Abstract
In this study, 1,8-dioxo-octahydroxanthenes were prepared employing a simple, effective and environmentally sound approach utilizing an iron oxide nanocatalyst under solventless conditions. The proposed iron oxide nanomaterial exhibited high product yields, short reaction times and a facile work-up procedure. The synthesized catalyst was also found to be highly stable and reusable under the investigated conditions (up to twelve consecutive cycles) without any significant loss in its catalytic activity.
1. Introduction
All the natural reactions have at least one catalyst to improve its performance. Nowadays, catalysis is considered as a fundamental pillar in chemistry. Due to the needs of selecting environmentally friendly catalysts to reduce cost issues of the chemical industry [1], the selection of green catalysts has become a key challenge in modern society. Nanocatalysis is an emerging field in catalytic organic transformations. A number of chemical reactions employ nanocatalytic systems due to the larger surface area of nanoparticles compared to their bulk counterparts, giving rise to numerous catalytically active sites which lead the chemical transformations of the adsorbed reactive molecules. For these reasons nanoparticles are considered as suitable heterogeneous catalysts for a wide range of reaction.
Xanthene’s heterocycles and derivatives constitute a relevant type of natural products, featuring relevant biological activities including anti-depressants and antimalarial agents [2], anti-inflammatory [3], antiviral [4], antibacterial [5], and photosensitizers in photodynamic therapy [6]. Xanthene derivatives have also shown interesting properties for fluorescent materials [7], pigments and cosmetics [8] and have been used in biodegradable agrochemicals [9,10] and laser technologies [11].
In recent years, several strategies were disclosed for xanthenes and derivatives syntheses such as intra-molecular phenyl–carbonyl coupling reactions [12], trapping of benzynes by phenols [13], cycloacylation reaction of carbamates [14], cyclodehydrations [15], reaction of aryloxymagnesium halides with triethyl orthoformate [16], reaction of β-naphthol with 2-naphthol-1-methanol [17], carbon monoxide [18] and formamide [19].
Xanthene synthesis is catalyzed by many alternative catalysts, such asp-dodecylbenzenesulfonic acid [20], NaHSO4-SiO2 [21], silica sulfuric acid [22], amberlyst-15 [23], InCl3/ionic liquid [24], triethylbenzyl ammonium chloride [25], phosphomolybdic acid supported on silica gel [26], HClO4-SiO2 [27], ZnO and ZnO-acetyl chloride [28], solventless Dowex-50W ion exchange resin protocols [29], SbCl3/SiO2 [30], silica-supported H14[NaP5W30O110] nanoparticles [31], SiO2–R–SO3H [32], H3PW12O40 supported MCM-41 [33], DABCO–bromine [34], cyanuric chloride [35], TMSCl [36], ZrO(OTf)2 [37] and [Et3N–SO3H]Cl [38]. Other methods have also been documented for such syntheses [39,40,41,42,43], which have disadvantages including the utilization of toxic and/or costly reagents/catalysts/organic solvents, prolonged times of reaction, formation of undesirable or toxic by-products, lack of thermal stability of the reagents and low yields. To overcome the mentioned drawbacks and the growing environmental issues, more effective, practical and benign protocols for xanthenes synthesis and their derivatives represent a promising strategy.
Herein, we report on an evaluation of the catalytic activity of an iron oxide nanomaterial based on SBA-15 (FeNP@SBA-15) as active, stable and recyclable heterogeneous catalysts for the preparation of 1,8-dioxooctahydroxanthene and substituted compounds via solventless reaction between aromatic aldehydes and dimedone (Scheme 1).
Scheme 1.
Schematic illustration of the solventless multicomponent synthesis of xantheses catalyzed by FeNP@SBA-15.
