Numerical and Field Investigations of Acoustic Emission Laws of Coal Fracture under Hydro-Mechanical Coupling Loading
Abstract
:Abstract
Highlights
- The relationships among stress, acoustic emission (AE), and energy during coal fracture under hydro-mechanical coupling loading were analyzed.
- Moment tensor reveals event distribution, source type change, and b value of AE during crack initiation and propagation in coal.
- The relationships among stress, number and type of cracks, AE, number of contacts and KE were revealed under different water and confining pressures.
1. Introduction
2. Damage Mechanism of Coal under Hydro-Mechanism Coupling
3. Modeling Methodology
3.1. Engineering Background
3.2. Model Setup
3.3. MT Calculation in the PFC
4. Mechanical Characteristics and Failure Mechanism of Water-Soaked Coal
4.1. AE and Stress Changes during Failure
4.1.1. Relationship between AE and Stress
4.1.2. AE Event Distribution and Field Verification
4.1.3. Proportions of Source Type
4.1.4. Energy Change
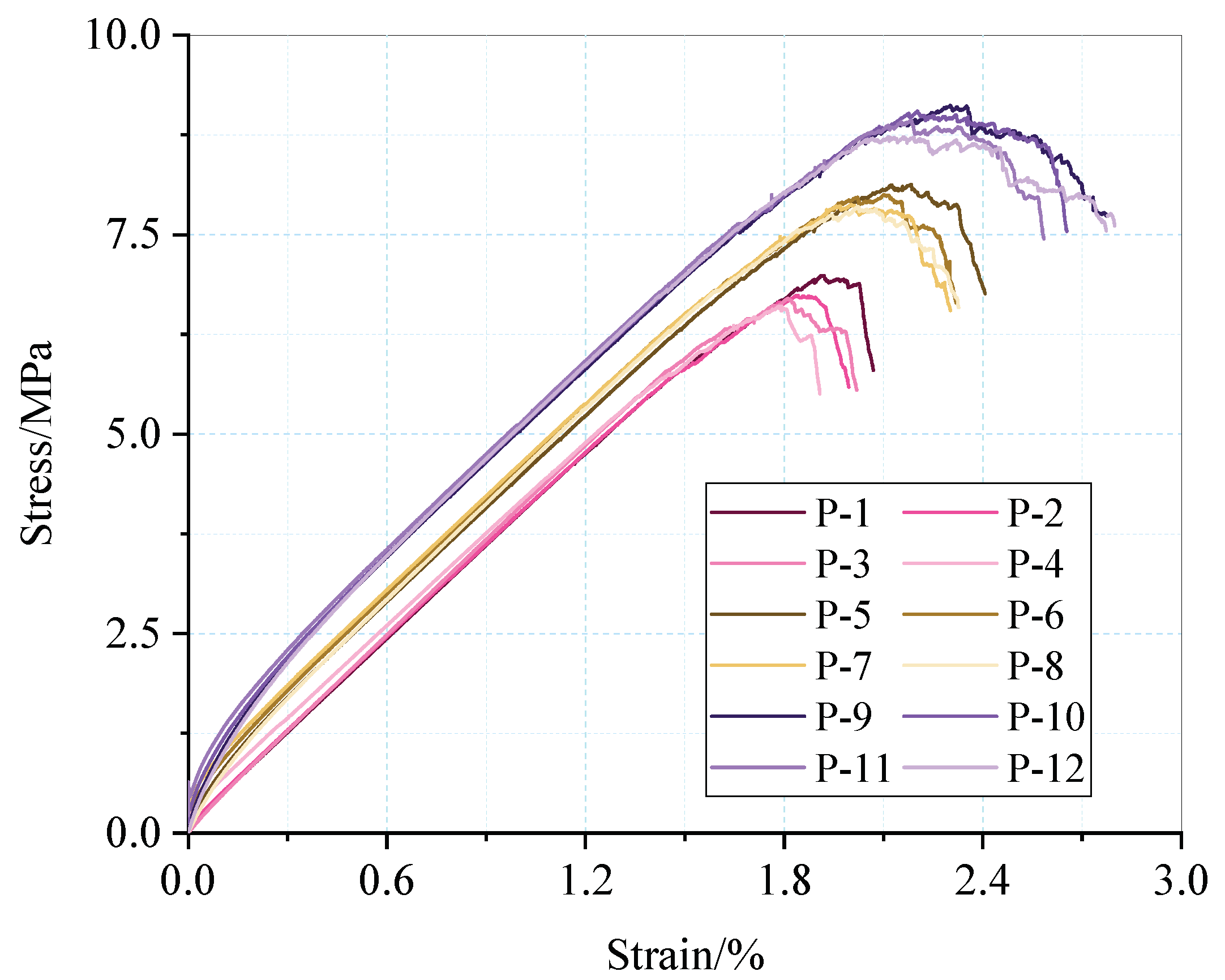
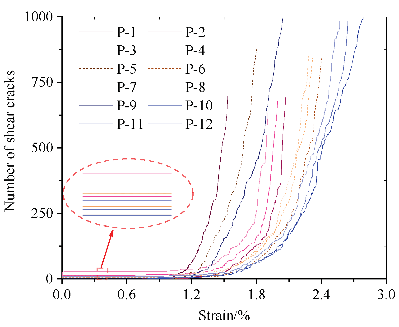
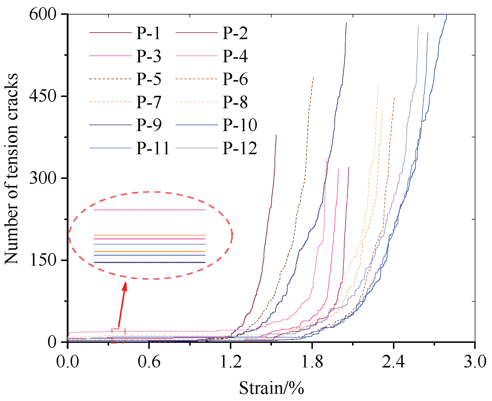
4.2. Effects of Water and Confining Pressures on Coal
4.2.1. Failure Characteristics
4.2.2. Relationship between AE and Stress–Strain Curve
4.2.3. Frequency–Magnitude Curve and b Value
4.3. Burst Tendency of Coal under Hydro-Mechanism Coupling
5. Onsite Investigations
6. Conclusions
- (1)
- Affected by hydro-mechanical coupling, the damage degree of coal in the flooded part is relatively large, and its damage mainly occurs as shear cracks; this is verified by field observation. The closeness of coal to the water injection area implies a high vertical stress.
- (2)
- Monitoring of the energy changes shows that the kinetic and slip energies increase slightly in the initial stage of loading. When the peak stress is greater than 50%, a sharp energy increase occurs, and the increase rate becomes increasingly high.
- (3)
- There is a good linear relationship between the water pressure, confining pressure, and b value. With increasing water and confining pressures, the damage degree and AE energy inside the model increase, the value of b reduces, and most of the AE events are mainly concentrated in the water injection area. When the confining pressure is low, the water pressure has a significant effect on the number of AE events; otherwise, the effect of water pressure gradually weakens.
- (4)
- When the water pressure is constant, as the confining pressure increases, KE decreases. When the confining pressure is kept constant, as the water pressure increases, KE increases.
Author Contributions
Funding
Informed Consent Statement
Data Availability Statement
Acknowledgments
Conflicts of Interest
References
