Abstract
Geopolymers have been considered a sustainable alternative to ordinary Portland cement (CEM I) for its lower embodied carbon and ability to make use of industrial by-products. Additionally, its excellent engineering properties of high strength, low permeability, good chemical resistance, and excellent fire resistance also strike a chord in the minds of researchers. The goal of this study is to clarify the effect of calcium sources on the mechanical properties and microstructures of the geopolymers. CEM I was chosen as the sole calcium source, while metakaolin was used as the source material. Five distinct geopolymers were prepared, having various ratio of CEM I: 0%, 5%, 10%, 20%, and 30%. The alkali-activator was a mixture of 12 M sodium hydroxide (NaOH) and sodium silicate (Na2SiO3), utilizing compressive strength and flexural strength to evaluate the changes of the geopolymers’ mechanical properties. SEM, XRD, and FTIR were used to examine microscopic features, evaluate internal morphology, and analyze changes in components of the geopolymers containing different amounts of CEM I. The experimental results indicated that the optimal incorporation of CEM I was 5%. Under this dosage, the compressive strength and flexural strength of the geopolymers can reach 71.1 MPa and 6.75 MPa, respectively. With the incorporation of CEM I, the heat released by cement hydration can accelerate the geopolymerization reaction between silica-alumina materials and alkaline solutions. Additionally, the coexistence of N-A-S-H gel from components of an aluminosilicate mix and C-S-H gel from the CEM I promoted a more densified microstructure of the geopolymers and improved the geopolymer’s strength. However, as the amount of CEM I in the mixture increased, the geopolymer matrix was unable to provide enough water for the CEM I to hydrate, which prevented excessive CEM I from forming hydration products, weakening the workability of the matrix and eventually hindering the development of geopolymer strength.
1. Introduction
In recent years, the increased awareness of environmental problems and the increased need for sustainable development have made the recycling of waste a priority [1]. According to reports, 1.55 billion tons of general industrial solid waste (non-hazardous solid waste generated in production and life) and 46.40 million tons of industrial hazardous waste (solid waste with hazardous characteristics such as corrosiveness, combustibility, toxicity, etc.) were produced in 200 large and medium cities in China, which led to serious environmental issues [2]. In addition, the aggravation of the greenhouse effect has raised people’s concerns about energy conservation and emission reduction. Conventional ordinary Portland cement is one of the main contributors to global warming, emitting 2.2 Gt carbon dioxide (CO2) annually [3,4], which accounts for 5–7% of the total worldwide emissions [5,6,7]. It was reported that about 17% of the total emissions are related to the construction and building industry [8]. This will contribute to global warming and seriously hinder the achievement of carbon peak and carbon neutrality [9]. Thus, building materials desperately need new development directions.
Geopolymers are an effective solution for recycling industrial solid waste and by-products (fly ash, ground granulated blast furnace slag, metakaolin, etc.) that has received widespread attention. As an emerging binder, they were initially developed and coined by Davidovits in 1972 [10]. Geopolymers are inorganic gelling substances made from aluminosilicate source materials that have been chemically activated by a strongly alkaline solution and are preferably cured at high temperatures [11]. Additionally, the silicon-oxygen tetrahedron and aluminum-oxygen tetrahedron’s amorphous three-dimensional network structure have given geopolymers exceptional engineering qualities such as high strength, high-temperature resistance, low permeability, and high durability, among others [12,13,14]. In comparison with CEM I, geopolymers not only have better mechanical properties and durability but also a 60–80% lower carbon footprint [15]. Additionally, Heath et al. [16] found that the application of alkali-activated materials can reduce global warming by 30–40%. Undoubtedly, geopolymers have been proposed as a more environmentally friendly alternative to CEM I.
