Abstract
In this paper, the magnetocaloric properties of Gd1−xTbx alloys were studied and the optimum composition was determined to be Gd0.73Tb0.27. On the basis of Gd0.73Tb0.27, the influence of different Fe-doping content was discussed and the effect of heat treatment was also investigated. The adiabatic temperature change (ΔTad) obtained by the direct measurement method (under a low magnetic field of 1.2 T) and specific heat capacity calculation method (indirect measurement) was used to characterize the magnetocaloric properties of Gd1−xTbx(x = 0~0.4) and (Gd0.73Tb0.27)1−yFey (y = 0~0.15), and the isothermal magnetic entropy (ΔSM) was also used as a reference parameter for evaluating the magnetocaloric properties of samples together with ΔTad. In Gd1−xTbx alloys, the Curie temperature (Tc) decreased from 293 K (x = 0) to 257 K (x = 0.4) with increasing Tb content, and the Gd0.73Tb0.27 alloy obtained the best adiabatic temperature change, which was ~3.5 K in a magnetic field up to 1.2 T (Tc = 276 K). When the doping content of Fe increased from y = 0 to y = 0.15, the Tc of (Gd0.73Tb0.27)1−yFey (y = 0~0.15) alloys increased significantly from 276 K (y = 0) to 281 K (y = 0.15), and a good magnetocaloric effect was maintained. The annealing of alloys (Gd0.73Tb0.27)1−yFey (y = 0~0.15) at 1073 K for 10 h resulted in an average increase of 0.3 K in the maximum adiabatic temperature change and a slight increase in Tc. This study is of great significance for the study of magnetic refrigeration materials with adjustable Curie temperature in a low magnetic field.
1. Introduction
Magnetic refrigeration technology based on magnetocaloric effect (MCE) has gained wide attention because of its high efficiency and low carbon dioxide emissions. As a new refrigeration technology, its environmentally friendly properties can largely reduce the global greenhouse effect and excessive energy consumption. The MCE is the endothermic and exothermic behaviors of materials with a change in the applied magnetic field, and it is evaluated by adiabatic temperature change (ΔTad) and isothermal magnetic entropy (ΔSM). The ideal operating temperature of the magnetic refrigeration material is near the Curie temperature, because the adiabatic temperature change and the isothermal magnetic entropy reach peaks in this temperature range.
Room-temperature magnetic refrigeration technology is expected to replace traditional gas compression refrigeration technology in the future, therefore, magnetic materials with excellent magnetocaloric properties at room temperature have been extensively studied around the world [1,2,3,4]. After decades of research, many excellent room temperature magnetic refrigeration materials have been discovered. In 1968, Brown [5] found the large MCE of Gd (Tc = 293 K). In 1997, Pecharsky and Gschneidner [6] observed Gd5Si2Ge2 with a first-order phase transition having an MCE of about 18 J/(kg·K) under the magnetic field change of 0–5 T, which is larger than that of pure Gd (~10 J/(kg·K)) under the same condition. Fengxia Hu et al. [7] found that LaFe13−xSix had a large MCE of about 19.7 J/(kg·K) at 208 K for a field change of 0–5 T. In addition to the discoveries mentioned above, materials such as MnAs1−xSbx [8,9], Ni–Mn–Sn [10,11,12], and La1−xCaxMnO3 [13,14,15] have also been found to have good room temperature magnetic refrigeration performances. These achievements are sufficient to show that room temperature magnetic refrigeration has good development prospects, especially the pure Gd, which is now used as a benchmark for magnetic refrigeration materials.
However, the isothermal magnetic entropy (ΔSM) obtained by calculating the isothermal magnetization curve using Maxwell’s equation (Equation (1)) is limited. The results obtained by indirect measurement show that the magnetic entropy change calculated by Maxwell equation should not have a huge peak value. Further research shows that the calculation of magnetic entropy change by Maxwell’s equation is not applicable near Curie temperature, because paramagnetism (PM) and ferromagnetism (FM) coexist near Curie temperature, so that the huge false results of entropy peak are obtained [16]. Therefore, it is not appropriate to use isothermal magnetic entropy to evaluate the magnetocaloric properties of a material. The results of ΔSM can be used as a reference for magnetocaloric properties. In order to correctly evaluate the magnetocaloric properties of magnetic materials, it is necessary to study the performance of the material under cyclic conditions [17].
