Damage Evaluation of Concrete under Uniaxial Compression Based on the Stress Dependence of AE Elastic Wave Velocity Combined with DIC Technology
Abstract
:1. Introduction
2. Materials and Methods
2.1. Experimental Materials and Mix Proportions
2.2. Test Methods
3. Results
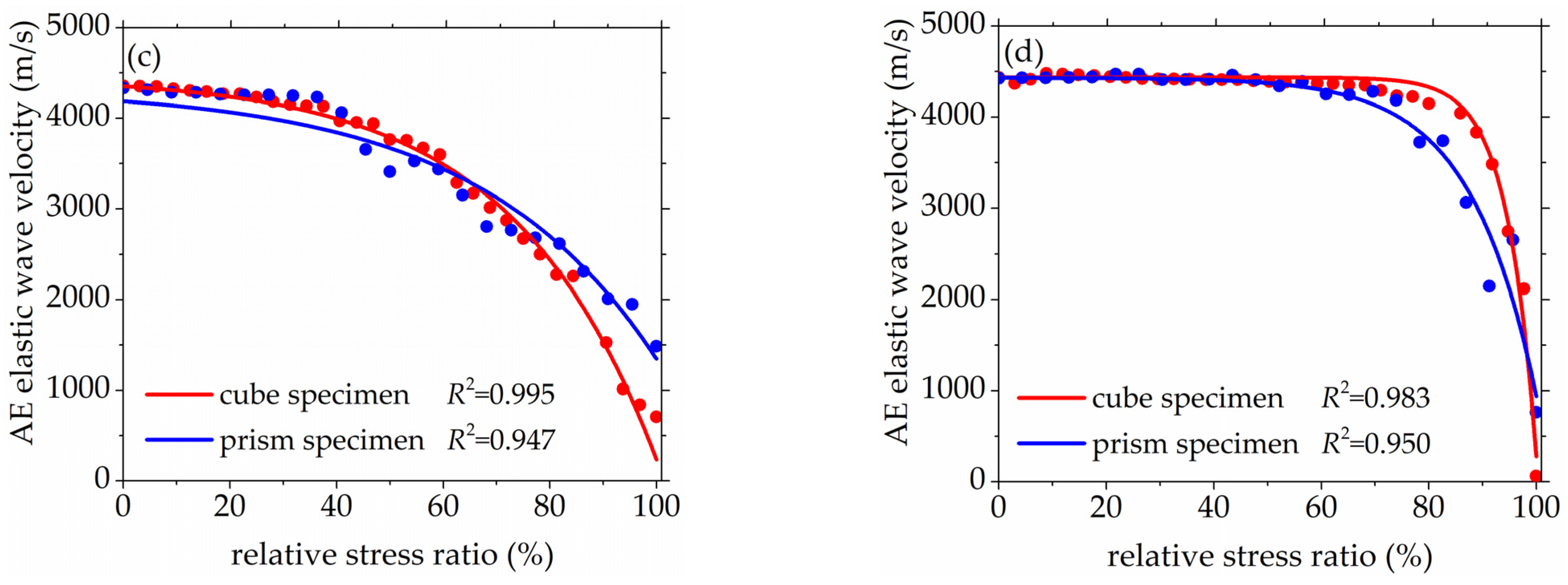
3.1. Stress Dependency of AE Elastic Wave Velocity
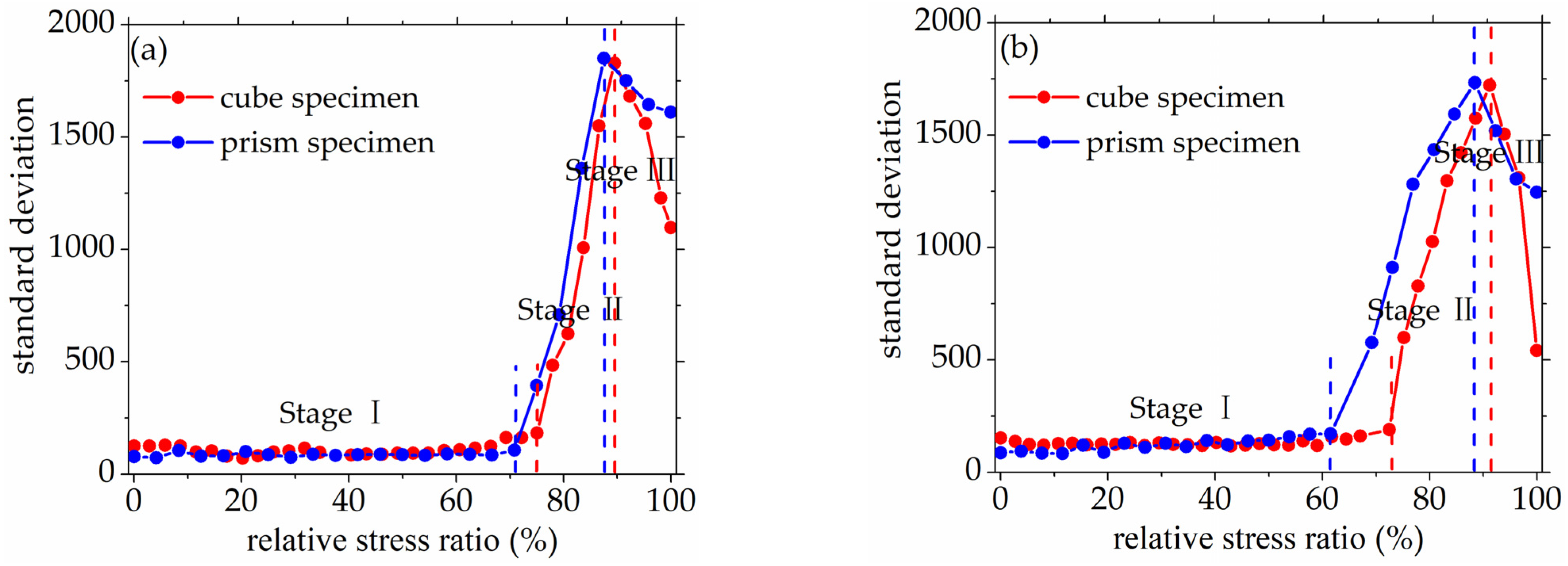
3.2. Damage Process Evaluation of Concrete
3.2.1. Steady Damage Process
3.2.2. Accelerated Damage Process
