Periodontal Tissue as a Biomaterial for Hard-Tissue Regeneration following bmp-2 Gene Transfer
Abstract
1. Introduction
2. Materials and Methods
2.1. Preparation of bmp-2 Gene Expression Plasmids
2.2. Gene Transfer to Rat Periodontal Tissue
2.3. Bone Double Staining
2.4. Bone Morphometric Analyses
2.5. Collagen Orientation Analyses
3. Results
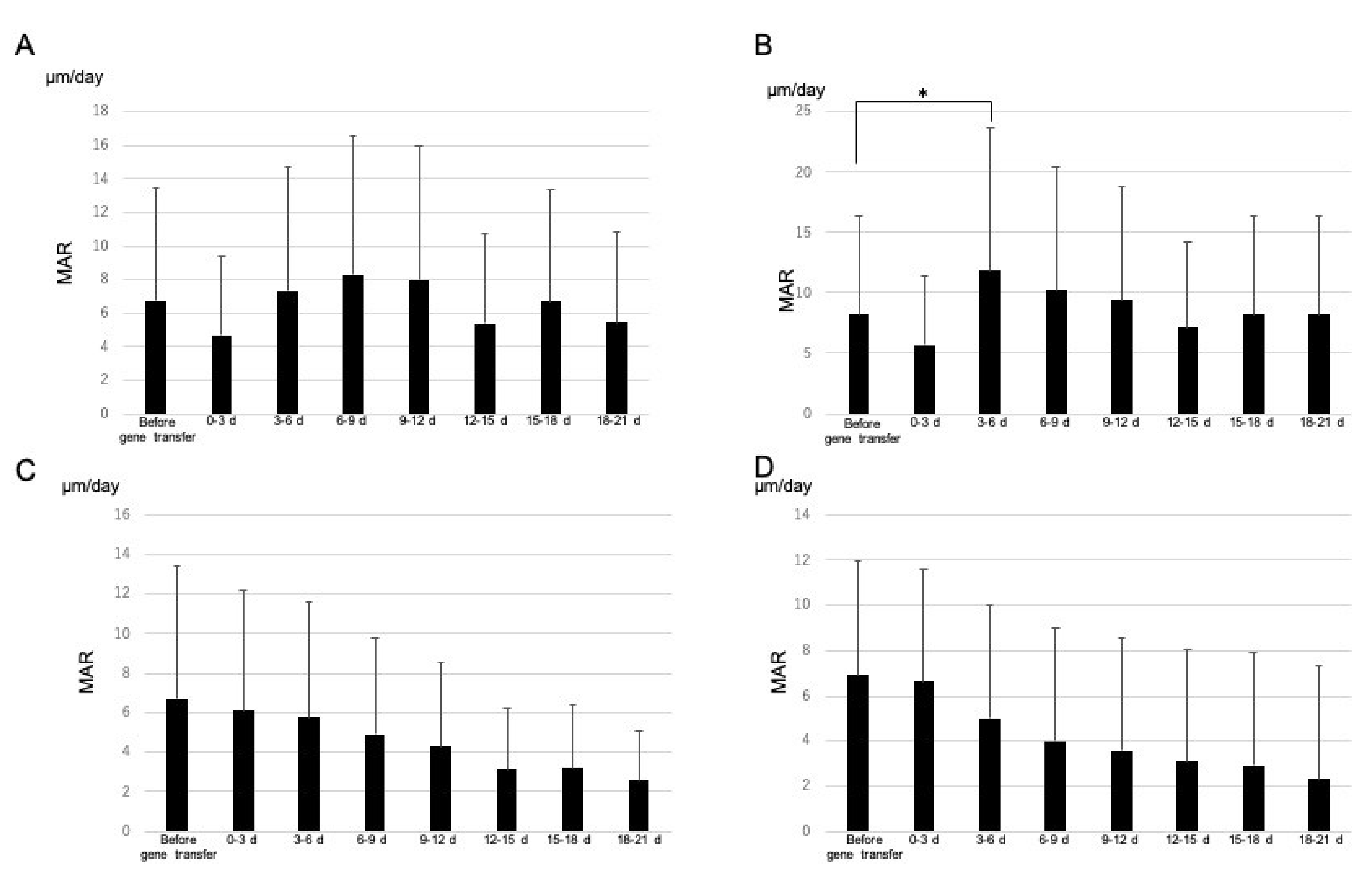
3.1. Bone Labeling and Mineral Apposition Rate (MAR)
3.2. Collagen Fiber Orientation
4. Discussion
5. Conclusions
Author Contributions
Funding
Institutional Review Board Statement
Informed Consent Statement
Conflicts of Interest
References
- Lekic, P.; McCulloch, C.A. Periodontal ligament cell population: The central role of fibroblasts in creating a unique tissue. Anat. Rec. 1996, 245, 327–341. [Google Scholar] [CrossRef]
- Uccelli, A.; Moretta, L.; Pistoia, V. Mesenchymal stem cells in health and disease. Nat. Rev. Immunol. 2008, 8, 726–736. [Google Scholar] [CrossRef] [PubMed]
- Han, J.; Menicanin, D.; Gronthos, S.; Bartold, P.M. Stem cells, tissue engineering and periodontal regeneration. Aust. Dent. J. 2014, 59, 117–130. [Google Scholar] [CrossRef] [PubMed]
- Xu, X.Y.; Li, X.; Wang, J.; He, X.T.; Sun, H.H.; Chen, F.M. Concise review: Periodontal tissue regeneration using stem cells: Strategies and translational considerations. Stem Cells Transl. Med. 2019, 8, 392–403. [Google Scholar] [CrossRef] [PubMed]
- Polimeni, G.; Xiropaidis, A.V.; Wikesjow, U.M.E. Biology and principles of periodontal wound healing/regeneration. Periodontol 2000 2006, 41, 30–47. [Google Scholar] [CrossRef] [PubMed]
- D’Ercole, S.; S’ Addazio, G.; Lodovico, D.S.; Traini, T.; Giulio, D.M.; Sinjari, B. Porphyromonas Gingivalis Load is alanced by 0.20% chlorhexidine gel. A randomized, double-blind, controlled, microbiological and immunehistochemiscal human study. J. Clin. Med. 2020, 9, 284. [Google Scholar] [CrossRef] [PubMed]
- Trubiani, O.; Pissicannella, J.; Caputi, S.; Marchisio, M.; Mazzon, E.; Paganelli, R.; Diomede, F. Periodontal ligament stem cells: Current knowledge and future perspectives. Stem Cells Dev. 2019, 28, 995–1003. [Google Scholar] [CrossRef]
- Andrei, M.; Dinischiotu, A.; Didilescu, C.A.; Ionita, D.; Demetrescu, I. Periodontal materials and cell biology for guided tissue and bone regeneration. Ann. Anat. 2018, 216, 164–169. [Google Scholar] [CrossRef]
- Tomokiyo, A.; Wada, N.; Maeda, H. Periodontal ligament stem cells: Regenerative potency in periodontium. Stem Cells Dev. 2019, 28, 974–985. [Google Scholar] [CrossRef]
- Bessho, K.; Carnes, D.L.; Cabin, R.; Ong, L. Experimental studies on bone induction using low-molecular-weight poly (DL-lactide-co-glycolide) as a carrier for recombinant human bone morphogenetic protein-2. J. Biomed. Mater. Res. 2002, 61, 61–65. [Google Scholar] [CrossRef]
