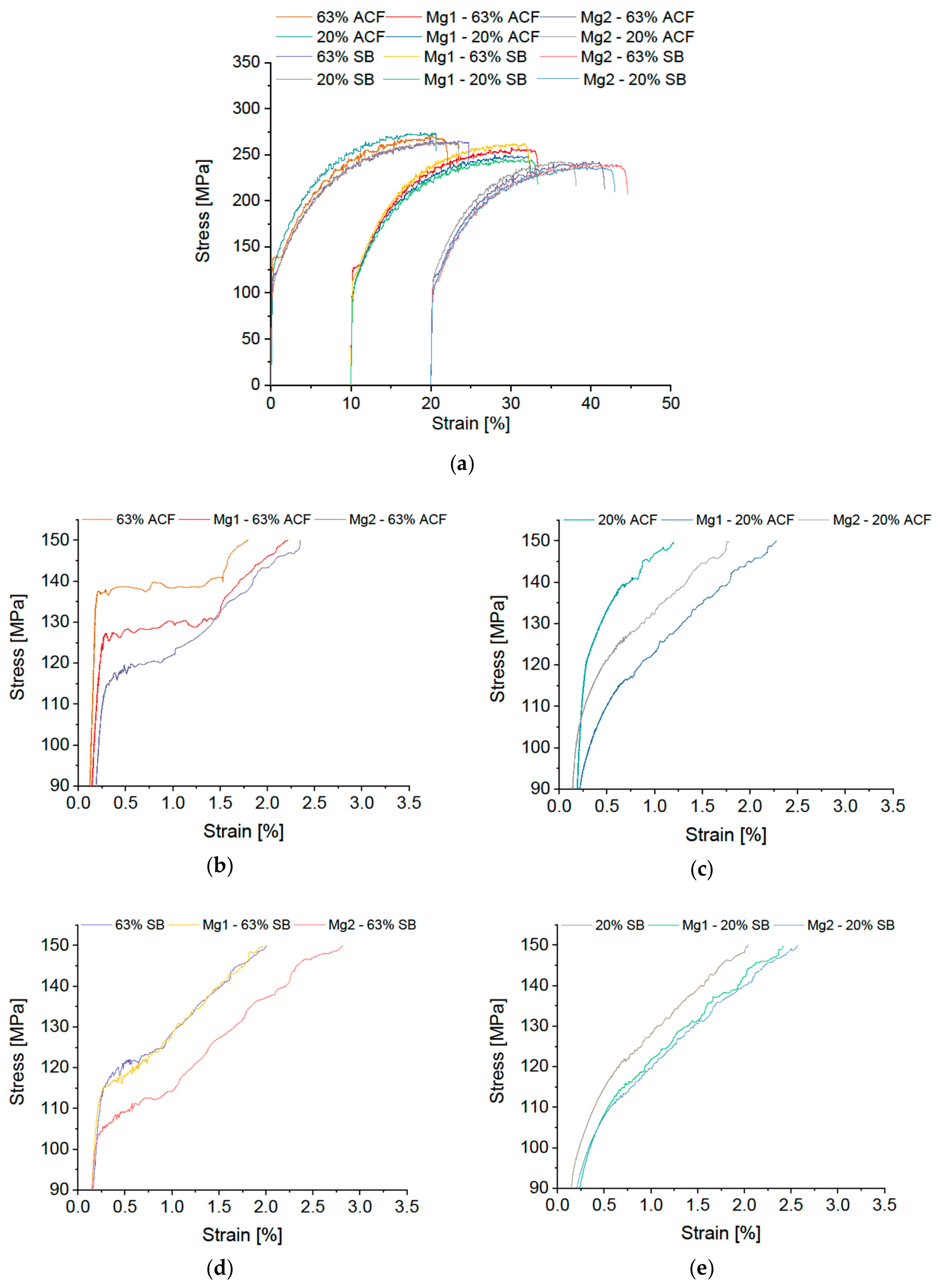
3.1.2. Solid-Solution Strengthening: Mg
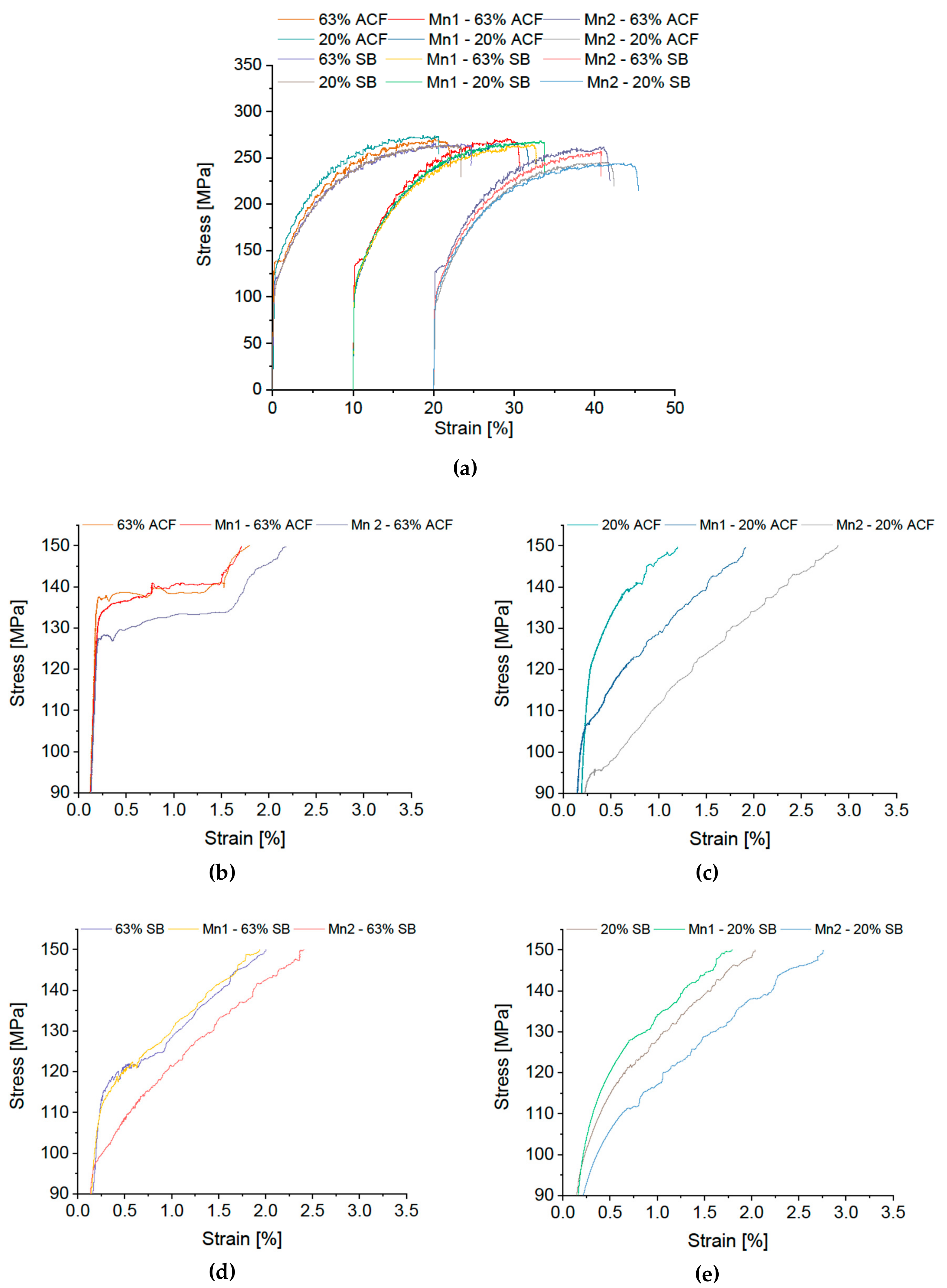
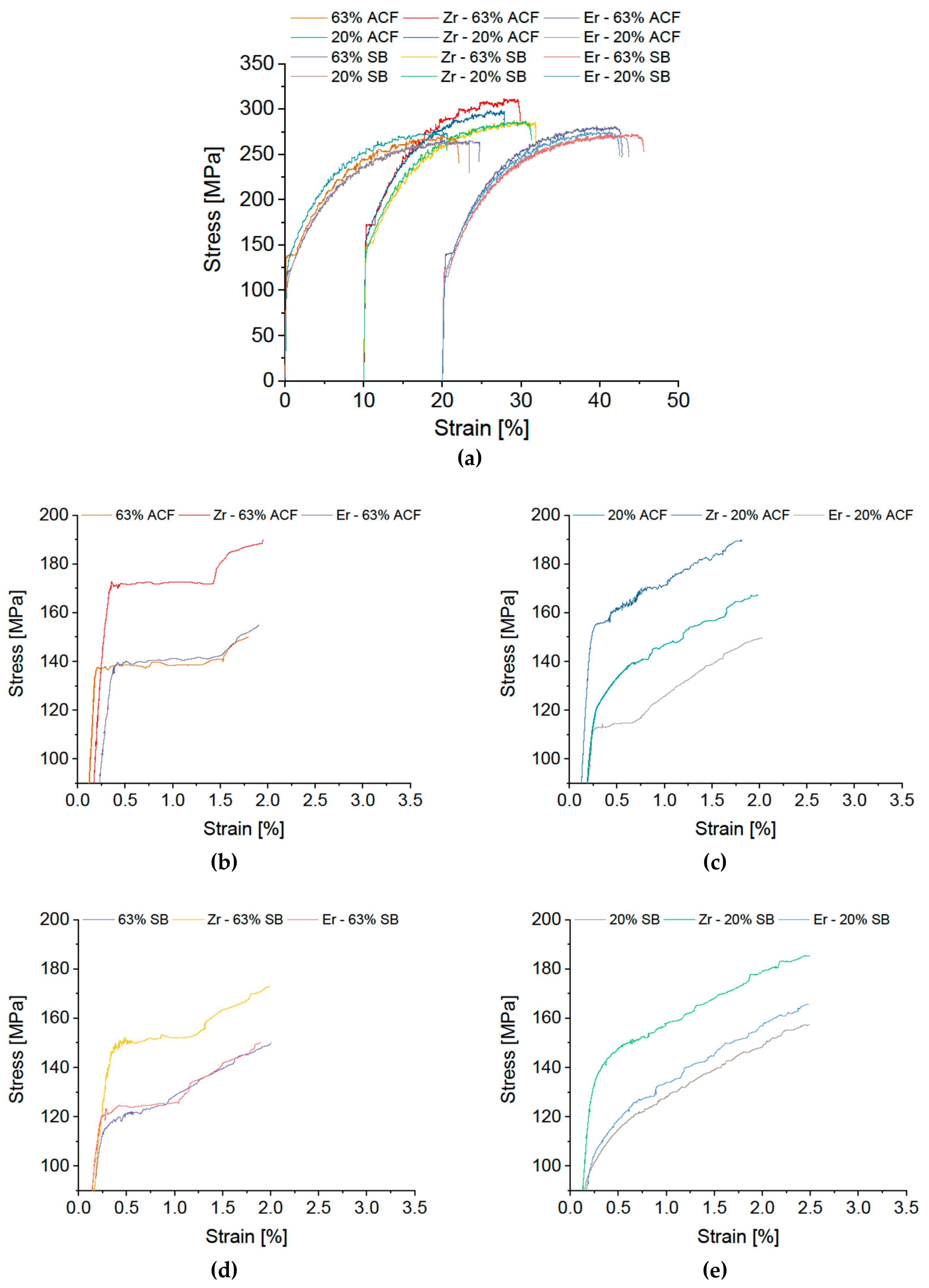
3.1.3. Dispersoid Formers: Mn, Zr, Er
3.1.4. Precipitate Formers: Cu, Zn
3.2. Surface Quality
- Lüders lines and type B stretcher strain marks, both pronounced: 63% CR plus ACF; minor deviations in the severity of the SSM type B for the different alloys.
