Optical, Electronic Properties and Anisotropy in Mechanical Properties of “X” Type Carbon Allotropes
Abstract
1. Introduction
2. Methods
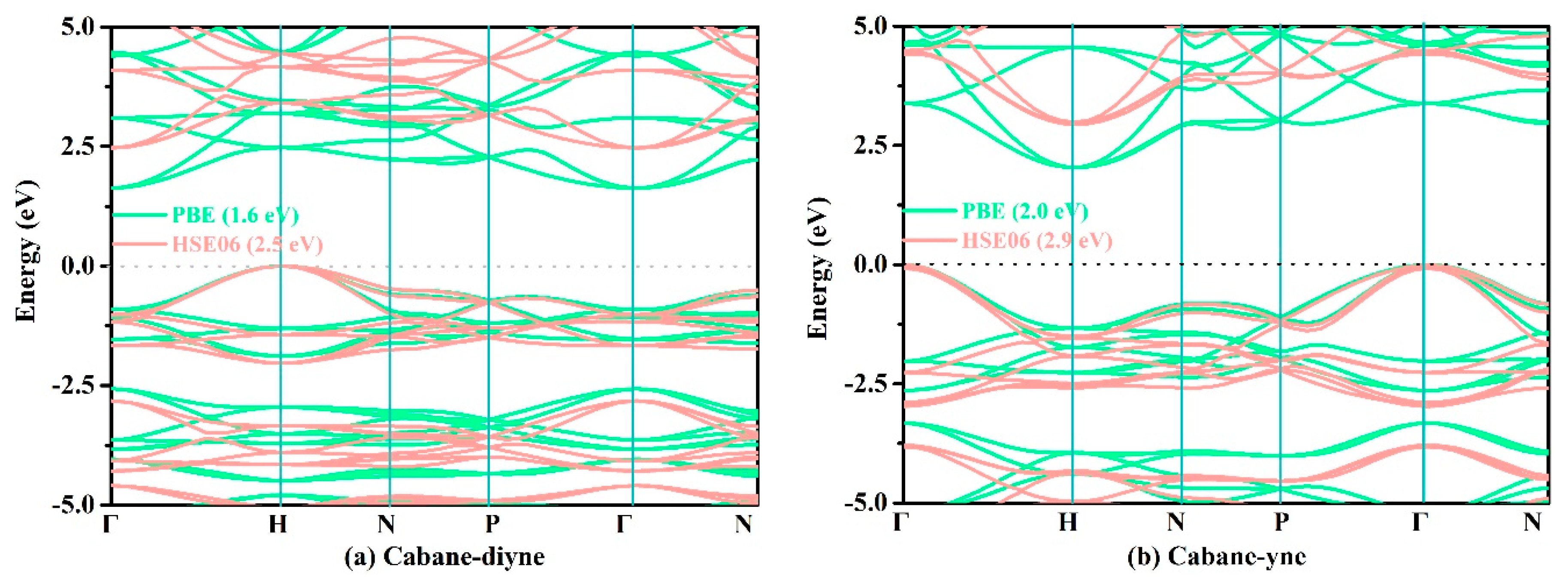
3. Results and Discussion
4. Conclusions
Author Contributions
Funding
Conflicts of Interest
References
- Xing, M.; Li, B.; Yu, Z.; Chen, Q. A reinvestigation of a superhard tetragonal sp3 carbon allotrope. Materials 2016, 9, 484. [Google Scholar] [CrossRef] [PubMed]
- Li, X.Z.; Xing, M.J. Prediction of a novel carbon allotrope from first-principle calculations: A potential superhard material in monoclinic symmetry. Mater. Chem. Phys. 2020, 242, 122480. [Google Scholar] [CrossRef]
- Zhang, W.; Chai, C.C.; Fan, Q.Y.; Song, Y.X.; Yang, Y.T. PBCF-graphene: A 2D sp2 hybridized honeycomb carbon allotrope with a direct band gap. ChemNanoMat 2020, 6, 139. [Google Scholar] [CrossRef]
- Cheng, Y.; Melnik, R.; Kawazoe, Y.; Wen, B. Three dimensional metallic carbon from distorting sp3-Bond. Crystal Growth Des. 2016, 16, 1360. [Google Scholar] [CrossRef]
- Sheng, X.L.; Yan, Q.B.; Ye, F.; Zheng, Q.R.; Su, G. T-Carbon: A novel carbon allotrope. Phys. Rev. Lett. 2011, 106, 155703. [Google Scholar] [CrossRef] [PubMed]
- Zhang, J.; Wang, R.; Zhu, X.; Pan, A.; Han, C.; Li, X.; Zhao, D.; Ma, C.; Wang, W.; Su, H.; et al. Pseudo-topotactic conversion of carbon nanotubes to T-carbon nanowires under picosecond laser irradiation in methanol. Nat. Commun. 2017, 8, 683. [Google Scholar] [CrossRef]
- Jo, J.Y.; Kim, B.G. Carbon allotropes with triple bond predicted by first-principle calculation: Triple bond modified diamond and T-carbon. Phys. Rev. B 2012, 86, 075151. [Google Scholar] [CrossRef]
- Xing, M.; Li, B.; Yu, Z.; Chen, Q. C2/m-carbon: Structural, mechanical, and electronic properties. J. Mater. Sci. 2015, 50, 7104. [Google Scholar] [CrossRef]
- Fan, Q.Y.; Wang, H.; Song, Y.X.; Zhang, W.; Yun, S.N. Five carbon allotropes from Squaroglitter structures. Comput. Mater. Sci. 2020, 178, 109634. [Google Scholar] [CrossRef]
- Zhang, W.; Chai, C.C.; Fan, Q.Y.; Song, Y.X.; Yang, Y.T. Two novel superhard carbon allotropes with honeycomb structures. J. Appl. Phys. 2019, 126, 145704. [Google Scholar] [CrossRef]
- Fan, Q.Y.; Chai, C.C.; Wei, Q.; Yang, Y.T. Two novel silicon phases with direct band gaps. Phys. Chem. Chem. Phys. 2016, 18, 12905–12913. [Google Scholar] [CrossRef] [PubMed]
- Fan, Q.; Zhao, Y.; Yu, X.; Song, Y.; Zhang, W.; Yun, S. Physical properties of a novel microporous carbon material. Diamond Relat. Mater. 2020, 106, 107831. [Google Scholar] [CrossRef]
