Residual Mechanical Properties and Durability of High-Strength Concrete with Polypropylene Fibers in High Temperatures
Abstract
:1. Introduction
2. Materials and Methods
2.1. Materials
2.2. Mix Compositions, Specimen Preparation and Test Procedures
2.3. Statistical Analysis
2.4. Test Scheme
3. Results
3.1. HSC Performance at High Temperatures
3.2. Sample Surface Physical Observation
3.3. Physical and Mechanical Properties Result
3.3.1. Compressive Strength (CS)
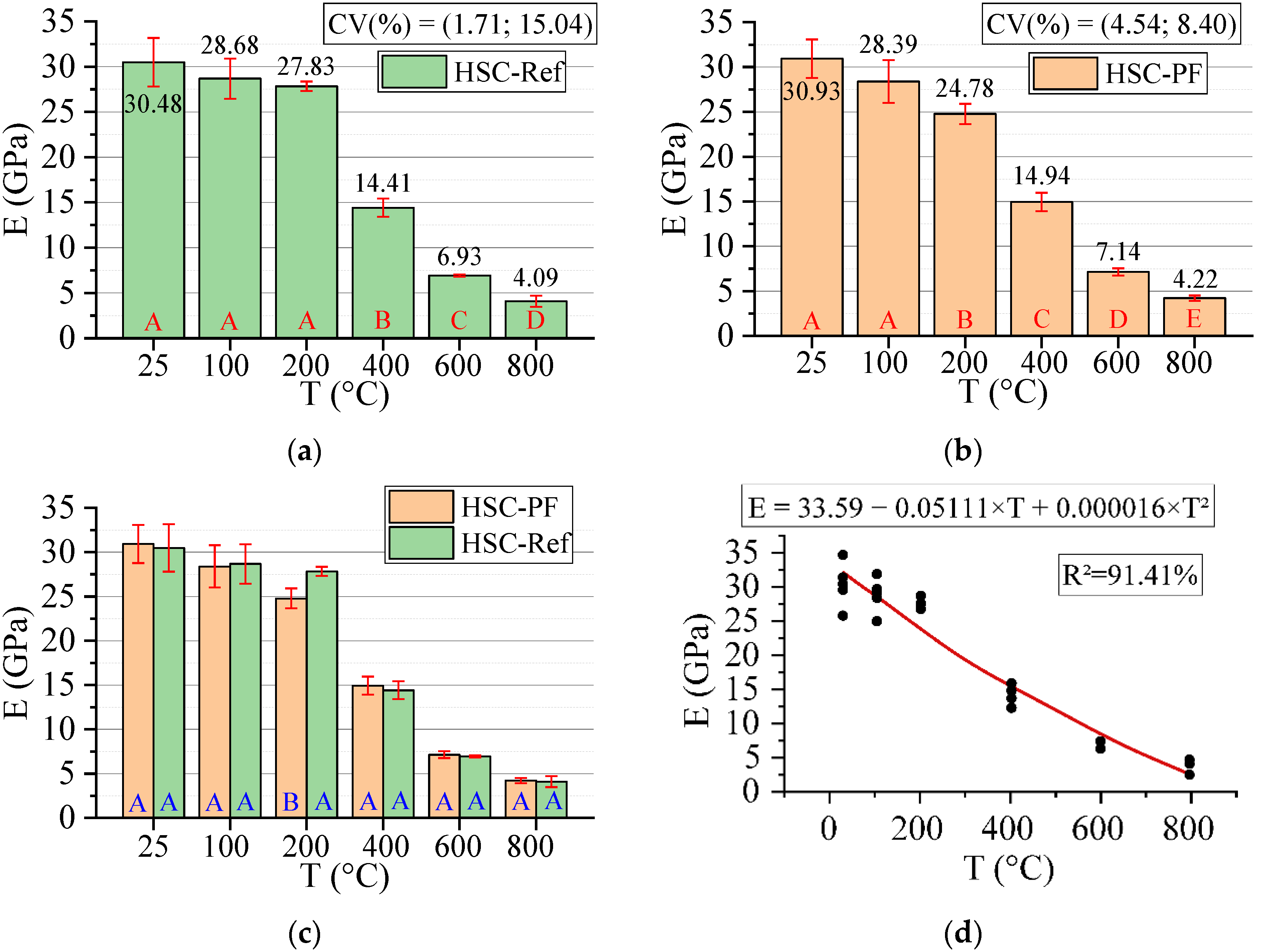
3.3.2. Elastic Modulus in Compression (E)
3.3.3. Tensile Strength (TS)
3.3.4. Absorption (Abs)
3.3.5. Electrical Resistivity (ER)
3.3.6. Weight Loss (WL)
3.3.7. Ultrasonic Speed (US)
3.4. Microstructure Analysis
4. Conclusions
- The addition of polypropylene fibers to unheated HSC significantly reduces its compressive strength but improves its residual mechanical properties up to 400 °C.