- No or few Lüders lines, weak orange peel effect and reduced SSM type B: 20% CR plus ACF as well as SB; usually SB produces weaker SSM type B than ACF.
- No or almost no Lüders lines, no orange peel effect, reduced SSM type B: 63% CR plus SB; overall this combination provides the best surface quality averaged over all alloy modifications.
- The Mg-reduced alloy variants display a smooth surface with reduced stretcher strain marks. This advantage is particularly evident for 63% CR plus SB.
- The Mn-reduced alloys have a slightly better surface quality compared to the standard EN AW-5182 plus SB treatment.
- The 2 wt % Zn-containing alloy in SB condition displays a fairly good optical appearance. Interestingly, adding Zn reduces the extent of SSM type B serrations considerably in the plastic strain range up to 5% (in particular for the SB treatment).
3.3. Microstructure
3.3.1. Grain Size and Shape
3.3.2. Constituents
4. Discussion
- (i)
- Independently of alloy modification, a lower final cold-rolling degree (20% CR) results in a reduction of the Lüders elongation and DSA-serrations, but increases the tendency of orange peel formation.
- (ii)
- Generally, rapid cooling from increased final annealing temperatures (SB treatment) results in reduction or absence of Lüdering and consequently improved surface properties.
- (iii)
- Reduction of Mg leads to reduced stretcher strain marks of both types, but at the expense of tensile strength.
- (iv)
- Variation of the Mn content to the extent applied has a slightly positive effect on the surface quality in case of rapid cooling from 500 °C. The yield stress is marginally reduced.
- (v)
- Additions of the dispersoid formers Zr and Er may have a minimal effect on the occurrence of stretcher strain marks. However, for the SB-treated sheets the Zr modification results in significantly improved mechanical properties.
- (vi)
- Rapidly cooled modifications with Zn generate an enhanced optical surface appearance, and simultaneously improved mechanical properties. Within the first 5% of plastic deformation, the DSA serrations are also strongly suppressed.
5. Conclusions
- For various alloy modifications of EN AW-5182, final soft annealing at 500 °C with subsequent water quenching generates a significant reduction or total suppression of the Lüders elongation and—as a consequence—improved surface quality in terms of Lüders lines. With a low degree of cold rolling (20%), orange peel formation may occur even at a grain size of 30–40 µm.
- Modifications of the main alloying elements Mg and Mn cause no extraordinary changes in the optical and mechanical properties. Reducing the Mg content improves the surface quality, but at the expense of tensile strength. An intermediate Mn content provides a good balance between surface quality and strength, even though the effect of Mn on the surface quality is small and only manifested with rapid cooling.
- Adding Zr largely inhibits recrystallization, which is reflected in a textured microstructure. Adding Er affects neither the surface quality nor the mechanical properties.
- Specific combinations of Zn or Cu addition, cold-rolling degree, and heat treatment generate significant improvements in the mechanical and optical properties. In particular, a Zn addition of 2 wt % generates increased strength after rapid cooling and natural ageing with a later onset of DSA upon deformation. With 63% cold rolling, the surface quality is especially good.
Author Contributions
Funding
Acknowledgments
Conflicts of Interest
Appendix A
| Sample Designations | Description |
|---|---|
| 63% ACF | 63% cold-rolling degree with soft annealing treatments in an air-circulated furnace at 370 °C for 1 h with subsequent furnace cooling |
| 20% ACF | 20% cold-rolling degree with soft annealing treatments in an air-circulated furnace at 370 °C for 1 h with subsequent furnace cooling |
| 63% SB | 63% cold-rolling degree with soft annealing treatments in salt bath at 500 °C for 5 min with subsequent water quenching |
