Effects of High-Temperature Heat Treatment Modification by Impregnation on Physical and Mechanical Properties of Poplar
Abstract
1. Introduction
2. Materials and Methods
2.1. Materials and Equipment
2.1.1. Experimental Materials and Equipment
2.1.2. Preparation of Modified Urea-Formaldehyde Resin Impregnant
2.2. Experimental Design Scheme
2.2.1. Experimental Design
2.2.2. Impregnation High-Temperature Integrated Treatment
- Inject a fully stirred urea-formaldehyde resin-impregnating agent into the box, close the door of the impregnation tank after the wood is completely immersed in the liquid, and perform vacuum treatment. Then carry out pressure treatment, slow ly open the air valve to keep the internal and external air pressure consistent for 30 min; open the booster pump and the air valve of the immersion tank, and slowly increase the pressure to (0.7 ± 0.05) MPa, and maintain the pressure for 240 min. After the pressurization is completed, slowly release the pressure. After the internal and external pressures are balanced, open the tank door, take out the impregnating material, rinse the surface, and place it in a cool and ventilated place for 24 h.
- Then put the impregnated material into the high-temperature treatment drying box for preheating, the speed is about 15 °C/h, the preheating temperature is 80 °C, and the preheating time is 6 h, and the actual time is adjusted according to the quantity of wood.
- Rapidly increase the temperature to 103 °C, the speed is about 25 °C/h, and the constant temperature is 8 h, the moisture in the impregnating material is evaporated and the modified urea-formaldehyde resin is cured.
- Slowly increase the temperature to 130 °C and keep the temperature constant for 2 h, further solidify the modified urea-formaldehyde resin inside the impregnating material, and also preheat slowly at high temperature.
- Rapidly heat up to 160 °C, 180 °C, and 200 °C, keep the temperature constant for 2–6 h and spray steam (steam) appropriately during the treatment process.