3.2.3. Buckling Damage Process
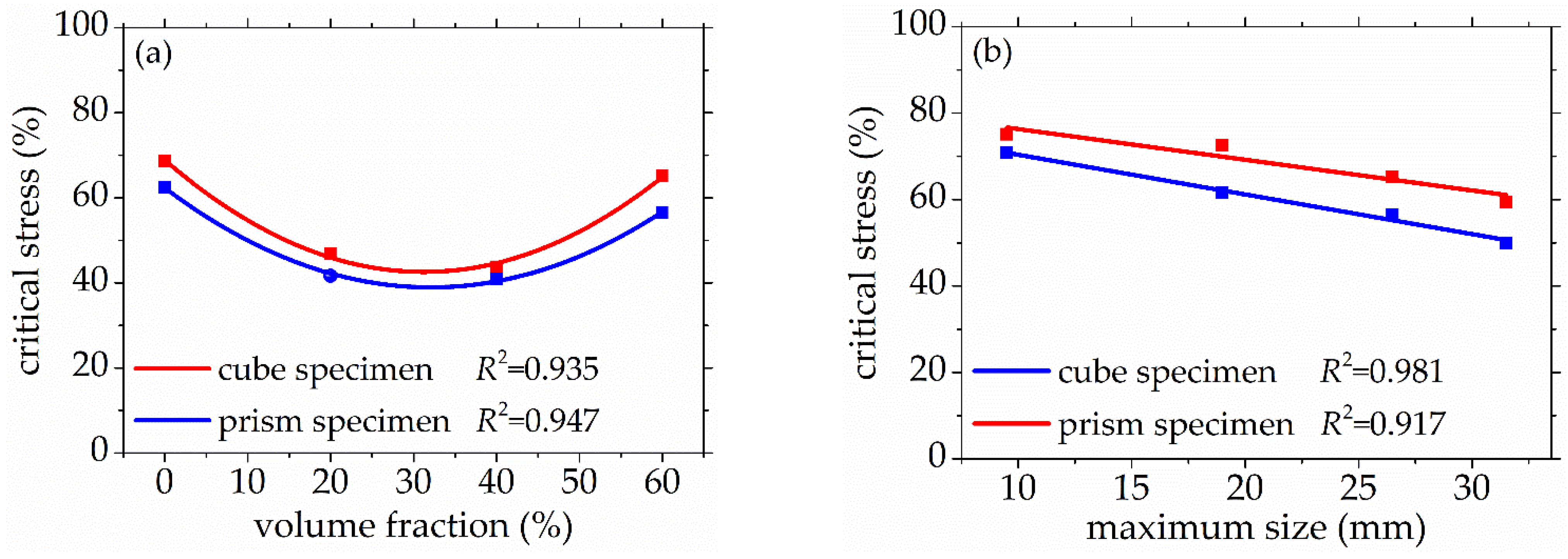
3.3. The Threshold Value of Concrete Damage
4. Discussions
- (1)
- The AE elastic wave velocity in concrete with different mix proportion and specimen size is stress-dependent, and the relationship between AE elastic wave velocity and relative stress ratio showed a good exponential function. The effects of coarse aggregate characteristic and specimen size on the stress dependence of AE elastic wave velocity can be nearly neglected.
