Effects of Endic Anhydride Grafted PPC on the Properties of PHBV Blends
Abstract
:1. Introduction
2. Materials and Methods
2.1. Materials
2.2. Preparation Procedures
2.2.1. Preparation of EA–PPC
2.2.2. Blend Preparation of PHBV Composites
2.3. Analysis
3. Results
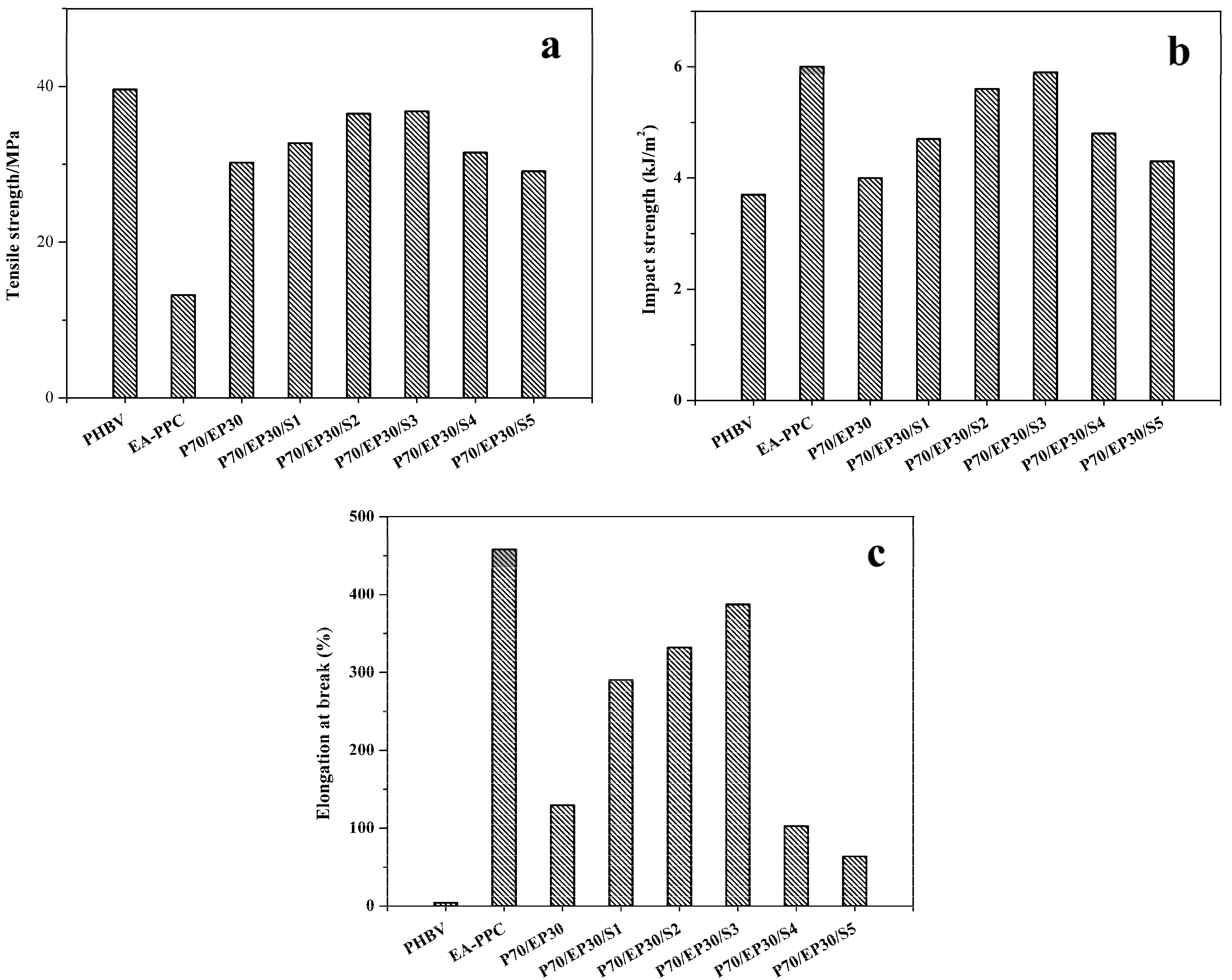
3.1. Mechanical Properties of PHBV Blends
3.2. Thermal Properties of PHBV/EA–PPC Blends
3.3. SEM Analysis
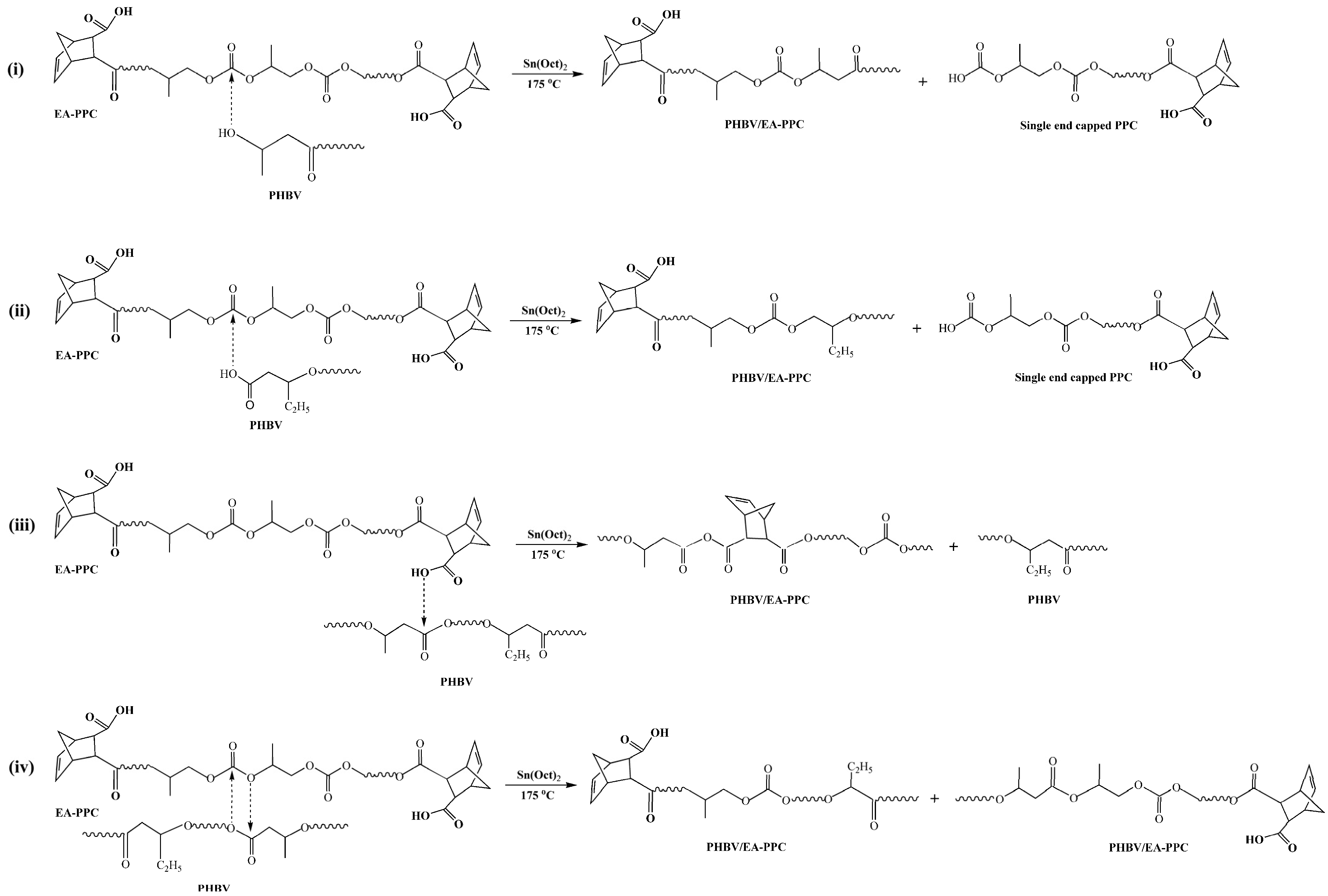
3.4. Formation Mechanism of PHBV/EA–PPC Blends
4. Conclusions
Author Contributions
Funding
Institutional Review Board Statement
Informed Consent Statement
Conflicts of Interest
Sample Availability
References
- Phukon, P.; Saikia, J.P.; Konwar, B.K. Bio-plastic (P-3HB-co-3HV) from Bacillus circulans (MTCC8167) and its biodegradation. Colloid Surf. B 2012, 92, 30–34. [Google Scholar] [CrossRef]
- Nanda, M.R.; Misra, M.; Mohanty, A.K. The effects of process engineering on the performance of PLA and PHBV blends. Macromol. Mater. Eng. 2011, 296, 719–728. [Google Scholar] [CrossRef]
- Zhao, H.; Cui, Z.; Wang, X.; Turng, L.S.; Peng, X. Processing and characterization of solid and microcellular poly(lactic acid)/polyhydroxybutyrate-valerate (PLA/PHBV) blends and PLA/PHBV/Clay nanocomposites. Compos. Part B Eng. 2013, 51, 79–81. [Google Scholar] [CrossRef]
- Zhang, K.; Mohanty, A.K.; Misra, M. Fully biodegradable and biorenewable ternary blends from polylactide, poly(3-hydroxybutyrate-co-hydroxyvalerate) and poly(butylene succinate) with balanced properties. ACS Appl. Mater. Interfaces 2012, 4, 3091–3101. [Google Scholar] [CrossRef] [PubMed]
- Zheng, T.; Zhang, Z.; Shukla, S.; Agnihotri, S.; Clemons, C.M.; Pilla, S. PHBV-graft-GMA via reactive extrusion and its use in PHBV/nanocellulose crystal composites. Carbohyd. Polym. 2019, 205, 27–34. [Google Scholar] [CrossRef] [PubMed]
- Zubir, N.H.M.; Sam, S.T.; Zulkepli, N.N.; Omar, M.F. The effect of rice straw particulate loading and polyethylene glycol as lasticizer on the properties of polylactic acid/polyhydroxybutyrate-valerate blends. Polym. Bull. 2018, 75, 61–76. [Google Scholar] [CrossRef]