- Fan, Q.Y.; Yang, R.L.; Zhang, W.; Yun, S.N. Elastic anisotropy and thermal conductivity of silicon allotropes. Results Phys. 2019, 15, 102580. [Google Scholar] [CrossRef]
- Bai, C.G.; Chai, C.C.; Fan, Q.Y.; Liu, Y.Q.; Yang, Y.T. A novel silicon allotrope in the monoclinic phase. Materials 2017, 10, 441. [Google Scholar]
- Bautista-Hernandez, A.; Rangel, T.; Romero, A.H.; Rignanese, G.M.; Salazar-Villanueva, M.; Chigo-Anota, E. Structural and vibrational stability of M and Z phases of silicon and germanium from first principles. J. Appl. Phys. 2013, 113, 193504. [Google Scholar] [CrossRef]
- Fan, Q.Y.; Niu, R.; Zhang, W.Z.; Zhang, W.; Ding, Y.C.; Yun, S.N. t-Si64: A novel silicon allotrope. ChemPhysChem 2019, 20, 128. [Google Scholar] [CrossRef]
- Fan, Q.Y.; Chai, C.C.; Wei, Q.; Zhou, P.K.; Zhang, J.Q.; Yang, Y.T. Si96: A new silicon allotrope with interesting physical properties. Materials 2016, 9, 284. [Google Scholar] [CrossRef]
- Fan, Q.Y.; Zhang, W.; Song, Y.; Zhang, W.; Yun, S. P63/mmc-Ge and their Si-Ge alloys with a mouldable direct band gap. Semicond. Sci. Technol. 2020, 35, 055012. [Google Scholar] [CrossRef]
- Zhang, X.; Ying, C.; Li, Z.; Shi, G. First-principles calculations of structural stability, elastic, dynamical and thermodynamic properties of SiGe, SiSn, GeSn. Superlattice Microst. 2012, 52, 459–469. [Google Scholar] [CrossRef]
- Fan, Q.Y.; Wang, H.; Zhang, W.; Wei, M.; Song, Y.; Zhang, W.; Yun, S. Si–Ge alloys in C2/c phase with tunable direct band gaps: A comprehensive study. Curr. Appl. Phys. 2019, 19, 1325–1333. [Google Scholar] [CrossRef]
- Fan, Q.Y.; Xu, J.; Zhang, W.; Song, Y.; Yun, S. Physical properties of group 14 semiconductor alloys in orthorhombic phase. J. Appl. Phys. 2019, 126, 045709. [Google Scholar] [CrossRef]
- Zhang, X.; Ying, C.; Quan, S.; Shi, G.; Li, Z. Ab initio study of the structural, phonon, elastic and thermodynamic properties of the ordered Ge0.5Sn0.5 cubic alloy under high pressure. Comput. Mater. Sci. 2012, 58, 12–16. [Google Scholar] [CrossRef]
- Ma, Z.Y.; Liu, X.; Yu, X.; Shi, C.; Wang, D. Mechanical, anisotropic, and electronic properties of XN (X = C, Si, Ge): Theoretical Investigations. Materials 2017, 10, 912. [Google Scholar] [CrossRef]
- Ma, Z.Y.; Han, Z.; Liu, X.H.; Yu, X.H.; Wang, D.Y.; Tian, Y. Pnma-BN: Another boron nitride polymorph with interesting physical properties. Nanomaterials 2017, 7, 3. [Google Scholar] [CrossRef] [PubMed]
- Liu, C.; Ma, M.D.; Yuan, X.H.; Sun, H.; Ying, P.; Xu, B.; Zhao, Z.S.; He, J.L. Metastable phases, phase transformation and properties of AlAs based on first-principle study. Comput. Mater. Sci. 2017, 128, 337. [Google Scholar] [CrossRef]