| 20% SB | 20% cold-rolling degree with soft annealing treatments in salt bath at 500 °C for 5 min with subsequent water quenching |
| Alloy | Cold Rolling Degree (%) | Heat Treatment | Rp0.2 (MPa) | Rm (MPa) | A80 (%) |
|---|---|---|---|---|---|
| 5182 standard | 63 | ACF | 140 | 275 | 21 |
| 20 | ACF | 132 | 277 | 20 | |
| 63 | SB | 120 | 268 | 24 | |
| 20 | SB | 108 | 262 | 23 | |
| Mg1 | 63 | ACF | 125 | 253 | 21 |
| 20 | ACF | 106 | 251 | 21 | |
| 63 | SB | 116 | 258 | 22 | |
| 20 | SB | 102 | 247 | 23 | |
| Mg2 | 63 | ACF | 120 | 245 | 21 |
| 20 | ACF | 115 | 245 | 18 | |
| 63 | SB | 108 | 244 | 23 | |
| 20 | SB | 98 | 237 | 22 | |
| Mn1 | 63 | ACF | 137 | 174 | 21 |
| 20 | ACF | 108 | 166 | 21 | |
| 63 | SB | 116 | 163 | 23 | |
| 20 | SB | 114 | 268 | 23 | |
| Mn2 | 63 | ACF | 126 | 256 | 21 |
| 20 | ACF | 98 | 249 | 22 | |
| 63 | SB | 100 | 248 | 22 | |
| 20 | SB | 97 | 241 | 25 | |
| Zr | 63 | ACF | 118 | 279 | 18 |
| 20 | ACF | 103 | 268 | 17 | |
| 63 | SB | 195 | 362 | 24 | |
| 20 | SB | 183 | 368 | 20 | |
| Er | 63 | ACF | 140 | 283 | 22 |
| 20 | ACF | 113 | 269 | 23 | |
| 63 | SB | 123 | 275 | 25 | |
| 20 | SB | 111 | 275 | 22 | |
| Cu1 | 63 | ACF | 144 | 292 | 21 |
| 20 | ACF | 121 | 292 | 21 | |
| 63 | SB | 121 | 280 | 26 | |
| 20 | SB | 116 | 288 | 23 | |
| Cu2 | 63 | ACF | 139 | 287 | 19 |
| 63 | SB | 135 | 303 | 25 | |
| Zn1 | 63 | ACF | 133 | 276 | 21 |
| 20 | ACF | 109 | 265 | 23 | |
| 63 | SB | 124 | 272 | 24 | |
| 20 | SB | 110 | 269 | 24 | |
| Zn2 | 63 | ACF | 118 | 279 | 18 |
| 20 | ACF | 103 | 268 | 17 | |
| 63 | SB | 195 | 362 | 24 | |
| 20 | SB | 183 | 368 | 20 |

References
- Ostermann, F. Anwendungstechnologie Aluminium; Springer: Berlin/Heidelberg, Germany, 2007. [Google Scholar]
- Cottrell, A.H. Report of a Conference on Strength of Solids; The Physical Society: London, UK, 1948. [Google Scholar]
- Cottrell, A.H.; Bilby, B.A. Dislocation Theory of Yielding and Strain Ageing of Iron. Proc. Phys. Soc. A 1949, 62, 49–62. [Google Scholar] [CrossRef]
- Sylwestrowicz, W.; Hall, E.O. The Deformation and Ageing of Mild Steel. Proc. Phys. Soc. B 1951, 64, 495–502. [Google Scholar] [CrossRef]
- Hall, E.O. The Deformation and Ageing of Mild Steel: II Characteristics of the L ders Deformation. Proc. Phys. Soc. B 1951, 64, 742–747. [Google Scholar] [CrossRef]
- Hall, E.O. The Deformation and Ageing of Mild Steel: III Discussion of Results. Proc. Phys. Soc. B 1951, 64, 747–753. [Google Scholar] [CrossRef]
- Mulford, R.A.; Kocks, U.F. New observations on the mechanisms of dynamic strain aging and of jerky flow. Acta Metall. 1979, 27, 1125–1134. [Google Scholar] [CrossRef]
- van Den Beukel, A. Theory of the effect of dynamic strain aging on mechanical properties. Phys. Status Solidi 1975, 30, 197–206. [Google Scholar] [CrossRef]
- McCormick, P.G. A model for the Portevin-Le Chatelier effect in substitutional alloys. Acta Metall. 1972, 20, 351–354. [Google Scholar] [CrossRef]
- McCormick, P.G. Theory of flow localisation due to dynamic strain ageing. Acta Metall. 1988, 36, 3061–3067. [Google Scholar] [CrossRef]
- Rodriguez, P. Serrated plastic flow. Bull. Mater. Sci. 1984, 6, 653–663. [Google Scholar] [CrossRef]
- Portevin, A.; Le Chatelier, F. Sur un phénomène observé lors de l’essai de traction d’alliages en cours de transformation. Comptes Rendus L’académie Sci. Paris 1923, 176, 507–510. [Google Scholar]
- Soare, M.A.; Curtin, W.A. Solute strengthening of both mobile and forest dislocations: The origin of dynamic strain aging in FCC metals. Acta Mater. 2008, 56, 4046–4061. [Google Scholar] [CrossRef]
- Picu, R.C.; Zhang, D. Atomistic study of pipe diffusion in Al–Mg alloys. Acta Mater. 2004, 52, 161–171. [Google Scholar] [CrossRef]
- Picu, R.C. A mechanism for the negative strain-rate sensitivity of dilute solid solutions. Acta Mater. 2004, 52, 3447–3458. [Google Scholar] [CrossRef]
- Picu, R.C.; Vincze, G.; Gracio, J.J.; Barlat, F. Effect of solute distribution on the strain rate sensitivity of solid solutions. Scr. Mater. 2006, 54, 71–75. [Google Scholar] [CrossRef]