- Carreira, A.C.; Alves, G.G.; Zambussi, W.F.; Sogayar, M.C.; Granjeire, J.M. Bone morphogenetic proteins: Structure, biological function and therapeutic applications. Arch. Biochem. Biophys. 2014, 561, 64–73. [Google Scholar] [CrossRef] [PubMed]
- Hussain, A.; Takahashi, K.; Sonobe, J.; Tabata, Y.; Bessho, K. Bone regeneration of rat calvarial defect by magnesium calcium phosphate gelatin scaffolds with or without bone morphogenetic protein-2. J. Maxillofac. Oral Surg. 2014, 13, 29–35. [Google Scholar] [CrossRef] [PubMed][Green Version]
- Tannoury, C.A.; An, H.S. Complications with the use of bone morphogenetic protein 2 (BMP-2) in spine surgery. Spine 2014, 14, 552–559. [Google Scholar] [CrossRef]
- Bibbo, C.; Nelson, J.; Ehrlich, D.; Rougeux, B. Bone morphogenetic proteins: Indications and uses. Clin. Podiatr. Med. Surg. 2015, 32, 35–43. [Google Scholar] [CrossRef] [PubMed]
- Agarwal, R.; Garcia, A.J. Biomaterial strategies for engineering implants for enhanced osseointegration and bone repair. Adv. Drug Deliv. Rev. 2015, 94, 53–62. [Google Scholar] [CrossRef] [PubMed]
- Poon, B.; Kha, T.; Tran, S.; Dass, C.R. Bone morphogenetic protein-2 and bone therapy: Success and pitfalls. J. Pharm. Pharmacol. 2016, 68, 139–147. [Google Scholar] [CrossRef]
- Lin, D.; Chai, Y.; Ma, Y.; Duan, Y.; Yuan, Y.; Liu, C. Rapid initiation of guided bone regeneration driven by spatiotemporal delivery of IL-8 and BMP-2 from hierarchical MBG-based scaffold. Biomaterials 2017, 196, 122–137. [Google Scholar] [CrossRef]
- Niu, H.; Ma, Y.; Wu, G.; Duan, B.; Wang, Y.; Yuan, Y.; Liu, C. Multicellularity-interweaved bone regeneration of BMP-2-loaded scaffold with orchestrated kinetics of resorption and osteogenesis. Biomaterials 2019, 216, 119216. [Google Scholar] [CrossRef]
- Notodihardjo, F.Z.; Kakudo, N.; Kushida, S.; Suzuki, K.; Kusumoto, K. Bone regeneration with BMP-2 and hydroxyapatite in critical-size calvarial defects in rats. J. Craniomaxillofac. Surg. 2012, 40, 287–291. [Google Scholar] [CrossRef]
- Choi, J.W.; Jeong, W.S.; Yang, S.J.; Park, E.J.; Oh, T.S.; Koh, K.S. Appropriate and effective dosage of BMP-2 for the ideal regeneration of calvarial bone defects in beagles. Plast. Reconstr. Surg. 2016, 138, 64–72. [Google Scholar] [CrossRef]
- Kusumoto, K.; Bessho, K.; Fujimura, K.; Konishi, Y.; Ogawa, Y.; Iizuka, T. Self-regenerating bone implant: Ectopic osteoinduction following intramuscular implantation of a combination of rhBMP-2, atelopeptide type I collagen and porous hydroxyapatite. J. Craniomaxillofac. Surg. 1996, 24, 360–365. [Google Scholar] [CrossRef]
- Wang, J.; Li, D.; Li, T.; Ding, J.; Liu, B.; Chen, X. Gelatin tight-coated poly (lactide-coglycolide) scaffold incorporating rhBMP-2 for bone tissue engineering. Materials 2015, 10, 1009–1026. [Google Scholar] [CrossRef] [PubMed]
