Chalcogenide Perovskites and Perovskite-Based Chalcohalide as Photoabsorbers: A Study of Their Properties, and Potential Photovoltaic Applications
Abstract
:1. Introduction
1.1. Doping Engineering
1.2. Dimensionality Reduction
2. Chalcogenide Perovskite Photoabsorbers (ABX3)
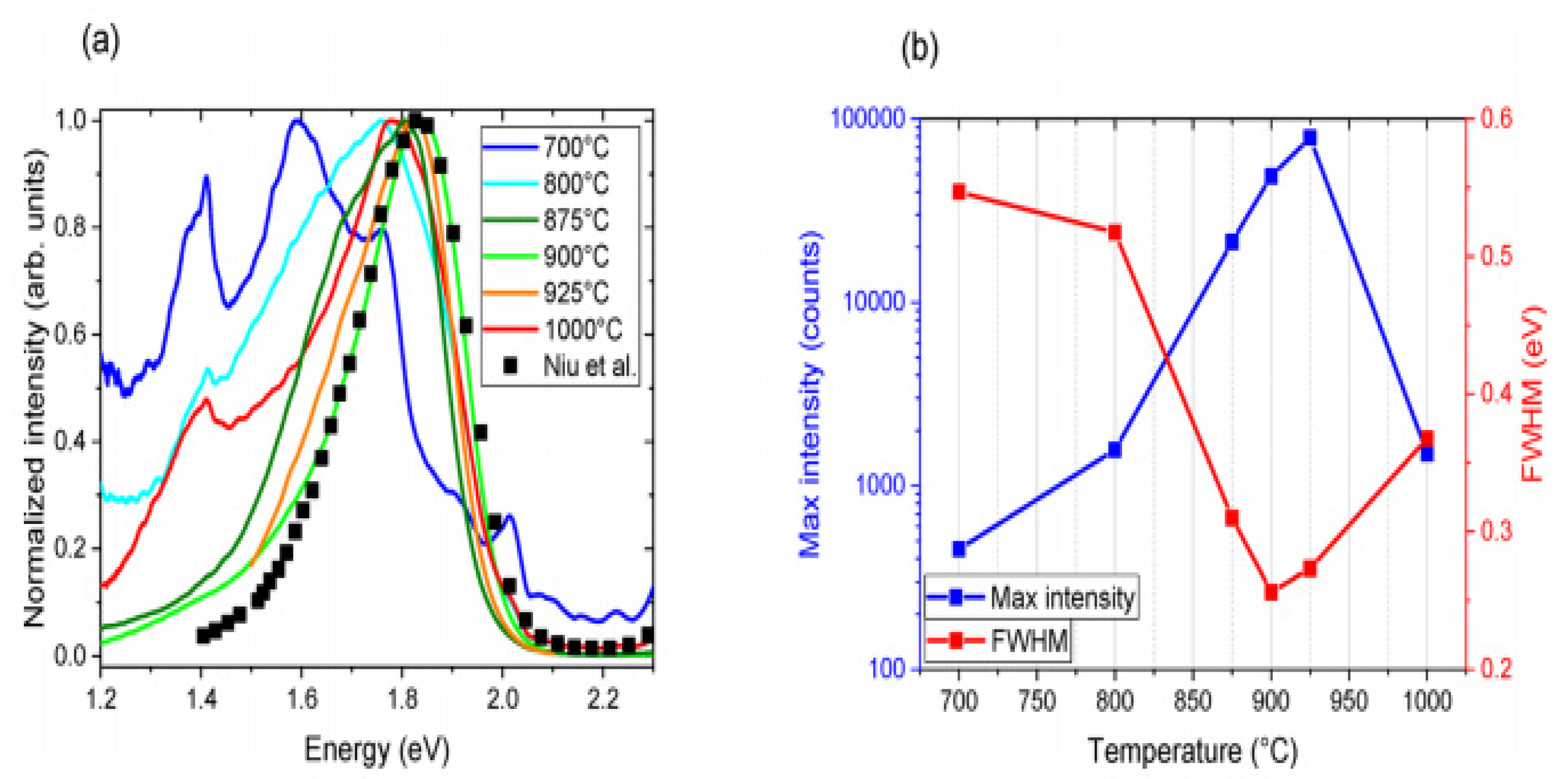
2.1. BaZrS3 Chalcogenide Perovskite Photoabsorber
2.2. Ba3Zr2S7 Chalcogenide Perovskite Photoabsorber
2.3. SrHfSe3 and Sr1−xSbxHfSe3 Chalcogenide Perovskite Photoabsorbers
3. Outstanding Property Comparison of Selected Chalcogenide Perovskite Photoabsorbers
3.1. Optical Comparison of Selected Zr-Chalcogenide Perovskite Photoabsorbers
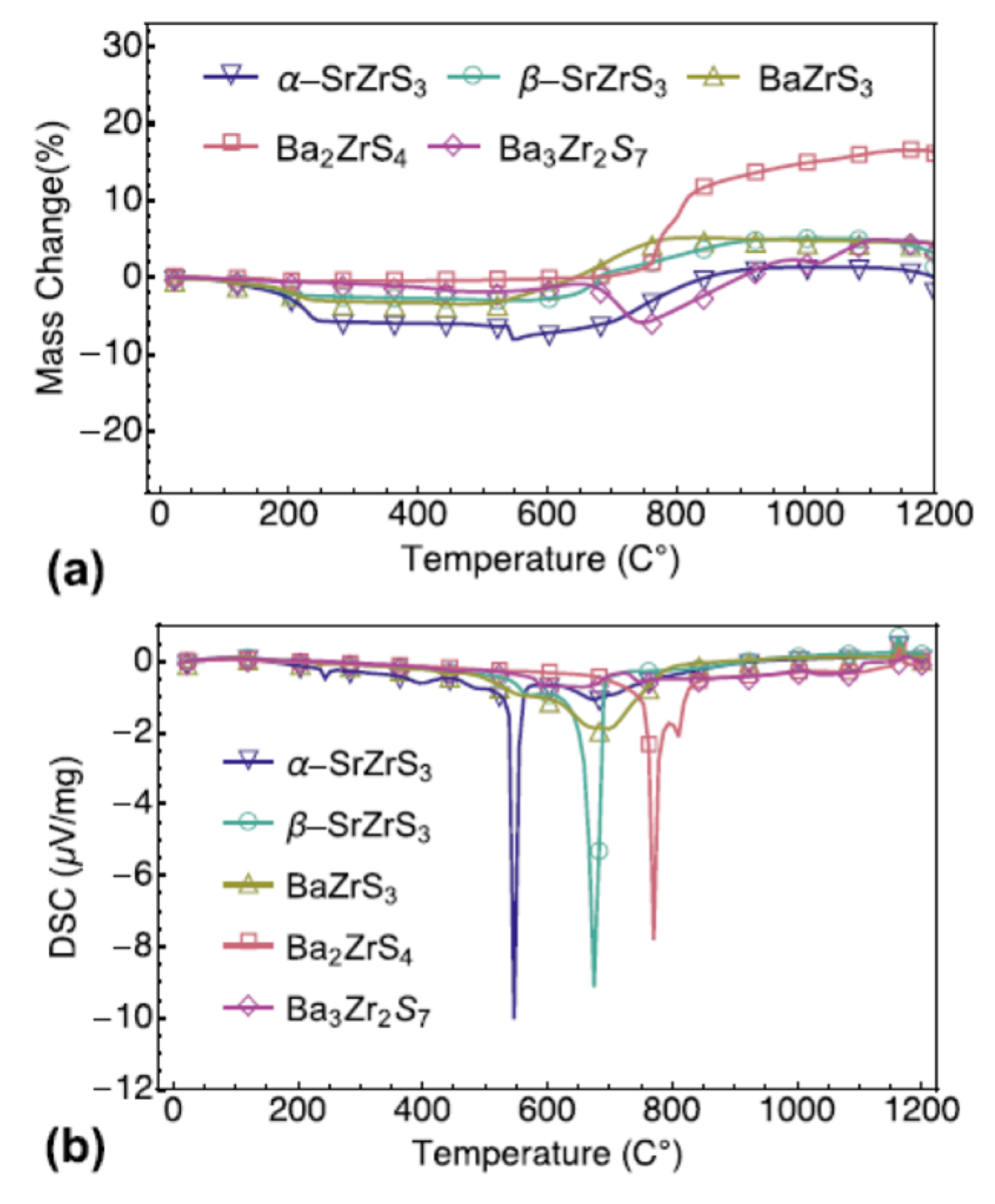
3.2. Thermal Stability Comparison of Selected Zr-Chalcogenide Perovskite Photoabsorbers
3.3. Optoelectronic Comparison of Selected Zr- and Hf-Chalcogenide Perovskite Photoabsorbers
4. CaSnS3 Chalcogenide Perovskite Photoabsorber
5. LaYS3 Thin Film
6. Perovskite-Based Chalcohalide of A.B. (Ch, X)3 Photoabsorbers
6.1. Perovskite-Based Chalcohalide of MASbSI2 Photoabsorber
6.2. Perovskite-Based Chalcohalide of MABiSI2 Photoabsorber
7. Challenges and Future Trend of Chalcogenide Perovskite and Perovskite-Based Chalcohalide Materials
8. Conclusions and Prospects
Author Contributions
Funding
Institutional Review Board Statement
Informed Consent Statement
Data Availability Statement
Acknowledgments
Conflicts of Interest
References
- Rahaman, M.Z.; Akther Hossain, A.K.M. Effect of metal doping on the visible light absorption, electronic structure and mechanical properties of non-toxic metal halide CsGeCl3. RSC Adv. 2018, 8, 33010–33018. [Google Scholar] [CrossRef] [Green Version]
- Zibouche, N.; Islam, M.S. Structure–Electronic Property Relationships of 2D Ruddlesden–Popper Tin- and Lead-based Iodide Perovskites. ACS Appl. Mater. Interfaces 2020, 12, 15328–15337. [Google Scholar] [CrossRef]
- NREL Solar Cell Efficiency Chart. Available online: https://www.nrel.gov/pv/cell-efficiency.html (accessed on 17 September 2020).