With regard to geopolymers, a great deal of research has been done by scholars. Yang et al. [17] used metakaolin (calcium-free), high-calcium fly ash, and low-calcium fly ash as precursors, examining the geopolymer concrete’s ability to resist corrosion caused by sulfuric acid when made with various precursors. They found that more gypsum crystals are generated in the high-calcium fly-ash-based specimen, sealing the specimen’s pores and prevent further acid solution erosion and giving it greater acid resistance than the other specimens. Saengsuree et al. [18] investigated how Portland cement was added to a high-calcium fly ash geopolymer to change its characteristics during the curing process. The findings showed that water curing and vapor-proof membrane curing increased CEM I hydration, which increased compressive strength. Temuujin et al. [19] examined the effects of calcium compounds on the physical properties of fly-ash-based geopolymer paste cured at ambient and elevated temperatures and demonstrated that the addition of calcium compounds as a fly ash substitute would improve the mechanical properties for the ambient temperature cured samples. Cho et al. [20] also concluded that the absence of calcium in the geopolymer mix may contribute to a longer geopolymer setting time and sometimes slow the strength gain and increased shrinkage at an early age. Thus, the calcium content of geopolymer binding material has a great impact on the durability and physical properties of the geopolymers. However, the existing studies have not been involved in the effect of calcium source on the mechanical properties and microstructures of calcium-free-based geopolymers.
In this paper, CEM I was chosen as the sole calcium source and kaolinite was prepared as a calcium-free geopolymer binding material by dehydroxylation followed by calcination thermal activation. Due to the stacked layers configuration, the metakaolin had two types (metakaolinite and metadiskaolinte). According to the density functional theory, the metakaolinite was at a water chemical potential of −2.67 eV and metadiskaolinite was at a water chemical potential of −2.319 eV. Moreover, the metakaolinite was formed by heating Al12Si12O39(OH)6 to 655 °C and releasing the remaining three hydroxyl groups. Additionally, to reach complete dihydroxylation, Al12Si12O33(OH)18 was heated to 547 °C for the final production of metadiskaolinite. The metakaolinite was chosen as the binding material in this study [21]. To clarify the effect of the calcium source on the mechanical properties and microstructures of the metakaolin-based geopolymer, the metakaolin was replaced by CEM I at rates of 0%, 5%, 10%, 20%, and 30% respectively. The mechanical properties of the geopolymers were evaluated by compressive strength and flexural strength. Additionally, SEM, XRD, and FTIR were used to examine the microscopic properties of the geopolymers containing various contents of CEM I in order to investigate the internal morphology and assess the component changes.
2. Materials and Methods
2.1. Raw Materials
Metakaolin was purchased from Gongyi, Henan Province, and P·O 42.5 Portland cement (CEM I) was produced by Jiangsu Yangzi Cement Co., Ltd. (Changzhou, China). Table 1 shows the physical properties of metakaolin and CEM I. Additionally, their chemical compositions measured by x-ray fluorescence (XRF) are given in Table 2. The reagent of sodium hydroxide (NaOH, AR) was purchased from Sinopharm Chemical Reagent Co., Ltd., Shanghai, China. Sodium silicate liquid (Na2SiO3 with 29.9 wt% SiO2, 13.75 wt% Na2O, and 56.35 wt% H2O) and distilled water were used in the experiments.
Table 1.
Physical properties of metakaolin and CEM I.
Table 2.
Chemical compositions of metakaolin and CEM I (wt%).
2.2. Mix Proportions and Preparation of Specimens
The binding materials and alkali activators were mixed in the light of the mixing proportions presented in Table 3. The alkaline activator was a 1:1.5 (by mass) mixture of sodium hydroxide (NaOH) solution and sodium silicate (Na2SiO3) solution. The NaOH solution with concentration of 12 M was prepared 24 h in advance. Specimens were prepared with alkali-activator and metakaolin under a ratio (liquid/solid) of 0.8.
Table 3.
Mixed proportion of geopolymers/(kg/m3).
Figure 1 revealed the preparation and curing process of the geopolymers. Firstly, all of the NaOH solution and binding materials were mixed and stirred for 90 s. Then, the Na2SiO3 solution was added and stirred for another 90 s. The mixes were then put into molds measuring 50 mm × 50 mm × 50 mm and 40 mm × 40 mm × 160 mm, respectively, and vibrated for 60 s to remove air bubbles. Next, the filled specimens were heat-cured at 60 °C for 48 h while being covered with hermetic bags to prevent excessive moisture loss. After reaching the heat-curing age, the specimens that had cooled for 1 h (a delay of about 1 h between demolding and heat curing was beneficial in improving the properties of the geopolymers [22,23]) were demolded and preserved in the standard curing room (20 ± 2 °C, relative humidity (RH) ≥ 95%) until the standard curing age of 7 d. It should be noted that the binding materials consisted of a mixture of metakaolin and CEM I, and the substitution rate of CEM I was 0%, 5%, 10%, 20%, and 30% respectively. Hence, the specimens were marked as G0, G5, G10, G20, and G30.