- (2)
- In this study, the standard deviation of 32 AE elastic wave velocities was defined as the evaluation criterion of the concrete damage process, and the whole damage process was divided into three stages by this evaluation criterion, such as a steady damage process, accelerated damage process and buckling damage process. The two key values of the standard deviation were 70 and 1700, When the standard deviation is below 70, in the range of 70 to 1700, and greater than 1700, the concrete damage process is defined as a steady damage process, accelerated damage process and buckling damage process respectively.
- (3)
- The changing history of horizontal strain verified the scientificity and reliability of this evaluation criterion. The relationship between standard deviation and relative stress ratio of the turning point and the peak point of the concrete damage process were analyzed, and the results showed that the standard deviation of AE elastic wave velocity can also be used to evaluate the stress ratio when concrete was under axial compressive loading.
Author Contributions
Funding
Institutional Review Board Statement
Informed Consent Statement
Data Availability Statement
Conflicts of Interest
References
- Shah, A.A.; Ribakov, Y. Effectiveness of nonlinear ultrasonic and acoustic emission evaluation of concrete with distributed damages. Mater. Des. 2010, 31, 3777–3784. [Google Scholar] [CrossRef]
- Feiteira, J. Monitoring crack movement in polymer-based self-healing concrete through digital image correlation, acoustic emission analysis and SEM in-situ loading. Mater. Des. 2017, 115, 238–246. [Google Scholar] [CrossRef]
- Demis, S.; Papadakis, V.G. Durability design process of reinforced concrete structures-Service life estimation, problems and perspectives. J. Build. Eng. 2019, 26, 100876. [Google Scholar] [CrossRef]
- Geng, J.; Sun, Q.; Zhang, Y. Acoustic Emission Analysis of Deformation and Damage Processes. Constr. Build. Mater. 2017, 149, 9–16. [Google Scholar] [CrossRef]
- Nair, A.; Cai, C.S. Acoustic emission monitoring of bridges: Review and case studies. Eng. Struct. 2010, 32, 1704–1714. [Google Scholar] [CrossRef]
- Carpinteri, A.; Lacidogna, G.; Pugno, N. Structural damage diagnosis and life-time assessment by acoustic emission monitoring. Eng. Fract. Mech. 2007, 74, 273–289. [Google Scholar] [CrossRef]
- Carpinteri, A.; Lacidogna, G. Damage Monitoring of an Historical Masonry Building by the Acoustic Emission Technique. Mater. Des. 2006, 39, 161–167. [Google Scholar]
- Rehman, S.K.U.; Ibrahim, Z.; Memon, S.A.; Jameel, M. Nondestructive test methods for concrete bridges: A review. Constr. Build. Mater. 2016, 107, 58–86. [Google Scholar] [CrossRef] [Green Version]
- Singh, N.; Singh, S.P. Evaluating the performance of self compacting concretes made with recycled coarse and fine aggregates using non destructive testing techniques. Constr. Build. Mater. 2018, 181, 73–84. [Google Scholar] [CrossRef]
- Rasheed, M.A.; Prakash, S.S.; Raju, G.; Kawasaki, Y. Fracture studies on synthetic fiber reinforced cellular concrete using acoustic emission technique. Constr. Build. Mater. 2018, 169, 100–112. [Google Scholar] [CrossRef]
- Hu, S.; Lu, J.; Xiao, F. Evaluation of concrete fracture procedure based on acoustic emission parameters. Constr. Build. Mater. 2013, 47, 1249–1256. [Google Scholar] [CrossRef]