The adiabatic temperature change (ΔTad) measured by direct measurement method (i.e., ΔTad is the difference among the temperature of the sample measured directly at Hi and Hf, where Hf and Hi are the final and initial magnetic fields, respectively) and specific heat capacity calculation method (indirect measurement) is also suitable for practical applications [18]. Adiabatic temperature change is the driving force of the heat transfer efficiency of the heat transfer fluid in the refrigerator. The adiabatic temperature change is also a key and direct parameter to measure the magnetocaloric properties of a material. It is more direct and accurate to characterize the magnetocaloric properties of materials through adiabatic temperature change.
The direct measurement method is more suitable for the testing of commercial products because of its intuitiveness and convenience. The indirect measurement method is applicable to the equilibrium state or the near equilibrium state. However, most of the magnetic refrigeration processes are dynamic, so the ΔTad obtained by the indirect measurement method was used as supplementary data and reference for the direct measurement method in this paper [2]. These two methods can be applied in both first-order and second-order phase transition magnetic materials.
The premise of the excellent MCE in the currently available magnetic refrigerant materials is only realized in a high-cost superconducting magnetic fields (usually from 0 T to 5 T/10 T), which brings out high costs in practical application. Therefore, it is very important to develop advanced magnetic refrigeration materials with high adiabatic temperature change under low-applied magnetic fields provided by permanent magnets [19,20]. The adiabatic temperature changes directly measured in this paper were achieved with a 1.2 T low magnetic field provided by an NdFeB permanent magnet.
As a typical magnetic refrigeration material, pure Gd has an excellent application prospect in the field of magnetic refrigeration. However, for the reason that the Curie temperature of pure Gd is fixed and not adjustable, its application scope is limited. Therefore, it is of great significance to study alloys with variable Curie temperature [21,22,23,24]. In this work, Gd and Tb alloys with different atomic ratios were studied, and the effect of adding Tb on the Tc and MCE of Gd-based alloys was achieved. After the Gd1−xTbx alloy system was determined, the effects of doping a small amount of Fe and adding heat treatment on the MCE were also revealed.
2. Experimental Details
The alloys of Gd1−xTbx, (Gd0.73Tb0.27)1−yFey (x = 0~0.4, y = 0~0.15, at.%) were obtained by arc melting Gd (99.9%), Tb (99.9%), and Fe (99.9%) in an argon atmosphere. Each ingot was smelted five times to ensure uniformity of composition. Heat treatments of (Gd0.73Tb0.27)1−yFey (y = 0~0.15) were carried out at 1073 K for 10 h. The phase structure was characterized on a D/max-rB X-ray diffractometer. The adiabatic temperature change (ΔTad) of all samples was measured by the direct measurement method under an applied magnetic field of 1.2 T (the magnetocaloric direct measuring instrument is shown in Figure 1. Test procedure: (1) Firstly, the sample was attached to the temperature sensor in an adiabatic thermostat, and then the initial temperature, the end temperature, and heating rate of the test were set; (2) in the second step, the sample was pushed into an applied magnetic field of 1.2 T, and the temperature controller was operated to raise the temperature; (3) in the third step, the temperature of the test chamber rose slowly, and the test was performed every 4 K during the heating process; the instrument pulled the sample out of the magnetic field, the temperature of the sample dropped sharply until it was stable, and the T and ΔTad at this time were recorded; (4) the fourth step was to push the sample into the magnetic field until the next test temperature point).
Figure 1.
The structure chart of ΔTad–T direct measuring instrument.
The physical property measurement system (PPMS-9) was used to measure the samples’ isothermal magnetization curve in a 2 T magnetic field (temperature increment was 4 K). The magnetic entropy change (ΔSM) calculated by the Maxwell relation (1):
The PPMS system was also used to measure the specific heat capacity in the temperature range of 2–400 K under a zero applied magnetic field. The adiabatic temperature change can also be calculated by applying Formula (2) shown below.