- Slowly cool down to 60 °C after heat treatment, the speed is about 10 °C/h, and the constant temperature is 3 h to prevent the wood from cooling too fast and causing warping deformation. The treated material is aged for health, the room temperature is 20–25 °C, the relative humidity is (65 ± 5)%, and it is left standing for more than 48 h to balance the moisture content.
2.3. Measurement and Characterization
2.3.1. Statistical Analysis
2.3.2. Weight Loss Rate (WLR)
2.3.3. Oven-Dry Density
2.3.4. Dry Shrinkage Property
2.3.5. Swelling Property
2.3.6. Modulus of Rupture (MOR) and Modulus of Elasticity (MOE)
3. Results and Discussion
3.1. Weight Loss Rate and Absolute-Dry Density
3.1.1. Weight Loss Rate Analysis
3.1.2. Absolute-Dry Density Analysis
3.2. Dry Shrinkage Property
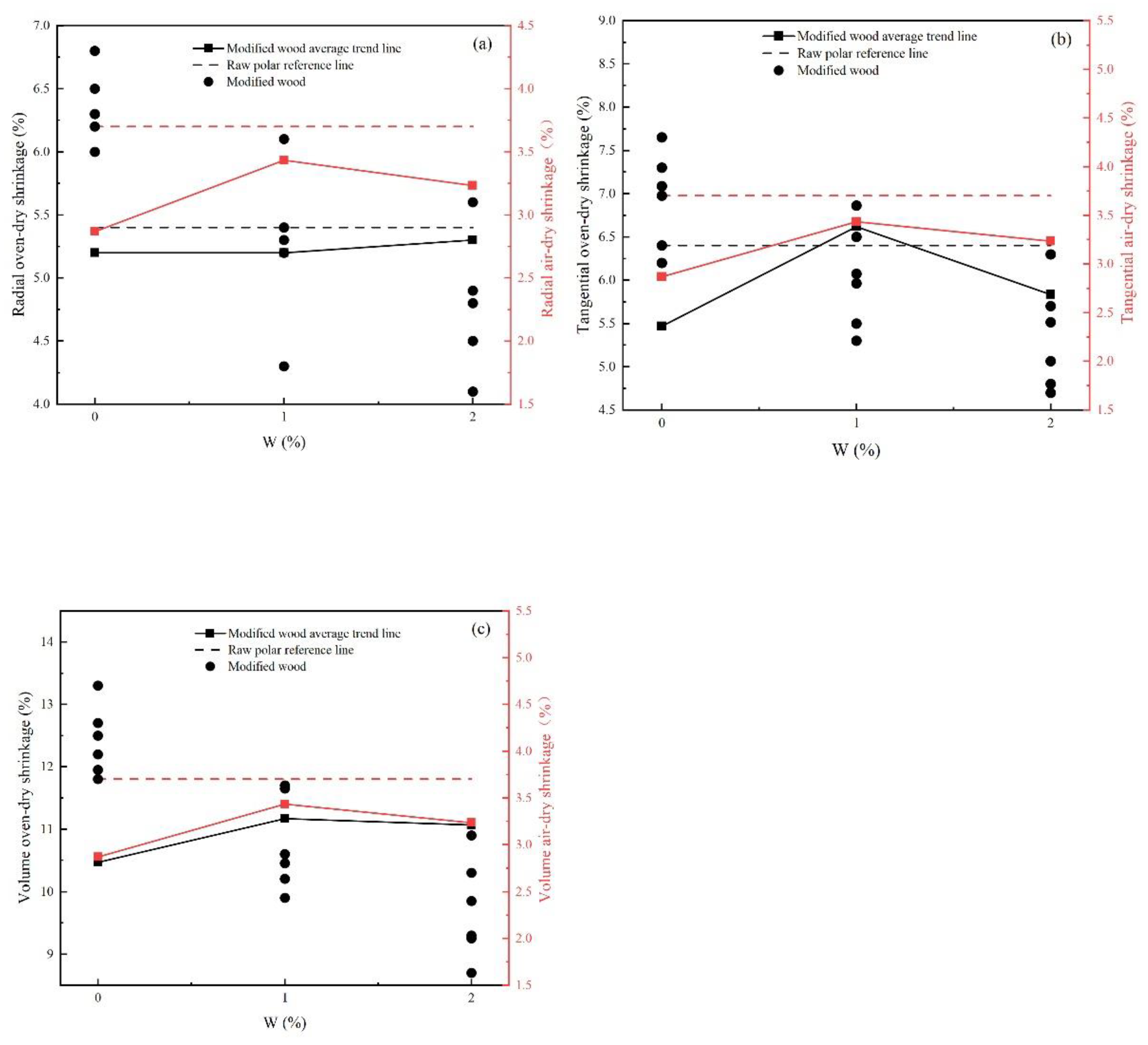
3.2.1. Visual Analysis of Oven-Dry Shrinkage and Air-Dry Shrinkage
3.2.2. Visual Analysis of Oven-Dry Shrinkage and Air-Dry Shrinkage
3.2.3. Comprehensive Comparative Analysis of Drying Shrinkage
3.3. Swelling Property
3.3.1. Visual Analysis of Swelling Property
3.3.2. Analysis of Variance of Swelling Property
3.3.3. Comparative Analysis of Swelling Property
3.4. Modulus of Rupture (MOR) and Modulus of Elasticity (MOE)
3.4.1. Visual Analysis of MOR and MOE
3.4.2. Analysis of Variance of MOR and MOE
3.4.3. Comparative Analysis of MOR and MOE between Material and Modified Material
4. Conclusions
- The temperature during heat treatment is the most influential factor on the weight loss rate, followed by the heat treatment time, and nano-SiO2 has little effect on the weight loss rate. Both the weight loss rate and the coefficient of change of full dry density have a high correlation with temperature. When W is 0%, H is 200 °C, and T is 6 h, the coefficient of change of weight loss rate and oven-dry density is the largest; when W is 2%, H is 160 °C, T is 6 h, the variation coefficient of the two is the smallest.
- Impregnation high-temperature heat treatment can appropriately reduce the dry shrinkage properties and improve dimensional stability. When W is 0%, H is 200 °C, and T is 6 h, the dry shrinkage rate of poplar is the smallest, and the dimensional stability is in the best state.