- Curtin, W.A.; Olmsted, D.L.; Hector, L.G. A predictive mechanism for dynamic strain ageing in aluminium-magnesium alloys. Nat. Mater. 2006, 5, 875–880. [Google Scholar] [CrossRef] [PubMed]
- Lloyd, D.J.; Court, S.A.; Gatenby, K.M. Lüders elongation in AI-Mg alloy AA5182. Mater. Sci. Technol. 1997, 13, 660–666. [Google Scholar] [CrossRef]
- Fu, S.; Zhang, Q.; Hu, Q.; Gong, M.; Cao, P.; Liu, H. The influence of temperature on the PLC effect in Al-Mg alloy. Sci. China Technol. Sci. 2011, 54, 1389–1393. [Google Scholar] [CrossRef]
- Schneider, R.; Grant, R.J.; Heine, B.; Börret, R.; Burger, S.; Zouaoui, Z. An analysis of the surface quality of AA5182 at different testing temperatures. Mater. Des. 2014, 64, 750–754. [Google Scholar] [CrossRef]
- Romhanji, E.; Dudukovska, M.; Glišić, D. The effect of temperature on strain-rate sensitivity in high strength Al–Mg alloy sheet. J. Mater. Process. Technol. 2002, 125–126, 193–198. [Google Scholar] [CrossRef]
- Lebedkin, M.A.; Dunin-Barkovskii, L.R. Dynamic mechanism of the temperature dependence of the Portevin-Le Châtelier effect. Phys. Solid State 1998, 40, 447–452. [Google Scholar] [CrossRef]
- Wagenhofer, M.; Erickson-Natishan, M.; Armstrong, R.W.; Zerilli, F.J. Influences of strain rate and grain size on yield and serrated flow in commercial Al-Mg alloy 5086. Scr. Mater. 1999, 41, 1177–1184. [Google Scholar] [CrossRef]
- Chihab, K.; Estrin, Y.; Kubin, L.P.; Vergnol, J. The kinetics of the Portevin-Le Chatelier bands in an Al-5at%Mg alloy. Scr. Metall. 1987, 21, 203–208. [Google Scholar] [CrossRef]
- Chihab, K. Serrated yielding due to Portevin—Le Chatelier effect in commercial Al-Mg alloys. Ann. Chim. Sci. Matériaux 2002, 27, 69–75. [Google Scholar] [CrossRef]
- Lloyd, D.J.; Morris, L.R. Luders band deformation in a fine grained aluminium alloy. Acta Metall. 1977, 25, 857–861. [Google Scholar] [CrossRef]
- Wen, W.; Morris, J.G. The effect of cold rolling and annealing on the serrated yielding phenomenon of AA5182 aluminum alloy. Mater. Sci. Eng. A 2004, 373, 204–216. [Google Scholar] [CrossRef]
- Lloyd, D.J.; Court, S.A. Influence of grain size on tensile properties of Al-Mg alloys. Mater. Sci. Technol. 2003, 19, 1349–1354. [Google Scholar] [CrossRef]
- Jin, H.; Gallerneault, M.; Lloyd, D.J. Low Work Hardening and Its Mitigation in Ultra-Fine Grained Aluminium Alloys. In ICAA13 Pittsburgh: Proceedings of the 13th International Conference on Aluminum Alloys; Weiland, H., Rollett, A.D., Cassada, W.A., Eds.; Springer International Publishing: Cham, Switzerland, 2016; pp. 1741–1746. [Google Scholar]
- Wen, W.; Morris, J.G. An investigation of serrated yielding in 5000 series aluminum alloys. Mater. Sci. Eng. A 2003, 354, 279–285. [Google Scholar] [CrossRef]
- Cheng, X.-M.; Morris, J.G. The anisotropy of the portevin-le chatelier effect in aluminum alloys. Scr. Mater. 2000, 43, 651–658. [Google Scholar] [CrossRef]
- Brindley, B.J.; Worthington, P.J. Serrated yielding in Aluminium-3% Magnesium. Acta Metall. 1969, 17, 1357–1361. [Google Scholar] [CrossRef]
- McCormick, P.G. Effect of grain size on serrated yielding in an Al-Mg-Si alloy. Philos. Mag. 1971, 23, 949–956. [Google Scholar] [CrossRef]
- Robinson, J.M.; Shaw, M.P. Microstructural and mechanical influences on dynamic strain aging phenomena. Int. Mater. Rev. 1994, 39, 113–122. [Google Scholar] [CrossRef]
- Choi, I.; Jin, S.; Kang, S. Effects of Microstructure and Alloy Contents on the Lüders Line Formation in Al-Mg Alloys. Scr. Mater. 1998, 38, 887–892. [Google Scholar] [CrossRef]
- Ebenberger, P.; Uggowitzer, P.J.; Kirnstötter, S.; Gerold, B.; Zaefferer, S.; Pogatscher, P. Processing-controlled suppression of Lüders elongation in AlMnMn alloys. Scr. Mater. 2019, 166, 64–67. [Google Scholar] [CrossRef]
- Phillips, V.A.; Swain, A.J.; Eborall, R. Yield-Point Phenomena and Stretcher-Strain Markings in Aluminum-Magnesium Alloys. J. Inst. Metall. 1953, 81, 625–647. [Google Scholar]
- Robinson, J.M.; Shaw, M.P. Observations on deformation characteristics and microstructure in an Al-Mg alloy during serrated flow. Mater. Sci. Eng. A 1994, 174, 1–7. [Google Scholar] [CrossRef]
