Behaviors of Electromagnetic Wave Propagation in Double-Walled Carbon Nanotubes
Abstract
1. Introduction
2. Theoretical Analysis
3. Results
4. Discussion
- Behaviors of wave propagation have been investigated by some scientists studying nonlocal elasticity in an electromagnetic environment [52,53]. In these studies, the mechanical effects of nanostructures on wave propagation have been primarily investigated. One of the novelties of this study is that behaviors of electromagnetic wave propagation in the DWCNT have been investigated when the DWCNT is only under electromagnetic effect instead of mechanic effect.
- Unlike other studies in the literature, this study reveals electromagnetic wave dispersion relation for Mode 2 frequencies, while the electromagnetic waves propagating in the inner and outer tubes of the DWCNT are in the anti-phase.
- In previous studies, the behaviors of electromagnetic wave propagation in the SWCNT have been examined [54,55,56]. Therefore, in these studies, the effects of electromagnetic interaction between the tubes have not been mentioned. In this study, unlike other studies in the literature, while investigating the behaviors of electromagnetic wave propagation in the DWCNT, both the interaction coefficient between the tubes of the DWCNT and the non-local constant have been taken into account.
- Accompanied by these motivations, the major purpose of this study is to identify the missing key steps in relevant fields and provide data for the benefit of scientists studying theoretically.
5. Conclusions
- The frequencies of electromagnetic wave propagation in the DWCNT increase with the increase in the material parameter of the DWCNT’s inner and outer tubes.
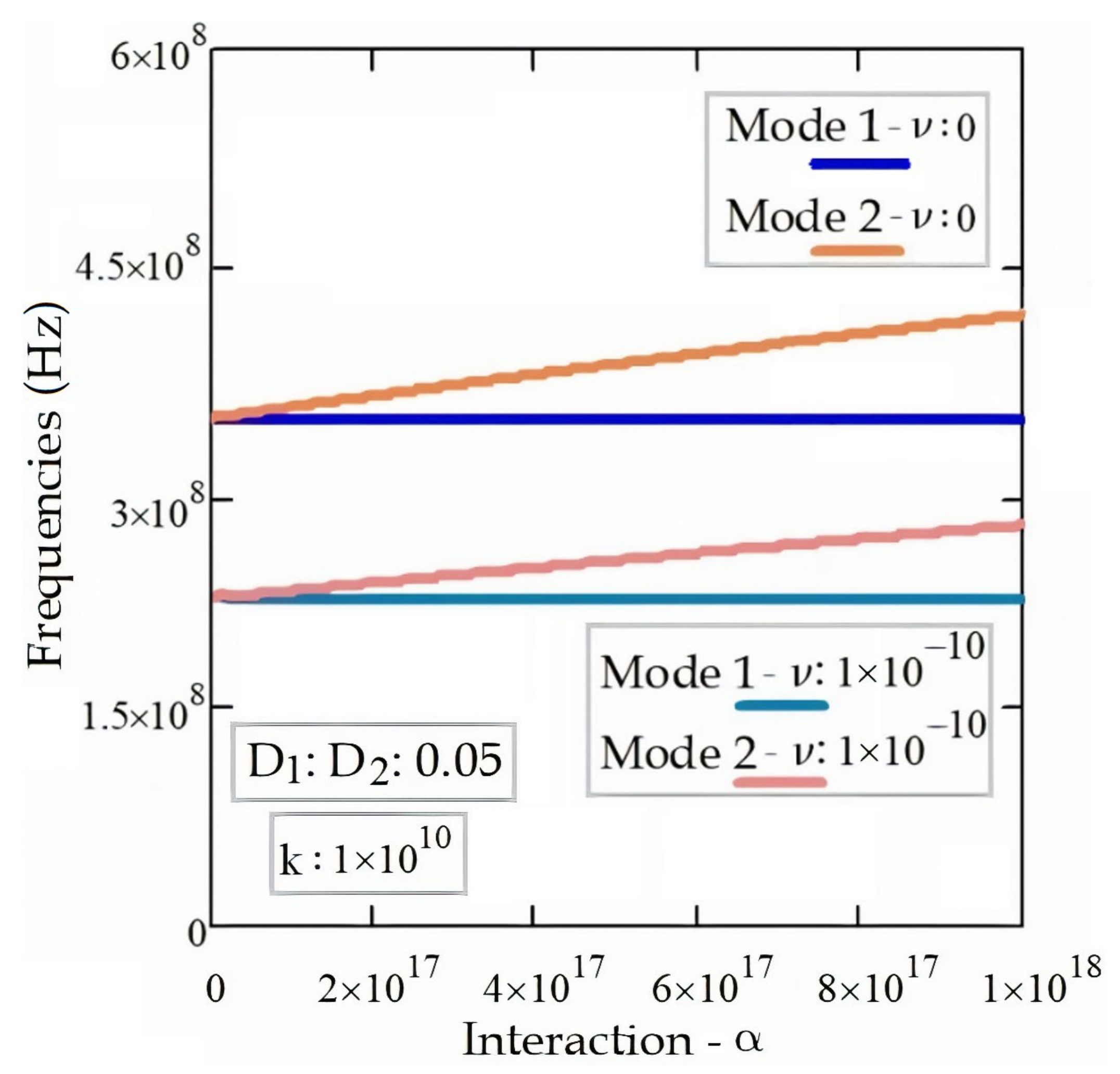
- The frequencies of electromagnetic wave propagation in the DWCNT increase with the increase in the interaction coefficient between the tubes of the DWCNT.
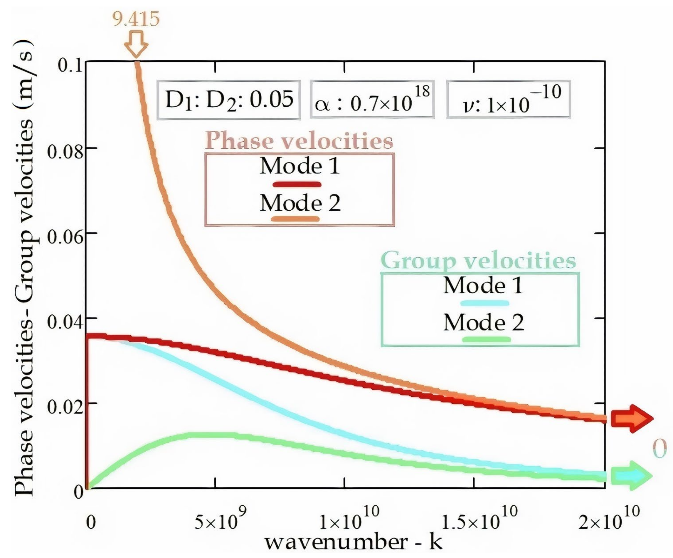
- The frequencies of electromagnetic wave propagation in the DWCNT increase with the decreasing slope as the number of waves increases up to a certain frequency limit of 3.554 × 108 Hz. Additionally, the frequencies of electromagnetic wave propagation in the DWT increase with the increasing slope as the number of waves increases.
- The frequencies of electromagnetic wave propagation in the DWCNT decrease with the increase in the nonlocal parameter of the DWCNT.