- As expected, the presence of polypropylene fibers increased the compressive modulus (E) of HSC only at room temperature. However, the increase in temperature up to 800 °C did not change the reduction trend in the value of this property.
- The tensile strength (TS) of HSC increased when polypropylene fibers were added to the cement matrix at room temperature (i.e., at 100 and 200 °C), with the most significant gain being in the latter level (i.e., 200 °C). Above 400 °C, the use of fibers in the HSC reduces its tensile strength.
- The absorption (Abs) of HSC increased by increasing temperature regardless of the presence or not of polypropylene fibers. HSC-PF always had higher Abs than HSC-Ref, which is due to the greater penetration of water through the channels created by the fiber melting.
- HSC-Ref has higher electrical resistivity (ER) than HSC-PF at all tested temperature levels (25 to 800 °C). However, polypropylene fibers improve the HSC-PF performance up to 400 °C. Regardless of the use or not of fibers, RE reduces at high temperatures, indicating an increased risk of reinforcement corrosion.
- There was no mass loss (WL) at 100 °C, but between 200 and 800 °C, the use of polypropylene fibers in HSC worsened its performance, leading to increasing mass losses compared to unreinforced concrete.
- The ultrasonic velocity (US) values decreased as the temperature increased, regardless of whether polypropylene fibers were added to HSC. Even so, HSC-PF performed better than HSC-Ref up to 200 °C, demonstrating the positive effect of the fibers for this property. Above 400 °C, there was a high reduction in US and similar values for all samples, indicating poor quality of HSC.
- The qualitative microstructure analysis of the samples showed that in HSC-PF, the fusion of synthetic fibers benefits the evaporation of water and improves the compressive strength up to 200 °C. In contrast, at high temperatures, channels created by the fibers directly melting affect their microstructure, causing a substantial reduction of this property.
- The simple regression models showed excellent fits (R2 > 91.41%), i.e., it is possible to use temperature to estimate the investigated properties. Furthermore, the multiple regression models were also significant, i.e., it is possible to use PF in property estimation.
Author Contributions
Funding
Institutional Review Board Statement
Informed Consent Statement
Data Availability Statement
Acknowledgments
Conflicts of Interest
References
- ACI 216R-1989; Guide for Determining the Fire Enduranceof Concrete Elements. American Concrete Institute (ACI): Englewood, CO, USA, 1994.
- CEB-Fib Fire Design of Concrete Structures: In Accordance with CEB/FIP Model Code 90 (Final Draft); Comite Euro-International Du Beton: Lausanne, Switzerland, 1991.
- EN1994-1-2; CEN (European Commitee for Standardization) Eurocode 4: Design of Composite Steel and Concrete Structures—Part 1–2 General Rules—Structural Fire Design. CEN: Brussels, Belgium, 2005.
- Phan, L.T. Fire Performance of High-Strength Concrete: A Report of the State-of-the-Art; US Department of Commerce, Technology Administration, National Institute of Standards and Technology, Office of Applied Economics, Building and Fire Research Laboratory: Gaithersburg, MD, USA, 1996.
- Purkiss, J.A. Fires and Engineering Design of Structures; CRC Press: Boca Raton, FL, USA, 1996. [Google Scholar]
- Noumowe, A.N.; Siddique, R.; Debicki, G. Permeability of High-Performance Concrete Subjected to Elevated Temperature (600 °C). Constr. Build. Mater. 2009, 23, 1855–1861. [Google Scholar] [CrossRef]
- Boel, V.; Audenaert, K.; de Schutter, G. Gas Permeability and Capillary Porosity of Self-Compacting Concrete. Mater. Struct. Mater. Constr. 2008, 41, 1283–1290. [Google Scholar] [CrossRef]
- Bessmertnyi, V.S.; Lesovik, V.S.; Krokhin, V.P.; Puchka, O.V.; Nikiforova, E.P. The Reducing Effect of Argon in the Plasma Treatment of High-Melting Nonmetallic Materials (A Review). Glass Ceram. 2002, 58, 362–364. [Google Scholar] [CrossRef]
- Olga Smirnova Compatibility of Shungisite Microfillers with Polycarboxylate Admixtures in Cement Compositions. ARPN J. Eng. Appl. Sci. 2019, 14, 600–610.