Figure 1.
Preparation and curing process of geopolymers.
2.3. Testing Methods
2.3.1. Mechanical Properties Test
The compressive strength and flexural strength of the geopolymers replaced by CEM I with different substitution rates were tested by an electro-hydraulic servo universal testing machine (YNS 300) in accordance with the Chinese Standard GB/T 50081-2019 [24]. The value of compressive strength and flexural strength is the average of three specimens.
2.3.2. Microscopic Performance Test
Using a scanning electron microscope (SEM, SUPRA55, Zeiss, Jena, Germany) at an accelerating voltage of 15 kV, the morphologies of the geopolymers replaced by CEM I at various substitution rates were examined.
By using an X-ray diffractometer (XRD, D/MAX2500, Rigaku, Tokyo, Japan), the component and crystalline phase changes of the geopolymers were examined. The settings were 40 kV of voltage, 30 mA of current, and 0.15418 nm of Cu Kα radiation.
Thermo Fisher Scientific Nicolet IS50 FT-IR (Waltham, MA, USA) analyzer techniques were used to perform Fourier transform infrared spectroscopy (FT-IR) on KBr pellets to determine the phase compositions of the geopolymers. 2.0 cm−1 and 16 cm−1 were the resolution and scanning times, respectively.
3. Results and Discussion
3.1. Compressive Strength of Geopolymer
The compressive strength of the geopolymers incorporating 0%, 5%, 10%, 20%, and 30% of CEM I is illustrated in Figure 2. As can be seen from the figure, the compressive strength of G0, G5, G10, G20, and G30 was 63.5 MPa, 71.1 MPa, 61.5 MPa, 57.6 MPa, and 53.9 MPa, respectively. The compressive strength of the geopolymers rose by 12% in comparison to the pure metakaolin-based geopolymer when CEM I was substituted for metakaolin at a rate of 5%. On the one hand, this may be due to the fact that the reaction between CEM I and water in alkali solution was an exothermal process at room temperature, and the heat that was produced to promote the full dissolution of silicon aluminum raw materials, accelerate the process of the geopolymerization reaction, and form a denser three-dimensional network structure, resulting in the enhancement of the compressive strength of the geopolymers [18]. On the other hand, it may be due to the mutual presence of C-S-H gel from the CEM I and N-A-S-H gel from aluminosilicate mix constituents, promoting the more densified microstructure of the geopolymers [25,26], which is presented in Figure 3.
Figure 2.
Compressive strength of the geopolymers containing different proportions of CEM I.
Figure 3.
The co-existence of C-S-H gel and N-A-S-H gel in the geopolymers.
However, as the substitution rate of CEM I increased, the compressive strength of the geopolymers appeared to decline. The compressive strength of G10, G20, and G30 was individually reduced by 3%, 9%, and 15%, in comparison to the specimen of G0. From a macro point of view, the decrease in compressive strength was mainly due to the decreased workability of the matrix with regard to using a higher CEM I ratio. From a microscopic point of view, the poor compressive strength development of the aluminosilicate geopolymer incorporating a higher content of cement was due to the fact that the removal of available Si from the solution preferentially by the geopolymerization, which was faster than the hydration of the cement minerals, delayed the formation of C-S-H [27]. Therefore, the optimal substitution rate for CEM I is 5%, at which point the geopolymers have the highest compressive strength.
3.2. Flexural Strength of Geopolymers
Figure 4 reveals the flexural strength of the geopolymers incorporated 0%, 5%, 10%, 20%, and 30% of CEM I. Overall, the geopolymers’ flexural strength exhibited an ascending followed by a descending tendency. As a reference group (G0), the flexural strength of the geopolymers was 6.55 MPa. With the incorporation of CEM I, the flexural strength of the geopolymers has changed accordingly. Additionally, the flexural strength of G5, G10, G20, and G30 was 6.75 MPa, 6.3 MPa, 5.9 MPa, and 3.15 MPa. Compared with the reference group, the flexural strength of G5 increased by 3.1%. The presence of an additional calcium source is the reason for the increase in the flexural strength of the geopolymers. The calcium element that was present in the CEM I would react with water to generate extra C-S-H and C-A-S-H, which coexisted with geopolymer products (N-A-S-H) [28] and contributed to the strength growth of the geopolymers.