- Swarnkar, A.; Mir, W.J.; Chakraborty, R.; Jagadeeswararao, M.; Sheikh, T.; Nag, A. Are Chalcogenide Perovskites an Emerging Class of Semiconductors for Optoelectronic Properties and Solar Cell? Chem. Mater. 2019, 31, 565–575. [Google Scholar] [CrossRef]
- Ju, M.; Dai, J.; Ma, L.; Zeng, X.C. Perovskite Chalcogenides with Optimal Bandgap and Desired Optical Absorption for Photovoltaic Devices. Adv. Energy Mater. 2017, 7, 1700216. [Google Scholar] [CrossRef]
- Adjogri, S.J.; Meyer, E.L. A Review on Lead-Free Hybrid Halide Perovskites as Light Absorbers for Photovoltaic Applications Based on Their Structural, Optical, and Morphological Properties. Molecules 2020, 25, 5039. [Google Scholar] [CrossRef]
- Du, J.; Shi, J. 2D Ca3Sn2S7 Chalcogenide Perovskite: A Graphene-Like Semiconductor with Direct Bandgap 0.5 eV and Ultrahigh Carrier Mobility 6.7 × 104 cm2 V−1 s−1. Adv. Mater. 2019, 31, 1905643. [Google Scholar] [CrossRef]
- Huang, T.J.; Thiang, Z.X.; Yin, X.; Tang, C.; Qi, G.; Gong, H. (CH3NH3)2PdCl4: A Compound with Two-Dimensional Organic-Inorganic Layered Perovskite Structure. Chem. Eur. J. 2016, 22, 2146–2152. [Google Scholar] [CrossRef]
- Tanaka, H.; Oku, T.; Ueoka, N. Structural stabilities of organic–inorganic perovskite crystals. Jpn. J. Appl. Phys. 2018, 57, 08RE12. [Google Scholar] [CrossRef]
- Jerpoth, S.S.; Iannello, J.; Aboagye, E.A.; Yenkie, K.M. Computer-aided synthesis of cost-effective perovskite crystals: An emerging alternative to silicon solar cells. Clean Technol. Environ. Policy 2020, 22, 1187–1198. [Google Scholar] [CrossRef]
- Kieslich, G.; Sun, S.; Cheetham, A.K. An extended Tolerance Factor approach for organic–inorganic perovskites. Chem. Sci. 2015, 6, 3430–3433. [Google Scholar] [CrossRef] [Green Version]
- Sun, P.-P.; Li, Q.-S.; Yang, L.-N.; Li, Z.-S. Theoretical insights into a potential lead-free hybrid perovskite: Substituting Pb2+ with Ge2+. Nanoscale 2016, 8, 1503–1512. [Google Scholar] [CrossRef]
- Li, Z.; Yang, M.; Park, J.-S.; Wei, S.-H.; Berry, J.J.; Zhu, K. Stabilizing Perovskite Structures by Tuning Tolerance Factor: Formation of Formamidinium and Cesium Lead Iodide Solid-State Alloys. Chem. Mater. 2016, 28, 284–292. [Google Scholar] [CrossRef]
- Travis, W.; Glover, E.N.K.; Bronstein, H.; Scanlon, D.O.; Palgrave, R.G. On the application of the tolerance factor to inorganic and hybrid halide perovskites: A revised system. Chem. Sci. 2016, 7, 4548–4556. [Google Scholar] [CrossRef] [Green Version]
- Maughan, A.E.; Ganose, A.M.; Almaker, M.A.; Scanlon, D.O.; Neilson, J.R. Tolerance Factor and Cooperative Tilting Effects in Vacancy-Ordered Double Perovskite Halides. Chem. Mater. 2018, 30, 3909–3919. [Google Scholar] [CrossRef]
- Bartel, C.J.; Sutton, C.; Goldsmith, B.R.; Ouyang, R.; Musgrave, C.B.; Ghiringhelli, L.M.; Scheffler, M. New tolerance factor to predict the stability of perovskite oxides and halides. Sci. Adv. 2019, 5, eaav0693. [Google Scholar] [CrossRef] [Green Version]
- Cheng, X.; Jing, L.; Yuan, Y.; Du, S.; Yao, Q.; Zhang, J.; Ding, J.; Zhou, T. Centimeter-size square 2D layered Pb-free hybrid perovskite single crystal (CH3NH3)2MnCl4 for red photoluminescence. CrystEngComm 2019, 21, 4085–4091. [Google Scholar] [CrossRef]