- Jabir, H.A.; Abid, S.R.; Murali, G.; Ali, S.H.; Klyuev, S.; Fediuk, R.; Vatin, N.; Promakhov, V.; Vasilev, Y. Experimental Tests and Reliability Analysis of the Cracking Impact Resistance of UHPFRC. Fibers 2020, 8, 74. [Google Scholar] [CrossRef]
- Raoof, S.M.; Bournas, D.A. TRM versus FRP in Flexural Strengthening of RC Beams: Behaviour at High Temperatures. Constr. Build. Mater. 2017, 154, 424–437. [Google Scholar] [CrossRef]
- Bilodeau, A.; Kodur, V.K.R.; Hoff, G.C. Optimization of the Type and Amount of Polypropylene Fibres for Preventing the Spalling of Lightweight Concrete Subjected to Hydrocarbon Fire. Cem. Concr. Compos. 2004, 26, 163–174. [Google Scholar] [CrossRef] [Green Version]
- Nince, A.A. Lascamento do Concreto Exposto a Altas Temperaturas. Ph.D. Thesis, Universidade de Sao Paulo, Sao Paulo, Brazil, 2006. [Google Scholar]
- Silva, D.D.S.D. Propriedades Mecânicas Residuais Após Incêndio de Concretos Usados na Construção Civil na Grande Florianópolis. Master’s Thesis, Universidade Federal de Santa Catarina, Santa Catarina, Brazil, 2009. [Google Scholar]
- Figueiredo, A.D.D. Concreto Reforçado com Fibras. Ph.D. Thesis, Universidade de Sao Paulo, Sao Paulo, Brazil, 2011. [Google Scholar]
- Figueiredo, A.D.D.; Tanesi, J.; Nince, A.A. Concreto com Fibras de Polipropileno (CFP). Téchne 2002, 10, 48–51. [Google Scholar]
- Hiremath, P.N.; Yaragal, S.C. Effect of Different Curing Regimes and Durations on Early Strength Development of Reactive Powder Concrete. Constr. Build. Mater. 2017, 154, 72–87. [Google Scholar] [CrossRef]
- Bentz, D.P. Fibers, Percolation, and Spelling of High-Performance Concrete. ACI Struct. J. 2000, 97, 351–359. [Google Scholar] [CrossRef]
- Heo, Y.S.; Sanjayan, J.G.; Han, C.G.; Han, M.C. Limited Effect of Diameter of Fibres on Spalling Protection of Concrete in Fire. Mater. Struct. Mater. Constr. 2012, 45, 325–335. [Google Scholar] [CrossRef]
- Kalifa, P.; Chéné, G.; Gallé, C. High-Temperature Behaviour of HPC with Polypropylene Fibres—From Spalling to Microstructure. Cem. Concr. Res. 2001, 31, 1487–1499. [Google Scholar] [CrossRef]
- Hiremath, P.N.; Yaragal, S.C. Performance Evaluation of Reactive Powder Concrete with Polypropylene Fibers at Elevated Temperatures. Constr. Build. Mater. 2018, 169, 499–512. [Google Scholar] [CrossRef]
- Khoury, G.A. Polypropylene Fibres in Heated Concrete. Part 2: Pressure Relief Mechanisms and Modelling Criteria. Mag. Concr. Res. 2008, 60, 189–204. [Google Scholar] [CrossRef]
- Kodur, V.K.R. Guidelines for Fire Resistance Design of High-Strength Concrete Columns. J. Fire Prot. Eng. 2005, 15, 93–106. [Google Scholar] [CrossRef]
- Caetano, H.; Rodrigues, J.P.C.; Pimienta, P. Flexural Strength at High Temperatures of a High Strength Steel and Polypropylene Fibre Concrete. Constr. Build. Mater. 2019, 227, 116721. [Google Scholar] [CrossRef]
- Rilem, T.C. 129-MHT Test Methods for Mechanical Properties of Concrete at High Temperatures–Compressive Strength for Service and Accident Conditions. Mater. Struct. 1995, 28, 410–414. [Google Scholar]
- Rilem, T.C. 129-MHT Test Methods for Mechanical Properties of Concrete at High Temperatures—Part 4: Tensile Strength for Service and Accident Conditions. Mater. Struct. 2000, 33, 219–223. [Google Scholar]
- Rilem, T.C. 129-MHT Test Methods for Mechanical Properties of Concrete at High Temperatures–Modulus of Elasticity for Service and Accident Conditions. Mater. Struct. 2004, 37, 139–144. [Google Scholar] [CrossRef]
- ABNT NBR 16697; Cimento Portland-Requisitos. ABNT: Sao Paulo, Brazil, 2018.