Figure 4.
Flexural strength of geopolymers containing different proportions of CEM I.
On the contrary, the flexural strength of G10, G20, and G30 decreased by 3.8%, 9.9%, and 51.9%, respectively, in comparison to the specimen of G0. Additionally, the rate of the geopolymers’ flexural strength declined faster as the cement content rose. This was due to the fact that the geopolymer matrix was unable to supply more water for the CEM I hydration reaction, which prevented excessive CEM I from producing hydration products and hindered the growth of the strength of the geopolymers. It was consistent with the results in compressive strength. Therefore, 5% replacement is the ideal rate for the geopolymers to improve their flexural strength.
3.3. SEM Analysis
Figure 5 presents the micro-morphologies of the geopolymers containing different proportions of CEM I. The microstructure of G0 was relatively dense, and only a few microcracks were visible, as can be seen in Figure 5a. Additionally, the geopolymerization of alkali-activated materials resulted in sodium aluminate silicate gels with a strong cross-linked molecular structure formed in the geopolymers, which was the cause of the specimens’ dense internal structure. With the incorporation of CEM I, the hydration reaction of cement also occurred, and the calcium-based hydrated product (C-S-H) was formed in the specimens, as can be seen in Figure 5a–d. The coexistence of C-S-H and the geopolymer product N-A-S-H was found in Figure 5b. Additionally, the coexistence of C-S-H and N-A-S-H could effectively improve the mechanical properties of the specimens [26], consistent with the former results of the mechanical properties.

Figure 5.
SEM of the geopolymers containing different proportions of CEM I: (a) G0; (b) G5; (c) G10; (d) G20; and (e) G30.
As the CEM I content incorporated into the geopolymers increased, the density of the microstructure of the geopolymers decreased along with more cracks and voids appearing. In comparison to other geopolymer specimens, the microstructure of G30 was unmistakably deteriorated when the substitution rate of CEM I reached 30%. Moreover, the unreacted CEM I particles were also observed in Figure 5c–e. It can be explained that the incomplete hydration reaction of CEM I occurred in the geopolymers. The white precipitate of calcium carbonate (CaCO3) was visible in Figure 5e, which was attributed to the reaction between calcium hydroxide (Ca(OH)2) and carbon dioxide in the air [29].
3.4. XRD Analysis
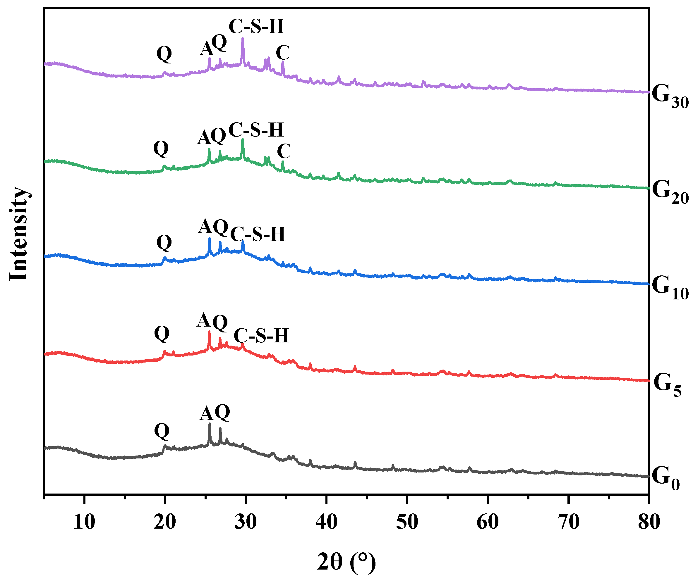
The XRD patterns of the geopolymers containing different proportions of CEM I are revealed in Figure 6. Anatase, quartz, and calcite are the major crystal mineral diffraction peaks in the XRD spectra of the five specimens. As can be seen from the figure, the broad diffuse humps of the geopolymers are at around 2θ = 20°–35°. This is caused by the formation of amorphous aluminosilicate, the main binder phase in the geopolymer matrix, giving the material outstanding mechanical characteristics [30,31]. Comparing the patterns of the different geopolymers, it can be found that though the diffraction peak of quartz could still be detected in the geopolymers, the peak strength decreased gradually with the addition of CEM I. This indicated that the incorporation of CEM I can promote the geopolymerization reaction between silica-alumina materials and alkaline solutions [19]. With more CEM I incorporated into the mixture, the peak strength of anatase decreased, indicating that the content of metakaolin had decreased. The abundant active calcium components existed in CEM I, contributing to the occurrence of the hydration reaction of cement. A significant amount of heat energy was released during this reaction, accelerating the process of geopolymerization and ultimately improving the mechanical characteristics of the geopolymers [32,33]. The geopolymers incorporating cement were found to contain the ordered calcium silicate hydrate (C-S-H), proving that the CEM I’s constituent parts had been dissolved and taken part in the alkali activation reaction.