Funding
Institutional Review Board Statement
Informed Consent Statement
Data Availability Statement
Conflicts of Interest
References
- Iijima, S. Helical microtubules of graphitic. Nature 1991, 354, 56–58. [Google Scholar] [CrossRef]
- Kolanowska, A.; Janas, D.; Herman, A.P.; Jedrysiak, R.G.; Gizewski, T.; Boncel, S. From blackness to invisibility—Carbon nanotubes role in the attenuation of and shielding from waves radio waves for stealth technology. Carbon 2018, 126, 31–52. [Google Scholar] [CrossRef]
- Wei, Z.; Huagang, X.; Wang, S.; Li, M.; Gu, Y. Electromagnetic characteristics of carbon nanotube film materials. Chin. J. Aeronaut. 2015, 28, 1245–1254. [Google Scholar] [CrossRef]
- Joseph, N.; Chameswary, J.; Mailadil, S.T. Electromagnetic interference shielding properties of butyl rubber-single walled carbon nanotube composites. Compos. Sci. Technol. 2014, 101, 139–144. [Google Scholar] [CrossRef]
- Wang, T.; Murugadoss, V.; Kong, J.; He, Z.; Mai, X.; Shao, Q.; Chen, Y.; Guo, L.; Liu, C.; Angaiah, S.; et al. Overview of carbon nanostructures and composites for electromagnetic wave shielding. Carbon 2018, 140, 696–733. [Google Scholar] [CrossRef]
- Yan, X.; Duan, Y.; Hou, L.; Li, Z.; Tang, Y.; Li, Q.; Xu, C.; Li, Y. Enhanced electromagnetic wave absorption of worm-like hollow porous MnO@C/CNTs composites. J. Alloys. Compound. 2019, 797, 1086–1094. [Google Scholar] [CrossRef]
- Huang, Y.; Yuan, X.; Chen, M.; Song, W.-L.; Chen, J.; Fan, Q.; Tang, L.; Fang, D. Ultrathin multifunctional carbon/glass fiber reinforced lossy lattice metastructure for integrated design of broadband microwave absorption and effective load bearing. Carbon 2019, 144, 449–456. [Google Scholar] [CrossRef]
- Sandler, J.; Shaffer, M.S.P.; Prasse, T.; Bauhofer, W.; Schulte, K.; Windle, A.H. Development of a dispersion process for carbon nanotubes in an epoxy matrix and resulting electrical properties. Polymer. 1999, 40, 5967–5971. [Google Scholar] [CrossRef]
- Grimes, C.A.; Mungle, C.; Kouzoudis, D.; Fang, S.; Eklund, P.C. The 500 MHz to 5.50 GHz complex permittivity spectra of single-wall carbon nanotube-loaded polymer composites. Chem. Phys. Lett. 2000, 319, 460–464. [Google Scholar] [CrossRef]
- Loomis, J.; Panchapakesan, B. Dimensional dependence of photochemical response in carbon nanostructure composites: A case for carbon-based mixed-dimensional systems. Nanotechnology 2012, 23, 215501. [Google Scholar] [CrossRef] [PubMed]
- Hao, F.; Daining, F.; Xu, Z. Mechanical and thermal transport properties of graphene with defects. Appl. Phys. Lett. 2011, 99, 041901. [Google Scholar] [CrossRef]
- Liu, M.; Yin, X.; Ulin-Avila, E.; Geng, B.; Zentgraf, T.; Ju, F.; Zhang, X. A graphene-based broadband optical modulator. Nature 2011, 474, 64–67. [Google Scholar] [CrossRef]
- Loomis, J.; Fan, X.; Khosravi, F.; Xu, P.; Fletcher, M.; Cohn, R.W.; Panchapakesan, B. Graphene/elastomer composite-based photo-thermal nanopositioners. Sci. Rep. 2013, 3, 1900. [Google Scholar] [CrossRef] [PubMed]
- Shah, A.; Wang, Y.; Huang, H.; Zhang, L.; Wang, D.; Zhou, L.; Duan, Y.; Dong, X.; Zhang, Z. Microwave absorption and flexural properties of Fe nanoparticle/carbon fiber/epoxy resin composite plates. Compos. Struct. 2015, 131, 1132–1141. [Google Scholar] [CrossRef]