- Schneider, U. Concrete at High Temperatures—A General Review. Fire Saf. J. 1988, 13, 55–68. [Google Scholar] [CrossRef]
- Hager, I. Behaviour of Cement Concrete at High Temperature. Bull. Pol. Acad. Sci. Tech. Sci. 2013, 61, 145–154. [Google Scholar] [CrossRef]
- Mendes, A.F.B. Fire Resistance of Concrete Made with Portland and Slag Blended Cements. Ph.D. Thesis, Monash University, Melbourne, Australia, 2010. [Google Scholar]
- ABNT NBR 7211; Agregados para Concreto–Especificação. ABNT: Sao Paulo, Brazil, 2019.
- Monteiro, H.B.D.S. Estudo das Propriedades Mecânicas Residuais do Concreto de Alta Resistência Submetido a Altas Temperaturas. Master’s Thesis, Universidade Federal de Pernambuco, Recife, Brazil, 2017. [Google Scholar]
- Schneider, U.; Felicetti, R.; Debicki, G.; Diederichs, U.; Franssen, J.M.; Jumppanen, U.M.; Khoury, G.A.; Leonovich, S.; Millard, A.; Morris, W.A.; et al. Recommendation of RILEM TC 200-HTC: Mechanical Concrete Properties at High Temperatures-Modelling and Applications: PGeneral Presentation. Mater. Struct. Mater. Constr. 2007, 40, 841–853. [Google Scholar] [CrossRef] [Green Version]
- Zhang, H.; Wang, L.; Zheng, K.; Bakura, T.J.; Totakhil, P.G. Research on Compressive Impact Dynamic Behavior and Constitutive Model of Polypropylene Fiber Reinforced Concrete. Constr. Build. Mater. 2018, 187, 584–595. [Google Scholar] [CrossRef]
- Fu, Q.; Niu, D.; Li, D.; Wang, Y.; Zhang, J.; Huang, D. Impact Characterization and Modelling of Basalt–polypropylene Fibre-Reinforced Concrete Containing Mineral Admixtures. Cem. Concr. Compos. 2018, 93, 246–259. [Google Scholar] [CrossRef]
- Fu, Q.; Niu, D.; Zhang, J.; Huang, D.; Wang, Y.; Hong, M.; Zhang, L. Dynamic Compressive Mechanical Behaviour and Modelling of Basalt–Polypropylene Fibre-Reinforced Concrete. Arch. Civ. Mech. Eng. 2018, 18, 914–927. [Google Scholar] [CrossRef]
- ABNT NBR 5739; Concrete—Compression Test of Cylindrical Specimens. ABNT: Sao Paulo, Brazil, 2018.
- ABNT NBR ISO 7500-1; Metallic Materials-Calibration and Verification of Static Uniaxial Testing Machines Part 1: Tension/Compression Testing Machines-Calibration and Verification of the Force-Measuring System. ABNT: Sao Paulo, Brazil, 2016.
- ABNT NBR 8522-1; Hardened Concrete—Determination of Elasticity and Deformation Modulus Part 1: Static Modulus by Compression. ABNT: Sao Paulo, Brazil, 2021.
- ABNT NBR 7222; Concrete and Mortar—Determination of the Tension Strength by Diametrical Compression of Cylindrical Test Specimens. ABNT: Sao Paulo, Brazil, 2011.
- ABNT NBR 16372; Cimento Portland e Outros Materiais Em Pó—Determinação da Finura pelo Método de Permeabilidade ao ar (Método de Blaine). ABNT: Sao Paulo, Brazil, 2015.
- ABNT NBR 16607; Cimento Portland—Determinação dos Tempos de Pega. ABNT: Sao Paulo, Brazil, 2018.