- Fan, Q.Y.; Zhang, W.Z.; Yun, S.N.; Xu, J.; Song, Y.X. III-nitride polymorphs: XN (X = Al, Ga, In) in the Pnma Phase. Chem. Eur. J. 2018, 24, 17280. [Google Scholar] [CrossRef] [PubMed]
- Xu, L.F.; Bu, W. Mechanical and thermodynamic properties of AlX (X = N, P, As) compounds. Int. J. Mod. Phys. B 2017, 31, 1750167. [Google Scholar] [CrossRef]
- Fan, Q.Y.; Chai, C.C.; Wei, Q.; Zhou, P.K.; Zhang, J.Q.; Yang, Y.T. Thermodynamic, elastic, elastic anisotropy and minimum thermal conductivity of β-GaN under high temperature. Chin. J. Phys. 2017, 55, 400. [Google Scholar] [CrossRef]
- Yang, R.K.; Ma, Y.C.; Wei, Q.; Zhang, D.Y. A first-principles investigation of the properties of two predicted novel structures of Sn3P4. Chin. J. Phys. 2018, 56, 886. [Google Scholar] [CrossRef]
- Fan, Q.Y.; Chai, C.C.; Wei, Q.; Yang, J.H.; Zhou, P.K.; Zhang, D.Y.; Yang, Y.T. A New Phase of GaN. J. Chem. 2016, 2016, 8612892. [Google Scholar] [CrossRef]
- Qiao, L.; Jin, Z. Two B-C-O compounds: Structural, mechanical anisotropy and electronic properties under pressure. Materials 2017, 10, 1413. [Google Scholar] [CrossRef] [PubMed]
- Bu, H.; Wang, X.; Xi, Y.; Zhao, X.; Zhao, M. Role of acetylenic bonds in the mechanical, electronic and optical properties of yne-diamonds. Diamond Relat. Mater. 2013, 37, 55–63. [Google Scholar] [CrossRef]
- Hu, M.; Huang, Q.; Zhao, Z.; Xu, B.; Yu, D.; He, J. Superhard and high-strength yne-diamond semimetals. Diamond Relat. Mater. 2014, 46, 15–20. [Google Scholar] [CrossRef]
- Wang, J.T.; Chen, C.; Mizuseki, H.; Kawazoe, Y. New carbon allotropes in sp + sp3 bonding networks consisting of C8 cubes. Phys. Chem. Chem. Phys. 2018, 20, 7962–7967. [Google Scholar] [CrossRef] [PubMed]
- Burdett, J.K.; Lee, S. Moments method and elemental structures. J. Am. Chem. Soc. 1985, 107, 3063–3082. [Google Scholar] [CrossRef]
- Costa, D.G.; Henrique, F.J.F.S.; Oliveira, F.L.; Capaz, R.B.; Esteves, P.M. n-Diamondynes: Expanding the family of carbon allotropes. Carbon 2018, 136, 337–344. [Google Scholar] [CrossRef]
- Zhang, W.; Chai, C.; Fan, Q.; Song, Y.; Yang, Y. Penta-C20: A Superhard Direct Band Gap Carbon Allotrope Composed of Carbon Pentagon. Materials 2020, 13, 1926. [Google Scholar] [CrossRef]
- Morresi, T.; Pedrielli, A.; Beccara, S.; Gabbrielli, R.; Pungo, N.M.; Taioli, S. Structural, electronic and mechanical properties of all-sp2 carbon allotropes with density lower than graphene. Carbon 2020, 159, 512. [Google Scholar] [CrossRef]
- Ram, B.; Mizuseki, H. C568: A new two-dimensional sp2-sp3 hybridized allotrope of carbon. Carbon 2020, 158, 827. [Google Scholar]