- Yin, P.; Zhang, L.; Ping, S.; Wang, J.; Feng, X.; Zhang, Y.; Dai, J.; Tang, Y. Apium-derived biochar loaded with MnFe2O4@C for excellent low frequency electromagnetic wave absorption. Ceram. Int. 2020, 46, 13641–13650. [Google Scholar] [CrossRef]
- Zang, Y.; Xia, S.; Li, L.; Ren, G.; Chen, Q.; Quan, H.; Wu, Q. Microwave absorption enhancement of rectangular activated carbon fibers screen composites. Compos. Part. B. Eng. 2015, 77, 371–378. [Google Scholar] [CrossRef]
- Deng, L.; Han, M. Microwave absorbing performances of multiwalled carbon nanotube composites with negative permeability. Appl. Phys. Lett. 2007, 91, 023119. [Google Scholar] [CrossRef]
- Xia, S.; Yao, B.; Chen, Q.; Yu, X.; Wu, Q. Composites with Koch fractal activated carbon fiber felt screens for strong microwave absorption. Compos. Part. B. Eng. 2016, 105, 1–7. [Google Scholar] [CrossRef]
- Zhou, X.; Zhang, C.; Zhang, M.; Feng, A.; Qu, S.; Zhang, Y. Synthesis of Fe3O4/carbon foams composites with broadened bandwidth and excellent electromagnetic wave absorption performance. Compos. Part. A. Appl. Sci. Manuf. 2019, 127, 105627. [Google Scholar] [CrossRef]
- Xingjun, L.; Duan, Y.; Chen, G. Electromagnetic wave absorption properties of cement-based composites filled with graphene nanoplatelets and hollow glass microspheres. Constr. Build. Mater. 2018, 162, 280–285. [Google Scholar] [CrossRef]
- Zohuri, B. Radar Energy Warfare and the Challenges of Stealth Technology; Springer Nature Switzerland AG: New Mexico, NM, USA, 2020. [Google Scholar] [CrossRef]
- Fang, F.; Jing, W.Q.; Yang, W. High performance electrospinning fiberous membranes for infrared stealth camouflage. Infrared. Phys. Technol. 2018, 93, 130–135. [Google Scholar] [CrossRef]
- Donchenko, A.V.; Zargano, G.P.; Zemlyakov, V. Electrodynamic analysis of electromagnetic fields of hybrid waves propagating in the single-ridged Waveguide. J. Electromagn. Waves Appl. 2018, 32, 739–749. [Google Scholar] [CrossRef]
- Das, A.; Das, S.K. Microwave Engineering; McGraw Hill: New Delhi, India, 2014. [Google Scholar]
- Ponge, M.-F.; Croenne, C. Control of elastic wave propagation in one-dimensional piezomagnetic phononic crystals. J. Acoust. Soc. Am. 2016, 139, 3288. [Google Scholar] [CrossRef]
- Wright, D.W.; Cobbold, R.S.C.; Yu, A.C.H. Ultrasound wave propagation in time-varying phononic crystals. IEEE Ultrason. Symp. 2008, 1491–1494. [Google Scholar] [CrossRef]
- Fomenko, S.I.; Golub, M.V.; Zhang, C.; Bui, T.Q.; Wang, Y.-S. In-plane elastic wave propagation and band-gaps in layered functionally graded phononic crystals. Int. J. Solids Struct. 2014, 51, 2491–2503. [Google Scholar] [CrossRef]
- El Haddad, A. Exact analytical solution for the electromagnetic wave propagation in a photonic band gaps material with sinusoidal periodicity of dielectric permittivity. Optik 2016, 127, 1627–1629. [Google Scholar] [CrossRef]
- Jahani, S.; Jacob, Z. All-dielectric metamaterials (Review Article). Nat. Nanotechnol. 2016, 11, 23–36. [Google Scholar] [CrossRef]
- Lou, Z.; Li, R.; Wang, P.; Zhang, Y.; Chen, B.; Huang, C.; Wang, C.; Han, H.; Li, Y. Phenolic foam-derived magnetic carbon foams (MCFs) with tunable electromagnetic wave absorption behavior. Chem. Eng. J. 2019, 391, 123571. [Google Scholar] [CrossRef]