- Mikai, A.; Ono, M.; Tosa, I.; Nguyen, H.T.T.; Hara, E.S.; Nosho, S.; Kimura-Ono, A.; Takarada, T.; Kuboki, T.; Oohashi, T. BMP-2/beta-TCP local delivery for bone regeneration in MRONJ-like mouse model. Int. J. Mol. Sci. 2020, 21, 7028. [Google Scholar] [CrossRef] [PubMed]
- Lee, J.; Yun, J.; Kim, K.H.; Koo, K.T.; Seol, Y.J.; Lee, Y.M. Periodontal regeneration using recombinant human bone morphogenetic protein-2 and bilayer collagen matrix. J. Craniofac. Surg. 2020, 31, 1602–1607. [Google Scholar] [CrossRef]
- Carragee, E.J.; Chu, G.; Rohatgi, R.; Hurwits, E.L.; Weiner, B.K.; Yoon, S.T.; Comer, G.; Kopjar, B. Cancer risk after use of recombinant bone morphogenetic protein-2 for spinal arthrodesis. J. Bone Jt. Surg. Am. 2013, 95, 1537–1545. [Google Scholar] [CrossRef]
- Kawai, M.; Bessho, K.; Kaihara, S.; Sonobe, J.; Oda, K.; Iizuka, T.; Maruyama, H. Ectopic bone formation by human bone morphogenetic protein-2 gene transfer to skeletal muscle using transcutaneous electroporation. Hum. Gene Ther. 2003, 14, 1547–1556. [Google Scholar] [CrossRef] [PubMed]
- Kawai, M.; Bessho, K.; Maruyama, H.; Miyazaki, J.; Yamamoto, T. Human BMP-2 gene transfer using transcutaneous in vivo electroporation induced both intramembranous and endochondral ossification. Anat. Rec. A Discov. Mol. Cell. Evol. Biol. 2005, 287, 1264–1271. [Google Scholar] [CrossRef] [PubMed]
- Kawai, M.; Bessho, K.; Maruyama, H.; Miyazaki, J.; Yamamoto, Y. Simultaneous gene transfer of bone morphogenetic protein (BMP)-2 and BMP-7 by in vivo electroporation induces rapid bone formation and BMP-4 expression. BMC Musculoskelet. Disord. 2006, 7, 62. [Google Scholar] [CrossRef] [PubMed]
- Kawai, M.; Maruyama, H.; Bessho, K.; Yamamoto, H.; Miyazaki, J.I.; Yamamoto, T. Simple strategy for bone regeneration with a BMP-2/7 gene expression cassette vector. Biochem. Biophys. Res. Commun. 2009, 390, 1012–1017. [Google Scholar] [CrossRef] [PubMed]
- Niwa, H.; Yamamura, K.; Miyazaki, J. Efficient selection for high-expression transfectants with novel eukaryotic vector. Gene 1991, 108, 193–199. [Google Scholar]
- Israel, D.I.J.; Nove, T.; Kern, K.M.; Kaufman, R.J.; Rosen, V.; Cox, K.A.; Wozney, J.M. Heterodimeric bone morphohenetic proteins sow enhanced actibities in vitro and in vivo. Growth Factors 1996, 13, 291–300. [Google Scholar] [CrossRef] [PubMed]
- Kawai, M.; Kataoka, Y.; Sonobe, J.; Yamamoto, H.; Inubushi, M.; Ishimoto, T.; Nakano, T.; Maruyama, H.; Miyazaki, J.; Yamamoto, T.; et al. Non-surgical model for alveolar bone regeneration by bone morphogenetic protein-2/7 gene therapy. J. Periodontol. 2018, 89, 85–92. [Google Scholar] [CrossRef] [PubMed]