(The parameters in Formula (2)—ΔTad: adiabatic temperature change; T: temperature; Cp: specific heat capacity; ΔSM: magnetic entropy change.)
3. Results and Discussion
3.1. Gd–Tb Alloys
The adiabatic temperature change (ΔTad) (achieved by direct measurement) and the Curie temperature (Tc) of Gd1−xTbx (the value of x from 0 to 0.4, step size is 0.1) are shown in Figure 2a. As the Tb content increased, the Curie temperature decreased monotonously, in accordance with the linear fitting equation shown in Figure 2b. To consider the Curie temperature and the adiabatic temperature change together as a whole, further study is needed between x = 0.1 and x = 0.3 (the value of x from 0.1 to 0.3, step size is 0.01). It can be concluded from Figure 2a that when x = 0.27, the Gd–Tb system obtained the largest adiabatic temperature change under 1.2 T applied magnetic field (ΔTad= 3.5 K, Tc = 276 K). The X-ray diffraction results for Gd1−xTbx alloys (x = 0, 0.1, 0.2, 0.27, 0.3, 0.4) are shown in Figure 2c. The results showed that these samples had similar XRD curves, and only Gd phase can be labeled, indicating that the Tb atoms solubilize in Gd solutions. The crystal structure of Gd and Tb was a hexagonal, close-packed structure, and the atomic radius difference of the elements (Δr) was 1.2% (rGd = 2.54 Å, rTb = 2.51 Å), which tended to form a substitutional solid solution.