Figure 6.
XRD patterns of the geopolymers containing 0% CEM I (G0), 5% CEM I (G5), 10% CEM I (G10), 20% CEM I (G20), and 30% CEM I (G30). (A: anatase; Q: quartz; C: calcite; and C-S-H: hydrated calcium silicate).
In addition, the calcite was detected in the spectrum of G20 and G30. This can be explained by the fact that CEM I has a lot of active calcium components (60.67%); therefore when it was combined with the geopolymer, the water from the alkaline solution would react with the calcium-rich phase to break the Ca-O link and form Ca2+ [34]. After that, the Ca(OH)2 absorbed the carbon dioxide in the air to produce calcium carbonate, which would negatively affect the structure of the geopolymers and restrict the development of strength. This was consistent with the former analysis.
3.5. FT-IR Analysis
Figure 7 presents the FTIR spectra of the geopolymers containing different proportions of CEM I. The bands found at 3446–3453 cm−1 and 1649–1657 cm−1 were attributed to asymmetric/symmetric stretching vibrations of O-H and H-O-H groups in bound water [35], showing that the water molecules were adsorbed on the surface or immersed in pores during geopolymerization [36], according to the results of the FTIR spectra. The band detected at 1005–1015 cm−1 was attributed to the tensile vibration of Si-O-T (T = Si or Al). Additionally, it was the consequence of the development of an amorphous N-A-S-H gel network [37]. With the incorporation of CEM I, the spectral band of the geopolymers shifted accordingly. When the substitution rate of CEM I was 5%, the spectral band of the geopolymers moved to higher wavenumbers compared with G0, indicating that the gels formed by geopolymerization had obtained a higher degree of cross-linking. However, when more content of CEM I was added to the geopolymers, the spectral bands of the geopolymers moved to lower wavenumbers, manifesting the lower degree of cross-linking of the gels in the geopolymers. The bending vibration of Si-O-Si was assigned based on the band at 449–455 cm−1, reflecting the gel phase structure in the geopolymers [38], on account of the fact that the amorphous N-A-S-H gel is the key to ensuring the strength of the geopolymers [39]. Thereby, the 5% content of CEM I was beneficial to improve the strength of the geopolymers, while a larger CEM I incorporation was detrimental to the strength development of the geopolymers. This was consistent with the results obtained in the previous section.
Figure 7.
FTIR spectra of geopolymers containing 0% CEM I (G0), 5% CEM I (G5), 10% CEM I (G10), 20% CEM I (G20), and 30% CEM I (G30).
4. Conclusions
To clarify the effects of the calcium source on the mechanical properties and microstructures of the geopolymers, CEM I was chosen as the sole calcium source to replace metakaolin at rates of 0%, 5%, 10%, 20%, and 30%. The alkali-activator was a mixture of 12 M NaOH and Na2SiO3. The compressive strength and flexural strength were used to measure the mechanical properties of the geopolymers. SEM, XRD, and FTIR were used to characterize the microstructure of the geopolymers. The main conclusions can be summarized as follows:
- (1)
- The optimal incorporation of CEM I was 5%, which would endow geopolymer (G5) with better mechanical properties and a denser internal structure than the pure metakaolin-based geopolymer (G0). The compressive strength and flexural strength of G5 can reach 71.1 MPa and 6.75 MPa, respectively.