- Farnam, Y.; Geiker, M.R.; Bentz, D.; Weiss, J. Acoustic emission waveform characterization of crack origin and mode in fractured and ASR damaged concrete. Cem. Concr. Compos. 2015, 60, 135–145. [Google Scholar] [CrossRef]
- Suzuki, T.; Ohtsu, M. Quantitative damage evaluation of structural concrete by a compression test based on AE rate process analysis. Constr. Build. Mater. 2004, 18, 197–202. [Google Scholar] [CrossRef]
- Liu, W.; Guo, Z.; Niu, S. Mechanical properties and damage evolution behavior of coal–fired slag concrete under uniaxial compression based on acoustic emission monitoring technology. J. Mater. Res. Technol.-JMRT 2020, 9, 9537–9549. [Google Scholar] [CrossRef]
- Abouhussien, A.A.; Hassan, A.A.A. Hassan. Classification of damage in self-consolidating rubberized concrete using acoustic emission intensity analysis. Ultrasonics 2020, 100, 1–10. [Google Scholar] [CrossRef]
- Ma, G.; Wu, C.; Hwang, H.-J.; Li, B. Crack monitoring and damage assessment of BFRP-jacketed concrete cylinders under compression load based on acoustic emission techniques. Constr. Build. Mater. 2021, 272, 1–13. [Google Scholar] [CrossRef]
- Tayfur, S.; Alver, N.; Abdi, S.; Saatcı, S.; Ghiami, A. Characterization of concrete matrix/steel fiber de-bonding in an SFRC beam: Principal component analysis and k-mean algorithm for clustering AE data. Eng. Fract. Mech. 2018, 194, 73–85. [Google Scholar] [CrossRef]
- Behnia, A.; Chai, H.K.; GhasemiGol, M.; Sepehrinezhad, A.; Mousa, A.A. Advanced damage detection technique by integration of unsupervised clustering into acoustic emission. Eng. Fract. Mech. 2019, 210, 212–227. [Google Scholar] [CrossRef]
- Thirumalaiselvi, A.; Sasmal, S. Pattern recognition enabled acoustic emission signatures for crack characterization during damage progression in large concrete structures. Appl. Acoust. 2021, 175, 1–12. [Google Scholar] [CrossRef]
- Kravchuk, R.; Landis, E.N. Acoustic emission-based classification of energy dissipation mechanisms during fracture of fiber-reinforced ultra-high-performance concrete. Constr. Build. Mater. 2018, 176, 531–538. [Google Scholar] [CrossRef]
- Chen, X.; Xu, Z. The ultrasonic P-wave velocity-stress relationship of rocks and its application. Bull. Eng. Geol. Environ. 2016, 76, 1–9. [Google Scholar] [CrossRef]
- Sun, Q.; Zhu, S. Wave velocity and stress/strain in rock brittle failure. Environ. Earth Sci. 2013, 72, 861–866. [Google Scholar] [CrossRef]
- Zhang, Z.; Wang, E.; Dong, C. Study on loaded rocks’ P-wave velocity anisotropy and quantitative relationship between the anisotropy index and the position of main failure. J. Appl. Geophys. 2016, 134, 183–190. [Google Scholar] [CrossRef]
- Zhang, Y.; Abraham, O.; Grondin, F.; Loukili, A.; Tournat, V.; Le Duff, A.; Lascoup, B.; Durand, O. Study of stress-induced velocity variation in concrete under direct tensile force and monitoring of the damage level by using thermally-compensated Coda Wave Interferometry. Ultrasonics 2012, 52, 1038–1045. [Google Scholar] [CrossRef] [PubMed] [Green Version]
- Zacchei, E.; Nogueira, C.G. Chloride diffusion assessment in RC structures considering the stressstrain state effects and crack width influences. Constr. Build. Mater. 2019, 201, 100–109. [Google Scholar] [CrossRef]