Figure 2.
(a) Adiabatic temperature change of Gd1−xTbx under a 1.2 T applied magnetic field by direct measurement method, (b) Linear fit of the Curie temperature (Tc) and Tb content (x) of Gd1−xTbx, (c) X-ray diffraction patterns of the Gd1−xTbx (x = 0, 0.1, 0.2, 0.27, 0.3, 0.4) samples.
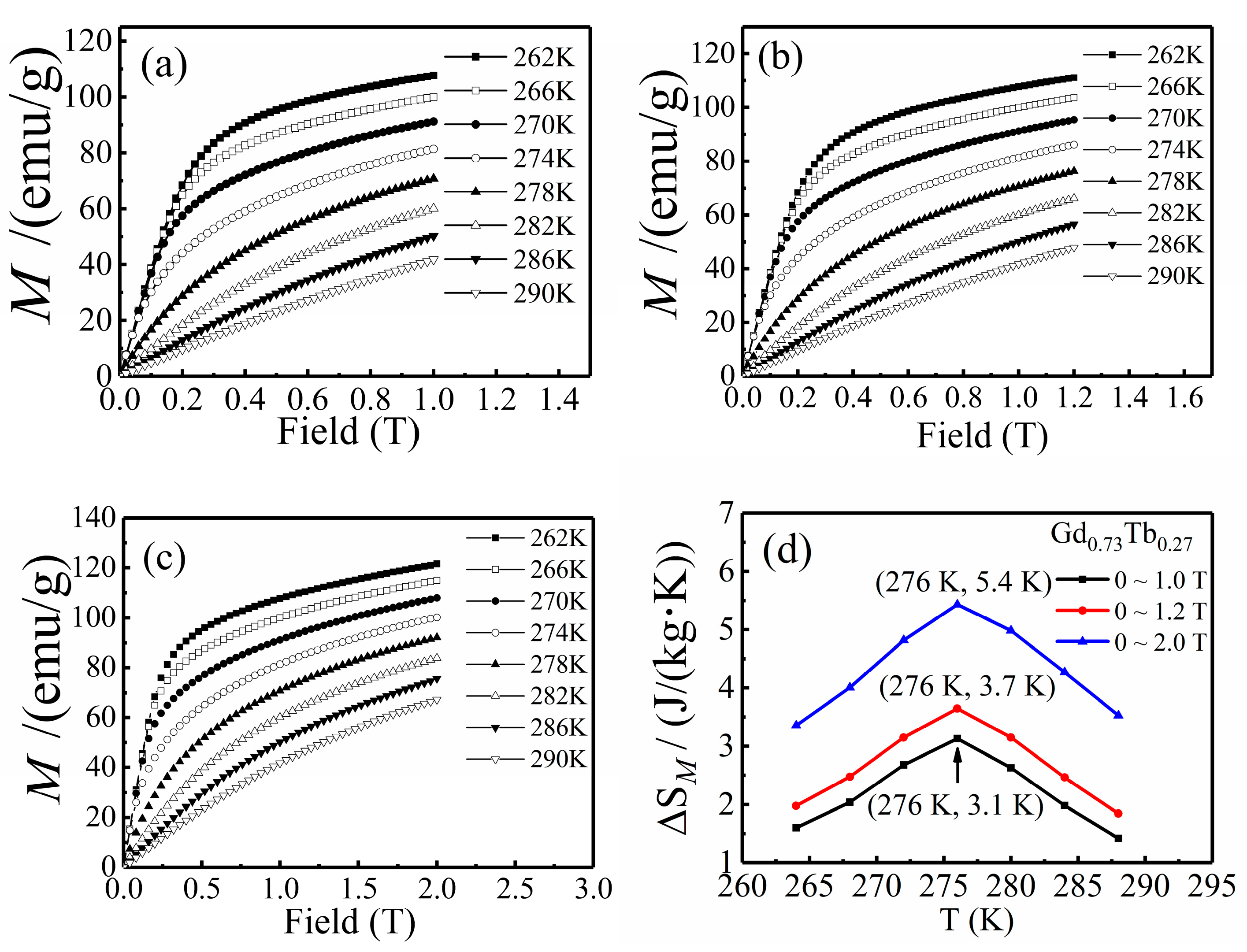
Isothermal magnetization curves M(μ0H)T of Gd0.73Tb0.27 alloys under different magnetic fields (0–1 T, 0–1.2 T, 0–2 T) were also measured, showing in Figure 3a–c. The isothermal magnetic entropy change (ΔSM) calculated by Maxwell’s equation (Equation (1)) on the isothermal magnetization curves M(μ0H)T can be used together with the adiabatic temperature change to evaluate the magnetocaloric properties of alloys, which provides a more accurate result. Figure 3d indicates that with the magnetic field increases, the isothermal magnetic entropy increased significantly, reaching the maximum value near Curie temperature and the value were 3.1 J·kg−1·K−1, 3.7 J·kg−1·K−1, 5.4 J·kg−1·K−1, corresponding to the applied magnetic field changes of 0–1 T, 0–1.2 T, 0–2 T.
Figure 3.
(a–c) The magnetization isotherms of Gd0.73Tb0.27 in magnetic fields of 1 T, 1.2 T, 2 T, (d) magnetic entropy change of Gd0.73Tb0.27 from M(μ0H)T dependence using Equation (1) in magnetic fields of 1 T, 1.2 T, and 2 T.