- (2)
- The heat released by cement hydration can accelerate the process of geopolymerization. Additionally, the co-existence of the hydration reaction product (C-S-H gel) and the geolpolymerization reaction product (N-A-S-H gel) was beneficial to the development of the geopolymers’ strength. This can be explained by the XRD study, which showed that the peak strength gradually dropped after CEM I was added, showing that CEM I can facilitate the geopolymerization process between silica-alumina materials and alkaline solutions.
- (3)
- With the increase in the content of CEM I, the geopolymer matrix was unable to supply more water for the hydration reaction of CEM I, which prevented excessive CEM I from producing hydration products, weakened the workability of the matrix, and eventually hindered the growth of geopolymer strength. In light of the spectra of FT-IR, as more content of CEM I was added into the geopolymers, the spectral bands of the geopolymers moved to lower wavenumbers, indicating the lower degree of cross-linking of gels in the geopolymers.
Author Contributions
Conceptualization, W.Y.; Methodology, R.G. and M.H.; Software, M.H.; Validation, R.G. and Q.D.; Formal analysis, R.G.; Investigation, Z.D., Q.D. and M.H.; Resources, H.L.; Writing—original draft, W.Y.; Writing—review & editing, Z.D.; Supervision, H.L.; Project administration, W.Y.; Funding acquisition, W.Y., Z.D. and H.L. All authors have read and agreed to the published version of the manuscript.
Funding
This research was funded by the National Natural Science Foundation of China (No. 52008046), the Natural Science Foundation of Jiangsu Higher Education Institutions of China (Grant No. 19KJB560007), and the Fundamental Research Funds for the Central Universities (No. 20224YB08).
Institutional Review Board Statement
Not applicable.
Informed Consent Statement
Not applicable.
Data Availability Statement
Not applicable.
Conflicts of Interest
The authors declare no conflict of interest.
References
- Guerrero, L.A.; Maas, G.; Hogland, W. Solid waste management challenges for cities in developing countries. Waste Manag. 2013, 33, 220–232. [Google Scholar] [CrossRef] [PubMed]
- Ren, B.; Zhao, Y.; Bai, H.; Kang, S.; Zhang, T.; Song, S. Eco-friendly geopolymer prepared from solid wastes: A critical review. Chemosphere 2021, 267, 128900. [Google Scholar] [CrossRef] [PubMed]
- Hassan, H.S.; Abdel-Gawwad, H.A.; Vásquez-García, S.R.; Israde-Alcántara, I.; Flores-Ramirez, N.; Rico, J.L.; Mohammed, M.S. Cleaner production of one-part white geopolymer cement using pre-treated wood biomass ash and diatomite. J. Clean. Prod. 2019, 209, 1420–1428. [Google Scholar] [CrossRef]
- Tomatis, M.; Jeswani, H.K.; Stamford, L.; Azapagic, A. Assessing the environmental sustainability of an emerging energy technology: Solar thermal calcination for cement production. Sci. Total Environ. 2020, 742, 140510. [Google Scholar] [CrossRef] [PubMed]
- Gu, K.; Jin, F.; Al-Tabbaa, A.; Shi, B.; Liu, J. Mechanical and hydration properties of ground granulated blastfurnace slag pastes activated with MgO–CaO mixtures. Constr. Build. Mater. 2014, 69, 101–108. [Google Scholar] [CrossRef]
- Meyer, C. The greening of the concrete industry. Cem. Concr. Compos. 2009, 31, 601–605. [Google Scholar] [CrossRef]
- Xinjie, W.; Wei, Y.; Hui, L.I.U.; Pinghua, Z.H.U.; Ningwen, Z.; Jincai, F. Strength and Microstructural Analysis of Geopolymer Prepared with Recycled Geopolymer Powder. J. Wuhan Univ. Technol. Sci. 2021, 36, 439–445. [Google Scholar]
- Akbarnezhad, A.; Huan, M.; Mesgari, S.; Castel, A. Recycling of geopolymer concrete. Constr. Build. Mater. 2015, 101, 152–158. [Google Scholar] [CrossRef]