- Venkatalaxmi, A.; Padmavathi, B.S.; Amaranath, T. A general solution of unsteady Stokes equations. Fluid Dyn. Res. 2004, 35, 229–236. [Google Scholar] [CrossRef]
- Dong, L.-J.; Li, X.B.; Zhou, Z.-L.; Chen, C.-H.; Ma, J. Three-dimensional analytical solution of acoustic emission source location for cuboid monitoring network without pre-measured wave velocity. Trans. Nonferrous Met. Soc. China 2015, 25, 293–302. [Google Scholar] [CrossRef]
- Mahboubi, A.; Ajorloo, A. Experimental study of the mechanical behavior of plastic concrete in triaxial compression. Cem. Concr. Res. 2015, 35, 412–419. [Google Scholar] [CrossRef]
- Jivkov, A.P.; Engelberg, D.L.; Stein, R. Pore space and brittle damage evolution in concrete. Eng. Fract. Mech. 2013, 11, 378–395. [Google Scholar] [CrossRef]
- Ran, H.; Guo, Y.; Feng, G.; Qi, T.; Du, X. Creep properties and resistivity-ultrasonic-AE responses of cemented gangue backfill column under high-stress area. Int. J. Min. Sci. Technol. 2021, 31, 401–412. [Google Scholar] [CrossRef]
- Havlásek, P. Numerical modeling of axially compressed circular concrete columns. Eng. Struct. 2021, 277, 1–17. [Google Scholar]
- Song, T.-Y.; Xiang, K. Performance of axially-loaded concrete-filled steel tubular circular columns using ultra-high strength concrete. Structures 2020, 24, 167–176. [Google Scholar] [CrossRef]
- Song, Z.; Konietzky, H.; Herbst, M. Three-dimensional particle model based numerical simulation on multi-level compressive cyclic loading of concrete. Constr. Build. Mater. 2019, 225, 661–677. [Google Scholar] [CrossRef]
- Sánchez-Aparicio, L.J.; Villarino, A.; García-Gago, J.; González-Aguilera, D. Photogrammetric, Geometrical, and Numerical Strategies to Evaluate Initial and Current Conditions in Historical Constructions: A Test Case in the Church of San Lorenzo (Zamora, Spain). Remote Sens. 2016, 8, 60. [Google Scholar] [CrossRef] [Green Version]
- Zhou, K.; Lei, D.; He, J.; Zhang, P.; Bai, P.; Zhu, F. Real-time localization of micro-damage in concrete beams using DIC technology and wavelet packet analysis. Cem. Concr. Compos. 2021, 123, 1–12. [Google Scholar] [CrossRef]
- Wang, X.; Jin, Z.; Liu, J. Research on internal monitoring of reinforced concrete under accelerated corrosion, using XCT and DIC technology. Constr. Build. Mater. 2021, 266, 1–14. [Google Scholar] [CrossRef]
- Dong, W.; Rong, H.; Wu, Q.; Li, J. Investigations on the FPZ evolution of concrete after sustained loading by means of the DIC technique. Constr. Build. Mater. 2019, 188, 49–57. [Google Scholar] [CrossRef]
- Okeil, A.; Matsumoto, K.; Nagai, K. Investigation on local bond behavior in concrete and cement paste around a deformed bar by using DIC technique. Cem. Concr. Compos. 2020, 109, 1–14. [Google Scholar] [CrossRef]
- Jin, X.; Tong, J.; Tian, Y. Time-varying relative displacement field on the surface of concrete cover caused by reinforcement corrosion based on DIC measurement. Constr. Build. Mater. 2018, 159, 695–703. [Google Scholar] [CrossRef]
- Babaeeian, M.; Mohammadimehr, M. Investigation of the time elapsed effect on residual stress measurement in a composite plate by DIC method. Opt. Lasers Eng. 2020, 128, 1–11. [Google Scholar] [CrossRef]
- Birch, F. The velocity of compressional waves in rocks to 10 kilobars: 2. J. Geophys. Res.-Atmos. 1960, 66, 2199–2224. [Google Scholar] [CrossRef]