2. Materials and Methods
2.1. Synthesis of Iron Oxide Nanocatalyst
A suspension of aminopropyl-functionalized SBA-15 materials (2.35 g, NH2 loading 0.85 mmol g−1) in an excess of absolute MeOH was combined with Salicylaldehyde (2 mmol, 0.244 g). The mixture color became yellow by imine formation in 6 h, after which Fe(NO)3·9H2O, (1 mmol) was added. The resulting mixture was slightly heated for 24 h, followed by formation of metal oxide nanoparticles indicated by the formation of a dark red color in the solution. The final material was filtered off, rinsed with methanol and water until colorless washings and subsequently oven-dried overnight at 80 °C. FeNP@SBA-15 exhibited 620 m2·g−1 of surface area and a pore size of 4.8 nm (5–7 nm iron oxide nanoparticle sizes). Typical Fe3+ bands at BE 714 eV (Fe2p3/2) and 725 eV (Fe2p1/2) were observed by XPS for the synthesized catalyst, with only traces (<1%) of zerovalent Fe.
2.2. Preparation of 1,8-Dioxo-Octahydroxanthenes
The model reaction comprised the multicomponent reaction between an aldehyde (5 mmol), dimedone (10 mmol) and FeNP@SBA-15 (0.165 g, 0.5 mol%). In a typical reaction run, the mixture of the three components was heated at 80 °C under continuous stirring for a certain time. Reaction completion was monitored by TLC, after which the mixture was left to cool down at room temperature, followed by dissolution in dichloromethane (50 mL) and rotary evaporation to yield the final xanthene product (upon recrystallization in ethanol). The catalyst was recovered from the mixture via filtration, washed with hot ethyl acetate, oven-dried and reused in subsequent reaction runs. All products are well known and were fully characterized by IR and NMR.
3. Results and Discussion
The catalytic performance of nanocatalysts is well known to depend on morphology, particle size and structure of nanoparticles [44]. A number of conventional techniques such as X-ray diffraction (XRD), X-ray photoelectron spectroscopy (XPS), transmission electron microscopy (TEM), scanning electron microscopy (SEM) and inductively coupled plasma/mass spectrometry (ICP/MS) have been used to study textural and morphological properties of FeNP@SBA-15 catalysts [44].
We have previously reported in our earlier papers about the catalytic performance of FeNP@SBA-15 in various types of organic transformations including oxidation of sulfides to sulfoxides [44], esterification of carboxylic acids [45], oxidation of styrene derivatives [46] and oxidative esterification of alcohols and aldehydes (Table S1) [47]. The results of the mentioned reports confirmed the high catalytic activities of supported FeNP in different conditions.
To ascertain the optimum amount of FeNP@SBA-15 to use and select optimum synthetic conditions, a model reaction was selected based on the use of benzaldehyde and dimedone as reagents. As seen in Table 1, entry 1, 3,3,6,6-tetramethyl-9-phenyl-3,4,5,6,7,9-hexahydro-1H-xanthene-1,8(2H)-dione was only obtained in poor yields in the absence of FeNP@SBA-15 at 100 °C or higher temperatures.
Table 1.
Optimization of synthetic conditions for the synthesis of xanthenes a.
According to the experimental results above, the efficiency of the FeNP@SBA-15 was initially found to be influenced by both the amount of the catalyst and the solvent nature. Results under solventless conditions provided improved catalytic performance of FeNP@SBA-15 (Table 1, entries 1, 6–17). By adding a small amount of FeNP@SBA-15 to the model reaction mixture, the rate of reaction was dramatically accelerated under solventless conditions, leading to completion within 30 min (Table 1, entry 16). Under such optimized results, the scope of the reaction was further investigated for the preparation xanthene derivatives using a variety of substituted benzaldehydes.
Table 2 shows that this system can be easily applied to various structurally different benzaldehyde containing electron-releasing or withdrawing group. The results of the optimized reaction in Table 2 shows that rates of reaction can be affected by different substituents in the aromatic rings. It is obvious that electron-withdrawing groups improved both yield and the rate of reaction through the activation of aromatic rings (Table 2, entries 2–4). On the other hand, the presence of electron-donating groups led to slower reaction rates (and reduced yields) as compared to electron-withdrawing groups (Table 2, entries 8 and 9).
Table 2.
Preparation of 1,8-dioxo-octahydroxanthenea derivatives using Fe@SBA-15 as catalyst.
The efficiency of FeNP@SBA-15 as catalyst in the proposed synthesis was further compared with a range of literature reported data for the same chemistries (Table 3) [48,49,50,51,52,53,54,55]. Results demonstrated that our method can provide excellent yields at moderate times of reaction with respect to reported procedures.
Table 3.