- Anderson, A.J.; Dowes, E.A. Occurense, metabolism, metabolic role, and industrial use of bacterial polyhydroxyalkanoates. Microb. Rev. 1990, 54, 450–472. [Google Scholar] [CrossRef] [PubMed]
- Kunioka, M.; Tamaki, A.; Doi, Y. Crystalline and thermal-properties of bacterial copolyesters poly (3-hydroxybutyrate-co-3-hydroxyvalerate) and poly(3-hydroxy-butyrate-co-4-hydroxybutyrate). Macromolecules 1989, 22, 694–697. [Google Scholar] [CrossRef]
- Liu, Q.; Shyr, T.W.; Tung, C.H.; Deng, B.; Zhu, M. Block copolymers containing poly(3-hydroxybutyrate-co-3-hydroxyvalerate) and poly(ε-caprolactone) units: Synthesis, characterization and thermal degradation. Fiber Polym. 2011, 12, 848–856. [Google Scholar] [CrossRef]
- Tao, J.; Song, C.; Cao, M.; Hu, D.; Liu, L.; Liu, N.; Wang, S. Thermal properties and degradability of poly(propylene carbonate)/poly(b-hydroxybutyrate-co-b-hydroxyvalerate) (PPC/PHBV) blends. Polym. Degrad. Stabil. 2009, 94, 575–583. [Google Scholar] [CrossRef]
- Li, J.; Sun, C.R.; Zhang, X.Q. Preparation, thermal properties, and morphology of graft copolymers in reactive blends of PHBV and PPC. Polym. Compos. 2012, 33, 1737–1749. [Google Scholar] [CrossRef]
- Avella, M.; Martuscelli, E.; Raimo, M. Properties of blends and composites based on poly(3-hydroxy)butyrate (PHB) and poly(3-hydroxybutyrate-hydroxyvalerate) (PHBV) copolymers. J. Mater. Sci. 2000, 35, 523–545. [Google Scholar] [CrossRef]
- Li, J.; Lai, M.F.; Liu, J.J. Effect of poly(propylene carbonate) on the crystallization and melting behavior of poly(β-hydroxybutyrate-co-β-hydroxyvalerate). J. Appl. Polym. Sci. 2004, 92, 2514–2521. [Google Scholar] [CrossRef]
- Bugnicourt, E.; Cinelli, P.; Lazzeri, A.; Alvarez, V. Polyhydroxyalkanoate (PHA): Review of synthesis, characteristics, processing and potential applications in packaging. Express Polym. Lett. 2014, 8, 791–808. [Google Scholar] [CrossRef]