- Ma, D.; Miao, X.; Bai, H.; Huang, J.; Pu, H.; Wu, Y.; Zhang, G.; Li, J. Effect of mining on shear sidewall groundwater inrush hazard caused by seepage instability of the penetrated karst collapse pillar. Nat. Hazards. 2016, 82, 73–93. [Google Scholar] [CrossRef]
- Yu, Y.; Cheng, W.; Zhou, G. Numerical simulation study on permeability properties of coal seam during high pressure water injection process. Electron. J. Geotech. Eng. 2014, 19, 10315–10326. [Google Scholar]
- Kou, M.M.; Liu, X.R.; Wang, Z.Q.; Tang, S.D. Laboratory investigations on failure, energy and permeability evolution of fissured rock-like materials under seepage pressures. Eng. Fract. Mech. 2021, 247, 107694. [Google Scholar] [CrossRef]
- Grgic, D.; Amitrano, D. Creep of a porous rock and associated acoustic emission under different hydrous conditions. J. Geophys. Res. Solid Earth 2009, 114, B10201. [Google Scholar] [CrossRef]
- Li, H.; Li, H.; Gao, B.; Jiang, D.; Feng, J. Study of Acoustic Emission and Mechanical Characteristics of Coal Samples under Different Loading Rates. Shock. Vib. 2015, 2015, 1–11. [Google Scholar] [CrossRef]
- Wen, Z.; Wang, X.; Chen, L.; Lin, G.; Zhang, H. Size Effect on Acoustic Emission Characteristics of Coal-Rock Damage Evolution. Adv. Mater. Sci. Eng. 2017, 2017, 1–8. [Google Scholar] [CrossRef]
- Chen, X.; Yu, J.; Tang, C.A.; Li, H.; Wang, S. Experimental and Numerical Investigation of Permeability Evolution with Damage of Sandstone Under Triaxial Compression. Rock Mech. Rock Eng. 2017, 50, 1529–1549. [Google Scholar] [CrossRef]
- Hui, Y.; Hfda, B.; Jz, C. Effects of filling fluid type and composition and joint orientation on acoustic wave propagation across individual fluid-filled rock joints. Int. J. Rock Mech. Min. Sci. 2020, 128, 104248. [Google Scholar]
- Gardner, M.; Sitar, N. Modeling of Dynamic Rock–Fluid Interaction Using Coupled 3-D Discrete Element and Lattice Boltzmann Methods. Rock Mech. Rock Eng. 2019, 52, 5161–5180. [Google Scholar] [CrossRef]
- Chen, Z.; Wang, M. Pore-scale modeling of hydromechanical coupled mechanics in hydrofracturing process. J. Geophys. Res. Solid Earth 2017, 122, 3410–3429. [Google Scholar] [CrossRef]
- Cai, Y.; Chen, X.; Yu, J.; Zhou, J. Numerical Study on the Evolution of Mesoscopic Properties and Permeability in Sandstone Under Hydromechanical Coupling Conditions Involving Industrial Internet of Things. IEEE Access 2018, 6, 11804–11815. [Google Scholar] [CrossRef]
- Liu, S.; Zhu, Q.; Shao, J. Deformation and mechanical properties of rock: Effect of hydromechanical coupling under unloading conditions. Bull. Eng. Geol. Environ. 2020, 79, 1–18. [Google Scholar] [CrossRef]
- Wang, Q.; Hu, X.; Zheng, W.; Li, L.; Zhou, C.; Ying, C.; Xu, C. Mechanical Properties and Permeability Evolution of Red Sandstone Subjected to Hydro-mechanical Coupling: Experiment and Discrete Element Modelling. Rock Mech. Rock Eng. 2021, 54, 2403–2405. [Google Scholar] [CrossRef]