Comparative performance of FeNP@SBA-15 with literature reported catalytic systems.
Furthermore, the stability of the Fe-containing catalyst under the investigated reaction conditions was subsequently explored under optimized conditions. As Table 4 indicates, iron nanoparticles supported on SBA-15 could be recycled and reused twelve times without any appreciable reduction in catalytic activity. No iron leaching was detected in solution (<0.01 ppm, ICP-AES analysis), strongly supporting the stability of the proposed system under the optimized reaction conditions.
Table 4.
Reuses of the supported FeNP catalyst in the reaction of benzaldehyde with dimedone.
Figure 1 also depicts a uniform distribution of particle sizes, which can also be observed in the used catalysts, and the high activity of catalysts is preserved well for up to ten runs.
Figure 1.
Transmission electron microscopy image of spent FeNP@SBA-15 (after 10 runs).
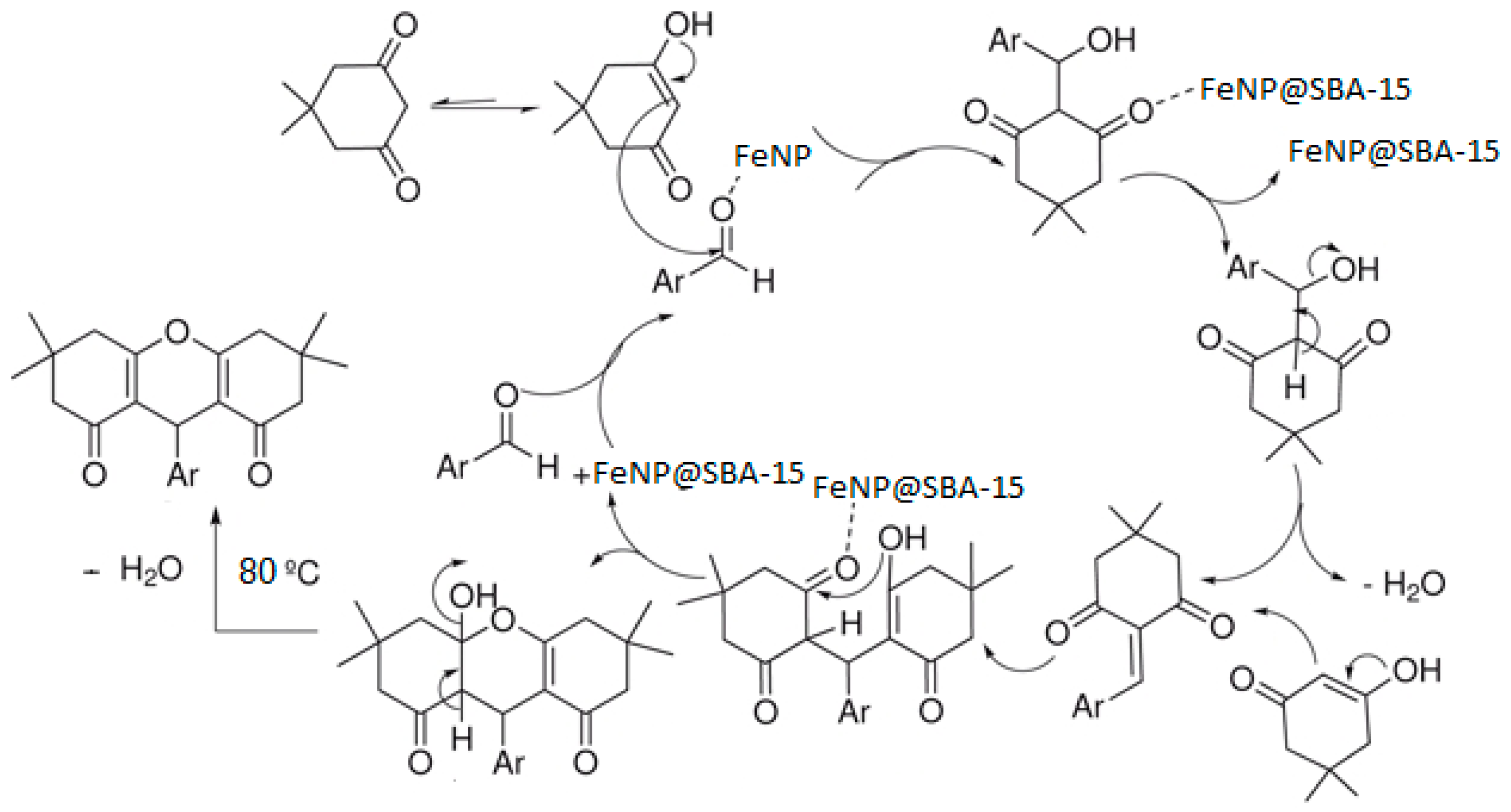
The reaction mechanism is shown in Scheme 2 in which the acidity of the Fe-containing material plays a key role in activating the carbonyl group in the first step as well as in the generated intermediate to close the catalytic circle (Scheme 2), generating the xanthene derivatives via final dehydration at 80 °C. A similar reaction mechanism based on similar acid–base carbonyl activation reactions has been recently described for Cirujano et al. using acidic H-USY or Al-MCM supports of metal oxide nanoparticles [56].