- The urea-formaldehyde resin impregnation high-temperature heat treatment modification can effectively reduce the swelling rate of poplar fast-growing wood and improve its dimensional stability. When W is 0%, H is 200 °C, and T is 6 h, the radial swelling property, the tangential swelling property, and the volume swelling property are optimal.
- The modulus of rupture (MOR) and modulus of elasticity (MOE) of the modified wood are improved to a certain extent compared with the raw polar. When W is 0–1%, H is 160 °C, and T is 2–4 h, the impregnated heat-treated wood has good MOR and MOE. The flexural properties of fast-growing poplar are also affected by moisture content, density, and other factors. Within a certain range, the lower the moisture content, the higher the bending resistance of the modified poplar.
Author Contributions
Funding
Institutional Review Board Statement
Informed Consent Statement
Data Availability Statement
Acknowledgments
Conflicts of Interest
References
- Xu, K.; Zhang, X.; Li, Z.; Zhou, C.; Lv, J.; Li, X.; Wu, Y. Research Progress of Wood Low Molecular Weight Resin Impregnation Modification and Its Drying. Mater. Rep. 2022, 36, 223–229. [Google Scholar] [CrossRef]
- Sandberg, D.; Kutnar, A.; Mantanis, G. Wood modification technologies-a review. Iforest Biogeosci. For. 2017, 10, 895–908. [Google Scholar] [CrossRef]
- Spear, M.J.; Curling, S.F.; Dimitriou, A.; Ormondroyd, G.A. Review of Functional Treatments for Modified Wood. Coatings 2021, 11, 327. [Google Scholar] [CrossRef]
- Ali, M.R.; Abdullah, U.H.; Ashaari, Z.; Hamid, N.H.; Hua, L.S. Hydrothermal Modification of Wood: A Review. Polymers 2021, 13, 2612. [Google Scholar] [CrossRef]
- Xue, Z.; Wang, X.; Zhou, Y.; Chen, M.; Huang, Q. Physical and mechanical properties of low thermo-vacuum treated wood. J. Zhejiang AF Univ. 2019, 36, 177–182. [Google Scholar] [CrossRef]
- Tu, X.; Wang, J.; Xu, G.; Liu, X. Effect of Light Carbonization Process on Color and Dimensional Stability of Wood. For. Mach. Woodwork. Equip. 2020, 48, 54–59. [Google Scholar] [CrossRef]
- Zhou, Y.; Xue, Z.; Huang, Q.; Yao, B.; Wang, X. Physical and mechanical properties of Aucoumea klaineana wood after vacuum heat treatment for furniture components. J. For. Eng. 2020, 5, 73–78. [Google Scholar] [CrossRef]
- Srinivas, K.; Pandey, K.K. Effect of Heat Treatment on Color Changes, Dimensional Stability, and Mechanical Properties of Wood. J. Wood Chem. Technol. 2012, 32, 304–316. [Google Scholar] [CrossRef]
- Zhang, Y.; Feng, D.; Dou, Y. Optimization of Populus tomentosa Thermo-treatment Process Based on Paraffin Thermal Conductive Medium. J. Northwest For. Univ. 2017, 32, 248–252. [Google Scholar]