- Brandl, H.; Bachofen, R.; Mayer, J.; Wintermantel, E. Degradation and applications of polyhydroxyalkanoates. Can. J Microbiol. 1995, 41, 143–153. [Google Scholar] [CrossRef]
- Hankermeyer, C.R.; Tjeerdema, R.S. Polyhydroxybutyrate: Plastic made and degraded by microorganisms. Rev. Environ. Contam. Toxicol. 1999, 159, 1–24. [Google Scholar]
- Wang, J.; Wang, Z.; Li, J.; Wang, B.; Liu, J.; Chen, P.; Miao, M.; Gu, Q. Chitin nanocrystals grafted with poly(3-hydroxybutyrate-co-3-hydroxyvalerate) and their effects on thermal behavior of PHBV. Carbohyd. Polym. 2012, 87, 784–789. [Google Scholar] [CrossRef]
- Carli, L.N.; Crespo, J.S.; Mauler, R.S. PHBV nanocomposites based on organomodified montmorillonite and halloysite: The effect of clay type on the morphology and thermal and mechanical properties. Compos. Part A-Appl. S 2011, 42, 1601–1608. [Google Scholar] [CrossRef]
- Zhao, H.; Cui, Z.; Sun, X.; Turng, L.S.; Peng, X. Morphology and properties of injection molded solid and microcellular polylactic acid/polyhydroxybutyrate-valerate (PLA/PHBV) blends. Ind. Eng. Chem. Res. 2013, 52, 2569–2581. [Google Scholar] [CrossRef]
- Nagarajan, V.; Mohanty, A.K.; Misra, M. Sustainable green composites: Value addition to agricultural residues and perennial grasses. ACS Sustain. Chem. Eng. 2013, 1, 325–333. [Google Scholar] [CrossRef]
- Zembouai, I.; Kaci, M.; Bruzaud, S.; Benhamida, A.; Corre, Y.M.; Grohens, Y. A study of morphological, thermal, rheological and barrier properties of Poly(3-hydroxybutyrate-Co-3-Hydroxyvalerate)/polylactide blends prepared by melt mixing. Polym. Test. 2013, 32, 842–851. [Google Scholar] [CrossRef]
- Pal, A.K.; Wu, F.; Misra, M.; Mohanty, A.K. Reactive extrusion of sustainable PHBV/PBAT-based nanocomposite films with organically modified nanoclay for packaging applications: Compression moulding vs. cast film extrusion. Compos. Part B-Eng. 2020, 198, 108141. [Google Scholar] [CrossRef]
- Voronova, M.I.; Gurina, D.L.; Surov, O.V. Properties of poly(3-hydroxybutyrate-co-3-hydroxyvalerate)/polycaprolactone polymer mixtures reinforced by cellulose nanocrystals: Experimental and simulation studies. Polymers 2022, 14, 340. [Google Scholar] [CrossRef] [PubMed]