- Ohtani, S.; Inagaki, H. Effect of Heat Treatment on Yield Point Elongation and P-L Effect in 5182 Al-Mg Alloys. MSF 2002, 396–402, 1049–1054. [Google Scholar] [CrossRef]
- Bintu, A.; Vincze, G.; Picu, R.C.; Lopes, A.B. Effect of symmetric and asymmetric rolling on the mechanical properties of AA5182. Mater. Des. 2016, 100, 151–156. [Google Scholar] [CrossRef]
- Ait-Amokhtar, H.; Fressengeas, C.; Bouabdallah, K. On the effects of the Mg content on the critical strain for the jerky flow of Al–Mg alloys. Mater. Sci. Eng. A 2015, 631, 209–213. [Google Scholar] [CrossRef]
- Horváth, G.; Chinh, N.Q.; Gubicza, J.; Lendvai, J. Plastic instabilities and dislocation densities during plastic deformation in Al–Mg alloys. Mater. Sci. Eng. A 2007, 445–446, 186–192. [Google Scholar] [CrossRef]
- Kang, J.; Mishra, R.K.; Wilkinson, D.S.; Hopperstad, O.S. Effect of Mg content on Portevin–Le Chatelier band strain in Al–Mg sheet alloys. Philos. Mag. Lett. 2012, 92, 647–655. [Google Scholar] [CrossRef]
- Ait-Amokhtar, H.; Boudrahem, S.; Fressengeas, C. Spatiotemporal aspects of jerky flow in Al–Mg alloys, in relation with the Mg content. Scr. Mater. 2006, 54, 2113–2118. [Google Scholar] [CrossRef]
- Wen, W.; Zhao, Y.; Morris, J.G. The effect of Mg precipitation on the mechanical properties of 5xxx aluminum alloys. Mater. Sci. Eng. A 2005, 392, 136–144. [Google Scholar] [CrossRef]
- Inagaki, H.; Komatsubara, T. Yield Point Elongation in Al-Mg Alloys. MSF 2000, 331–337, 1303–1308. [Google Scholar] [CrossRef]
- Matsumoto, K.; Aruga, Y.; Tsuneishi, H.; Iwai, H.; Mizuno, M.; Araki, H. Effects of Zn Addition and Aging Condition on Serrated Flow in Al-Mg Alloys. In Aluminium Alloys 2014—ICAA14, Selected, Peer Reviewed Papers from the 14th International Conference on Aluminium Alloys (ICAA14), 15–19 June 2014, Trondheim, Norway; Marthinsen, K., Holmedal, B., Li, Y., Eds.; Trans Tech Publishers: Zurich, Switzerland, 2014; Volume 794–796, pp. 483–488. [Google Scholar]
- Meng, C.; Zhang, D.; Cui, H.; Zhuang, L.; Zhang, J. Mechanical properties, intergranular corrosion behavior and microstructure of Zn modified Al–Mg alloys. J. Alloys Compd. 2014, 617, 925–932. [Google Scholar] [CrossRef]
- Matsumoto, K.; Aruga, Y.; Tsuneishi, H.; Iwai, H.; Mizuno, M.; Araki, H. Effects of precipitation state on serrated flow in Al–Mg (–Zn) alloys. J. Jpn. Inst. Light Met. 2015, 65, 331–338. [Google Scholar] [CrossRef]
- Hou, S.; Liu, P.; Zhang, D.; Zhang, J.; Zhang, L. Precipitation hardening behavior and microstructure evolution of Al–5.1 Mg–0.15Cu alloy with 3.0Zn (wt%) addition. J. Mater. Sci. 2018, 53, 3846–3861. [Google Scholar] [CrossRef]
- Ma, P.-C.; Zhang, D.; Zhuang, L.-Z.; Zhang, J.-S. Effect of alloying elements and processing parameters on the Portevin-Le Chatelier effect of Al-Mg alloys. Int. J. Min. Metall. Mater. 2015, 22, 175–183. [Google Scholar] [CrossRef]
- Thevenet, D.; Mliha-Touati, M.; Zeghloul, A. The effect of precipitation on the Portevin-Le Chatelier effect in an Al–Zn–Mg–Cu alloy. Mater. Sci. Eng. A 1999, 266, 175–182. [Google Scholar] [CrossRef]
- Chen, J.-Z.; Zhen, L.; Fan, L.-W.; Yang, S.-J.; Dai, S.-L.; Shao, W.-Z. Portevin-Le Chatelier effect in Al-Zn-Mg-Cu-Zr aluminum alloy. Trans. Nonferrous Met. Soc. China 2009, 19, 1071–1075. [Google Scholar] [CrossRef]
- Pozdniakov, A.V.; Yarasu, V.; Barkov, R.Y.; Yakovtseva, O.A.; Makhov, S.V.; Napalkov, V.I. Microstructure and mechanical properties of novel Al-Mg-Mn-Zr-Sc-Er alloy. Mater. Lett. 2017, 116–119. [Google Scholar] [CrossRef]
- Engler, O.; Marioara, C.D.; Hentschel, T.; Brinkman, H.-J. Influence of copper additions on materials properties and corrosion behaviour of Al–Mg alloy sheet. J. Alloys Compd. 2017, 710, 650–662. [Google Scholar] [CrossRef]
- Jin, H.; Amirkhiz, B.S.; Lloyd, D.J. Improvement of Superplasticity in High-Mg Aluminum Alloys by Sacrifice of Some Room Temperature Formability. Metall. Mater. Trans. A 2018, 14, 1363. [Google Scholar] [CrossRef]