- Yao, Q.; Wang, W.; Zhu, L.; Xia, Z.; Tang, C.; Wang, X. Effects of moisture conditions on mechanical properties and AE and IR characteristics in coal–rock combinations. Arab. J. Geosci. 2020, 13, 1–15. [Google Scholar] [CrossRef]
- Wang, Z.H.; Ren, W.G.; Tan, Y.L.; Konietzky, H. Experimental and Numerical Study on Hydromechanical Coupled Deformation Behavior of Beishan Granite considering Permeability Evolution. Geofluids 2020, 2020, 1–14. [Google Scholar] [CrossRef]
- Zhang, S.; Zhang, D.; Wang, Z.; Chen, M. Influence of Stress and Water Pressure on the Permeability of Fissured Sandstone Under Hydromechanical Coupling. Mine Water Environ. 2018, 37, 774–785. [Google Scholar] [CrossRef]
- Martyushev, D.A.; Galkin, S.V.; Shelepov, V.V. The Influence of the Rock Stress State on Matrix and Fracture Permeability under Conditions of Various Lithofacial Zones of the Tournaisian–Fammenian Oil Fields in the Upper Kama Region. Mosc. Univ. Geol. Bull. 2019, 74, 573–581. [Google Scholar] [CrossRef]
- Riabokon, E.; Turbakov, M.; Popov, N.; Kozhevnikov, E.; Poplygin, V.; Guzev, M. Study of the Influence of Nonlinear Dynamic Loads on Elastic Modulus of Carbonate Reservoir Rocks. Energies 2021, 14, 8559. [Google Scholar] [CrossRef]
- Zhang, Q.; Wang, L. Research Status and Prospect of Rock Acoustic Emission Technology. Appl. Mech. Mater. 2012, 170, 461–464. [Google Scholar] [CrossRef]
- Zhang, Q.; Wang, L. Research Status and Prospect of Rock Mass Acoustic Emission Instrument. Adv. Mater. Res. 2013, 671, 280–283. [Google Scholar] [CrossRef]
- Zhang, Y.H.; Li, Y.; Zhang, Y. The Research of Shaoguo Tunnel Failure Characteristics of Triaxial and Acoustic Emission Characteristics. Appl. Mech. Mater. 2014, 501, 1757–1760. [Google Scholar] [CrossRef]
- Shimizu, H.; Murata, S.; Ishida, T. The distinct element analysis for hydraulic fracturing in hard rock considering fluid viscosity and particle size distribution. Int. J. Rock Mech. Min. Sci. 2011, 48, 712–727. [Google Scholar] [CrossRef]
- Jia, Z.; Ren, L.; Liu, Q.; Peng, Y.; Xu, D.; Zha, E. Influence of water-soaking time on the acoustic emission characteristics and spatial fractal dimensions of coal under uniaxial compression. Therm. Sci. 2017, 21, 327–334. [Google Scholar] [CrossRef]
- Ye, Z.; Ghassemi, A. Investigation of Microseismicity and Permeability Evolution in Shale Fractures during Stimulation. SPE Prod. Oper. 2020, 35, 0797–0808. [Google Scholar] [CrossRef]
- Makhnenko, R.Y.; Ge, C.; Labuz, J.F. Localization of deformation in fluid-saturated sandstone. Int. J. Rock Mech. Min. Sci. 2020, 134, 104455. [Google Scholar] [CrossRef]
- Li, J.G.; Liu, H. Application Conditions on Acoustic Emission (AE) Technique Monitoring Coal and Rock Dynamic Disasters in Mines. Adv. Mater. Res. 2012, 413, 235–240. [Google Scholar] [CrossRef]