Scheme 2.
Reaction mechanism for the proposed xanthene syntheses.
4. Conclusions
The solventless preparation of 1,8-dioxo-octahydroxanthenes from aromatic aldehydes and dimedone was successfully accomplished employing supported iron oxide nanocatalyst. The proposed catalytic system was found to be highly stable and reusable (up to 12 times), recovered by using simple filtration, without any activity loss. Effectiveness, generality, less reaction time, high yields, low catalyst loading, simplicity and easy work-up procedure as well as the benefits of neat reaction conditions are promising points for the presented methodology.
Supplementary Materials
The following are available online at https://www.mdpi.com/1996-1944/12/15/2386/s1, Table S1: Selected spectroscopic data.
Author Contributions
M.A. and E.S.D. conducted all experimental work. F.R., M.G.O. and R.L. supervised, discussed, edited and revised the manuscript, O.M.O., P.G.-L. and A.R.P.-S. wrote original manuscript.
Funding
F.R. is grateful to Payame Noor University and Iran National Science Foundation (INSF) for the support of this work. The publication has been prepared with support from RUDN University Program 5-100.
Conflicts of Interest
The authors declare no conflict of interest.
References
- Olivon, K.; Sarrazin, F. Heterogeneous reaction with solid catalyst in droplet-flow millifluidic device. Chem. Eng. J. 2013, 227, 97–102. [Google Scholar] [CrossRef]
- Chibale, K.; Visser, M.; van Schalkwyk, D.; Smith, P.J.; Saravanamuthu, A.; Fairlamb, A.H. Exploring the potential of xanthene derivatives as trypanothione reductase inhibitors and chloroquine potentiating agents. Tetrahedron 2003, 59, 2289–2296. [Google Scholar] [CrossRef]
- Poupelin, J.P.; Saint-Rut, G.; Lakroix, R.; Fussard-Blanpin, O.; Narcisse, G.; Uchida-Ernouf, G. Synthesis and antiinflammatory properties of bis(2-hydroxy, 1-naphthyl) methane derivatives. Eur. J. Med. Chem. 1978, 13, 67–71. [Google Scholar]
- Limsuwan, S.; Trip, E.N.; Kouwen, T.R.H.M.; Piersma, S.; Hiranrat, A.; Mahabusarakam, W.; Voravuthikunchai, S.P.; Van Dijl, J.M.; Kayser, O. Rhodomyrtone: A new candidate as natural antibacterial drug from Rhodomyrtus tomentosa. Phytomedicine 2009, 16, 645–651. [Google Scholar] [CrossRef] [PubMed]
- Kalinski, C.; Lemoine, H.; Schmidt, J.; Burdack, C.; Kolb, J.; Umkehrer, M.; Ross, G. Multicomponent reactions as a powerful tool for generic drug synthesis. Synthesis 2008, 24, 4007–4011. [Google Scholar] [CrossRef]
- Ion, R.M.; Planner, A.; Wiktorowicz, K.; Frackowiak, D. The incorporation of various porphyrins into blood cells measured via flow cytometry, absorption and emission spectroscopy. Acta Biochim. Pol. 1998, 45, 833–845. [Google Scholar] [PubMed]
- Callan, J.F.; De Silva, P.; Magri, D.C. Luminescent sensors and switches in the early 21st century. Tetrahedron 2005, 61, 8551–8588. [Google Scholar] [CrossRef]