- Oreshonkov, A.S.; Roginskii, E.M.; Atuchin, V.V. New candidate to reach Shockley–Queisser limit: The DFT study of orthorhombic silicon allotrope Si (oP32). J. Phys. Chem. Soids 2020, 137, 109219. [Google Scholar] [CrossRef]
- Zhang, Y.Y.; Chen, S.; Xiang, H.; Gong, X.G. Hybrid crystalline sp2-sp3 carbon as a high-efficiency solar cell absorber. Carbon 2016, 109, 246–252. [Google Scholar] [CrossRef]
- Kohn, W.; Sham, L.J. Self-consistent equations including exchange and correlation effects. Phys. Rev. 1965, 140, A1133. [Google Scholar] [CrossRef]
- Hohenberg, P.; Kohn, W. Semiclassical origin of density functionals. Phys. Rev. 1964, 136, B864. [Google Scholar] [CrossRef]
- Clark, S.J.; Segall, M.D.; Pickard, C.J.; Hasnip, P.J.; Probert, M.I.J.; Refson, K.; Payne, M.C. First principles methods using CASTEP. Z. Kristallogr. 2005, 220, 567–570. [Google Scholar] [CrossRef]
- Vanderbilt, D. Soft self-consistent pseudopotentials in a generalized eigenvalue formalism. Phys. Rev. B 1990, 41, 7892–7895. [Google Scholar] [CrossRef] [PubMed]
- Pfrommer, B.G.; Côté, M.; Louie, S.G.; Cohen, M.L. Relaxation of crystals with the quasi-newton method. J. Comput. Phys. 1997, 131, 233–240. [Google Scholar] [CrossRef]
- Perdew, J.P.; Burke, K.; Ernzerhof, M. Generalized gradient approximation made simple. Phys. Rev. Lett. 1996, 77, 3865. [Google Scholar] [CrossRef]
- Monkhorst, H.J.; Pack, J.D. Special points for brillouin-zone integrations. Phys. Rev. B 1976, 13, 5188–5192. [Google Scholar] [CrossRef]
- Heyd, J.; Scuseria, G.E.; Ernzerhof, M.J. Hybrid functionals based on a screened Coulomb potential. J. Chem. Phys. 2003, 118, 8207–8215. [Google Scholar] [CrossRef]
- Fan, Q.Y.; Wei, Q.; Chai, C.C.; Yan, H.Y.; Zhang, M.G.; Lin, Z.Z.; Zhang, Z.X.; Zhang, J.Q.; Zhang, D.Y. Structural, mechanical, and electronic properties of P3m1-BCN. J. Phys. Chem. Solids 2015, 79, 89–96. [Google Scholar] [CrossRef]
- Petrescu, M.L. Boron nitride theoretical hardness compared to carbon polymorphs. Diamond Relat. Mater. 2004, 13, 1848. [Google Scholar] [CrossRef]
- Wu, Z.J.; Zhao, E.J.; Xiang, H.P.; Hao, X.F.; Liu, X.J.; Meng, J. Crystal structures and elastic properties of superhard IrN2 and IrN3 from first principles. Phys. Rev. B 2007, 76, 054115. [Google Scholar] [CrossRef]
- Mouhat, F.; Coudert, F.X. Necessary and sufficient elastic stability conditions in various crystal systems. Phys. Rev. B 2014, 90, 224104. [Google Scholar] [CrossRef]
- Grimsditch, M.; Zouboulis, E.S.; Polian, A. Elastic constants of boron nitride. J. Appl. Phys. 1994, 76, 832. [Google Scholar] [CrossRef]