- Li, N.; Sun, W.; Huang, B.; Chen, D.; Zhang, S.; Yan, M. Acoustic Emission Source Location Monitoring of Laboratory-Scale Hydraulic Fracturing of Coal Under True Triaxial Stress. Nat. Resour. Res. 2021, 30, 2297–2315. [Google Scholar] [CrossRef]
- Chitrala, Y.; Moreno, C.; Sondergeld, C.; Rai, C. An experimental investigation into hydraulic fracture propagation under different applied stresses in tight sands using acoustic emissions. J. Pet. Sci. Eng. 2013, 108, 151–161. [Google Scholar] [CrossRef]
- Chen, L.; Liu, J.F.; Wang, C.P. Characterization of damage evolution in granite under compressive stress condition and its effect on permeability. Int. J. Rock Mech. Min. Sci. 2014, 71, 340–349. [Google Scholar] [CrossRef]
- Makoto, N.; Chen, Y.; Yamamoto, K.; Morishige, Y.; Imakita, K.; Tsutumi, N.; Kawakata, H.; Ishida, T.; Tanaka, H.; Arima, Y.; et al. Tensile-dominant fractures observed in hydraulic fracturing laboratory experiment using eagle ford shale. Geophys. J. Int. 2020, 222, 769–780. [Google Scholar]
- Lu, Y.; Wang, L. Numerical simulation of mining-induced fracture evolution and water flow in coal seam floor above a confined aquifer. Comput. Geotech. 2015, 67, 157–171. [Google Scholar] [CrossRef]
- Jiang, Z.; Li, Q.; Hu, Q.; Liang, Y.; Xu, Y.; Liu, L.; Wu, X.; Li, X.; Wang, X.; Hu, L.; et al. Acoustic emission characteristics in hydraulic fracturing of stratified rocks: A laboratory study—ScienceDirect. Powder Technol. 2020, 371, 267–276. [Google Scholar] [CrossRef]
- Stanchits, S.; Surdi, A.; Gathogo, P.; Edelman, E.; Suarez-Rivera, R. Onset of Hydraulic Fracture Initiation Monitored by Acoustic Emission and Volumetric Deformation Measurements. Rock Mech. Rock Eng. 2014, 47, 1521–1532. [Google Scholar] [CrossRef]
- Li, B.; Liu, J.; Bian, K.; Ai, F.; Hu, X.; Chen, M.; Liu, Z. Experimental study on the mechanical properties weakening mechanism of siltstone with different water content. Arab. J. Geosci. 2019, 12, 1–14. [Google Scholar] [CrossRef]
- Chen, Y. Permeability Evolution in Granite Under Compressive Stress Condition. Geotech. Geol. Eng. 2017, 36, 641–647. [Google Scholar] [CrossRef]
- He, M.; Li, Q.; Li, X.; Xu, L.; Kühn, M. Hydromechanical behaviors of andesite under different stress states during fluid injection. J. Rock Mech. Geotech. Eng. 2021, 13, 727–744. [Google Scholar] [CrossRef]
- Aki, K.; Richards, P.G. Quantitative Seismology, 2nd ed.; University Science Books: Sausalito, CA, USA, 2002; ISBN 0-935702-96-2. [Google Scholar]
- Hudson, J.A.; Pearce, R.G.; Rogers, R.M. Source type plot for inversion of the moment tensor. J. Geophys. Res. 1989, 94, 765–774. [Google Scholar] [CrossRef]
- Zhou., Z.; Zhou, J.; Zhao, Y.; Chen, L.; Li, C. Microscopic Failure Mechanism Analysis of Rock Under Dynamic Brazilian Test Based on Acoustic Emission and Moment Tensor Simulation. Front. Phys. 2021, 8, 592483. [Google Scholar] [CrossRef]