- Amancio, F.; ARafael, M.F.D.C.; Dias, A.R.D.O.; Cabral, A.E.B. Behavior of Concrete Reinforced with Polypropylene Fiber Exposed to High Temperatures. Procedia Struct. Integr. 2018, 11, 91–98. [Google Scholar] [CrossRef]
- Chen, B.; Liu, J. Residual Strength of Hybrid-Fiber-Reinforced High-Strength Concrete after Exposure to High Temperatures. Cem. Concr. Res. 2004, 34, 1065–1069. [Google Scholar] [CrossRef]
- Müller, P.; Novák, J.; Holan, J. Destructive and Non-Destructive Experimental Investigation of Polypropylene Fibre Reinforced Concrete Subjected to High Temperature. J. Build. Eng. 2019, 26, 100906. [Google Scholar] [CrossRef]
- Suhaendi, S.L.; Horiguchi, T. Effect of Short Fibers on Residual Permeability and Mechanical Properties of Hybrid Fibre Reinforced High Strength Concrete after Heat Exposition. Cem. Concr. Res. 2006, 36, 1672–1678. [Google Scholar] [CrossRef]
- Schneider, U.; Diederichs, U.; Ehm, C. Effect of Temperature on Steel and Concrete for PCRV’s. Nucl. Eng. Des. 1982, 67, 245–258. [Google Scholar] [CrossRef]
- Mongomery, D.C. Montgomery: Design and Analysis of Experiments; John Willy & Sons: Hoboken, NJ, USA, 2017. [Google Scholar]
- Cifuentes, H.; Medina, F.; Leiva, C.; Fernández-Pereira, C. Effects of Fibres and Rice Husk Ash on Properties of Heated HSC. Mag. Concr. Res. 2012, 64, 457–470. [Google Scholar] [CrossRef]
- Cifuentes, H.; García, F.; Maeso, O.; Medina, F. Influence of the Properties of Polypropylene Fibres on the Fracture Behaviour of Low-, Normal- and High-Strength FRC. Constr. Build. Mater. 2013, 45, 130–137. [Google Scholar] [CrossRef]
- Gencel, O.; Ozel, C.; Brostow, W.; Martínez-Barrera, G. Mechanical Properties of Self-Compacting Concrete Reinforced with Polypropylene Fibres. Mater. Res. Innov. 2011, 15, 216–225. [Google Scholar] [CrossRef]
- Malhotra, H.L. Design of Fire-Resisting Structures; Surrey University Press: Surrey, UK, 1982. [Google Scholar]
- Ma, Q.; Guo, R.; Zhao, Z.; Lin, Z.; He, K. Mechanical Properties of Concrete at High Temperature—A Review. Constr. Build. Mater. 2015, 93, 371–383. [Google Scholar] [CrossRef]
- Shah, S.P. Do Fibers Increase the Tensile Strength of Cement-Based Matrix? ACI Mater. J. 1992, 88, 595–602. [Google Scholar] [CrossRef]
- Nijland, T.G.; Larbi, J.A. Unraveling the Temperature Distribution in Fire-Damaged Concrete by Means of PFM Microscopy: Outline of the Approach and Review of Potentially Useful Reactions. Heron 2001, 46, 253–264. [Google Scholar]
- Ramezanianpour, A.A.; Esmaeili, M.; Ghahari, S.A.; Najafi, M.H. Laboratory Study on the Effect of Polypropylene Fiber on Durability, and Physical and Mechanical Characteristic of Concrete for Application in Sleepers. Constr. Build. Mater. 2013, 44, 411–418. [Google Scholar] [CrossRef]
- Fares, H.; Noumowe, A.; Remond, S. Self-Consolidating Concrete Subjected to High Temperature. Cem. Concr. Res. 2009, 39, 1230–1238. [Google Scholar] [CrossRef]
- Ye, G.; Liu, X.; de Schutter, G.; Taerwe, L.; Vandevelde, P. Phase Distribution and Microstructural Changes of Self-Compacting Cement Paste at Elevated Temperature. Cem. Concr. Res. 2007, 37, 978–987. [Google Scholar] [CrossRef]
- Diniz, H.A.A. Estudo das Propriedades Mecânicas e dos Parâmetros de Durabilidade de Concretos Autoadensáveis com Elevados Teores de Adições Minerais Submetidos à Carbonatação. Master’s Thesis, Universidade Federal do Rio Grande do Norte, Natal, Brasil, 2018. [Google Scholar]
- Raisdorfer, J.W. Influência da Adição ou Substituição de Adições Minerais ao Cimento Portland: Efeitos na Carbonatação, Absorção Capilar e Resistividade de Concretos; Universidade Federal do Paraná: Curitiba, Brazil, 2015. [Google Scholar]
- Polder, R.B. Test Methods for on Site Measurement of Resistivity of Concrete—A RILEM TC-154 Technical Recommendation. Constr. Build. Mater. 2001, 15, 125–131. [Google Scholar] [CrossRef]
- Yüksel, S.; Siddique, R.; Özkan, Ö. Influence of High Temperature on the Properties of Concretes Made with Industrial By-Products as Fine Aggregate Replacement. Constr. Build. Mater. 2011, 25, 967–972. [Google Scholar] [CrossRef]
- Xiao, J.; Falkner, H. On Residual Strength of High-Performance Concrete with and without Polypropylene Fibres at Elevated Temperatures. Fire Saf. J. 2006, 41, 115–121. [Google Scholar] [CrossRef]
- Al-Nu’man, B.S.; Aziz, B.R.; Abdulla, S.A.; Khaleel, S.E. Compressive Strength Formula for Concrete Using Ultrasonic Pulse Velocity. Int. J. Eng. Trends Technol. 2015, 26, 9–13. [Google Scholar] [CrossRef]
- Muduli, R.; Mukharjee, B.B. Effect of Incorporation of Metakaolin and Recycled Coarse Aggregate on Properties of Concrete. J. Clean. Prod. 2019, 209, 398–414. [Google Scholar] [CrossRef]
- BS EN 12504-4:2004; Testing Concrete—Part 4: Determination of Ultrasonic Pulse Velocity. British Standards Institution: London, UK, 2004.