- Sato, T.; Takagi, S.; Deledda, S.; Hauback, B.C.; Orimo, S. Extending the applicability of the Goldschmidt tolerance factor to arbitrary ionic compounds. Sci. Rep. 2016, 6, 23592. [Google Scholar] [CrossRef] [Green Version]
- Lee, C.-S.; Kleinke, K.M.; Kleinke, H. Synthesis, structure, and electronic and physical properties of the two SrZrS3 modifications. Solid State Sci. 2005, 7, 1049–1054. [Google Scholar] [CrossRef]
- Hasan, S.; Adhikari, P.; Baral, K.; Ching, W.-Y. Conspicuous interatomic bonding in chalcogenide crystals and implications on electronic, optical, and elastic properties. AIP Adv. 2020, 10, 075216. [Google Scholar] [CrossRef]
- Kanatzidis, M.G. Chalcogenides: Solid-State Chemistry Based in part on the article Chalcogenides: Solid State Chemistry by Patricia M. Keane which appeared in the Encyclopedia of Inorganic Chemistry, First Edition. In Encyclopedia of Inorganic Chemistry; John Wiley & Sons, Ltd.: Chichester, UK, 2006; pp. 1–39. [Google Scholar]
- Papoh, N.P. Introductory Chapter: Chalcogen Chemistry-The Footprint into New Materials Development. In Chalcogen Chemistry; IntechOpen: London, UK, 2018; pp. 1–7. [Google Scholar]
- Nijamudheen, A.; Akimov, A.V. Criticality of Symmetry in Rational Design of Chalcogenide Perovskites. J. Phys. Chem. Lett. 2018, 9, 248–257. [Google Scholar] [CrossRef]
- Meng, W.; Saparov, B.; Hong, F.; Wang, J.; Mitzi, D.B.; Yan, Y. Alloying and Defect Control within Chalcogenide Perovskites for Optimized Photovoltaic Application. Chem. Mater. 2016, 28, 821–829. [Google Scholar] [CrossRef]
- Liu, X.-K.; Gao, F. Organic–Inorganic Hybrid Ruddlesden–Popper Perovskites: An Emerging Paradigm for High-Performance Light-Emitting Diodes. J. Phys. Chem. Lett. 2018, 9, 2251–2258. [Google Scholar] [CrossRef] [Green Version]
- Chen, Y.; Yu, S.; Sun, Y.; Liang, Z. Phase Engineering in Quasi-2D Ruddlesden–Popper Perovskites. J. Phys. Chem. Lett. 2018, 9, 2627–2631. [Google Scholar] [CrossRef]
- Niu, S.; Sarkar, D.; Williams, K.; Zhou, Y.; Li, Y.; Bianco, E.; Huyan, H.; Cronin, S.B.; McConney, M.E.; Haiges, R.; et al. Optimal Bandgap in a 2D Ruddlesden–Popper Perovskite Chalcogenide for Single-Junction Solar Cells. Chem. Mater. 2018, 30, 4882–4886. [Google Scholar] [CrossRef] [Green Version]
- Hong, F.; Saparov, B.; Meng, W.; Xiao, Z.; Mitzi, D.B.; Yan, Y. Viability of lead-free perovskites with mixed chalcogen and halogen anions for photovoltaic applications. J. Phys. Chem. C 2016, 120, 6435–6441. [Google Scholar] [CrossRef]
- Romanyuk, Y.E.; Haass, S.G.; Giraldo, S.; Placidi, M.; Tiwari, D.; Fermin, D.J.; Hao, X.; Xin, H.; Schnabel, T.; Kauk-Kuusik, M.; et al. Doping and alloying of kesterites. J. Phys. Energy 2019, 1, 044004. [Google Scholar] [CrossRef] [Green Version]
- Schloemer, T.H.; Christians, J.A.; Luther, J.M.; Sellinger, A. Doping strategies for small molecule organic hole-transport materials: Impacts on perovskite solar cell performance and stability. Chem. Sci. 2019, 10, 1904–1935. [Google Scholar] [CrossRef] [Green Version]