- Van Der Hoeven, J.A.; Zhuang, L.; Schepers, B.; Backelandt, J.P.J. Wrought Aluminium-Magnesium Alloy Product. U.S. Patent 20040256036A1, 23 December 2004. [Google Scholar]
- Lin, J. Heat Treatable Aluminum Alloys Having Magnesium and Zinc and Methods for Producing the Same. U.S. Patent 9587298 B2, 7 March 2017. [Google Scholar]
- Guo, Z.; Zhao, G.; Chen, X.-G. Effects of two-step homogenization on precipitation behavior of Al3Zr dispersoids and recrystallization resistance in 7150 aluminum alloy. Mater. Charact. 2015, 102, 122–130. [Google Scholar] [CrossRef]
- Mikhaylovskaya, A.V.; Mochugovskiy, A.G.; Levchenko, V.S.; Tabachkova, N.Y.; Mufalo, W.; Portnoy, V.K. Precipitation behavior of L1 2 Al 3 Zr phase in Al-Mg-Zr alloy. Mater. Charact. 2018, 139, 30–37. [Google Scholar] [CrossRef]
- Knipling, K.E.; Dunand, D.C.; Seidman, D.N. Nucleation and Precipitation Strengthening in Dilute Al-Ti and Al-Zr Alloys. Metall. Mater. Trans. A 2007, 38, 2552–2563. [Google Scholar] [CrossRef]
- Yanagawa, M.; Oie, S. Yielding behavior in Al-Mg polycrystalline alloys. J. Jpn. Inst. Light Met. 1991, 41, 815–821. [Google Scholar] [CrossRef][Green Version]
- Petrik, M.V.; Kuznetsov, A.R.; Enikeev, N.; Gornostyrev, Y.N.; Valiev, R.Z. Ab Initio Based Analysis of Grain Boundary Segregation in Al-Mg and Al-Zn Binary Alloys. arXiv 2017, arXiv:1708.00211. [Google Scholar]
- Lavender, C.A.; Vetrano, J.S.; Smith, M.T.; Bruemmer, S.M.; Hamilton, C.H. Development of Superplasticity in 5083 Aluminum with Additions of Mn and Zr. Mater. Sci. (Mater. Sci. Forum) 1994, 170–172, 279–286. [Google Scholar] [CrossRef]
- Kannan, K.; Vetrano, J.S.; Hamilton, C.H. Effects of alloy modification and thermomechanical processing on recrystallization of Al-Mg-Mn alloys. Metall. Mater. Trans. A 1996, 27, 2947–2957. [Google Scholar] [CrossRef]
- Mikhaylovskaya, A.V.; Yakovtseva, O.A.; Cheverikin, V.V.; Kotov, A.D.; Portnoy, V.K. Superplastic behaviour of Al-Mg-Zn-Zr-Sc-based alloys at high strain rates. Mater. Sci. Eng. A 2016, 659, 225–233. [Google Scholar] [CrossRef]
- Wen, S.P.; Xing, Z.B.; Huang, H.; Li, B.L.; Wang, W.; Nie, Z.R. The effect of erbium on the microstructure and mechanical properties of Al–Mg–Mn–Zr alloy. Mater. Sci. Eng. A 2009, 516, 42–49. [Google Scholar] [CrossRef]
- Matsumoto, K.; Aruga, Y.; Tsuneishi, H.; Iwai, H.; Mizuno, M.; Araki, H. Effects of Zn Addition and Aging Condition on Serrated Flow in Al-Mg Alloys. MSF 2014, 794–796, 483–488. [Google Scholar] [CrossRef]
- Matsumoto, K.; Aruga, Y.; Tsuneishi, H.; Iwai, H.; Mizuno, M.; Araki, H. Effects of Precipitation State on Serrated Flow in Al-Mg(-Zn) Alloys. Mater. Trans. 2016, 57, 1101–1108. [Google Scholar] [CrossRef]
- Pandat: Database: PandatAl2018_TH; CompuTherm LLC: Middleton, WI, USA, 2018.
- Stemper, L.; Mitas, B.; Kremmer, T.; Otterbach, S.; Uggowitzer, P.J.; Pogatscher, S. Age-hardening of high pressure die casting AlMg alloys with Zn and combinded Zn and Cu additions. Mater. Des. 2019. submitted. [Google Scholar]
- Wouters, O.; Vellinga, W.P.; van Tijum, R.; Hosson, J.T.M.D. On the evolution of surface roughness during deformation of polycrystalline aluminum alloys. Acta Mater. 2005, 53, 4043–4050. [Google Scholar] [CrossRef]
- Becker, R. Effects of strain localization on surface roughening during sheet forming. Acta Mater. 1998, 46, 1385–1401. [Google Scholar] [CrossRef]
- Zhao, Z.; Radovitzky, R.; Cuitiño, A. A study of surface roughening in FCC metals using direct numerical simulation. Acta Mater. 2004, 52, 5791–5804. [Google Scholar] [CrossRef]










| Alloy | Mg | Mn | Fe | Si | Cu | Zn | Zr | Er | Al |
|---|---|---|---|---|---|---|---|---|---|
| Standard | 4.57 | 0.41 | 0.19 | 0.13 | – | – | – | – | Bal. |
| Mg1 | 4.16 | 0.42 | 0.20 | 0.14 | – | – | – | – | Bal. |
| Mg2 | 3.60 | 0.43 | 0.19 | 0.13 | – | – | – | – | Bal. |
| Mn1 | 4.89 | 0.34 | 0.20 | 0.13 | – | – | – | – | Bal. |
| Mn2 | 4.48 | 0.20 | 0.20 | 0.13 | – | – | – | – | Bal. |
| Cu1 | 4.62 | 0.42 | 0.18 | 0.13 | 0.15 | – | – | – | Bal. |
