Improved Determination of Q Quality Factor and Resonance Frequency in Sensors Based on the Magnetoelastic Resonance Through the Fitting to Analytical Expressions
Abstract
1. Introduction
2. Materials and Methods
2.1. Magnetoelastic Material of the Sensor
2.2. Precipitation Reaction Measurements
2.3. Numerial Fitting of the Sensor Resonance Curves
3. Results and Discussion
3.1. Numerical Fitting of the Resonance Curves and Resonance Frequency
3.2. Comparison of the Results Obtained with Both Numerical Fittings
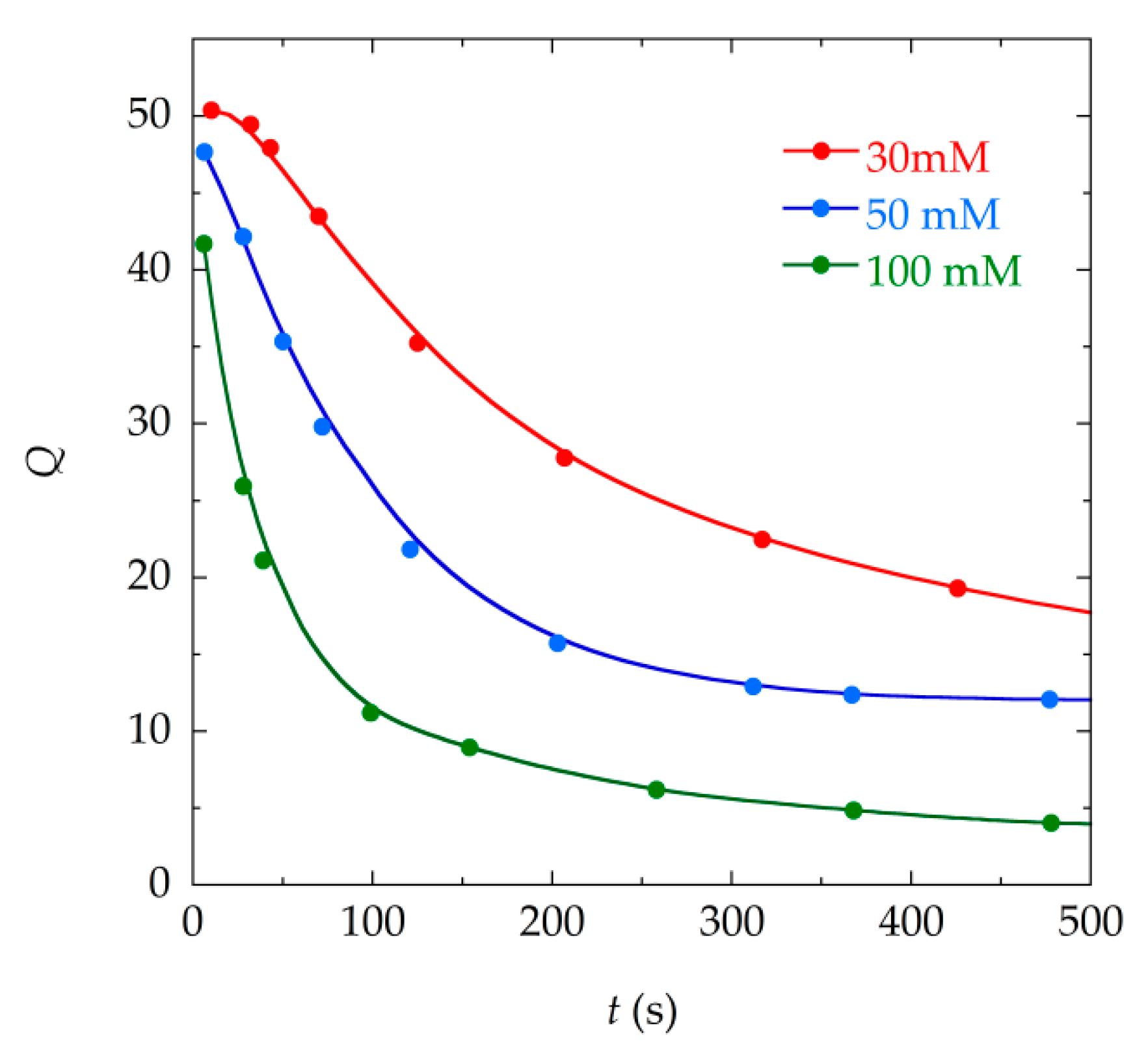
3.3. Determination of the Quality Factor
4. Conclusions
Author Contributions
Funding
Acknowledgments
Conflicts of Interest
References
- Grimes, C.A.; Roy, S.C.; Rani, S.; Cai, Q. Theory, Instrumentation and Applications of Magnetoelastic Resonance Sensors: A Review. Sensors 2011, 11, 2809–2844. [Google Scholar] [CrossRef] [PubMed]
- Grimes, C.A.; Mungle, C.S.; Zeng, K.; Jain, M.K.; Dreschel, W.R.; Paulose, M.; Ong, K.G. Wireless Magnetoelastic Resonance Sensors: A Critical Review. Sensors 2002, 2, 294–313. [Google Scholar] [CrossRef]
- Kouzoudis, D.; Grimes, C.A. The frequency response of magnetoelastic sensors to stress and atmospheric pressure. Smart Mater. Struct. 2000, 9, 885. [Google Scholar] [CrossRef]
- Jain, M.K.; Schmidt, S.; Ong, K.G.; Mungle, C.; Grimes, C.A. Magnetoacoustic remote query temperature and humidity sensors. Smart Mater. Struct. 2000, 9, 502. [Google Scholar] [CrossRef]
- Grimes, C.A.; Kouzoudis, D.; Mungle, C. Simultaneous measurement of liquid density and viscosity using remote query magnetoelastic sensors. Rev. Sci. Instrum. 2000, 71, 3822–3824. [Google Scholar] [CrossRef]
- Bravo-Imaz, I.; García-Arribas, A.; Gorritxategi, E.; Arnaiz, A.; Barandiarán, J.M. Magnetoelastic Viscosity Sensor for On-Line Status Assessment of Lubricant Oils. IEEE Trans. Magn. 2013, 49, 113–116. [Google Scholar] [CrossRef]
- Cai, Q.Y.; Cammers-Goodwin, A.; Grimes, C.A. A wireless, remote query magnetoelastic CO2 sensor. J. Env. Monit. 2000, 2, 556–560. [Google Scholar] [CrossRef]
- Cai, Q.Y.; Grimes, C.A. A remote query magnetoelastic pH sensor. Sens. Actuators B Chem. 2000, 71, 112–117. [Google Scholar] [CrossRef]
- Puckett, L.G.; Barrett, G.; Kouzoudis, D.; Grimes, C.; Bachas, L.G. Monitoring blood coagulation with magnetoelastic sensors. Biosens. Bioelectron. 2003, 18, 675–681. [Google Scholar] [CrossRef]
- Lakshmanan, R.S.; Guntupalli, R.; Hu, J.; Kim, D.J.; Petrenko, V.A.; Barbaree, J.M.; Chin, B.A. Phage immobilized magnetoelastic sensor for the detection of Salmonella typhimurium. J. Microbiol. Methods 2007, 71, 55–60. [Google Scholar] [CrossRef]