- Bal, B.C.; Bektaş, İ. The Effects of Heat Treatment on Some Mechanical Properties of Juvenile Wood and Mature Wood of Eucalyptus grandis. Dry. Technol. 2013, 31, 479–485. [Google Scholar] [CrossRef]
- Cui, W.; Zhang, N.; Xu, M.; Cai, L. Combined effects of ZnO particle deposition and heat treatment on dimensional stability and mechanical properties of poplar wood. Sci. Rep. 2017, 7, 9961–9970. [Google Scholar] [CrossRef] [PubMed]
- Soares, A.K.; Cademartori, P.H.G.D.; Evtyugin, D.V.; Zanatta, P.; Gatto, D.A. Enhancing pine wood properties by two step impregnation-heat treatment. Matéria 2018, 23, 12242. [Google Scholar] [CrossRef]
- Cao, S.; Cai, J.; Wu, M.; Zhou, N.; Huang, Z.; Cai, L.; Zhang, Y. Surface properties of poplar wood after heat treatment, resin impregnation, or both modifications. BioResources 2021, 16, 7562–7577. [Google Scholar] [CrossRef]
- Luo, M.; Liu, F.; Zhao, B. Analysis of Mechanical Properties of Eucalyptus Wood Immersed in High Temperature Treatment. China For. Prod. Ind. 2019, 46, 45–49. [Google Scholar] [CrossRef]
- Yang, L.; Liu, H. Effect of a Combination of Moderate-Temperature Heat Treatment and Subsequent Wax Impregnation on Wood Hygroscopicity, Dimensional Stability, and Mechanical Properties. Forests 2020, 11, 920. [Google Scholar] [CrossRef]
- Humar, M.; Kržišnik, D.; Lesar, B.; Thaler, N.; Ugovšek, A.; Zupančič, K.; Žlahtič, M. Thermal modification of wax-impregnated wood to enhance its physical, mechanical, and biological properties. Holzforschung 2017, 71, 57–64. [Google Scholar] [CrossRef]
- Turkoglu, T.; Baysal, E.; Yuksel, M.; Peker, H.; Sacli, C.; Kureli, I.; Toker, H. Mechanical Properties of Impregnated and Heat Treated Oriental Beech Wood. BioResources 2016, 11, 8285–8296. [Google Scholar] [CrossRef]
- Shi, J.; Chen, H.; Ye, J.; Zhang, Y.; Wu, Z.; Zhan, X. Properties of poplar veneer and plywood modified by in-situ synthesis of CaCO3. J. For. Eng. 2022, 7, 43–51. [Google Scholar] [CrossRef]
- Sun, Y.; Wang, C.; Wu, Y.; Zuo, J.; Zhan, X. Effect of nano-boron carbide on the properties of waterborne polyurethane wood coatings. J. For. Eng. 2020, 5, 181–185. [Google Scholar] [CrossRef]
- Yan, X.; Chang, Y.; Qian, X. The Properties of an Aluminum/UV-Curable, Infrared, Low-Emissivity Coating Modified by Nano-Silica Slurry. Coatings 2020, 10, 382. [Google Scholar] [CrossRef]
- Li, R.; Pei, W.; Tian, Y.; Meng, F. Study on the Surface Coating Properties of Nano SiO2/Urea-formaldehyde Resin Modified Fast-growing Chinese Fir Wood. For. Mach. Woodwork. Equip. 2019, 47, 32–35. [Google Scholar] [CrossRef]
- Zhang, N.; Xu, M. Effects of silicon dioxide combined heat treatment on properties of rubber wood. J. For. Eng. 2019, 4, 38–42. [Google Scholar] [CrossRef]