- Phung, N.; Félix, R.; Meggiolaro, D.; Al-Ashouri, A.; Sousa e Silva, G.; Hartmann, C.; Hidalgo, J.; Köbler, H.; Mosconi, E.; Lai, B.; et al. The Doping Mechanism of Halide Perovskite Unveiled by Alkaline Earth Metals. J. Am. Chem. Soc. 2020, 142, 2364–2374. [Google Scholar] [CrossRef] [PubMed]
- Takahashi, Y.; Hasegawa, H.; Takahashi, Y.; Inabe, T. Hall mobility in tin iodide perovskite CH3NH3SnI3: Evidence for a doped semiconductor. J. Solid State Chem. 2013, 205, 39–43. [Google Scholar] [CrossRef]
- Abdelhady, A.L.; Saidaminov, M.I.; Murali, B.; Adinolfi, V.; Voznyy, O.; Katsiev, K.; Alarousu, E.; Comin, R.; Dursun, I.; Sinatra, L.; et al. Heterovalent Dopant Incorporation for Bandgap and Type Engineering of Perovskite Crystals. J. Phys. Chem. Lett. 2016, 7, 295–301. [Google Scholar] [CrossRef]
- Ou, Q.; Bao, X.; Zhang, Y.; Shao, H.; Xing, G.; Li, X.; Shao, L.; Bao, Q. Band structure engineering in metal halide perovskite nanostructures for optoelectronic applications. Nano Mater. Sci. 2019, 1, 268–287. [Google Scholar] [CrossRef]
- Liu, Y.-H.; Porter, S.H.; Goldberger, J.E. Dimensional Reduction of a Layered Metal Chalcogenide into a 1D Near-IR Direct Band Gap Semiconductor. J. Am. Chem. Soc. 2012, 134, 5044–5047. [Google Scholar] [CrossRef]
- Connor, B.A.; Biega, R.-I.; Leppert, L.; Karunadasa, H.I. Dimensional reduction of the small-bandgap double perovskite Cs2AgTlBr6. Chem. Sci. 2020, 11, 7708–7715. [Google Scholar] [CrossRef]
- Li, Y.; Singh, D.J. Tunability of electronic and optical properties of the Ba–Zr–S system via dimensional reduction. Eur. Phys. J. B 2018, 91, 188. [Google Scholar] [CrossRef]
- Zheng, K.; Pullerits, T. Two Dimensions Are Better for Perovskites. J. Phys. Chem. Lett. 2019, 10, 5881–5885. [Google Scholar] [CrossRef] [PubMed] [Green Version]
- Ramos-Terrón, S.; Jodlowski, A.D.; Verdugo-Escamilla, C.; Camacho, L.; de Miguel, G. Relaxing the Goldschmidt Tolerance Factor: Sizable Incorporation of the Guanidinium Cation into a Two-Dimensional Ruddlesden–Popper Perovskite. Chem. Mater. 2020, 32, 4024–4037. [Google Scholar] [CrossRef]
- Shaili, H.; Beraich, M.; El hat, A.; Ouafi, M.; Salmani, E.M.; Essajai, R.; Battal, W.; Rouchdi, M.; Taibi, M.; Hassanain, N.; et al. Synthesis of the Sn-based CaSnS3 chalcogenide perovskite thin film as a highly stable photoabsorber for optoelectronic applications. J. Alloys Compd. 2021, 851, 156790. [Google Scholar] [CrossRef]
- Wang, Y.; Sato, N.; Yamada, K.; Fujino, T. Synthesis of BaZrS3 in the presence of excess sulfur. J. Alloys Compd. 2000, 311, 214–223. [Google Scholar] [CrossRef]
- Wei, X.; Hui, H.; Zhao, C.; Deng, C.; Han, M.; Yu, Z.; Sheng, A.; Roy, P.; Chen, A.; Lin, J.; et al. Realization of BaZrS3 chalcogenide perovskite thin films for optoelectronics. Nano Energy 2020, 68, 104317. [Google Scholar] [CrossRef] [Green Version]
- Wei, X.; Hui, H.; Perera, S.; Sheng, A.; Watson, D.F.; Sun, Y.-Y.; Jia, Q.; Zhang, S.; Zeng, H. Ti-Alloying of BaZrS3 Chalcogenide Perovskite for Photovoltaics. ACS Omega 2020, 5, 18579–18583. [Google Scholar] [CrossRef]
- Pandey, J.; Ghoshal, D.; Dey, D.; Gupta, T.; Taraphder, A.; Koratkar, N.; Soni, A. Ferroelectric Polarization in Antiferroelectric Chalcogenide Perovskite BaZrS3 Thin Film. arXiv 2020, arXiv:2004.13678. [Google Scholar] [CrossRef]