- Mercier, T.M.; Rahman, T.; Krishnan, C.; Khorani, E.; Shaw, P.J.; Pollard, M.E.; Boden, S.A.; Lagoudakis, P.G.; Charlton, M.D.B. High symmetry nano-photonic quasi-crystals providing novel light management in silicon solar cells. Nano. Energy. 2021, 84, 105874. [Google Scholar] [CrossRef]
- Cersonsky, R.K.; Antonaglia, J.; Dice, B.D.; Glotzer, S.C. The diversity of three-dimensional photonic crystals. Nat. Commun. 2021, 12, 2543. [Google Scholar] [CrossRef]
- Basmaci, A.N. Characteristics of electromagnetic wave propagation in a segmented photonic waveguide. J. Optoelectron. Adv. M. 2020, 22, 452–460. [Google Scholar]
- Hanson, G.W.; Yakovlev, A.B. Electromagnetic Fundamentals. In Operator Theory for Electromagnetics; Springer: New York, NY, USA, 2002. [Google Scholar] [CrossRef]
- Kong, J.A. Electromagnetic Wave Theory; Wiley Interscience: New York, NY, USA, 2008; Chapter 1. [Google Scholar]
- Pozar, D.M. Microwave Engineering, 4th ed.; John Wiley & Sons Inc: Massachusetts, MA, USA, 2012. [Google Scholar]
- Cheng, D.K. Field and Wave Electromagnetics; Pearson: London, UK, 2013. [Google Scholar]
- Jia, H.; Kong, Q.-Q.; Yang, X.; Xie, L.-J.; Sun, G.-H.; Liang, L.-L.; Chen, J.-P.; Liu, D.; Guo, Q.-G.; Cheng-Meng, C. Dual-functional graphene/carbon nanotubes thick film: Bidirectional thermal dissipation and electromagnetic shielding. Carbon 2021, 171, 329–340. [Google Scholar] [CrossRef]
- Pei, X.; Zhao, M.; Li, R.; Lu, H.; Yu, R.; Xu, Z.; Li, D.; Tang, Y.; Xing, W. Porous network carbon nanotubes/chitosan 3D printed composites based on ball milling for electromagnetic shielding. Compos. Part. A. Appl. Sci. Manuf. 2021, 145, 106363. [Google Scholar] [CrossRef]
- Qian, W.-M.; Vahid, M.H.; Sun, Y.-L.; Heidari, A.; Barbaz-Isfahani, R.; Saber-Samandari, S.; Khandan, A.; Toghraie. Investigation on the effect of functionalization of single-walled carbon nanotubes on the mechanical properties of epoxy glass composites: Experimental and molecular dynamics simulations. J. Mater. Res. Technol. 2021, 12, 1931–1945. [Google Scholar] [CrossRef]
- Eftekhari, M.; Mohammadi, S. Molecular Dynamics simulation of the nonlinear behavior of the CNT-reinforced calcium silicate hydrate (C-S-H) composite. Compos. Part. A. Appl. Sci. Manuf. 2016, 82, 78–87. [Google Scholar] [CrossRef]
- Li, J.; Zhang, Z. Unified analysis of time domain mixed finite element methods for Maxwell’s equations in dispersive media. J. Comput. Math. 2010, 28, 693–710. [Google Scholar] [CrossRef]
- Li, L.; Wei, B.; Yang, Q.; Ge, D. Piecewise linerar recursive convolution finite element time domain method for electromagnetic analysis of dispersive media. Optik 2019, 198, 163196. [Google Scholar] [CrossRef]
- Johnson, S.G.; Oskooi, A.; Taflove, A. Advances in FDTD Computational Electrodynamics Photonics and Nanotechnology; Artech House: London, UK, 2013. [Google Scholar]
- Duman, Ç.; Kaburcuk, F. A numerical study of ZnO random lasers using FDTD method. Optik 2019, 181, 993–999. [Google Scholar] [CrossRef]
- Khademolhosseini, F.; Phani, A.S.; Nojeh, A. Nonlocal continuum modeling and molecular dynamics simulation of torsional vibration of carbon nanotubes. IEEE Trans. Nanotechnol. 2012, 11, 34–43. [Google Scholar] [CrossRef]
