A Simulation Study on the Effect of Residual Stress on the Multi-Layer Selective Laser Melting Processes Considering Solid-State Phase Transformation
Abstract
1. Introduction
2. Numerical Models in SLM Process
- (i)
- The vaporization and flow-induced temperature change of the liquid metal in the molten pool is ignored;
- (ii)
- The pores or the influence of gas during processing are not considered in the model;
- (iii)
- The creep-induced strain effects and solid-state phase transformation are neglected;
- (iv)
- The mechanical properties and stress-strain of the material change linearly in a small time interval.
- (v)
- Melting, solidification and particle-to-particle interactions of metal powder particles are not considered.
2.1. Heat Source Model
2.2. Transient Heat Transfer Analysis
2.3. Thermo-Mechanical Model
2.4. Material Properties
3. SLM Process Predictive Simulations
- (i)
- Begin calculation, the actual printed information and the finite element mesh intersecting data (event series) are sent to path-mesh intersecting data module.
- (ii)
- For each incremental step, the path-grid intersection information (the volume added to the grid, the location of the laser scan) is triggered during the printing time calculated by the current incremental step.
- (iii)
- Update each grid based on the information triggered by the current incremental step.
- (iv)
- The temperature field is solved, and the heat conduction and radiation are calculated based on the activated surface of the grid.
4. Results and Discussions
4.1. Temperature Distributions and Molten Pool Configurations
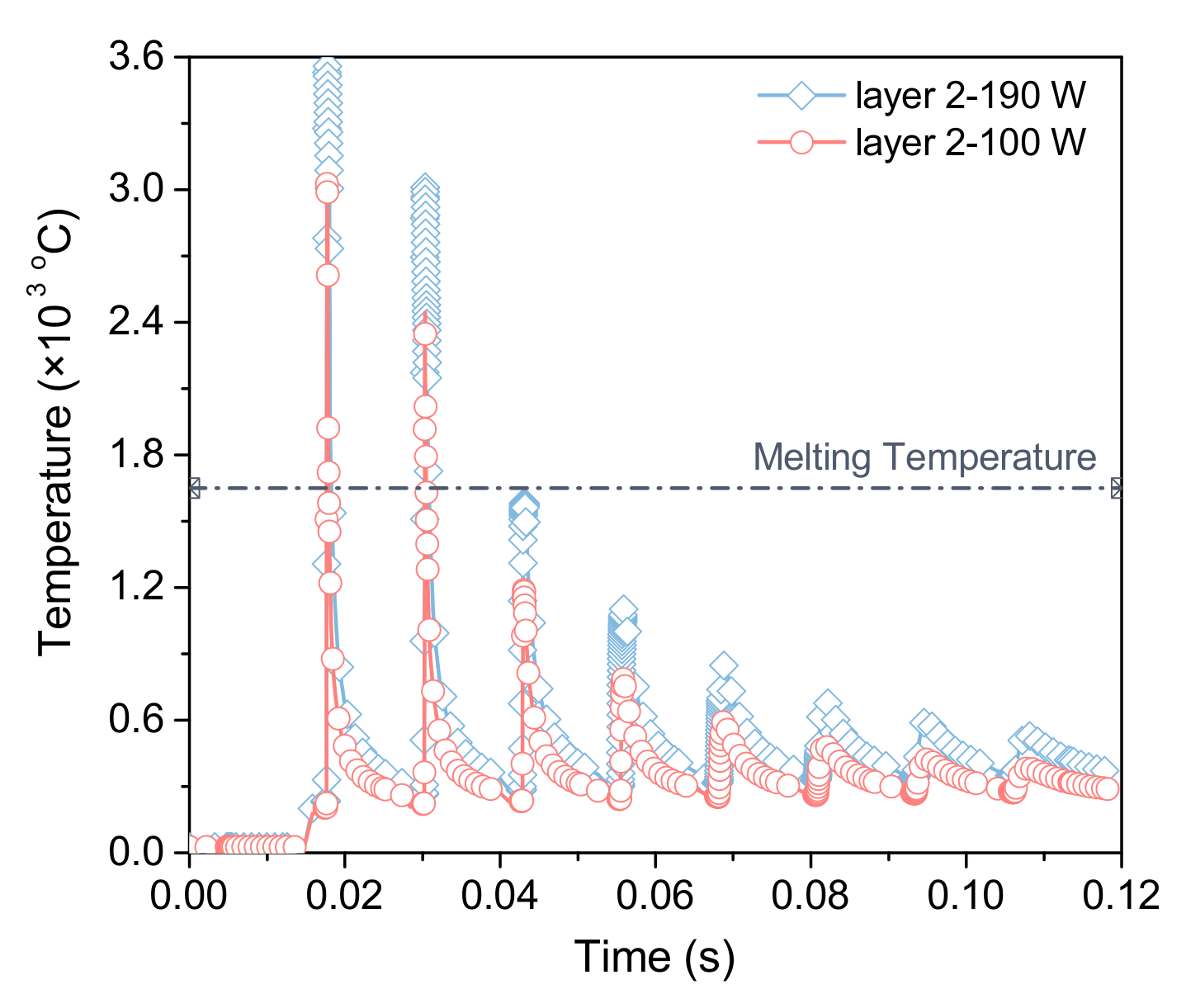
Effects of Laser Power
4.2. Residual Stresses Analysis
4.2.1. Solidification Process
4.2.2. Residual Stresses Analysis
4.2.3. Effects of Laser Power on Stress Field
4.2.4. Sensitivity Analysis of Grid Size
5. Conclusions
- (1)
- Due to the rapid solidification of melted powders, the residual stress along the laser scanning path produces a large stress gradient at the edge of the parts, which may lead to the maximum deformation along the printing direction appearing at the edge of the parts, and cause cracks.