- Lee, C.-C.; Hussain, J. Carbon neutral sustainability and green development during energy consumption. Innov. Green Dev. 2022, 1, 100002. [Google Scholar] [CrossRef]
- Rao, F.; Liu, Q. Geopolymerization and Its Potential Application in Mine Tailings Consolidation: A Review. Miner. Process. Extr. Metall. Rev. 2015, 36, 399–409. [Google Scholar] [CrossRef]
- Almutairi, A.L.; Tayeh, B.A.; Adesina, A.; Isleem, H.F.; Zeyad, A.M. Potential applications of geopolymer concrete in construction: A review. Case Stud. Constr. Mater. 2021, 15, e00733. [Google Scholar] [CrossRef]
- Hu, S.; Zhong, L.; Yang, X.; Bai, H.; Ren, B.; Zhao, Y.; Zhang, W.; Ju, X.; Wen, H.; Mao, S.; et al. Synthesis of rare earth tailing-based geopolymer for efficiently immobilizing heavy metals. Constr. Build. Mater. 2020, 254, 119273. [Google Scholar] [CrossRef]
- Wan, Q.; Rao, F.; Song, S.; García, R.E.; Estrella, R.M.; Patiño, C.L.; Zhang, Y. Geopolymerization reaction, microstructure and simulation of metakaolin-based geopolymers at extended Si/Al ratios. Cem. Concr. Compos. 2017, 79, 45–52. [Google Scholar] [CrossRef]
- Zaidi, F.H.A.; Ahmad, R.; Abdullah, M.M.a.; Rahim, S.Z.A.; Yahya, Z.; Li, L.Y. Ediati, Geopolymer as underwater concreting material: A review. Constr. Build. Mater. 2021, 291, 123276. [Google Scholar] [CrossRef]
- Benhelal, E.; Zahedi, G.; Shamsaei, E.; Bahadori, A. Global strategies and potentials to curb CO2 emissions in cement industry. J. Clean. Prod. 2013, 51, 142–161. [Google Scholar] [CrossRef]
- Heath, A.; Paine, K.; McManus, M. Minimising the global warming potential of clay based geopolymers. J. Clean. Prod. 2014, 78, 75–83. [Google Scholar] [CrossRef]
- Yang, W.; Zhu, P.; Liu, H.; Wang, X.; Ge, W.; Hua, M. Resistance to Sulfuric Acid Corrosion of Geopolymer Concrete Based on Different Binding Materials and Alkali Concentrations. Materials 2021, 14, 7109. [Google Scholar] [CrossRef]
- Pangdaeng, S.; Phoo-ngernkham, T.; Sata, V.; Chindaprasirt, P. Influence of curing conditions on properties of high calcium fly ash geopolymer containing Portland cement as additive. Mater. Des. 2014, 53, 269–274. [Google Scholar] [CrossRef]
- Temuujin, J.; van Riessen, A.; Williams, R. Influence of calcium compounds on the mechanical properties of fly ash geopolymer pastes. J. Hazard. Mater. 2009, 167, 82–88. [Google Scholar] [CrossRef] [PubMed]
- Cho, Y.-K.; Yoo, S.-W.; Jung, S.-H.; Lee, K.-M.; Kwon, S.-J. Effect of Na2O content, SiO2/Na2O molar ratio, and curing conditions on the compressive strength of FA-based geopolymer. Constr. Build. Mater. 2017, 145, 253–260. [Google Scholar] [CrossRef]
- Izadifar, M.; Thissen, P.; Steudel, A.; Kleeberg, R.; Kaufhold, S.; Kaltenbach, J.; Schuhmann, R.; Dehn, F.; Emmerich, K. Comprehensive Examination of Dehydroxylation of Kaolinite, Disordered Kaolinite, and Dickite: Experimental Studies and Density Functional Theory. Clays Clay Miner. 2020, 68, 319–333. [Google Scholar] [CrossRef]
- Noushini, A.; Castel, A. The effect of heat-curing on transport properties of low-calcium fly ash-based geopolymer concrete. Constr. Build. Mater. 2016, 112, 464–477. [Google Scholar] [CrossRef]
- Mesgari, S.; Akbarnezhad, A.; Xiao, J.Z. Recycled geopolymer aggregates as coarse aggregates for Portland cement concrete and geopolymer concrete: Effects on mechanical properties. Constr. Build. Mater. 2020, 236, 117571. [Google Scholar] [CrossRef]
- GB/T 50081-2019; Standard Test Methods for Physical and Mechanical Properties of Concrete. China Building Industry Press: Beijing, China, 2019.