- Ruan, C.; Zeng, K.; Varghese, O.K.; Grimes, C.A. Magnetoelastic Immunosensors: Amplified Mass Immunosorbent Assay for Detection of Escherichia coli O157: H7. Anal. Chem. 2003, 75, 6494–6498. [Google Scholar] [CrossRef] [PubMed]
- Zhang, K.; Zhang, L.; Fu, L.; Li, S.; Chen, H.; Cheng, Z.Y. Magnetostrictive resonators as sensors and actuators. Sens. Actuator A Phys. 2013, 200, 2–10. [Google Scholar] [CrossRef]
- Petersan, P.J.; Anlage, S.M. Measurement of resonant frequency and quality factor of microwave resonators: Comparison of methods. J. Appl. Phys. 1998, 84, 3392–3402. [Google Scholar] [CrossRef]
- Kaczkowski, Z. Piezomagnetic parameters of the magnetostrictive materials. Arch. Acoust. 2014, 23, 307–329. [Google Scholar]
- Miller, J.M.L.; Ansari, A.; Heinz, D.B.; Chen, Y.; Flader, I.B.; Shin, D.D.; Kenny, T.W. Effective quality factor tuning mechanisms in micromechanical resonators. Appl. Phys. Rev. 2018, 5, 041307. [Google Scholar] [CrossRef]
- Lopes, A.C.; Sagasti, A.; Lasheras, A.; Muto, V.; Gutiérrez, J.; Kouzoudis, D.; Barandiarán, J.M. Accurate determination of the Q quality factor in magnetoelastic resonant platforms for advanced biological detection. Sensors 2018, 18, 887. [Google Scholar] [CrossRef] [PubMed]
- García-Arribas, A.; Gutiérrez, J.; Kurlyandskaya, G.V.; Barandiarán, J.M.; Svalov, A.; Fernández, E.; Lasheras, A.; de Cos, D.; Bravo-Imaz, I. Sensor applications of soft magnetic materials based on magneto-impedance, magneto-elastic resonance and magneto-electricity. Sensors 2014, 14, 7602–7624. [Google Scholar] [CrossRef]
- Bravo, I.; Arnaiz, A.; García-Arribas, A. Damping of Magnetoelastic Resonance for Oil Viscosity Sensing. IEEE Trans. Magn. 2019, 55, 1–5. [Google Scholar] [CrossRef]
- Bouropoulos, N.; Kouzoudis, D.; Grimes, C. The real-time, in situ monitoring of calcium oxalate and brushite precipitation using magnetoelastic sensors. Sens. Actuators B Chem. 2005, 109, 227–232. [Google Scholar] [CrossRef]
- Sisniega, B.; Sagasti Sedano, A.; Gutiérrez, J.; García-Arribas, A. Real Time Monitoring of Calcium Oxalate Precipitation Reaction by Using Corrosion Resistant Magnetoelastic Resonance Sensors. Sensors 2020, 20, 2802. [Google Scholar] [CrossRef]
- Sagasti, A.; Palomares, V.; Porro, J.M.; Orúe, I.; Sánchez-Ilárduya, M.B.; Lopes, A.C.; Gutiérrez, J. Magnetic, Magnetoelastic and Corrosion Resistant Properties of (Fe–Ni)-Based Metallic Glasses for Structural Health Monitoring Applications. Materials 2020, 13, 57. [Google Scholar] [CrossRef] [PubMed]