- (2)
- The maximum tensile residual stress in the plane appears near the top layer, and decreases layer by layer with the increasing number of printing layers. At the interface between two continuous layers, the residual stress changes from tension to compression. The stress concentration occurred at the interface between the melt layer and the substrate may lead to warping deformation and even cracking.
- (3)
- The stress parallel to the scanning direction is the main stress causing cracks in SLM parts, as the stress parallel to the scanning direction is larger than the stress perpendicular to the scanning direction.
- (4)
- The toolpath-mesh intersection method can effectively predict the SLM process, but the grid size and incremental step of computing time have a great impact on the simulation results, and further improve the prediction accuracy of the SLM process is the direction that needs to be further investigated.
Author Contributions
Funding
Data Availability Statement
Conflicts of Interest
References
- Khairallah Saad, A.; Martin Aiden, A.; Lee Jonathan, R.I.; Guss, G.; Calta Nicholas, P.; Hammons Joshua, A.; Nielsen Michael, H.; Chaput, K.; Schwalbach, E.; Shah Megna, N.; et al. Controlling interdependent meso-nanosecond dynamics and defect generation in metal 3D printing. Science 2020, 368, 660–665. [Google Scholar] [CrossRef] [PubMed]
- Gu, D.; Shi, X.; Poprawe, R.; Bourell David, L.; Setchi, R.; Zhu, J. Material-structure-performance integrated laser-metal additive manufacturing. Science 2021, 372, eabg1487. [Google Scholar] [CrossRef] [PubMed]
- Craeghs, T.; Clijsters, S.; Yasa, E.; Bechmann, F.; Berumen, S.; Kruth, J.P. Determination of geometrical factors in Layerwise Laser Melting using optical process monitoring. Opt. Lasers Eng. 2011, 49, 1440–1446. [Google Scholar] [CrossRef]
- Cuesta, E.; Giganto, S.; Alvarez, B.J.; Barreiro, J.; Martínez-Pellitero, S.; Meana, V. Laser line scanner aptitude for the measurement of Selective Laser Melting parts. Opt. Lasers Eng. 2021, 138, 106406. [Google Scholar] [CrossRef]
- Ruyssen, R.; Ben Dhia, H. A finite addition of matter elements method for modeling and solution of an SLM thermal problem by a multiscale method. Int. J. Numer. Methods Eng. 2022, 123, 1760–1790. [Google Scholar] [CrossRef]
- Smith, J.; Xiong, W.; Yan, W.; Lin, S.; Cheng, P.; Kafka, O.L.; Wagner, G.J.; Cao, J.; Liu, W.K. Linking process, structure, property, and performance for metal-based additive manufacturing: Computational approaches with experimental support. Comput. Mech. 2016, 57, 583–610. [Google Scholar] [CrossRef]
- Mukherjee, T.; Zuback, J.S.; De, A.; DebRoy, T. Printability of alloys for additive manufacturing. Sci. Rep. 2016, 6, 19717. [Google Scholar] [CrossRef]
- DebRoy, T.; Mukherjee, T.; Milewski, J.O.; Elmer, J.W.; Ribic, B.; Blecher, J.J.; Zhang, W. Scientific, technological and economic issues in metal printing and their solutions. Nat. Mater. 2019, 18, 1026–1032. [Google Scholar] [CrossRef]
- Yan, Z.; Liu, W.; Tang, Z.; Liu, X.; Zhang, N.; Li, M.; Zhang, H. Review on thermal analysis in laser-based additive manufacturing. Opt. Laser Technol. 2018, 106, 427–441. [Google Scholar] [CrossRef]
- Jamshidinia, M.; Kong, F.; Kovacevic, R. Numerical modeling of heat distribution in the electron beam melting of Ti-6Al-4V. J. Manuf. Sci. Eng. 2013, 135, 061010. [Google Scholar] [CrossRef]
- Bartolomeu, F.; Costa, M.M.; Alves, N.; Miranda, G.; Silva, F.S. Additive manufacturing of NiTi-Ti6Al4V multi-material cellular structures targeting orthopedic implants. Opt. Lasers Eng. 2020, 134, 106208. [Google Scholar] [CrossRef]