- Feng, Y.; Ashok, B.; Madhukar, K.; Zhang, J.; Zhang, J.; Reddy, K.O.; Rajulu, A.V. Preparation and characterization of polypropylene carbonate bio-filler (eggshell powder) composite films. Int. J. Polym. Anal. Charact. 2014, 19, 637–647. [Google Scholar] [CrossRef]
- Demirel, Y. Sustainability and economic analysis of propylene carbonate and polypropylene carbonate production processes using CO2 and propylene oxide. J. Chem. Eng. Process Technol. 2015, 6, 1000236. [Google Scholar] [CrossRef]
- Muthuraj, R.; Mekonnen, T. Recent progress in carbon dioxide (CO2) as feedstock for sustainable materials development: Co-polymers and polymer blends. Polymer 2018, 145, 348–373. [Google Scholar] [CrossRef]
- Haneef, I.N.H.M.; Buys, Y.F.; Shaffiar, N.M.; Shaharuddin, S.I.S.; Nor Khairusshima, M.K. Miscibility, mechanical, and thermal properties of polylactic acid/polypropylene carbonate (PLA/PPC) blends prepared by meltmixing method. Mater. Today Proc. 2019, 17, 534–542. [Google Scholar] [CrossRef]
- Hedrick, M.M.; Wu, F.; Mohanty, A.K.; Misra, M. Morphology and performance relationship studies on biodegradable ternary blends of poly(3-hydroxybutyrate-co-3-hydroxyvalerate), polylactic acid, and polypropylene carbonate. RSC Adv. 2020, 10, 44624–44632. [Google Scholar] [CrossRef]
- Punyodom, W.; Meepowpan, P.; Girdthep, S.; Limwanich, W. Influence of tin(II), aluminum(III) and titanium(IV) catalysts on the transesterification of poly(L-lactic acid). Polym. Bull. 2022. [Google Scholar] [CrossRef]
- Sadik, T.; Becquart, F.; Majesté, J.C.; Taha, M. In-melt transesterification of poly(lactic acid) and poly(ethyleneco-vinylalcohol). Mater. Chem. Phys. 2013, 140, 559–569. [Google Scholar] [CrossRef]
- Brutman, J.P.; Delgado, P.A.; Hillmyer, M.A. Polylactide Vitrimers. ACS Macro Lett. 2014, 3, 607–610. [Google Scholar] [CrossRef] [Green Version]