- Zhang, Y.; Liu, M.; Li, C. Mechanical Properties of Poplar Wood Modified by Silica-Sol/Phenol-Formaldehyde Resin Impregnation and Heat Treatment. J. Beihua Univ. 2021, 22, 815–819. [Google Scholar] [CrossRef]
- Schorr, D.; Blanchet, P. Improvement of White Spruce Wood Dimensional Stability by Organosilanes Sol-Gel Impregnation and Heat Treatment. Materials 2020, 13, 973. [Google Scholar] [CrossRef] [PubMed]
- Chen, H.; Zhang, Y.T.; Zhong, T.H.; Wu, Z.H.; Zhan, X.X.; Ye, J.Y. Thermal insulation and hydrophobization of wood impregnated with silica aerogel powder. J. Wood Sci. 2020, 66, 81–92. [Google Scholar] [CrossRef]
- Zhao, J. The fitting formula of Chauvenet coefficient. Coll. Phys. 1987, 3, 20–22. [Google Scholar] [CrossRef]




| Number | Factor | ||
|---|---|---|---|
| W (%) | H (°C) | T (h) | |
| 1 | 0 | 160 | 2 |
| 2 | 0 | 180 | 4 |
| 3 | 0 | 200 | 6 |
| 4 | 1 | 160 | 4 |
| 5 | 1 | 180 | 6 |
| 6 | 1 | 200 | 2 |
| 7 | 2 | 160 | 6 |
| 8 | 2 | 180 | 2 |
| 9 | 2 | 200 | 4 |
| Number | W (%) | H (°C) | T (h) | L (%) |
|---|---|---|---|---|
| 1 | 0 | 160 | 2 | 1.853 (12.65) |
| 2 | 0 | 180 | 4 | 3.269 (6.07) |
| 3 | 0 | 200 | 6 | 6.238 (9.34) |
| 4 | 1 | 160 | 4 | 1.893 (9.14) |
| 5 | 1 | 180 | 6 | 3.635 (7.52) |
| 6 | 1 | 200 | 2 | 3.694 (6.05) |
| 7 | 2 | 160 | 6 | 1.797 (13.97) |
| 8 | 2 | 180 | 2 | 2.468 (9.64) |
| 9 | 2 | 200 | 4 | 5.353 (9.26) |
| Mean 1 | 3.787 | 1.848 | 2.672 | |
| Mean 2 | 3.074 | 3.124 | 3.505 | |
| Mean 3 | 3.206 | 5.095 | 3.890 | |
| Range R | 0.713 | 3.247 | 1.218 |
| Factor | Sum of Squares | Degree of Freedom | F Ratio | F Critical Value | p-Value | Significance |
|---|---|---|---|---|---|---|
| W | 0.862 | 2 | 0.999 | 9 | 0.500 | |
| H | 16.059 | 2 | 18.608 | 9 | 0.051 | * |
| T | 2.327 | 2 | 2.696 | 9 | 0.271 | |
| error | 0.863 | 2 |
| Number | W (%) | H (°C) | T (h) | ||||
|---|---|---|---|---|---|---|---|
| 1 | 0 | 160 | 2 | 0.589 (4.8) | 0.581 (4.8) | 0.008 | 1.4 |
| 2 | 0 | 180 | 4 | 0.587 (4.3) | 0.575 (4.3) | 0.012 | 2.0 |
| 3 | 0 | 200 | 6 | 0.602 (6.3) | 0.574 (6.9) | 0.028 | 4.7 |
| 4 | 1 | 160 | 4 | 0.580 (7.3) | 0.573 (7.3) | 0.007 | 1.2 |
| 5 | 1 | 180 | 6 | 0.582 (7.8) | 0.567 (8.0) | 0.015 | 2.5 |
| 6 | 1 | 200 | 2 | 0.584 (5.3) | 0.567 (5.4) | 0.017 | 2.9 |
| 7 | 2 | 160 | 6 | 0.564 (5.6) | 0.559 (5.6) | 0.005 | 0.9 |
| 8 | 2 | 180 | 2 | 0.600 (8.1) | 0.590 (8.4) | 0.010 | 1.7 |
| 9 | 2 | 200 | 4 | 0.576 (7.6) | 0.552 (7.6) | 0.024 | 4.2 |
| Mean 1 | 2.7 | 1.167 | 2 | 2.7 | |||
| Mean 2 | 2.2 | 2.067 | 2.467 | 2.2 | |||
| Mean 3 | 2.267 | 3.933 | 2.7 | 2.267 | |||
| Range R | 0.5 | 2.766 | 0.7 | 0.5 |