- Ellis, G.P. The chemistry of heterocyclic compounds. In Chromene, Chromanes and Chromone; John Wiley: New York, NY, USA, 1997. [Google Scholar]
- Abdel Galil, F.M.; Riad, B.Y.; Sherif, S.M.; Elnagdi, M.H. Activated nitriles in heterocyclic synthesis: A novel synthesis of 4-azoloyl-2-aminoquinolines. Chem. Lett. 1982, 11, 1123–1126. [Google Scholar] [CrossRef]
- Hafez, E.A.A.; Elnagdi, M.H.; Elagamey, A.G.A.; El-Taweel, F.M.A.A. Nitriles in heterocyclic synthesis: Novel synthesis of benzo[c]coumarin and of benzo[c]pyrano[3,2-c]quinoline derivatives. Heterocycles 1987, 26, 903–907. [Google Scholar] [CrossRef]
- Banerjee, A.; Mukherjee, A.K. Chemical aspects of santalin as a histological stain. Stain Technol. 1981, 56, 83–85. [Google Scholar] [CrossRef]
- Kuo, C.W.; Fang, J.M. Synthesis of xanthenes, indanes, and tetrahydronaphthalenes via intramolecular phenyl–carbonyl coupling reactions. Synth. Commun. 2001, 31, 877–892. [Google Scholar] [CrossRef]
- Knight, D.W.; Little, P.B. The first efficient method for the intramolecular trapping of benzynes by phenols: A new approach to xanthenes. J. Chem. Soc. Perkin. Trans. 2001, 1, 1771. [Google Scholar] [CrossRef]
- Quintas, D.; Garci, A.; Bomiuguez, D. Synthesis of Spiro[pyrrolidine or piperidine-3,9′-xanthenes] by Anionic Cyclo-acylation of Carbamates. Tetrahedron Lett. 2003, 52, 9291–9294. [Google Scholar] [CrossRef]
- Bekaert, A.; Andrieux, J.; Plat, M. New total synthesis of bikaverin. Tetrahedron Lett. 1992, 33, 2805–2806. [Google Scholar] [CrossRef]
- Casiraghi, G.; Casnati, G.; Cornia, M. Regiospecific reactions of phenol salts: Reaction-pathways of alkylphenoxy-magnesiumhalides with triethylorthoformate. Tetrahedron Lett. 1973, 14, 679–682. [Google Scholar] [CrossRef]
- Sen, R.N.; Sarkar, N.N. The condensation of primary alcohols with resorcinol and other hydroxy aromatic compounds. J. Am. Chem. Soc. 1925, 47, 1079–1091. [Google Scholar] [CrossRef]
- Papini, P.; Cimmarusti, R. The action of formamide and formanilide on naphthols and on barbituric acid. Gazz. Chim. Ital. 1947, 77, 142–145. [Google Scholar]
- Ota, K.; Kito, T. An improved synthesis of dibenzoxanthene. Bull. Chem. Soc. Jpn. 1967, 49, 1167–1168. [Google Scholar] [CrossRef]
- Jin, T.S.; Zhang, J.S.; Xiao, J.C.; Wang, A.Q.; Li, T.S. Clean synthesis of 1,8-dioxo-octahydroxanthene derivatives catalyzed by p-dodecylbenezenesulfonic acid in aqueous media. Synlett 2004, 5, 866–870. [Google Scholar] [CrossRef]
- Das, B.; Thirupathi, P.; Mahender, I.; Reddy, K.R.; Ravikanth, B.; Nagarapu, L. An efficient synthesis of 1,8-dioxo-octahydroxanthenes using heterogeneous catalysts. Catal. Commun. 2007, 8, 535–538. [Google Scholar] [CrossRef]
- Seyyedhamzeh, M.; Mirzaei, P.; Bazgir, A. Solvent-free synthesis of aryl-14H-dibenzo[a,j]xanthenes and 1,8-dioxo-octahydro-xanthenes using silica sulfuric acid as catalyst. Dyes. Pigm. 2008, 76, 836–839. [Google Scholar] [CrossRef]