- Yao, M.J.; Mai, F.; Deng, H.; Ning, N.Y.; Wang, K.; Fu, Q. Improved thermal stability and mechanical properties of poly(propylene carbonate) by reactive blending with maleic anhydride. J. Appl. Polym. Sci. 2011, 120, 3565–3573. [Google Scholar] [CrossRef]
- Zhang, Z.H.; Shi, Q.; Peng, J.; Song, J.B.; Chen, Q.Y.; Yang, J.L.; Gong, Y.M.; Ji, R.H.; He, X.F.; Lee, J.H. Partial delamination of the organo-montmorillonite with surfactant containing hydroxyl groups in maleated poly(propylene carbonate). Polymer 2006, 47, 8548–8555. [Google Scholar] [CrossRef]
- Li, L.Z.; Huang, W.; Wang, B.J.; Wei, W.F.; Gu, Q.; Chen, P. Properties and structure of polylactide/poly(3-hydroxybutyrate-co-3-hydroxyvalerate) (PLA/PHBV) blend fibers. Polymer 2015, 68, 183–194. [Google Scholar] [CrossRef]
- Zhou, L.Y.; Zhao, G.Y.; Jiang, W. Effects of catalytic transesterification and composition on the toughness of poly (lactic acid)/poly (propylene carbonate) blends. Ind. Eng. Chem. Res. 2016, 55, 5565–5573. [Google Scholar] [CrossRef]
- Patel, R.; Ruehle, D.A.; Dorgan, J.R.; Halley, P.; Martin, D. Biorenewable blends of polyamide-11 and polylactide. Polym. Eng. Sci. 2014, 57, 1523–1532. [Google Scholar] [CrossRef]
- Liu, C.; Lin, S.; Zhou, C.; Yu, W. Influence of catalyst on transesterification between poly(lactic acid) and polycarbonate under flow field. Polymer 2013, 54, 310–319. [Google Scholar] [CrossRef]
- Pilati, F.; Marianucci, E.; Berti, C. Study of the reactions occurring during melt mixing of poly(ethy1ene terephthalate) and polycarbonate. J. Appl. Polym. Sci. 1985, 30, 1267–1275. [Google Scholar] [CrossRef]








| Samples | PHBV (wt%) | PPC (wt%) | Sn(Oct)2 (wt%) | Tensile Strength (MPa) | Impact Strength (kJ/m2) | Elongation at Break (%) |
|---|---|---|---|---|---|---|
| PHBV | 100 | 0 | 0 | 39.6 | 3.7 | 4.1 |
| PPC | 0 | 100 | 0 | 13.8 | 6.2 | 483.7 |
| PH80/P20 | 80 | 20 | 0 | 28.2 | 4.0 | 9.8 |
| PH70/P30 | 70 | 30 | 0 | 26.9 | 4.3 | 12.4 |
| PH60/P40 | 60 | 40 | 0 | 21.7 | 4.5 | 13.1 |
| PH80/P20/S1 | 80 | 20 | 1 | 28.4 | 4.1 | 10.3 |
| PH70/P30/S1 | 70 | 30 | 1 | 27.2 | 4.5 | 12.8 |
| PH60/P40/S1 | 60 | 40 | 1 | 22.1 | 4.6 | 13.5 |