| Factor | Sum of Squares | Degree of Freedom | F Ratio | F Critical Value | p-Value | Significance |
|---|---|---|---|---|---|---|
| W | 0.442 | 2 | 1 | 19 | 0.500 | |
| H | 11.949 | 2 | 27.034 | 19 | 0.036 | ** |
| T | 0.762 | 2 | 1.724 | 19 | 0.367 | |
| error | 0.442 | 2 |
| Number | W (%) | H (°C) | T (Lh) | Total Dry Shrinkage Rate (%) | Air Drying Shrinkage Rate (%) | ||||
|---|---|---|---|---|---|---|---|---|---|
| Radial | Tangential Direction | Volume | Radial | Tangential Direction | Volume | ||||
| 1 | 0 | 160 | 2 | 6.3 | 6.4 | 12.5 | 3.6 | 3.8 | 7.3 |
| 2 | 0 | 180 | 4 | 5.2 | 5.3 | 10.2 | 2.7 | 2.8 | 5.4 |
| 3 | 0 | 200 | 6 | 4.1 | 4.7 | 8.7 | 1.8 | 2.0 | 3.8 |
| 4 | 1 | 160 | 4 | 6.5 | 7.3 | 13.3 | 3.9 | 4.3 | 8.0 |
| 5 | 1 | 180 | 6 | 4.3 | 5.5 | 9.9 | 2.2 | 2.9 | 5.0 |
| 6 | 1 | 200 | 2 | 4.8 | 5.7 | 10.3 | 2.6 | 3.1 | 5.6 |
| 7 | 2 | 160 | 6 | 6.0 | 6.2 | 12.2 | 3.6 | 3.7 | 7.3 |
| 8 | 2 | 180 | 2 | 5.4 | 6.5 | 11.7 | 3.0 | 3.6 | 6.8 |
| 9 | 2 | 200 | 4 | 4.5 | 4.8 | 9.3 | 2.2 | 2.4 | 4.5 |
| Mean 1 | 5.2 | 6.267 | 5.5 | 2.7 | 3.7 | 3.067 | |||
| Mean 2 | 5.2 | 4.967 | 5.4 | 2.9 | 2.633 | 2.933 | |||
| Mean 3 | 5.3 | 4.467 | 4.8 | 2.933 | 2.2 | 2.533 | |||
| RangeRadial | 0.1 | 1.8 | 0.7 | 0.233 | 1.5 | 0.534 | |||
| Mean 1 | 5.467 | 6.633 | 6.2 | 2.867 | 3.933 | 3.5 | |||
| Mean 2 | 6.167 | 5.767 | 5.8 | 3.433 | 3.1 | 3.167 | |||
| Mean 3 | 5.833 | 5.067 | 5.467 | 3.233 | 2.5 | 2.867 | |||
| Range Rtangential | 0.7 | 1.566 | 0.733 | 0.566 | 1.433 | 0.633 | |||
| Mean 1 | 10.467 | 12.667 | 11.5 | 5.5 | 7.533 | 6.567 | |||
| Mean 2 | 11.167 | 10.6 | 10.933 | 6.2 | 5.733 | 5.967 | |||
| Mean 3 | 11.067 | 9.433 | 10.267 | 6.2 | 4.633 | 5.367 | |||
| RangeRvolume | 0.7 | 3.234 | 1.233 | 0.7 | 2.9 | 1.2 | |||
| Factor | Sum of Squares | Degree of Freedom | F Ratio | F Critical Value | p-Value | Significance |
|---|---|---|---|---|---|---|
| W | 0.02 | 2 | 1 | 19 | 0.500 | |
| H | 5.18 | 2 | 259 | 19 | 0.004 | ** |
| T | 0.86 | 2 | 43 | 19 | 0.023 | ** |
| error | 0.02 | 2 |
| Factor | Sum of Squares | Degree of Freedom | F Ratio | F Critical Value | p-Value | Significance |
|---|---|---|---|---|---|---|
| W | 0.736 | 2 | 1 | 9 | 0.500 | |
| H | 3.696 | 2 | 5.022 | 9 | 0.166 | |
| T | 0.809 | 2 | 1.099 | 9 | 0.476 | |
| error | 0.74 | 2 |
| Factor | Sum of Squares | Degree of Freedom | F Ratio | F Critical Value | p-Value | Significance |
|---|---|---|---|---|---|---|
| W | 0.86 | 2 | 1 | 9 | 0.500 | |
| H | 16.087 | 2 | 18.706 | 9 | 0.051 | * |
| T | 2.287 | 2 | 2.659 | 9 | 0.273 | |
| error | 0.86 | 2 |
| Factor | Sum of Squares | Degree of Freedom | F Ratio | F Critical Value | p-Value | Significance |
|---|---|---|---|---|---|---|