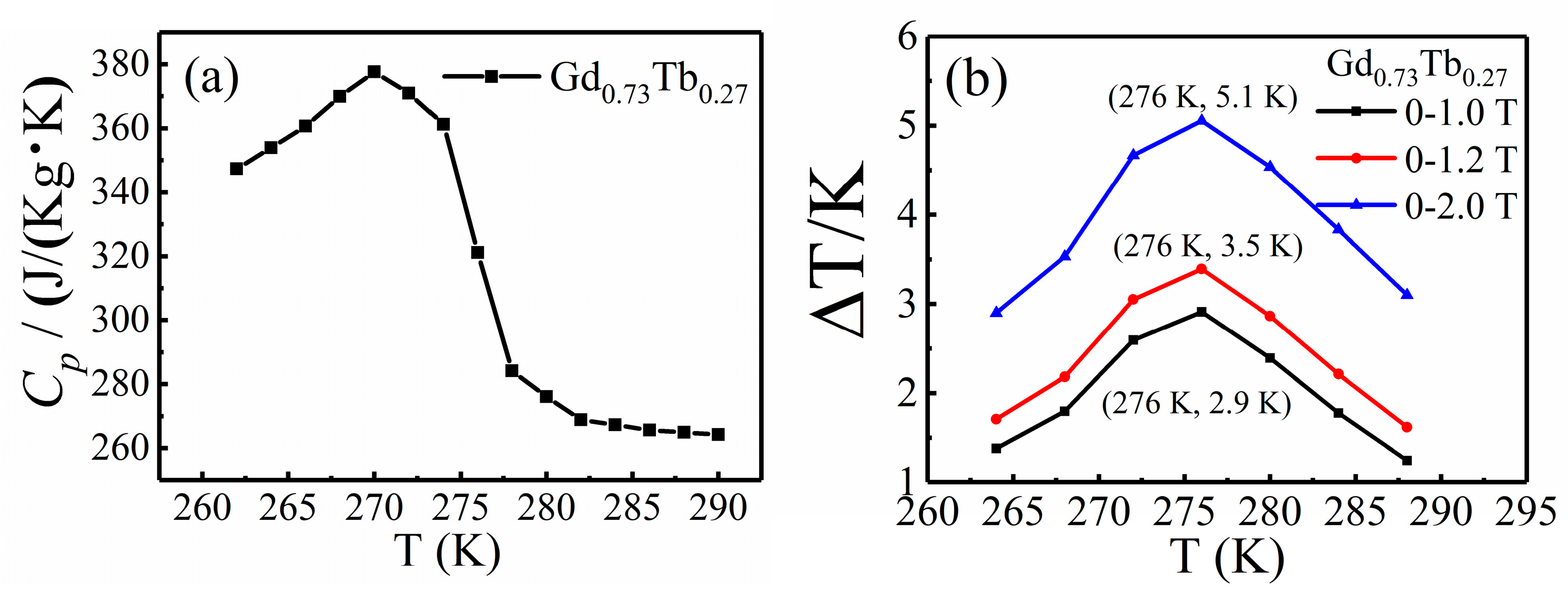
The adiabatic temperature change obtained by indirect measurement is also an important parameter for measuring the magnetocaloric properties of materials. In this paper, we used it as a supplement and reference for the results of direct measurement. The parameters used in Equation (2) are isothermal magnetic entropy change (ΔSM) and specific heat capacity under zero field (Cp). Figure 4a shows the specific heat capacity obtained in zero applied field, Figure 3d shows the isothermal magnetic entropy change, and the result of adiabatic temperature change calculated by combining the data of these two figures is shown in Figure 4b. By comparing the value of the adiabatic temperature change achieved by indirect measurement method and direct measurement method under 1.2 T magnetic field, we found that the peak value was the same, about 3.5 K, which shows that the direct measurement method and the indirect measurement method were in good agreement. In addition, when the magnetic fields were 1 T and 2 T, the values of the adiabatic temperature change obtained by indirect measurement were 2.9 K and 5.1 K, respectively.
Figure 4.
(a) Specific heats of Gd0.73Tb0.27 in zero external field, (b) adiabatic temperature change of Gd0.73Tb0.27 (indirect measurement) in magnetic fields of 1 T, 1.2 T, and 2 T.
3.2. Gd–Tb–Fe Alloys
According to the research on Gd1−xTbx, Gd0.73Tb0.27 has the best magnetocaloric effect. On the basis of Gd0.73Tb0.27, the influence of Fe doping needs to be further studied. The curves of maximal adiabatic temperature change and the Curie temperature varied with the content of Fe (y value) can be clearly seen in Figure 5a,b. With the increase of Fe content, the maximum adiabatic temperature change of (Gd0.73Tb0.27)1−yFey decreases from 3.5 K (y = 0) to 2.6 K (y = 0.15) under 1.2 T magnetic field, and the Curie temperature of (Gd0.73Tb0.27)1−yFey increases from 276 K (y = 0) to 281 K (y = 0.15).
Figure 5.
(a) Adiabatic temperature change of Gd1−xTbxsamples (direct measurement) in a magnetic field of 1.2 T, (b) adiabatic temperature change and Tc of (Gd0.73Tb0.27)1−yFey alloys, (c) the XRD patterns of (Gd0.73Tb0.27)1−yFey alloys.