- Comparotto, C.; Davydova, A.; Ericson, T.; Riekehr, L.; Moro, M.V.; Kubart, T.; Scragg, J. Chalcogenide Perovskite BaZrS3: Thin Film Growth by Sputtering and Rapid Thermal Processing. ACS Appl. Energy Mater. 2020, 3, 2762–2770. [Google Scholar] [CrossRef] [Green Version]
- Perera, S.; Hui, H.; Zhao, C.; Xue, H.; Sun, F.; Deng, C.; Gross, N.; Milleville, C.; Xu, X.; Watson, D.F.; et al. Chalcogenide perovskites—An emerging class of ionic semiconductors. Nano Energy 2016, 22, 129–135. [Google Scholar] [CrossRef] [Green Version]
- Gupta, T.; Ghoshal, D.; Yoshimura, A.; Basu, S.; Chow, P.K.; Lakhnot, A.S.; Pandey, J.; Warrender, J.M.; Efstathiadis, H.; Soni, A.; et al. An Environmentally Stable and Lead-Free Chalcogenide Perovskite. Adv. Funct. Mater. 2020, 30, 2001387. [Google Scholar] [CrossRef]
- Zhang, Y.; Shimada, T.; Kitamura, T.; Wang, J. Ferroelectricity in Ruddlesden–Popper Chalcogenide Perovskites for Photovoltaic Application: The Role of Tolerance Factor. J. Phys. Chem. Lett. 2017, 8, 5834–5839. [Google Scholar] [CrossRef]
- Moroz, N.A.; Bauer, C.; Williams, L.; Olvera, A.; Casamento, J.; Page, A.A.; Bailey, T.P.; Weiland, A.; Stoyko, S.S.; Kioupakis, E.; et al. Insights on the Synthesis, Crystal and Electronic Structures, and Optical and Thermoelectric Properties of Sr1−x SbxHfSe3 Orthorhombic Perovskite. Inorg. Chem. 2018, 57, 7402–7411. [Google Scholar] [CrossRef]
- Kuhar, K.; Crovetto, A.; Pandey, M.; Thygesen, K.S.; Seger, B.; Vesborg, P.C.K.; Hansen, O.; Chorkendorff, I.; Jacobsen, K.W. Sulfide perovskites for solar energy conversion applications: Computational screening and synthesis of the selected compound LaYS 3. Energy Environ. Sci. 2017, 10, 2579–2593. [Google Scholar] [CrossRef]
- Niu, S.; Huyan, H.; Liu, Y.; Yeung, M.; Ye, K.; Blankemeier, L.; Orvis, T.; Sarkar, D.; Singh, D.J.; Kapadia, R.; et al. Bandgap Control via Structural and Chemical Tuning of Transition Metal Perovskite Chalcogenides. Adv. Mater. 2017, 29, 1604733. [Google Scholar] [CrossRef] [Green Version]
- Niu, S.; Milam-Guerrero, J.; Zhou, Y.; Ye, K.; Zhao, B.; Melot, B.C.; Ravichandran, J. Thermal stability study of transition metal perovskite sulfides. J. Mater. Res. 2018, 33, 4135–4143. [Google Scholar] [CrossRef] [Green Version]
- Nishigaki, Y.; Nagai, T.; Nishiwaki, M.; Aizawa, T.; Kozawa, M.; Hanzawa, K.; Kato, Y.; Sai, H.; Hiramatsu, H.; Hosono, H.; et al. Extraordinary Strong Band-Edge Absorption in Distorted Chalcogenide Perovskites. Sol. RRL 2020, 4, 1900555. [Google Scholar] [CrossRef]
- Men, L.; Rosales, B.A.; Gentry, N.E.; Cady, S.D.; Vela, J. Lead-Free Semiconductors: Soft Chemistry, Dimensionality Control, and Manganese-Doping of Germanium Halide Perovskites. ChemNanoMat 2019, 5, 334–339. [Google Scholar] [CrossRef] [Green Version]
- Hanzawa, K.; Iimura, S.; Hiramatsu, H.; Hosono, H. Material Design of Green-Light-Emitting Semiconductors: Perovskite-Type Sulfide SrHfS3. J. Am. Chem. Soc. 2019, 141, 5343–5349. [Google Scholar] [CrossRef] [PubMed]
- Leijtens, T.; Prasanna, R.; Gold-Parker, A.; Toney, M.F.; McGehee, M.D. Mechanism of Tin Oxidation and Stabilization by Lead Substitution in Tin Halide Perovskites. ACS Energy Lett. 2017, 2, 2159–2165. [Google Scholar] [CrossRef]