| Samples | Tensile Strength (MPa) | Impact Strength (kJ/m2) | Elongation at Break (%) |
|---|---|---|---|
| PHBV | 39.6 | 3.7 | 4.1 |
| EA–PPC | 13.2 | 6.0 | 458.1 |
| P70/EP30 | 30.2 | 4.0 | 129.6 |
| P70/EP30/S1 a | 32.7 | 4.7 | 290.3 |
| P70/EP30/S2 | 36.5 | 5.6 | 332.1 |
| P70/EP30/S3 | 36.8 | 5.9 | 387.5 |
| P70/EP30/S4 | 31.5 | 4.8 | 102.7 |
| P70/EP30/S5 | 29.1 | 4.3 | 64.2 |
| Samples | Tc (°C) | Tg (°C) from DSC | Tg (°C) from DMA | Tm (°C) | |
|---|---|---|---|---|---|
| PHBV | 120.6 | 6.3 | 9.2 | 171.7 | 69.8 |
| EA–PPC | - | 34.5 | 40.3 | - | - |
| P70/EP30 | 119.3 | 6.4/34.3 | 9.8/40.2 | 171.2 | 67.1 |
| P70/EP30/S1 | 114.7 | 12.3/34.0 | 13.4/38.3 | 169.8 | 48.6 |
| P70/EP30/S2 | 109.2 | 23.7/33.9 | 24.1/38.0 | 166.6 | 40.5 |
| P70/EP30/S3 | 105.2 | 33.8 | 37.5 | 164.3 | 27.4 |
| P70/EP30/S4 | 103.1 | 33.5 | - | 161.7 | 26.2 |
Publisher’s Note: MDPI stays neutral with regard to jurisdictional claims in published maps and institutional affiliations. |
© 2022 by the authors. Licensee MDPI, Basel, Switzerland. This article is an open access article distributed under the terms and conditions of the Creative Commons Attribution (CC BY) license (https://creativecommons.org/licenses/by/4.0/).
Share and Cite
Zhang, Q.; Gao, Y.; Liu, H.; Shu, S.; Chen, W. Effects of Endic Anhydride Grafted PPC on the Properties of PHBV Blends. Materials 2022, 15, 6179. https://doi.org/10.3390/ma15176179
Zhang Q, Gao Y, Liu H, Shu S, Chen W. Effects of Endic Anhydride Grafted PPC on the Properties of PHBV Blends. Materials. 2022; 15(17):6179. https://doi.org/10.3390/ma15176179
Chicago/Turabian StyleZhang, Qing, Yongguang Gao, Huiyuan Liu, Shili Shu, and Wei Chen. 2022. "Effects of Endic Anhydride Grafted PPC on the Properties of PHBV Blends" Materials 15, no. 17: 6179. https://doi.org/10.3390/ma15176179
APA StyleZhang, Q., Gao, Y., Liu, H., Shu, S., & Chen, W. (2022). Effects of Endic Anhydride Grafted PPC on the Properties of PHBV Blends. Materials, 15(17), 6179. https://doi.org/10.3390/ma15176179