- Marmier, A.; Lethbridge, Z.A.D.; Walton, R.I.; Smith, C.W.; Parker, S.C.; Evans, K.E. Elam: A computer program for the analysis and representation of anisotropic elastic properties. Comput. Phys. Commun. 2010, 181, 2102–2115. [Google Scholar] [CrossRef]
- Qiao, L.; Jin, Z.; Yan, G.; Li, P.; Hang, L.; Li, L. Density-functional-studying of oP8–, tI16–, and tP4–B2CO physical properties under pressure. J. Solid State Chem. 2019, 270, 642–650. [Google Scholar] [CrossRef]
- Han, C.; Chai, C.; Fan, Q.; Yang, J.; Yang, Y. Structural, Electronic, and Thermodynamic Properties of Tetragonal t-SixGe3-xN4. Materials 2018, 11, 397. [Google Scholar] [CrossRef] [PubMed]
- Ma, Z.; Liu, X.; Yu, X.; Shi, C.; Yan, F. Theoretical investigations of Si-Ge alloys in P42/ncm phase: First-principles calculations. Materials 2017, 10, 599. [Google Scholar] [CrossRef]
- Song, Y.; Chai, C.; Fan, Q.; Zhang, W.; Yang, Y. Physical properties of Si–Ge alloys in C2/m phase: A comprehensive investigation. J. Phys. Condens. Matter 2019, 31, 255703. [Google Scholar] [CrossRef]
- Zhang, W.; Chai, C.; Song, Y.; Fan, Q.; Yang, Y. Structural, mechanical, anisotropic, and thermal properties of AlAs in oC12 and hP6 phases under pressure. Materials 2018, 11, 740. [Google Scholar] [CrossRef]
- Zhang, Q.; Zou, Y.; Fan, Q.; Yang, Y. Physical properties of XN (X = B, Al, Ga, In) in the Pm-3n phase: First-principles calculations. Materials 2020, 13, 1280. [Google Scholar] [CrossRef]
- Fan, Q.; Chai, C.; Wei, Q.; Zhou, P.; Yang, Y. Two novel Ge phases and their Si-Ge alloys with excellent electronic and optical properties. Materi. Design 2017, 132, 539–551. [Google Scholar] [CrossRef]
- Anderson, O.L. A simplified method for calculating the debye temperature from elastic constants. J. Phys. Chem. Solids 1963, 24, 909. [Google Scholar] [CrossRef]
- Panda, K.B.; Ravi, K.S. Determination of elastic constants of titanium diboride (TiB2) from first principles using FLAPW implementation of the density functional theory. Comput. Mater. Sci. 2006, 35, 134–150. [Google Scholar] [CrossRef]
- Fan, Q.; Chai, C.; Wei, Q.; Wong, K.; Liu, Y.; Yang, Y. Theoretical investigations of group IV alloys in the Lonsdaleite phase. J. Mater. Sci. 2018, 53, 2785–2801. [Google Scholar] [CrossRef]
- Siethoff, H.; Ahiborn, K. The dependence of the Debye temperature on the elastic constants. Phys. Status Solidi B 1995, 190, 179–191. [Google Scholar] [CrossRef]
- Duan, Y.H.; Sun, Y.; Peng, M.J.; Zhou, S.G. Anisotropic elastic properties of the Ca–Pb compounds. J. Alloys Compd. 2014, 595, 14–21. [Google Scholar] [CrossRef]