- Das, B.; Thirupathi, P.; Mahender, I.; Reddy, V.S.; Rao, Y.K. Amberlyst-15: An efficient reusable heterogeneous catalyst for the synthesis of 1,8-dioxo-octahydroxanthenes and 1,8-dioxo-decahydroacridinesao. J. Mol. Catal. A Chem. 2006, 247, 233–239. [Google Scholar] [CrossRef]
- Fan, X.; Hu, X.; Zhang, X.; Wang, J. InCl3·4H2O-promoted green preparation of xanthenedione derivatives in ionic liquids. Can. J. Chem. 2005, 83, 16–20. [Google Scholar] [CrossRef]
- Wang, X.S.; Shi, D.Q.; Li, Y.L.; Chen, H.; Wei, X.Y.; Zong, Z.M. A clean synthesis of 1-oxo-hexahydroxanthene derivatives in aqueous media catalyzed by TEBA. Synth. Commun. 2005, 35, 97–104. [Google Scholar] [CrossRef]
- Srihari, P.; Mandal, S.S.; Reddy, J.S.S.; Srinivasa Rao, R.; Yadav, J.S. Synthesis of 1,8-dioxo-octahydroxanthenes utilizing PMA-SiO2 as an efficient reusable catalyst. Chin. Chem. Lett. 2008, 19, 771–774. [Google Scholar] [CrossRef]
- Kantevari, S.; Bantu, R.; Nagarapu, L.J. HClO4-SiO2 and PPA-SiO2 catalyzed efficient one-pot Knoevenagel condensation, Michael addition and cyclo-dehydration of dimedone and aldehydes in acetonitrile, aqueous and solvent free conditions: Scope and limitations. Mol. Catal. A Chem. 2007, 269, 53–57. [Google Scholar] [CrossRef]
- Maghsoodlou, M.T.; HabibiKhorassani, S.M.; Shahkarami, Z.; Maleki, N.; Rostamizadeh, M. An efficient synthesis of 2,2′-arylmethylene bis(3-hydroxy-5,5-dimethyl-2-cyclohexene-1-one) and 1,8-dioxooctahydroxanthenes using ZnO and ZnO-acetyl chloride. Chin. Chem. Lett. 2010, 21, 686–689. [Google Scholar] [CrossRef]
- Imani Shakibaei, G.; Mirzaei, P.; Bazgir, A. Dowex-50W promoted synthesis of 14-aryl-14H-dibenzo[a,j]xanthene and 1,8-dioxo-octahydroxanthene derivatives under solvent-free conditions. Appl. Catal. A Gen. 2007, 325, 188–192. [Google Scholar] [CrossRef]
- Zhang, Z.H.; Liu, Y.H. Antimony trichloride/SiO2 promoted synthesis of 9-ary-3,4,5,6,7,9-hexahydroxanthene-1,8-diones. Catal. Commun. 2008, 9, 1715–1719. [Google Scholar] [CrossRef]
- Heravi, M.M.; Bakhtiari, K.; Daroogheha, Z.; Bamoharram, F.F. Facile heteropolyacid-promoted synthesis of 14-substituted-14-H-dibenzo[a,j]xanthene derivatives under solvent-free conditions. J. Mol. Catal. A Chem. 2007, 273, 99–101. [Google Scholar] [CrossRef]
- Mahdavinia, G.H.; Bigdeli, M.A.; Saeidi Hayeniaz, Y. Covalently anchored sulfonic acid on silica gel (SiO2-R-SO3H) as an efficient and reusable heterogeneous catalyst for the one-pot synthesis of 1,8-dioxo-octahydroxanthenes under solvent-free conditions. Chin. Chem. Lett. 2009, 20, 539–541. [Google Scholar] [CrossRef]
- Karthikeyan, G.; Pandurangan, A.J. Heteropolyacid (H3PW12O40) supported MCM-41: An efficient solid acid catalyst for the green synthesis of xanthenedione derivatives. Mol. Catal. A Chem. 2009, 311, 36–45. [Google Scholar] [CrossRef]
- Bigdeli, M. Clean synthesis of 1,8-dioxooctahydroxanthenes promoted by DABCO-bromine in aqueous media. Chin. Chem. Lett. 2010, 21, 1180–1182. [Google Scholar] [CrossRef]