- Gatsos, T.; Elsayed, K.A.; Zhai, Y.; Lados, D.A. Review on computational modeling of process-Microstructure-property relationships in metal additive manufacturing. JOM 2020, 72, 403–419. [Google Scholar] [CrossRef]
- DebRoy, T.; Mukherjee, T.; Wei, H.L.; Elmer, J.W.; Milewski, J.O. Metallurgy, mechanistic models and machine learning in metal printing. Nat. Rev. Mater. 2021, 6, 48–68. [Google Scholar] [CrossRef]
- Loh, L.E.; Chua, C.K.; Yeong, W.Y.; Song, J.; Mapar, M.; Sing, S.L.; Liu, Z.H.; Zhang, D.Q. Numerical investigation and an effective modelling on the selective laser melting (SLM) process with aluminium alloy 6061. Int. J. Heat Mass Transf. 2015, 80, 288–300. [Google Scholar] [CrossRef]
- Mukherjee, T.; Zhang, W.; DebRoy, T. An improved prediction of residual stresses and distortion in additive manufacturing. Comput. Mater. Sci. 2017, 126, 360–372. [Google Scholar] [CrossRef]
- Roehling, T.T.; Wu, S.S.Q.; Khairallah, S.A.; Roehling, J.D.; Soezeri, S.S.; Crumb, M.F.; Matthews, M.J. Modulating laser intensity profile ellipticity for microstructural control during metal additive manufacturing. Acta Mater. 2017, 128, 197–206. [Google Scholar] [CrossRef]
- Alexopoulou, V.E.; Papazoglou, E.L.; Karmiris-Obratanski, P.; Markopoulos, A.P. 3D finite element modeling of selective laser melting for conduction, transition and keyhole modes. J. Manuf. Process. 2022, 75, 877–894. [Google Scholar] [CrossRef]
- Elahi, S.M.; Tavakoli, R.; Boukellal, A.K.; Isensee, T.; Romero, I.; Tourret, D. Multiscale simulation of powder-bed fusion processing of metallic alloys. Comput. Mater. Sci. 2022, 209, 111383. [Google Scholar] [CrossRef]
- Chen, Y.; Liu, Y.; Chen, H.; Wu, Y.; Chen, J.; Xiong, J.; Ren, L.; Qian, J. Multi-scale residual stress prediction for selective laser melting of high strength steel considering solid-state phase transformation. Opt. Laser Technol. 2022, 146, 107578. [Google Scholar] [CrossRef]
- Zhang, Q.; Xie, J.; Gao, Z.; London, T.; Griffiths, D.; Oancea, V. A metallurgical phase transformation framework applied to SLM additive manufacturing processes. Mater. Des. 2019, 166, 107618. [Google Scholar] [CrossRef]
- Zhang, Q.; Xie, J.; London, T.; Griffiths, D.; Bhamji, I.; Oancea, V. Estimates of the mechanical properties of laser powder bed fusion Ti-6Al-4V parts using finite element models. Mater. Des. 2019, 169, 107678. [Google Scholar] [CrossRef]
- Xie, J.; Oancea, V.; Hurtado, J.A. Phase Transformations in Metals during Additive Manufacturing Processes. In Proceedings of the NAFEMS World Congress, Stockholm, Sweden, 11–13 June 2017. [Google Scholar]
- Song, X.; Feih, S.; Zhai, W.; Sun, C.N.; Li, F.; Maiti, R.; Wei, J.; Yang, Y.; Oancea, V.; Romano Brandt, L.; et al. Advances in additive manufacturing process simulation: Residual stresses and distortion predictions in complex metallic components. Mater. Des. 2020, 193, 108779. [Google Scholar] [CrossRef]
- Luo, Z.; Zhao, Y. A survey of finite element analysis of temperature and thermal stress fields in powder bed fusion Additive Manufacturing. Addit. Manuf. 2018, 21, 318–332. [Google Scholar] [CrossRef]
- Goldak, J.; Chakravarti, A.; Bibby, M. A new finite element model for welding heat sources. Metall. Trans. B 1984, 15, 299–305. [Google Scholar] [CrossRef]
- Li, Y.; Zhou, K.; Tan, P.; Tor, S.B.; Chua, C.K.; Leong, K.F. Modeling temperature and residual stress fields in selective laser melting. Int. J. Mech. Sci. 2018, 136, 24–35. [Google Scholar] [CrossRef]
- Lee, W.S.; Lin, C.F. Plastic deformation and fracture behaviour of Ti-6Al-4V alloy loaded with high strain rate under various temperatures. Mater. Sci. Eng. A 1998, 241, 48–59. [Google Scholar] [CrossRef]