| W | 0.096 | 2 | 1 | 9 | 0.500 | |
| H | 3.576 | 2 | 37.25 | 9 | 0.026 | ** |
| T | 0.462 | 2 | 4.813 | 9 | 0.172 | |
| error | 0.1 | 2 |
| Factor | Sum of Squares | Degree of Freedom | F Ratio | F Critical Value | p-Value | Significance |
|---|---|---|---|---|---|---|
| W | 0.496 | 2 | 1 | 9 | 0.500 | |
| H | 3.109 | 2 | 6.268 | 9 | 0.138 | |
| T | 0.602 | 2 | 1.214 | 9 | 0.452 | |
| error | 0.5 | 2 |
| Factor | Sum of Squares | Degree of Freedom | F Ratio | F Critical Value | p-Value | Significance |
|---|---|---|---|---|---|---|
| W | 0.98 | 2 | 1 | 9 | 0.500 | |
| H | 12.86 | 2 | 13.122 | 9 | 0.071 | * |
| T | 2.16 | 2 | 2.204 | 9 | 0.312 | |
| error | 0.98 | 2 |
| Number | W (%) | H (°C) | T (h) | Swelling Properties Rate (%) | ||
|---|---|---|---|---|---|---|
| Radial | Tangential Direction | Volume | ||||
| 1 | 0 | 160 | 2 | 4.0 | 4.2 | 7.7 |
| 2 | 0 | 180 | 4 | 4.0 | 4.0 | 7.7 |
| 3 | 0 | 200 | 6 | 3.3 | 3.9 | 7.3 |
| 4 | 1 | 160 | 4 | 4.0 | 4.9 | 9.2 |
| 5 | 1 | 180 | 6 | 3.3 | 4.4 | 7.7 |
| 6 | 1 | 200 | 2 | 3.4 | 4.3 | 7.5 |
| 7 | 2 | 160 | 6 | 4.2 | 4.3 | 8.7 |
| 8 | 2 | 180 | 2 | 4.0 | 5.0 | 8.7 |
| 9 | 2 | 200 | 4 | 3.4 | 3.9 | 7.5 |
| Mean 1 | 3.767 | 4.067 | 3.8 | |||
| Mean 2 | 3.567 | 3.767 | 3.8 | |||
| Mean 3 | 3.867 | 3.367 | 3.6 | |||
| RangeRadial | 0.3 | 0.7 | 0.2 | |||
| Mean 1 | 4.033 | 4.467 | 4.5 | |||
| Mean 2 | 4.533 | 4.467 | 4.267 | |||
| Mean 3 | 4.4 | 4.033 | 4.2 | |||
| RangeRTangential | 0.5 | 0.434 | 0.3 | |||
| Mean 1 | 7.567 | 8.533 | 7.967 | |||
| Mean 2 | 8.133 | 8.033 | 8.133 | |||
| Mean 3 | 8.3 | 7.433 | 7.9 | |||
| RangeRvolume | 0.733 | 1.1 | 0.233 | |||
| Factor | Sum of Squares | Degree of Freedom | F Ratio | F Critical Value | p-Value | Significance |
|---|---|---|---|---|---|---|
| W | 0.14 | 2 | 1.75 | 9 | 0.364 | |
| H | 0.74 | 2 | 9.25 | 9 | 0.098 | * |
| T | 0.08 | 2 | 1 | 9 | 0.500 | |
| error | 0.08 | 2 |
| Factor | Sum of Squares | Degree of Freedom | F Ratio | F Critical Value | p-Value | Significance |
|---|---|---|---|---|---|---|
| W | 0.402 | 2 | 2.698 | 9 | 0.270 | |
| H | 0.376 | 2 | 2.523 | 9 | 0.284 | |
| T | 0.149 | 2 | 1 | 9 | 0.500 | |
| error | 0.15 | 2 |
| Factor | Sum of Squares | Degree of Freedom | F Ratio | F Critical Value | p-Value | Significance |
|---|---|---|---|---|---|---|
| W | 0.887 | 2 | 10.195 | 9 | 0.089 | * |
| H | 1.82 | 2 | 20.92 | 9 | 0.046 | ** |
| T | 0.087 | 2 | 1 | 9 | 0.500 | |
| error | 0.09 | 2 |
| Number | W (%) | H (°C) | T (h) | (g/cm3) | MOR (MPa) | MOE (MPa) | |||
|---|---|---|---|---|---|---|---|---|---|
| 12% | 12% | ||||||||
| 1 | 0 | 160 | 2 | 0.592 | 11.3 | 89.6 | 87.1 | 10122 | 10018 |
| 2 | 0 | 180 | 4 | 0.622 | 9.2 | 96.5 | 85.6 | 9493 | 9092 |