- Zhang, Z.H.; Tao, X.Y. 2,4,6-Trichloro-1,3,5-Triazine-Promoted Synthesis of 1,8-Dioxo-Octahydroxanthenes under Solvent-Free Conditions. Aust. J. Chem. 2008, 61, 77–79. [Google Scholar] [CrossRef]
- Kantevari, S.; Bantu, R.; Nagarapu, L. TMSCl mediated highly efficient one-pot synthesis of octahydroquinazolinone and 1,8-dioxo-octahydroxanthene derivatives. ARKIVOC 2006, 16, 136–148. [Google Scholar]
- Mohammadpoor-Baltork, I.; Moghadam, M.; Mirkhani, V.; Tangestaninejad, S.; Tavakoli, H.R. Highly efficient and green synthesis of 14-aryl(alkyl)-14H-dibenzo[a,j]xanthene and 1,8-dioxooctahydroxanthene derivatives catalyzed by reusable zirconyl triflate [ZrO(OTf)2] under solvent-free conditions. Chin. Chem. Lett. 2011, 22, 9–12. [Google Scholar] [CrossRef]
- Zare, A.; Moosavi-Zare, A.R.; Merajoddin, M.; Zolfigol, M.A.; Hekmat-Zadeh, T.; Hasaninejad, A.; Khazaei, A.; Mokhlesi, M.; Khakyzadeh, V.; Derakhshan-Panah, F.; et al. Ionic liquid triethylamine-bonded sulfonic acid {[Et3N–SO3H]Cl} as a novel, highly efficient and homogeneous catalyst for the synthesis of β-acetamido ketones, 1,8-dioxo-octahydroxanthenes and 14-aryl-14H-dibenzo[a,j]xanthenes. J. Mol. Liq. 2012, 167, 69–77. [Google Scholar] [CrossRef]
- Rostamizadeh, S.; Amani, A.M.; Mahdavinia, G.H.; Amiri, G.; Sepehrian, H. Ultrasound promoted rapid and green synthesis of 1,8-dioxo-octahydroxanthenes derivatives using nanosized MCM-41-SO3H as a nanoreactor, nanocatalyst in aqueous media. Ultrason Sonochem 2010, 17, 306–309. [Google Scholar] [CrossRef]
- Song, G.; Wang, B.; Luo, H.; Yang, L. Fe3+-montmorillonite as a cost-effective and recyclable solid acidic catalyst for the synthesis of xanthenediones. Catal. Commun. 2007, 8, 673–676. [Google Scholar] [CrossRef]
- Rashedian, F.; Saberi, D.; Niknam, K. Silica-Bonded N-Propyl Sulfamic Acid: A Recyclable Catalyst for the Synthesis of 1,8-Dioxo-decahydroacridines, 1,8-Dioxo-octahydroxanthenes and Quinoxalines. J. Chin. Chem. Soc. 2010, 57, 998–1006. [Google Scholar] [CrossRef]
- Waghmare, A.S.; Kadam, K.R.; Pandit, S.S. Hypervalent iodine catalysed synthesis of 1, 8-dioxo-octahydroxanthenes in aqueous media. Arch. Appl. Sci. Res. 2011, 3, 423–427. [Google Scholar]
- Fan, X.S.; Li, Y.Z.; Zhang, X.Y.; Hu, X.Y.; Wang, J.J. FeCl3·6H2O catalyzed reaction of aromatic aldehydes with 5, 5-dimethyl-1, 3-cyclohexandione in ionic liquids. Chin. Chem. Lett. 2005, 16, 897–899. [Google Scholar]
- Rajabi, F.; Naserian, S.; Primo, A.; Luque, R. Efficient and highly selective aqueous oxidation of sulfides to sulfoxides at room temperature catalysed by supported iron oxide nanoparticles on SBA-15. Adv. Synth. Catal. 2011, 353, 2060–2066. [Google Scholar] [CrossRef]
- Rajabi, F.; Abdollahi, M.; Luque, R. Solvent-free esterification of carboxylic acids using supported iron oxide nanoparticles as an efficient and recoverable catalyst. Materials 2016, 9, 557. [Google Scholar] [CrossRef] [PubMed]