- Zhao, H.; He, L.; Niu, W.C.; Zhang, B. Investigation on porosity suppression in deep-penetration laser welding by using computational fluid dynamics. J. Laser Appl. 2016, 28, 032011. [Google Scholar] [CrossRef]
- Li, Y.; Gu, D. Thermal behavior during selective laser melting of commercially pure titanium powder: Numerical simulation and experimental study. Addit. Manuf. 2014, 1–4, 99–109. [Google Scholar] [CrossRef]
- Leuders, S.; Thöne, M.; Riemer, A.; Niendorf, T.; Tröster, T.; Richard, H.A.; Maier, H.J. On the mechanical behaviour of titanium alloy TiAl6V4 manufactured by selective laser melting: Fatigue resistance and crack growth performance. Int. J. Fatigue 2013, 48, 300–307. [Google Scholar] [CrossRef]
- Ren, Y.; Lin, X.; Jian, Z.; Peng, H.; Huang, W. Long fatigue crack growth behavior of Ti-6Al-4V produced via high-power laser directed energy deposition. Mater. Sci. Eng. A 2021, 819, 141392. [Google Scholar] [CrossRef]
- Wang, L.; Felicelli, S.D.; Pratt, P. Residual stresses in LENS-deposited AISI 410 stainless steel plates. Mater. Sci. Eng. A 2008, 496, 234–241. [Google Scholar] [CrossRef]
- Li, C.; Denlinger, E.R.; Gouge, M.F.; Irwin, J.E.; Michaleris, P. Numerical verification of an Octree mesh coarsening strategy for simulating additive manufacturing processes. Addit. Manuf. 2019, 30, 100903. [Google Scholar] [CrossRef]
















| Process Parameters | Value | Unit or Notes |
|---|---|---|
| Power of heat source, P | 190/100 | W |
| Scanning speed, v | 1000 | mm/s |
| Scanning direction along x axis | 0.6 | mm |
| Printing time for each layer | 4.8 | s |
| Cooling time for each layer | 7.2 | s |
| Layer thickness, h | 0.03 | mm |
| Ambient/powder temperature, | 26 | C |
| Substrate temperature, | 200 | C |
| Parameters | Value | Unit |
|---|---|---|
| Latent heat of fusion | 2.86 × 10 | J/kg |
| Solidus temperature | 1604 | C |
| Liquidus temperature | 1650 | C |
| Latent heat of vaporization | 9.83 × 10 | J/kg |
| Liquidus temperature | 3290 | C |
| Vaporized temperature | 3390 | C |
| Density | 4420 | kg/m |
| Emissivity | 0.25 | ∼ |
| Convection Coefficient | 18 | W/(mC) |
| Laser absorptivity | 50 | % |
Publisher’s Note: MDPI stays neutral with regard to jurisdictional claims in published maps and institutional affiliations. |
© 2022 by the authors. Licensee MDPI, Basel, Switzerland. This article is an open access article distributed under the terms and conditions of the Creative Commons Attribution (CC BY) license (https://creativecommons.org/licenses/by/4.0/).
Share and Cite
Li, X.; Zhang, M.; Qi, J.; Yang, Z.; Jiao, Z. A Simulation Study on the Effect of Residual Stress on the Multi-Layer Selective Laser Melting Processes Considering Solid-State Phase Transformation. Materials 2022, 15, 7175. https://doi.org/10.3390/ma15207175
Li X, Zhang M, Qi J, Yang Z, Jiao Z. A Simulation Study on the Effect of Residual Stress on the Multi-Layer Selective Laser Melting Processes Considering Solid-State Phase Transformation. Materials. 2022; 15(20):7175. https://doi.org/10.3390/ma15207175
Chicago/Turabian StyleLi, Xiao, Ming Zhang, Junfeng Qi, Zhengmao Yang, and Zhonghua Jiao. 2022. "A Simulation Study on the Effect of Residual Stress on the Multi-Layer Selective Laser Melting Processes Considering Solid-State Phase Transformation" Materials 15, no. 20: 7175. https://doi.org/10.3390/ma15207175
APA StyleLi, X., Zhang, M., Qi, J., Yang, Z., & Jiao, Z. (2022). A Simulation Study on the Effect of Residual Stress on the Multi-Layer Selective Laser Melting Processes Considering Solid-State Phase Transformation. Materials, 15(20), 7175. https://doi.org/10.3390/ma15207175