The XRD pattern of (Gd0.73Tb0.27)1−yFey shown in Figure 5c can reveal the effect of Fe doping on the phase structure. When Fe content x = 0.05, Fe2Gd phase begins to appear. With the increase of Fe doping, the cubic Fe2Gd phase content gradually increases. Because the Curie temperature of Fe2Gd phase is too high (Tc = 795 K), the Fe2Gd phase is still ferromagnetic when the ferromagnetic and paramagnetic transition take place in the main phase at 200–300 K, which weakens the intensity of the magnetic moment change, thus leading to the reduction of the magnetocaloric effect. The magnetic moment of Fe was 5.8, and the spin magnetic moment of Fe was anti-parallel with the spin magnetic moments of Gd and Tb, so that the saturation magnetization was reduced, also resulting in a decrease in adiabatic temperature change.
The transition element Fe had a high Curie temperature due to the strong interaction among 3d electrons, and its Curie temperature was 1043 K. The addition of Fe enhanced the indirect interaction of 4f–4f electrons between Gd and Tb atoms, and the interaction of Fe–Fe was stronger than R–Fe and R–R (R = Gd, Tb). As a result, the Curie temperature increased due to the increase in Fe content. Although the addition of Fe reduced the maximum adiabatic temperature change of the alloy, its ΔTad was not lower than pure Gd (ΔTad = 3.1 K) under the same applied magnetic field change of 0–1.2 T, the alloy is still an excellent room temperature magnetic refrigeration material, and the addition of Fe can adjust the Curie temperature while reducing costs.
The effect of Fe doping on the magnetocaloric properties was obtained by studying the (Gd0.73Tb0.27)1−yFey alloy. The heat treatment of the (Gd0.73Tb0.27)1−yFey was also very meaningful and is worth further investigation. According to the binary phase diagram of Gd–Fe and Tb–Fe, the solidus temperature of the two was 1118 K and 1120 K, respectively, thereby determining the heat treatment temperature of 1073 K and the heat treatment time of 10 h, in order to homogenize the structure, remove the residual stress, and reduce the lattice defects.
As one can see in Figure 6a–d, compared with the adiabatic temperature change curves before and after heat treatment, the maximum adiabatic temperature change of Gd0.73Tb0.27 did not change, while the others obviously increased. The increase in the maximum adiabatic temperature change can be observed more intuitively from Figure 6e, with an average raise of 0.3 K. The change in Tc can be derived from Figure 6f. From the temperature measurement point of view, the Curie temperature rise rarely changed.
Figure 6.
(a–e) Comparison of the adiabatic temperature change of alloy (Gd0.73Tb0.27)1−yFey (direct measurement) before and after heat treatment, (f) comparison of the Curie temperature of alloy (Gd0.73Tb0.27)1−yFey before and after heat treatment.
X-ray diffraction (XRD) experiments were performed for (Gd0.73Tb0.27)1−yFey alloys after heat treatment, as shown in Figure 7; the results showed that there was no new phase formed in (Gd0.73Tb0.27)1−yFey alloys compared with that before heat treatment. It means annealing at 1073 K for 10 h does not change the phase structure of the alloy, but only homogenizes the structure. Therefore, the improvement of magnetocaloric properties was due to the homogeneous composition of the sample after heat treatment, and the equilibrium phase was obtained, which is beneficial to the interaction among atomic magnetic moments.
Figure 7.
The XRD patterns of comparison of alloy (Gd0.73Tb0.27)1−yFey before and after heat treatment ((a) y = 0, (b) y = 0.05, (c) y = 0.10, (d) y = 0.15).
4. Conclusions
In this work, the magnetocaloric properties of Gd1−xTbx and (Gd0.73Tb0.27)1−yFey alloys were systematically studied.
- In Gd1−xTbx, the Curie temperature decreased monotonously and linearly with the increase of Tb content, but the adiabatic temperature first rose and then decreased. Considering the magnetocaloric properties and the Curie temperature, x = 0.27 was the most suitable choice.