- Tran, F.; Blaha, P. Accurate Band Gaps of Semiconductors and Insulators with a Semilocal Exchange-Correlation Potential. Phys. Rev. Lett. 2009, 102, 226401. [Google Scholar] [CrossRef]
- Occelli, F.; Loubeyre, P.; Letoullec, R. Properties of diamond under hydrostatic pressures up to 140 GPa. Nat. Mater. 2003, 2, 151–154. [Google Scholar] [CrossRef]










| a | V | ρ | C11 | C12 | C44 | B | G | E | |
|---|---|---|---|---|---|---|---|---|---|
| Cubane-yne | 7.845 a | 15.088 | 1.322 | 151.5 | 128.4 | 119.3 | 136.1 | 50.7 | 136.0 |
| 7.837 b | 15.052 | 1.326 | 148 | ||||||
| Cubane-diyne | 10.815 a | 26.355 | 0.757 | 80.2 | 75.1 | 63.3 | 76.8 | 22.5 | 62.7 |
| 10.811 b | 26.345 | 0.758 | 84.6 | ||||||
| TY carbon | 13.441 a | 34.943 | 0.526 | 55.1 | 52.9 | 5.9 | 53.6 | 3.1 | 8.8 |
| 13.460 c | 0.523 | 54.2 | |||||||
| Y carbon | 9.621 a | 22.264 | 0.896 | 89.4 | 78.9 | 18.9 | 82.4 | 11.4 | 31.6 |
| 9.636 c | 0.894 | 82.9 | |||||||
| T carbon | 7.501 a | 13.189 | 1.512 | 200.9 | 136.3 | 66.3 | 157.8 | 49.7 | 135.7 |
| 7.520 d | 1.503 | 159 | |||||||
| Supercubane | 4.813 a | 6.966 | 2.863 | 544.7 | 224.9 | 295.4 | 331.5 | 230.9 | 562.5 |
| 4.853 b | 7.148 | 2.792 | 329 | ||||||
| Diamond | 3.566 a,e | 11.341 | 431 | 522 | 1116 | ||||
| 3.567 f | 11.346 | 442g |
| Emax | Emin | Ratio | Gmax | Gmin | Ratio | vmax | vmin | ||
|---|---|---|---|---|---|---|---|---|---|
| (100) plane (010) plane (001) plane | Cubane-yne | 102.03 | 34.68 | 2.94 | 124.06 | 11.88 | 10.44 | 1.35 | 0.00 |
| Cubane-diyne | 59.87 | 20.55 | 2.91 | 71.04 | 7.05 | 10.08 | 1.33 | 0.00 | |
| TY carbon | 8.43 | 3.36 | 2.51 | 5.87 | 1.13 | 5.19 | 1.23 | 0.00 | |
| Y carbon | 32.84 | 15.40 | 2.13 | 18.94 | 5.24 | 3.61 | 1.00 | 0.00 | |
| T carbon | 141.76 | 90.67 | 1.56 | 66.33 | 32.28 | 2.05 | 0.63 | 0.07 | |
| Supercubane | 587.30 | 413.24 | 1.42 | 295.39 | 159.89 | 1.85 | 0.42 | 0.00 | |
| Diamond | 1139.60 | 1029.42 | 1.11 | 566.46 | 467.07 | 1.21 | 0.11 | 0.01 | |
| (011) plane (101) plane (110) plane | Cubane-yne | 289.36 | 34.68 | 8.34 | 124.06 | 11.88 | 10.44 | 1.35 | 0.00 |
| Cubane-diyne | 165.22 | 20.55 | 8.04 | 71.04 | 7.05 | 10.08 | 1.33 | 0.00 | |
| TY carbon | 17.00 | 3.36 | 5.06 | 5.87 | 1.13 | 5.19 | 1.23 | 0.00 | |
| Y carbon | 52.77 | 15.40 | 3.43 | 18.94 | 5.24 | 3.61 | 1.00 | 0.00 | |
| T carbon | 174.54 | 90.67 | 1.93 | 66.33 | 32.28 | 2.05 | 0.63 | 0.07 | |
| Supercubane | 683.24 | 413.24 | 1.65 | 295.39 | 159.89 | 1.85 | 0.42 | 0.00 | |
| Diamond | 1181.76 | 1029.42 | 1.15 | 566.46 | 467.07 | 1.21 | 0.11 | 0.01 | |
| (111) plane | Cubane-yne | 102.03 | 102.03 | 1.00 | 124.06 | 11.88 | 10.44 | 1.35 | 0.00 |