- Shao, S.; Liu, J.; Portale, G.; Fang, H.; Blake, G.R.; ten Brink, G.H.; Koster, L.J.A.; Loi, M.A. Highly Reproducible Sn-Based Hybrid Perovskite Solar Cells with 9% Efficiency. Adv. Energy Mater. 2018, 8, 1702019. [Google Scholar] [CrossRef]
- Chen, Z.; Liu, M.; Li, Z.; Shi, T.; Yang, Y.; Yip, H.-L.; Cao, Y. Stable Sn/Pb-Based Perovskite Solar Cells with a Coherent 2D/3D Interface. iScience 2018, 9, 337–346. [Google Scholar] [CrossRef] [Green Version]
- Shao, S.; Dong, J.; Duim, H.; ten Brink, G.H.; Blake, G.R.; Portale, G.; Loi, M.A. Enhancing the crystallinity and perfecting the orientation of formamidinium tin iodide for highly efficient Sn-based perovskite solar cells. Nano Energy 2019, 60, 810–816. [Google Scholar] [CrossRef]
- Li, J.; Hu, P.; Chen, Y.; Li, Y.; Wei, M. Enhanced Performance of Sn-Based Perovskite Solar Cells by Two-Dimensional Perovskite Doping. ACS Sustain. Chem. Eng. 2020, 8, 8624–8628. [Google Scholar] [CrossRef]
- Li, J.; Huang, J.; Zhao, A.; Li, Y.; Wei, M. An inorganic stable Sn-based perovskite film with regulated nucleation for solar cell application. J. Mater. Chem. C 2020, 8, 8840–8845. [Google Scholar] [CrossRef]
- Saidaminov, M.I.; Spanopoulos, I.; Abed, J.; Ke, W.; Wicks, J.; Kanatzidis, M.G.; Sargent, E.H. Conventional Solvent Oxidizes Sn(II) in Perovskite Inks. ACS Energy Lett. 2020, 5, 1153–1155. [Google Scholar] [CrossRef] [Green Version]
- Yin, Y.; Wang, M.; Malgras, V.; Yamauchi, Y. Stable and Efficient Tin-Based Perovskite Solar Cell via Semiconducting–Insulating Structure. ACS Appl. Energy Mater. 2020, 3, 10447–10452. [Google Scholar] [CrossRef]
- Jin, Z.; Yu, B.-B.; Liao, M.; Liu, D.; Xiu, J.; Zhang, Z.; Lifshitz, E.; Tang, J.; Song, H.; He, Z. Enhanced efficiency and stability in Sn-based perovskite solar cells with secondary crystallization growth. J. Energy Chem. 2021, 54, 414–421. [Google Scholar] [CrossRef]
- Crovetto, A.; Nielsen, R.; Pandey, M.; Watts, L.; Labram, J.G.; Geisler, M.; Stenger, N.; Jacobsen, K.W.; Hansen, O.; Seger, B.; et al. Shining Light on Sulfide Perovskites: LaYS3 Material Properties and Solar Cells. Chem. Mater. 2019, 31, 3359–3369. [Google Scholar] [CrossRef] [Green Version]
- Nie, R.; Mehta, A.; Park, B.; Kwon, H.-W.; Im, J.; Seok, S. Il Mixed Sulfur and Iodide-Based Lead-Free Perovskite Solar Cells. J. Am. Chem. Soc. 2018, 140, 872–875. [Google Scholar] [CrossRef]
- Zhang, C.; Teo, S.; Guo, Z.; Gao, L.; Kamata, Y.; Xu, Z.; Ma, T. Development of a Mixed Halide-chalcogenide Bismuth-based Perovskite MABiI2S with Small Bandgap and Wide Absorption Range. Chem. Lett. 2019, 48, 249–252. [Google Scholar] [CrossRef]
- Ono, L.K.; Liu, S.; Qi, Y. Reducing Detrimental Defects for High-Performance Metal Halide Perovskite Solar Cells. Angew. Chem. Int. Ed. 2020, 59, 6676–6698. [Google Scholar] [CrossRef]
- Li, W.; Ji, L.-J. Perovskite ferroelectrics go metal free. Science. 2018, 361, 132. [Google Scholar] [CrossRef]
- Brandt, R.E.; Stevanović, V.; Ginley, D.S.; Buonassisi, T. Identifying defect-tolerant semiconductors with high minority-carrier lifetimes: Beyond hybrid lead halide perovskites. Mrs Commun. 2015, 5, 265–275. [Google Scholar] [CrossRef] [Green Version]


