- Zhao, Y.; Zhao, G.; Zhou, J.; Ma, J.; Cai, X. Failure mechanism analysis of rock in particle discrete element method simulation based on moment tensors. Comput. Geotech. 2021, 136, 104215. [Google Scholar] [CrossRef]
- Itasca Consulting Group Inc. PFC2D (Particle Flow Code in 2 Dimensions); ICG: Minneapolis, MN, USA, 1999. [Google Scholar]
- Hanks, T.C.; Kanamori, H. A moment magnitude scale. J. Geophys. Res. 1979, 84, 2348–2350. [Google Scholar] [CrossRef]
- Shearer, P.M. Introduction to Seismology; Birkhauser: Basel, Switzerland, 1979. [Google Scholar]
























| Mechanical Parameters of Coal | |||
| Particle radius/mm | 2.0–2.5 | Elastic modulus/GPa | 0.5 |
| Density/kg·m3 | 1250 | Friction angle/° | 45 |
| Cohesive strength/MPa | 4.5 | Porosity | 0.18 |
| Parameters for Flow Model | |||
| Ap_zero/mm | 1.3 × 10−3 | Bulk_W/MPa | 2.2 × 103 |
| Flow_perm/mm/s | 7.0 × 10−2 | Flow_dt/s | 1.0 × 10−3 |
| P_give/MPa | 2.5 | Gap_mul | 0 |
| Model | P-1 | P-2 | P-3 | P-4 | P-5 | P-6 | P-7 | P-8 | P-9 | P-10 | P-11 | P-12 |
|---|---|---|---|---|---|---|---|---|---|---|---|---|
| Confining pressure/MPa | 0.5 | 0.5 | 0.5 | 0.5 | 1 | 1 | 1 | 1 | 1.5 | 1.5 | 1.5 | 1.5 |
| Water pressure /MPa | 0 | 0.5 | 1.5 | 2.5 | 0 | 0.5 | 1.5 | 2.5 | 0 | 0.5 | 1.5 | 2.5 |
Publisher’s Note: MDPI stays neutral with regard to jurisdictional claims in published maps and institutional affiliations. |
© 2022 by the authors. Licensee MDPI, Basel, Switzerland. This article is an open access article distributed under the terms and conditions of the Creative Commons Attribution (CC BY) license (https://creativecommons.org/licenses/by/4.0/).
Share and Cite
Song, J.-F.; Lu, C.-P.; Zhan, Z.-W.; Cui, H.-F.; Wang, Y.-M.; Wang, J.-H. Numerical and Field Investigations of Acoustic Emission Laws of Coal Fracture under Hydro-Mechanical Coupling Loading. Materials 2022, 15, 6510. https://doi.org/10.3390/ma15196510
Song J-F, Lu C-P, Zhan Z-W, Cui H-F, Wang Y-M, Wang J-H. Numerical and Field Investigations of Acoustic Emission Laws of Coal Fracture under Hydro-Mechanical Coupling Loading. Materials. 2022; 15(19):6510. https://doi.org/10.3390/ma15196510
Chicago/Turabian StyleSong, Jie-Fang, Cai-Ping Lu, Zhao-Wei Zhan, Hai-Feng Cui, Yan-Min Wang, and Jian-Hua Wang. 2022. "Numerical and Field Investigations of Acoustic Emission Laws of Coal Fracture under Hydro-Mechanical Coupling Loading" Materials 15, no. 19: 6510. https://doi.org/10.3390/ma15196510
APA StyleSong, J.-F., Lu, C.-P., Zhan, Z.-W., Cui, H.-F., Wang, Y.-M., & Wang, J.-H. (2022). Numerical and Field Investigations of Acoustic Emission Laws of Coal Fracture under Hydro-Mechanical Coupling Loading. Materials, 15(19), 6510. https://doi.org/10.3390/ma15196510