- In (Gd0.73Tb0.27)1−yFey, Fe doping reduced the adiabatic temperature change of the alloy while increasing the Curie temperature
- Heat treatment of (Gd0.73Tb0.27)1−yFey at 1073 K for 10 h resulted in an average increase in adiabatic temperature change of 0.3 K and a slight increase in the Curie temperature.
- The adiabatic temperature change obtained by the direct measurement method is widely used in the characterization of magnetocaloric effects. The results obtained by the direct measurement method had a good correlation with the results of the isothermal magnetic entropy change and the indirect measurement method, which just shows the accuracy of the direct measurement method.
The alloys studied in this paper have a high magnetocaloric effect, and doping Fe can effectively reduce the cost and adjust the Curie temperature. This series of alloys are potential magnetic refrigeration materials.
Author Contributions
Conceptualization, L.X. and X.H.; Formal Analysis, C.Q., T.S.; Investigation, L.X., Y.A., T.S. and X.H.; Writing-Original Draft Preparation, L.X. and C.Q.; Writing-Review & Editing, L.X. and X.H.; Funding Acquisition, X.H.
Funding
This research was funded by the Joint Research Fund in Astronomy grant number U1531120.
Conflicts of Interest
The authors declare no conflicts of interest.
References
- Glanz, J. Making a bigger chill with magnets. Science 1998, 279, 2045. [Google Scholar] [CrossRef]
- Gschneidner, K.A.; Pecharsky, V.K.; Tsokol, A.O. Recent developments in magnetocaloric materials. Rep. Prog. Phys. 2005, 68, 1479–1539. [Google Scholar] [CrossRef]
- Von Ranke, P.J.; de Oliveira, N.A.; Alho, B.P.; de Sousa, V.S.R.; Plaza, E.J.R.; Carvalho, A.M.G. Magnetocaloric effect in ferromagnetic and ferrimagnetic systems under first and second order phase transition. J. Magn. Magn. Mater. 2010, 322, 84–87. [Google Scholar] [CrossRef]
- Tishin, A.M.; Spichkin, Y.I. The magnetocaloric effect and its application. Mater. Today 2003, 6, 51. [Google Scholar]
- Brown, G.V. Magnetic heat pumping near room temperature. J. Appl. Phys. 1976, 47, 3673–3680. [Google Scholar] [CrossRef]
- Pecharsky, V.K.; Gschneidner, K.A. Giant magnetocaloric effect in Gd5(Si2Ge2). Phys. Rev. Lett. 1997, 78, 4494–4497. [Google Scholar] [CrossRef]
- Hu, F.X.; Shen, B.G.; Sun, J.R.; Cheng, Z.H. Influence of negative lattice expansion and metamagnetic transition on magnetic entropy change in the compound LaFe11.4Si1.6. Appl. Phys. Lett. 2001, 78, 3675–3677. [Google Scholar] [CrossRef]
- De Campos, A.; Da Luz, M.S.; De Campos, A.; Coelho, A.A.; Cardoso, L.P.; Dos Santos, A.O.; Gama, S. Investigations in MnAs1−xSbx: Experimental validation of a new magnetocaloric composite. J. Magn. Magn. Mater. 2015, 374, 342–344. [Google Scholar] [CrossRef]
- Wada, H.; Matsuo, S.; Mitsuda, A. Pressure dependence of magnetic entropy change and magnetic transition in MnAs1−xSbx. Phys. Rev. B 2009, 79, 092407. [Google Scholar] [CrossRef]
- Krenke, T.; Duman, E.; Acet, M.; Moya, X.; Manosa, L. Effect of Co and Fe on the inverse magnetocaloric properties of Ni-Mn-Sn. J. Appl. Phys. 2007, 102, 033903. [Google Scholar] [CrossRef]