- Eringen, A.C. On differential equations of nonlocal elasticity and solutions of screw dislocation and surface waves. J. Appl. Phys. 1983, 54, 4703. [Google Scholar] [CrossRef]
- Hajdo, L.E.; Eringen, A.C. Application of nonlocal theory to electromagnetic dispersion. Lett. Appl. Eng. Sciences. 1979, 17, 785–791. [Google Scholar] [CrossRef]
- Keller, O.; Pedersen, J.H. A nonlocal description of the dispersion relation and the energy flow associated with surface electromagnetic waves on metals. Scatt. Diffraction. 1988, 1029, 18–726. [Google Scholar] [CrossRef]
- Mikki, S. Theory of electromagnetic radiation in nonlocal metamaterials—Part I: Foundations. Prog. Electromagn. Res. B. 2020, 89, 63–86. [Google Scholar] [CrossRef]
- Mikki, S. Theory of electromagnetic radiation in nonlocal metamaterials—Part II: Applications. Prog. Electromagn. Res. 2020, 89, 87–109. [Google Scholar] [CrossRef]
- Ebrahimi, F.; Dabbagh, A. Wave propagation analysis of smart rotating porous heterogeneous piezo-electric nanobeams. Eur. Phys. J. Plus. 2017, 132, 1–15. [Google Scholar] [CrossRef]
- Karlicic, D.; Cajic, M.; Adhikari, S.; Kozic, P.; Murmu, T. Vibrating nonlocal multi-nanoplate system under inplane magnetic field. Eur. J. Mech. A. Solids. 2017, 64, 29–45. [Google Scholar] [CrossRef][Green Version]
- Islam, M.S.; Matin, M.A.; Hossain, M.M. Electromagnetic wave propagation characteristics in single walled metallic carbon nanotube. In Proceedings of the 8th International Conference on Electrical and Computer Engineering, Dhaka, Bangladesh, 20–22 December 2014. [Google Scholar] [CrossRef]
- Kuzhir, P.P.; Batrakov, K.G.; Maksimenko, S.A. Generation and propagation of electromagnetic waves in carbon nanotubes: New proposition for optoelectronics and bio-medical applications. Synth. React. Inorg. M. 2007, 37, 341–346. [Google Scholar] [CrossRef]
- Batrakov, K.G.; Kibis, O.V.; Kuzhir, P.P.; Rosenau da Costa, M.; Portnoi, M.E. Terahertz processes in carbon nanotubes. J. Nanophotonics 2010, 4, 041665. [Google Scholar] [CrossRef]










Publisher’s Note: MDPI stays neutral with regard to jurisdictional claims in published maps and institutional affiliations. |
© 2021 by the author. Licensee MDPI, Basel, Switzerland. This article is an open access article distributed under the terms and conditions of the Creative Commons Attribution (CC BY) license (https://creativecommons.org/licenses/by/4.0/).
Share and Cite
Basmaci, A.N. Behaviors of Electromagnetic Wave Propagation in Double-Walled Carbon Nanotubes. Materials 2021, 14, 4069. https://doi.org/10.3390/ma14154069
Basmaci AN. Behaviors of Electromagnetic Wave Propagation in Double-Walled Carbon Nanotubes. Materials. 2021; 14(15):4069. https://doi.org/10.3390/ma14154069
Chicago/Turabian StyleBasmaci, Ayse Nihan. 2021. "Behaviors of Electromagnetic Wave Propagation in Double-Walled Carbon Nanotubes" Materials 14, no. 15: 4069. https://doi.org/10.3390/ma14154069
APA StyleBasmaci, A. N. (2021). Behaviors of Electromagnetic Wave Propagation in Double-Walled Carbon Nanotubes. Materials, 14(15), 4069. https://doi.org/10.3390/ma14154069