- Rajabi, F.; Karimi, N.; Saidi, M.R.; Primo, A.; Varma, R.S.; Luque, R. Unprecedented selective oxidation of styrene derivatives using a supported iron oxide nanocatalyst in aqueous medium. Adv. Synth. Catal. 2012, 354, 1707–1711. [Google Scholar] [CrossRef]
- Rajabi, F.; Arancon, R.A.D.; Luque, R. Aqueous synthesis of 1,8-dioxo-octahydroxanthenes using supported cobalt nanoparticles as a highly efficient and recyclable nanocatalyst. Catal. Commun. 2018, 59, 101–103. [Google Scholar] [CrossRef]
- Maleki, B.; Gholizadeh, M.; Zeinalabedin, S. 1,3,5-Trichloro-2,4,6-Triazinetrion: A Versatile Heterocycle for the One-Pot Synthesis of 14-Aryl- or Alkyl -14H-Dibenzo[a,j]xanthene, 1,8-Dioxooctahydroxanthene and 12-Aryl-8,9,10,12-Tetrahydrobenzo[a]xanthene-11-one Derivatives under Solvent-Free Conditions. Bull. Korean Chem. Soc. 2011, 32, 1697–1702. [Google Scholar]
- Mulakayala, N.; Kumar, G.P.; Rambabu, D.; Aeluri, M.; Basaveswara Rao, M.V. A greener synthesis of 1,8-dioxo-octahydroxanthene derivatives under ultrasound. Tetrahedron Lett. 2012, 53, 6923–6926. [Google Scholar] [CrossRef]
- Hasaninejad, A.; Dadar, M.; Zare, A. Silica-supported phosphorus-containing catalysts efficiently promoted synthesis of 1,8-dioxo-octahydro-xanthenes under solvent-free conditions. Chem. Sci. Trans. 2012, 1, 233–238. [Google Scholar] [CrossRef]
- Khazaei, A.; Reza Moosavi-Zare, A.; Mohammadi, Z.; Zare, A.; Khakyzadeh, V.; Darvishi, G. Efficient preparation of 9-aryl-1,8-dioxo-octahydroxanthenes catalyzed by nano-TiO2 with high recyclability. RSC Adv. 2013, 3, 1323–1326. [Google Scholar] [CrossRef]
- Zolfigol, M.A.; Ayazi-Nasrabadi, R.; Baghery, S.; Khakyzadeh, V.; Azizian, S. Applications of a novel nano magnetic catalyst in the synthesis of 1,8-dioxo-octahydroxanthene and dihydropyrano[2,3-c]pyrazole derivatives. J. Mol. Catal. A. Chem. 2016, 418–419, 54–67. [Google Scholar] [CrossRef]
- Khoeiniha, R.; Ezabadi, A.; Olyaei, A. An efficient solvent-free synthesis of 1,8-dioxo-octahydroxanthenes by using Fe2(SO4)3.7H2O as catalyst. Iran Chem. Commun. 2016, 4, 273–282. [Google Scholar]
- Bayat, M.; Imanieh, H.; Hossieni, S.H. An efficient solvent free synthesis of 1,8-dioxo-octahydroxanthene using p-toluene sulfonic acid. Chin. J. Chem. 2009, 27, 2203–2206. [Google Scholar] [CrossRef]
- Bansal, P.; Chaudhary, G.R.; Kaur, N.; Mehta, S.K. An efficient and green synthesis of xanthene derivatives using CuS quantum dots as a heterogeneous and reusable catalyst under solvent free conditions. RSC Adv. 2015, 5, 8205–8209. [Google Scholar] [CrossRef]
- Martin, N.; Dusselier, M.; De Vos, D.E.; Cirujano, F.G. Metal-Organic framework derived metal oxide clusters in porous aluminosilicates: A catalyst design for the synthesis of bioactive aza-heterocycles. ACS Catal. 2019, 1, 44–48. [Google Scholar] [CrossRef]
© 2019 by the authors. Licensee MDPI, Basel, Switzerland. This article is an open access article distributed under the terms and conditions of the Creative Commons Attribution (CC BY) license (http://creativecommons.org/licenses/by/4.0/).