- Moya, X.; Manosa, L.; Planes, A.; Krenke, T.; Duman, E.; Acet, M.; Wassermann, E.F. Calorimetric study of the inverse magnetocaloric effect in ferromagnetic Ni–Mn–Sn. J. Magn. Magn. Mater. 2007, 316, 572–574. [Google Scholar] [CrossRef]
- Shamberger, P.J.; Ohuchi, F.S. Hysteresis of the martensitic phase transition in magnetocaloric-effect Ni-Mn-Sn alloys. Phys. Rev. B 2009, 79, 144407. [Google Scholar] [CrossRef]
- Hamad, M.A. Theoretical work on magnetocaloric effect in La0.75Ca0.25MnO3. J. Adv. Ceram. 2012, 1, 290–295. [Google Scholar] [CrossRef]
- Pavlukhina, O.; Buchelnikov, V.; Sokolovskiy, V.; Zagrebin, M. Monte Carlo study of the magnetic and magnetocaloric properties of La1−xCaxMnO3 (x = 0.33 and 0.5). Solid State Phenom. 2012, 190, 347–350. [Google Scholar] [CrossRef]
- Schiffer, P.; Ramirez, A.P.; Bao, W.; Cheong, S.W. Low temperature magnetoresistance and the magnetic phase diagram of La1−xCaxMnO3. Phys. Rev. Lett. 1995, 75, 3336–3339. [Google Scholar] [CrossRef] [PubMed]
- Liu, G.J.; Sun, J.R. Determination of the entropy changes in the compounds with a first-order magnetic transition. Appl. Phys. Lett. 2007, 90, 4494. [Google Scholar] [CrossRef]
- Chirkova, A.; Skokov, K.P.; Schultz, L.; Baranov, N.V.; Gutfleisch, O.; Woodcock, T.G. Giant adiabatic temperature change in FeRh alloys evidenced by direct measurements under cyclic conditions. Acta Mater. 2016, 106, 15–21. [Google Scholar] [CrossRef]
- Giguere, A.; Foldeaki, M.; Gopal, B.R.; Chahine, R.; Bose, T.K.; Frydman, A.; Barclay, J.A. Direct measurement of the “Giant” adiabatic temperature change in Gd5Si2Ge2. Phys. Rev. Lett. 1999, 83, 2262–2265. [Google Scholar] [CrossRef]
- Li, B.; Hu, W.J.; Liu, X.G.; Yang, F.; Ren, W.J.; Zhao, X.G.; Zhang, Z.D. Large reversible magnetocaloric effect in TbCoC2 in low magnetic field. Appl. Phys. Lett. 2008, 92, 1759. [Google Scholar] [CrossRef][Green Version]
- Sarkar, P.; Mandal, P.; Choudhury, P. Large magnetocaloric effect in Sm0.52Sr0.48MnO3 in low magnetic field. Appl. Phys. Lett. 2008, 92, 182506. [Google Scholar] [CrossRef]
- Law, J.Y.; Ramanujan, R.V.; Franco, V. Tunable Curie temperatures in Gd alloyed Fe–B–Cr magnetocaloric materials. J. Alloys Compd. 2010, 508, 14–19. [Google Scholar] [CrossRef]
- Li, J.; Huo, J.; Law, J.; Chang, C.; Du, J.; Man, Q.; Wang, X.; Li, R.W. Magnetocaloric effect in heavy rare-earth elements doped Fe-based bulk metallic glasses with tunable Curie temperature. J. Appl. Phys. 2014, 116, 821. [Google Scholar] [CrossRef]
- Wang, G.F.; Zhao, Z.R.; Wang, D.L.; Zhang, X.F. Tunable Curie Temperature and magnetocaloric effect in Mg-doped (La, Sr)MnO3 manganites. IEEE Trans. Magn. 2015, 51, 1–4. [Google Scholar]
- Zhao, Z.R.; Wang, X.; Wang, G.F.; Zhang, X.F. Tuning of Curie Temperature and magnetocaloric effect via annealing condition change in La0.8K0.2MnO3 manganites. J. Supercond. Novel Magn. 2015, 28, 3693–3700. [Google Scholar] [CrossRef]
© 2019 by the authors. Licensee MDPI, Basel, Switzerland. This article is an open access article distributed under the terms and conditions of the Creative Commons Attribution (CC BY) license (http://creativecommons.org/licenses/by/4.0/).