- Yang, H.; Lin, Y.; Hsiao, C.; Liu, J.Y. Evaluating Residual Compressive Strength of Concrete at Elevated Temperatures Using Ultrasonic Pulse Velocity. Fire Saf. J. 2009, 44, 121–130. [Google Scholar] [CrossRef]























| Tr | T (°C) | PF |
|---|---|---|
| 1 | 25 | Without |
| 2 | 25 | With |
| 3 | 100 | Without |
| 4 | 100 | With |
| 5 | 200 | Without |
| 6 | 200 | With |
| 7 | 400 | Without |
| 8 | 400 | With |
| 9 | 600 | Without |
| 10 | 600 | With |
| 11 | 800 | Without |
| 12 | 800 | With |
| ER (ohm.m) | Corrosion Risk |
|---|---|
| ER > 200 | Insignificant |
| 100 < ER < 200 | Low |
| 50 < ER < 100 | High |
| <50 | Very high |
Publisher’s Note: MDPI stays neutral with regard to jurisdictional claims in published maps and institutional affiliations. |
© 2022 by the authors. Licensee MDPI, Basel, Switzerland. This article is an open access article distributed under the terms and conditions of the Creative Commons Attribution (CC BY) license (https://creativecommons.org/licenses/by/4.0/).
Share and Cite
Resende, H.F.; Reis, E.D.; Arroyo, F.N.; de Moraes, M.H.M.; dos Santos, H.F.; da Silva, E.G.; Lahr, F.A.R.; Chahud, E.; Panzera, T.H.; Christoforo, A.L.; et al. Residual Mechanical Properties and Durability of High-Strength Concrete with Polypropylene Fibers in High Temperatures. Materials 2022, 15, 4711. https://doi.org/10.3390/ma15134711
Resende HF, Reis ED, Arroyo FN, de Moraes MHM, dos Santos HF, da Silva EG, Lahr FAR, Chahud E, Panzera TH, Christoforo AL, et al. Residual Mechanical Properties and Durability of High-Strength Concrete with Polypropylene Fibers in High Temperatures. Materials. 2022; 15(13):4711. https://doi.org/10.3390/ma15134711
Chicago/Turabian StyleResende, Heron Freitas, Elvys Dias Reis, Felipe Nascimento Arroyo, Matheus Henrique Morato de Moraes, Herisson Ferreira dos Santos, Enio Gomes da Silva, Francisco Antonio Rocco Lahr, Eduardo Chahud, Tulio Hallak Panzera, André Luis Christoforo, and et al. 2022. "Residual Mechanical Properties and Durability of High-Strength Concrete with Polypropylene Fibers in High Temperatures" Materials 15, no. 13: 4711. https://doi.org/10.3390/ma15134711
APA StyleResende, H. F., Reis, E. D., Arroyo, F. N., de Moraes, M. H. M., dos Santos, H. F., da Silva, E. G., Lahr, F. A. R., Chahud, E., Panzera, T. H., Christoforo, A. L., & Branco, L. A. M. N. (2022). Residual Mechanical Properties and Durability of High-Strength Concrete with Polypropylene Fibers in High Temperatures. Materials, 15(13), 4711. https://doi.org/10.3390/ma15134711