| Cubane-diyne | 59.87 | 59.87 | 1.00 | 71.04 | 7.05 | 10.08 | 1.33 | 0.00 | |
| TY carbon | 8.43 | 8.43 | 1.00 | 5.87 | 1.13 | 5.19 | 1.23 | 0.00 | |
| Y carbon | 32.84 | 32.84 | 1.00 | 18.94 | 5.24 | 3.61 | 1.00 | 0.00 | |
| T carbon | 141.76 | 141.76 | 1.00 | 66.33 | 32.28 | 2.05 | 0.63 | 0.07 | |
| Supercubane | 587.30 | 587.30 | 1.00 | 295.39 | 159.89 | 1.85 | 0.42 | 0.00 | |
| Diamond | 1139.60 | 1139.60 | 1.00 | 566.46 | 467.07 | 1.21 | 0.11 | 0.01 |
| Cubane-yne | Cubane-diyne | TY Carbon | Y Carbon | T Carbon | Supercubane | Diamond | |
|---|---|---|---|---|---|---|---|
| [100]:[100]vp | 10,705 | 10,293 | 10,235 | 9989 | 11,527 | 13,793 | 17,305 |
| [100]:[010]vs1 | 9500 | 9144 | 3349 | 4593 | 6622 | 10,158 | 12,688 |
| [100]:[001]vs2 | 9500 | 9144 | 3349 | 4593 | 6622 | 10,158 | 12,688 |
| [110]:[110]vp | 14,004 | 11,897 | 11,185 | 10,724 | 14,114 | 15,414 | 18,103 |
| [110]:[1–10]vs1 | 4180 | 2596 | 2045 | 3423 | 6536 | 10,569 | 16,292 |
| [110]:[001]vs2 | 9855 | 9960 | 10,028 | 9384 | 9494 | 8863 | 5832 |
| [111]:[111]vp | 14,942 | 14,593 | 10,813 | 10,959 | 12,761 | 15,917 | 18,362 |
| [111]:[1–12]vs1 | 5992 | 5488 | 2265 | 3307 | 5372 | 8463 | 11,993 |
| [111]:[1–12]vs2 | 5992 | 5488 | 2265 | 3307 | 5372 | 8463 | 11,993 |
| vp | 12,414 | 11,880 | 10,480 | 10,438 | 12,173 | 15,133 | 17,922 |
| vs | 6193 | 5453 | 2428 | 3567 | 5733 | 9094 | 12,207 |
| vm | 6948 | 6144 | 2774 | 4057 | 6452 | 10,059 | 13,307 |
| ΘD | 838.22 | 615.46 | 246.10 | 429.86 | 814.04 | 1556.87 | 2224.84 |
© 2020 by the authors. Licensee MDPI, Basel, Switzerland. This article is an open access article distributed under the terms and conditions of the Creative Commons Attribution (CC BY) license (http://creativecommons.org/licenses/by/4.0/).
Share and Cite
Cheng, J.; Zhang, Q. Optical, Electronic Properties and Anisotropy in Mechanical Properties of “X” Type Carbon Allotropes. Materials 2020, 13, 2079. https://doi.org/10.3390/ma13092079
Cheng J, Zhang Q. Optical, Electronic Properties and Anisotropy in Mechanical Properties of “X” Type Carbon Allotropes. Materials. 2020; 13(9):2079. https://doi.org/10.3390/ma13092079
Chicago/Turabian StyleCheng, Jiao, and Qidong Zhang. 2020. "Optical, Electronic Properties and Anisotropy in Mechanical Properties of “X” Type Carbon Allotropes" Materials 13, no. 9: 2079. https://doi.org/10.3390/ma13092079
APA StyleCheng, J., & Zhang, Q. (2020). Optical, Electronic Properties and Anisotropy in Mechanical Properties of “X” Type Carbon Allotropes. Materials, 13(9), 2079. https://doi.org/10.3390/ma13092079