- Savage, H.; Abbundi, R. Perpendicular susceptibility, magnetomechanical coupling and shear modulus in Tb.27Dy.73Fe2. IEEE Trans. Magn. 1978, 14, 545–547. [Google Scholar] [CrossRef]













| Composition | (ppm) | (mV) | Corrosion Rate (μm/Year) | |||
|---|---|---|---|---|---|---|
| Fe73Cr5Si10B12 | 1.12 | 14 | 17 | 0.41 | 47 | 0.035 |
| Concentration (mM) | Time (s) | Q (Equation (4)) | Q (Equation (6)) | Q (Equation (9)) | Relative Error * (%) |
|---|---|---|---|---|---|
| 30 | 10.2 | 47.8 | 50.4 | 52.4 | 8.7 |
| 43 | 45.8 | 47.9 | 50.2 | 8.7 | |
| 70 | 40.5 | 43.5 | 45.6 | 11.2 | |
| 125 | 31.5 | 35.2 | 37.0 | 14.8 | |
| 317 | 16.8 | 22.5 | 24.1 | 30.3 | |
| 426 | 12.6 | 19.3 | 20.9 | 39.7 | |
| 50 | 6.3 | 45.6 | 47.7 | 50.0 | 8.8 |
| 28 | 38.9 | 42.1 | 44.0 | 11.6 | |
| 72 | 24.6 | 29.8 | 31.3 | 21.4 | |
| 121 | 15.5 | 21.8 | 23.4 | 33.7 | |
| 312 | - | 12.9 | 15.0 | - | |
| 477 | - | 12.1 | 14.2 | - | |
| 100 | 6 | 38.9 | 41.7 | 44.2 | 12 |
| 39 | 14.6 | 21.1 | 22.9 | 36.2 | |
| 99 | 3.6 | 11.2 | 13.4 | 73.1 | |
| 154 | - | 8.9 | 11.3 | - | |
| 368 | - | 4.9 | 7.7 | - | |
| 478 | - | 4.1 | 6.9 | - |
Publisher’s Note: MDPI stays neutral with regard to jurisdictional claims in published maps and institutional affiliations. |
© 2020 by the authors. Licensee MDPI, Basel, Switzerland. This article is an open access article distributed under the terms and conditions of the Creative Commons Attribution (CC BY) license (http://creativecommons.org/licenses/by/4.0/).
Share and Cite
Sisniega, B.; Gutiérrez, J.; Muto, V.; García-Arribas, A. Improved Determination of Q Quality Factor and Resonance Frequency in Sensors Based on the Magnetoelastic Resonance Through the Fitting to Analytical Expressions. Materials 2020, 13, 4708. https://doi.org/10.3390/ma13214708
Sisniega B, Gutiérrez J, Muto V, García-Arribas A. Improved Determination of Q Quality Factor and Resonance Frequency in Sensors Based on the Magnetoelastic Resonance Through the Fitting to Analytical Expressions. Materials. 2020; 13(21):4708. https://doi.org/10.3390/ma13214708
Chicago/Turabian StyleSisniega, Beatriz, Jon Gutiérrez, Virginia Muto, and Alfredo García-Arribas. 2020. "Improved Determination of Q Quality Factor and Resonance Frequency in Sensors Based on the Magnetoelastic Resonance Through the Fitting to Analytical Expressions" Materials 13, no. 21: 4708. https://doi.org/10.3390/ma13214708
APA StyleSisniega, B., Gutiérrez, J., Muto, V., & García-Arribas, A. (2020). Improved Determination of Q Quality Factor and Resonance Frequency in Sensors Based on the Magnetoelastic Resonance Through the Fitting to Analytical Expressions. Materials, 13(21), 4708. https://doi.org/10.3390/ma13214708