| 3 | 0 | 200 | 6 | 0.590 | 8.6 | 77.4 | 67.0 | 8272 | 7857 |
| 4 | 1 | 160 | 4 | 0.548 | 11.2 | 92.8 | 89.8 | 9762 | 9645 |
| 5 | 1 | 180 | 6 | 0.601 | 9 | 88.3 | 77.8 | 9154 | 8746 |
| 6 | 1 | 200 | 2 | 0.586 | 8.9 | 91.1 | 80.1 | 9564 | 9131 |
| 7 | 2 | 160 | 6 | 0.571 | 9.1 | 98.4 | 87.2 | 9949 | 9521 |
| 8 | 2 | 180 | 2 | 0.566 | 9.4 | 77.7 | 69.7 | 8703 | 8368 |
| 9 | 2 | 200 | 4 | 0.534 | 9.1 | 80.5 | 71.0 | 8299 | 7933 |
| Mean 1 | 79.9 | 88.033 | 78.967 | ||||||
| Mean 2 | 82.567 | 77.7 | 82.133 | ||||||
| Mean 3 | 75.967 | 72.7 | 77.333 | ||||||
| RMOR | 6.6 | 15.333 | 4.8 | ||||||
| Mean 1 | 8989 | 9728 | 9172.33 | ||||||
| Mean 2 | 9174 | 8735.33 | 8890 | ||||||
| Mean 3 | 8607.33 | 8307 | 8708 | ||||||
| RMOE | 566.667 | 1421 | 464.333 | ||||||
| Factor | Sum of Squares | Degree of Freedom | F Ratio | F Critical Value | p-Value | Significance |
|---|---|---|---|---|---|---|
| W | 66.142 | 2 | 1.851 | 9 | 0.351 | |
| H | 366.889 | 2 | 10.267 | 9 | 0.089 | * |
| T | 35.736 | 2 | 1 | 9 | 0.500 | |
| error | 35.74 | 2 |
| Factor | Sum of Squares | Degree of Freedom | F Ratio | F Critical Value | p-Value | Significance |
|---|---|---|---|---|---|---|
| W | 501005.556 | 2 | 1.525 | 9 | 0.396 | |
| H | 3188097.556 | 2 | 9.707 | 9 | 0.093 | * |
| T | 328441.556 | 2 | 1 | 9 | 0.500 | |
| error | 328441.56 | 2 |
Publisher’s Note: MDPI stays neutral with regard to jurisdictional claims in published maps and institutional affiliations. |
© 2022 by the authors. Licensee MDPI, Basel, Switzerland. This article is an open access article distributed under the terms and conditions of the Creative Commons Attribution (CC BY) license (https://creativecommons.org/licenses/by/4.0/).
Share and Cite
Xue, J.; Xu, W.; Zhou, J.; Mao, W.; Wu, S. Effects of High-Temperature Heat Treatment Modification by Impregnation on Physical and Mechanical Properties of Poplar. Materials 2022, 15, 7334. https://doi.org/10.3390/ma15207334
Xue J, Xu W, Zhou J, Mao W, Wu S. Effects of High-Temperature Heat Treatment Modification by Impregnation on Physical and Mechanical Properties of Poplar. Materials. 2022; 15(20):7334. https://doi.org/10.3390/ma15207334
Chicago/Turabian StyleXue, Jixiao, Wei Xu, Jichun Zhou, Weiguo Mao, and Shuangshuang Wu. 2022. "Effects of High-Temperature Heat Treatment Modification by Impregnation on Physical and Mechanical Properties of Poplar" Materials 15, no. 20: 7334. https://doi.org/10.3390/ma15207334
APA StyleXue, J., Xu, W., Zhou, J., Mao, W., & Wu, S. (2022). Effects of High-Temperature Heat Treatment Modification by Impregnation on Physical and Mechanical Properties of Poplar. Materials, 15(20), 7334. https://doi.org/10.3390/ma15207334