- Revathi, V. Durability studies in alkaline activated systems (metakaolin–bottom ash): A prospective study. Boletín Soc. Española Cerámica Vidr. 2021, 305, 16. [Google Scholar] [CrossRef]
- Tailby, J.; MacKenzie, K.J.D. Structure and mechanical properties of aluminosilicate geopolymer composites with Portland cement and its constituent minerals. Cem. Concr. Res. 2010, 40, 787–794. [Google Scholar] [CrossRef]
- Garcia-Lodeiro, I.; Donatello, S.; Fernández-Jiménez, A.; Palomo, Á. Hydration of hybrid alkaline cement containing a very large proportion of fly ash: A descriptive model. Materials 2016, 9, 605. [Google Scholar] [CrossRef]
- Somna, K.; Jaturapitakkul, C.; Kajitvichyanukul, P.; Chindaprasirt, P. NaOH-activated ground fly ash geopolymer cured at ambient temperature. Fuel 2011, 90, 2118–2124. [Google Scholar] [CrossRef]
- Yip, C.K.; Lukey, G.C.; van Deventer, J.S.J. The coexistence of geopolymeric gel and calcium silicate hydrate at the early stage of alkaline activation. Cem. Concr. Res. 2005, 38, 3851–3860. [Google Scholar] [CrossRef]
- Rahier, H.; Simons, W.; van Mele, B. Biesemans, Low-temperature synthesized aluminosilicate glasses: Part III Influence of the composition of the silicate solution on production, structure and properties. J. Mater. Sci. 1997, 32, 2237–2247. [Google Scholar] [CrossRef]
- Li, Z.; Zhang, S.; Zuo, Y.; Chen, W.; Ye, G. Chemical deformation of metakaolin based geopolymer. Cem. Concr. Res. 2019, 120, 108–118. [Google Scholar] [CrossRef]
- Lee, W.K.W.; van Deventer, J.S.J. The effect of ionic contaminants on the early-age properties of alkali-activated fly ash-based cements. Cem. Concr. Res. 2002, 32, 577–584. [Google Scholar] [CrossRef]
- Van Deventer, J.S.J.; Provis, J.L.; Duxson, P.; Lukey, G.C. Reaction mechanisms in the geopolymeric conversion of inorganic waste to useful products. J. Hazard. Mater. 2007, 139, 506–513. [Google Scholar] [CrossRef] [PubMed]
- Huo, W.; Zhu, Z.; Zhang, J.; Kang, Z.; Pu, S.; Wan, Y. Utilization of OPC and FA to enhance reclaimed lime-fly ash macadam based geopolymers cured at ambient temperature. Constr. Build. Mater. 2021, 303, 124378. [Google Scholar] [CrossRef]
- Papa, E.; Medri, V.; Kpogbemabou, D.; Morinière, V.; Laumonier, J.; Vaccari, A.; Rossignol, S. Porosity and insulating properties of silica-fume based foams. Energy Build. 2016, 131, 223–232. [Google Scholar] [CrossRef]
- Lee, N.K.; Lee, H.K. Influence of the slag content on the chloride and sulfuric acid resistances of alkali-activated fly ash/slag paste. Cem. Concr. Compos. 2016, 72, 168–179. [Google Scholar] [CrossRef]
- Zhang, W.; Yao, X.; Yang, T.; Zhang, Z. The degradation mechanisms of alkali-activated fly ash/slag blend cements exposed to sulphuric acid. Constr. Build. Mater. 2018, 186, 1177–1187. [Google Scholar] [CrossRef]
- Ding, Y.-C.; Cheng, T.-W.; Dai, Y.-S. Application of geopolymer paste for concrete repair. Struct. Concr. 2017, 18, 561–570. [Google Scholar] [CrossRef]
- Fu, Q.; Xu, W.; Zhao, X.; Bu, M.; Yuan, Q.; Niu, D. The microstructure and durability of fly ash-based geopolymer concrete: A review. Ceram. Int. 2021, 47, 29550–29566. [Google Scholar] [CrossRef]
Publisher’s Note: MDPI stays neutral with regard to jurisdictional claims in published maps and institutional affiliations. |
© 2022 by the authors. Licensee MDPI, Basel, Switzerland. This article is an open access article distributed under the terms and conditions of the Creative Commons Attribution (CC BY) license (https://creativecommons.org/licenses/by/4.0/).