| Cu2 | 4.69 | 0.31 | 0.30 | 0.14 | 0.75 | – | –– | – | Bal. |
| Zn1 | 4.53 | 0.40 | 0.18 | 0.13 | – | 0.24 | – | – | Bal. |
| Zn2 | 4.57 | 0.42 | 0.19 | 0.13 | – | 2.08 | – | – | Bal. |
| Zr | 4.72 | 0.34 | 0.32 | 0.14 | – | – | 0.15 | – | Bal. |
| Er | 4.89 | 0.46 | 0.21 | 0.16 | – | – | – | 0.08 1 | Bal. |
| Alloy | Cold-Rolling Degree (%) | Heat Treatment | εL (%) | Rating Lüders Lines | Rating Type B SSM | Orange Peel Effect | Mean Grain Size L Direction (µm) | Mean Grain Size T Direction (µm) |
|---|---|---|---|---|---|---|---|---|
| 5182 standard | 63 | ACF | 1.3 | 5 | 5 | No | 14.4 | 13.1 |
| 20 | ACF | – | 2 * | 3 | No | 20.7 | 11.9 | |
| 63 | SB | 0.7 k | 1 | 3 | No | 15.2 | 15.1 | |
| 20 | SB | – | 2 * | 2 | Slightly | 34.1 | 26.5 | |
| Mg1 | 63 | ACF | 1.2 | 4 | 4 | No | 15.8 | 16.0 |
| 20 | ACF | – | 2 * | 3 | Yes | 47.0 | 40.3 | |
| 63 | SB | 0.5 k | 1 | 2 | No | 16.0 | 16.0 | |
| 20 | SB | – | 2 * | 2 | Slightly | 35.8 | 39.7 | |
| Mg2 | 63 | ACF | 0.6 | 3 | 4 | No | 15.9 | 16.5 |
| 20 | ACF | – | 2 * | 3 | Slightly | 32.8 | 28,1 | |
| 63 | SB | 0.6 k | 1 | 2 | No | 15.0 | 16.4 | |
| 20 | SB | – | 1 * | 2 | Yes | 40.3 | 40.8 | |
| Mn1 | 63 | ACF | 1.3 | 5 | 5 | No | 15.2 | 15.4 |
| 20 | ACF | 0.1 k | 2 * | 2 | Yes | 74.2 | 56.6 | |
| 63 | SB | 0.4 k | 1 | 2 | No | 17.1 | 17.3 | |
| 20 | SB | – | 1 * | 2 | Slightly | 36.8 | 35.6 | |
| Mn2 | 63 | ACF | 1.4 | 4 | 4 | No | 16.1 | 16.1 |
| 20 | ACF | 0.1 k | 2 * | 2 | Yes | 68.1 | 52.7 | |
| 63 | SB | 0.2 k | 1 | 2 | No | 26.7 | 27.6 | |
| 20 | SB | – | 1 * | 2 | Slightly | 38.9 | 44.3 | |
| Zr | 63 | ACF | 1.1 | 4 | 4 | No | 17.7 | 14.8 |
| 20 | ACF | 0.2 k | 2 * | 2 | No | 18.9 | 21.0 | |
| 63 | SB | 1.0 | 2 | 3 | No | 11.0 | 11.9 | |
| 20 | SB | – | 1 * | 3 | Slightly | 19.1 | 23.2 | |
| Er | 63 | ACF | 1.1 | 3 | 4 | No | 13.3 | 13.3 |
| 20 | ACF | 0.5 | 2 * | 3 | Yes | 33.5 | 33.3 | |
| 63 | SB | 0.8 | 2 | 3 | No | 16.0 | 17.0 | |
| 20 | SB | – | 1 * | 3 | Yes | 27.3 | 26.7 | |
| Cu1 | 63 | ACF | 1.4 | 4 | 4 | No | 13.7 | 14.5 |
| 20 | ACF | 0.2 k | 2 * | 3 | Yes | 37.2 | 36.5 | |
| 63 | SB | 0.5 k | 1 | 3 | No | 23.2 | 24.0 | |
| 20 | SB | – | 2 * | 2 | Yes | 30.7 | 31.1 | |
| Cu2 | 63 | ACF | 0.9 | 4 | 4 | No | 13.0 | 12.1 |
| 63 | SB | 0.4 k | 1 | 3 | No | 21,3 | 20,6 | |
| Zn1 | 63 | ACF | 1.0 | 4 | 4 | No | 15.7 | 18.3 |
| 20 | ACF | 0.3 k | 1 * | 2 | Yes | 38.4 | 39.5 | |
| 63 | SB | 0.5 k | 1 | 3 | No | 14.3 | 16.5 | |
| 20 | SB | – | 1 * | 3 | Slightly | 31.4 | 31.9 | |
| Zn2 | 63 | ACF | 0.4 | 2 | 3 | No | 16.0 | 16.1 |
| 20 | ACF | – | 1 * | 2 | Slightly | 52.6 | 45.6 | |
| 63 | SB | 0.8 | 2 | 3, 1 + | No | 11.4 | 11.5 | |
| 20 | SB | – | 1 * | 3, 1 + | Slightly | 28.0 | 28.9 |
© 2019 by the authors. Licensee MDPI, Basel, Switzerland. This article is an open access article distributed under the terms and conditions of the Creative Commons Attribution (CC BY) license (http://creativecommons.org/licenses/by/4.0/).
Share and Cite
Ebenberger, P.; Uggowitzer, P.J.; Gerold, B.; Pogatscher, S. Effect of Compositional and Processing Variations in New 5182-Type AlMgMn Alloys on Mechanical Properties and Deformation Surface Quality. Materials 2019, 12, 1645. https://doi.org/10.3390/ma12101645
Ebenberger P, Uggowitzer PJ, Gerold B, Pogatscher S. Effect of Compositional and Processing Variations in New 5182-Type AlMgMn Alloys on Mechanical Properties and Deformation Surface Quality. Materials. 2019; 12(10):1645. https://doi.org/10.3390/ma12101645
Chicago/Turabian StyleEbenberger, Paul, Peter J. Uggowitzer, Bodo Gerold, and Stefan Pogatscher. 2019. "Effect of Compositional and Processing Variations in New 5182-Type AlMgMn Alloys on Mechanical Properties and Deformation Surface Quality" Materials 12, no. 10: 1645. https://doi.org/10.3390/ma12101645
APA StyleEbenberger, P., Uggowitzer, P. J., Gerold, B., & Pogatscher, S. (2019). Effect of Compositional and Processing Variations in New 5182-Type AlMgMn Alloys on Mechanical Properties and Deformation Surface Quality. Materials, 12(10), 1645. https://doi.org/10.3390/ma12101645