- Castagna, J.P.; Batzle, M.L.; Eastwood, R.L. Relationships between compressional-wave and shear-wave velocities in clastic silicate rocks. Geophysics 1985, 50, 571–581. [Google Scholar] [CrossRef]
- Shokouhi, P.; Zoëga, A.; Wiggenhauser, H. Nondestructive Investigation of Stress-Induced Damage in Concrete. Adv. Civ. Eng. 2010, 5, 740189. [Google Scholar] [CrossRef] [Green Version]
- Shokouhi, P.; Zoëga, A.; Wiggenhauser, H.; Fischer, G. Surface Wave Velocity-Stress Relationship in Uniaxially Loaded Concrete. ACI Mater. J. 2012, 109, 141–148. [Google Scholar]
- Lee, J.-S.; Yoon, H.-K. Theoretical relationship between elastic wave velocity and electrical resistivity. J. Appl. Geophys. 2015, 116, 51–61. [Google Scholar] [CrossRef]
- Clarke, J.; Adam, L.; van Wijk, K.; Sarout, J. The influence of fluid type on elastic wave velocity and attenuation in volcanic rocks. J. Volcanol. Geotherm. Res. 2020, 403, 1–19. [Google Scholar] [CrossRef]
- Meng, K.; Li, Q. A homogenized damping model for the propagation of elastic wave in a porous solid. J. Sound Vibr. 2021, 511, 1–19. [Google Scholar] [CrossRef]
























| Mixture Code | Cement (kg/m3) | Water (kg/m3) | Sand (kg/m3) | Fly Ash | Volume Fraction (%) | Maximum Size (mm) | Compressive Strength (MPa) | |
|---|---|---|---|---|---|---|---|---|
| Cube | Prism | |||||||
| V-0% | 716 | 300 | 1289 | 143 | 0 | — | 74.1 | 68.8 |
| V-20% | 631 | 265 | 1137 | 126 | 20 | 26.5 | 65.8 | 62.3 |
| V-40% | 547 | 229 | 985 | 109 | 40 | 61.7 | 59.7 | |
| V-60% | 463 | 194 | 833 | 92 | 60 | 76.3 | 71.8 | |
| D-9.5 | 463 | 194 | 833 | 92 | 60 | 9.5 | 65.1 | 62.4 |
| D-19 | 19 | 71.7 | 65.7 | |||||
| D-26.5 | 26.5 | 76.3 | 71.8 | |||||
| D-31.5 | 31.5 | 66.3 | 62.2 | |||||
| Parameter | Threshold (dB) | Amplification (dB) | Floating Threshold (dB) | PDT (μs) | HDT (μs) | HLT (ms) |
|---|---|---|---|---|---|---|
| Value | 45 | 40 | 6 | 300 | 600 | 1000 |
Publisher’s Note: MDPI stays neutral with regard to jurisdictional claims in published maps and institutional affiliations. |
© 2021 by the authors. Licensee MDPI, Basel, Switzerland. This article is an open access article distributed under the terms and conditions of the Creative Commons Attribution (CC BY) license (https://creativecommons.org/licenses/by/4.0/).
Share and Cite
Li, G.; Gu, J.; Ren, Z.; Zhao, F.; Zhang, Y. Damage Evaluation of Concrete under Uniaxial Compression Based on the Stress Dependence of AE Elastic Wave Velocity Combined with DIC Technology. Materials 2021, 14, 6161. https://doi.org/10.3390/ma14206161
Li G, Gu J, Ren Z, Zhao F, Zhang Y. Damage Evaluation of Concrete under Uniaxial Compression Based on the Stress Dependence of AE Elastic Wave Velocity Combined with DIC Technology. Materials. 2021; 14(20):6161. https://doi.org/10.3390/ma14206161
Chicago/Turabian StyleLi, Guodong, Jiarui Gu, Zhengyi Ren, Fengnian Zhao, and Yongquan Zhang. 2021. "Damage Evaluation of Concrete under Uniaxial Compression Based on the Stress Dependence of AE Elastic Wave Velocity Combined with DIC Technology" Materials 14, no. 20: 6161. https://doi.org/10.3390/ma14206161
APA StyleLi, G., Gu, J., Ren, Z., Zhao, F., & Zhang, Y. (2021). Damage Evaluation of Concrete under Uniaxial Compression Based on the Stress Dependence of AE Elastic Wave Velocity Combined with DIC Technology. Materials, 14(20), 6161. https://doi.org/10.3390/ma14206161