| Compound | Bandgaps (eV) | PL Peak (eV) | Synthetic Method | Reported by | Ref. |
|---|---|---|---|---|---|
| BaZr1−xTixS3 | 1.47 | Heating BaS and ZrS2 in quartz tubes + 10% Ti-doped | Meng et al. | [24] | |
| BaZrS3 | 1.82 | 1.81 | BaZrO3 Thin film deposition by Pulsed laser deposition system and sulfurized with CS2 | Wei et al. | [41] |
| Ba(Zr1−xTix)S3 | 1.51 | Ball milling in steel jar a mixture of BaCO3, ZrO2, and TiO2 powders in stream of CS2 | Wei et al. | [42] | |
| BaZrS3 | 1.9 | 1.95 | By chemical vapour deposition of BaZrO3 Thin film on quartz in stream of N2 and CS2 | Pandey et al. | [43] |
| BaZrS3 | 1.8 | 1.84 | By co-sputtering of BaS and Zr at ambient temperature to induce crystallization in streams of H2S | Comparotto et al. | [44] |
| BaZrS3 | 1.73 | 1.7 | Heating BaZrO3 in quartz tubes under flowing Ar. And CS2 | Perera et al. | [45] |
| Compound | Bandgaps (eV) | PL Peak (eV) | Ref. |
|---|---|---|---|
| Ba3Zr2S7 | 1.28 | 1.28 | [27] |
| CaSnS3 | 1.72 | [46] | |
| CaZrS3 | 1.90 | [48] | |
| SrZrSe3 | 1.02 | [49] | |
| LaYS3 | 2.0 | [50] |
| Compound | Bandgaps (eV) | PL Peak (eV) | Synthetic Method | Reported by | Ref. |
|---|---|---|---|---|---|
| α-SrZrS3 | 1.52 | 1.53 | Iodine introduced as catalyst to solid reaction between SrS and Zr. | Niu et al. | [51] |
| β-SrZrS3 | 2.05 | 2.13 | |||
| BaZrS3 | 1.83 | 1.81 | Iodine introduced as catalyst to solid reaction between BaS and Zr. | Niu et al. | [51] |
| Compound | Measured Bandgaps (eV) | Calculated Bandgaps (eV) | Ref. |
|---|---|---|---|
| BaZrS3 | 1.94 | 1.77 | [53] |
| SrZrS3 | 2.14 | 1.98 | [53] |
| BaHfS3 | 2.17 | 2.01 | [53] |
| SrHfS3 | 2.14 | 2.27 | [53] |
| Ba(Zr1−xTix)S3 | 1.63 | [53] | |
| BaZr(S1−xSex)3 | 1.76 | [53] |
Publisher’s Note: MDPI stays neutral with regard to jurisdictional claims in published maps and institutional affiliations. |
© 2021 by the authors. Licensee MDPI, Basel, Switzerland. This article is an open access article distributed under the terms and conditions of the Creative Commons Attribution (CC BY) license (https://creativecommons.org/licenses/by/4.0/).
Share and Cite
Adjogri, S.J.; Meyer, E.L. Chalcogenide Perovskites and Perovskite-Based Chalcohalide as Photoabsorbers: A Study of Their Properties, and Potential Photovoltaic Applications. Materials 2021, 14, 7857. https://doi.org/10.3390/ma14247857
Adjogri SJ, Meyer EL. Chalcogenide Perovskites and Perovskite-Based Chalcohalide as Photoabsorbers: A Study of Their Properties, and Potential Photovoltaic Applications. Materials. 2021; 14(24):7857. https://doi.org/10.3390/ma14247857
Chicago/Turabian StyleAdjogri, Shadrack J., and Edson L. Meyer. 2021. "Chalcogenide Perovskites and Perovskite-Based Chalcohalide as Photoabsorbers: A Study of Their Properties, and Potential Photovoltaic Applications" Materials 14, no. 24: 7857. https://doi.org/10.3390/ma14247857
APA StyleAdjogri, S. J., & Meyer, E. L. (2021). Chalcogenide Perovskites and Perovskite-Based Chalcohalide as Photoabsorbers: A Study of Their Properties, and Potential Photovoltaic Applications. Materials, 14(24), 7857. https://doi.org/10.3390/ma14247857