- Gomes-Ferreira, P.H.; Okamoto, R.; Ferreira, S.; De Okiveira, D.; Momesso, G.A.; Faverani, L.P. Scientific evidence on the use of recombinant human bone morphogenetic protein-2 (rhBMP-2) in oral and maxillofacial surgery. Oral Maxillofac. Surg. 2016, 20, 223–232. [Google Scholar] [CrossRef] [PubMed]
- Herfold, A.S. The use of recombinant human bone morphogenetic protein-2 (rhBMP-2) in maxillofacial trauma. Clin. J. Traumatol. 2017, 20, 1–3. [Google Scholar] [CrossRef] [PubMed]
- Nakano, T.; Kaibara, K.; Tabata, Y.; Nagata, N.; Enomoto, S.; Marukawa, E.; Umakoshi, Y. Unique alignment and texture of biological apatite crystallites in typical calcified tissues analyzed by micro-beam X-ray diffractometer system. Bone 2002, 31, 479–487. [Google Scholar] [CrossRef]
- Ishimoto, T.; Nakano, T.; Umakoshi, Y.; Yamamoto, M.; Tabata, Y. Degree of biological apatite c-axis orientation rather than bone mineral density controls mechanical function in bone regenerated using recombinant bone morphogenetic protein-2. J. Bone Miner. Res. 2013, 28, 1170–1179. [Google Scholar] [CrossRef]
- Ozasa, R.; Matsugaki, A.; Matsuzaka, T.; Ishimoto, T.; Yun, H.S.; Nakano, T. Superior alignment of human iPSC-osteoblasts associated with focal adhesion formation stimulated by oriented collagen scaffold. Int. J. Mol. Sci. 2021, 22, 6232. [Google Scholar] [CrossRef]
- Frost, M. Tetracycline-based histological analysis of bone remodeling. Calcif. Tissue Res. 1969, 3, 211–237. [Google Scholar] [CrossRef]
- Hsieh, Y.D.; Devlin, H.; Roberts, C. Early alveolar ridge osteogenesis following tooth eztraction in the rat. Archs. Oral Bol. 1994, 39, 425–428. [Google Scholar] [CrossRef]
- Chen, H.; Xu, X.; Liu, M.; Zhang, W.; Ke, H.; Qin, A.; Tang, T.; Lu, E. Sclerostin antibody treatment causes greater alveolar crest height and bone mass in an ovariectomized rat model of localized periodontitis. Bone. 2015, 76, 141–148. [Google Scholar] [CrossRef]
- Ozasa, R.; Matsugaki, A.; Isobe, Y.; Saku, T.; Yun, H.S.; Nakano, T. Construction of human induced pluripotent stem cell-derived oriented bone matrix microstructure by using in vitro engineered anisotropic culture model. J. Biomed. Mater. Res. A 2018, 106, 360–369. [Google Scholar] [CrossRef] [PubMed]
- Moriishi, T.; Ozasa, R.; Ishimoto, T.; Nakano, T.; Hasegawa, T.; Miyazaki, T.; Liu, W.; Fukuyama, R.; Wang, Y.; Komori, H.; et al. Osteocalcin is necessary for the alignment of apatite crystallites, but not glucose metabolism, testosterone synthesis, or muscle mass. PLoS Genet. 2020, 16, e1008586. [Google Scholar] [CrossRef] [PubMed]
- Kashii, M.; Hashimoto, J.; Nakano, T.; Umakoshi, Y.; Yoshikawa, H. Alendronate treatment promotes bone formation with a less anisotropic microstructure during intramembranous ossification in rats. J. Bone Miner. Metab. 2008, 26, 24–33. [Google Scholar] [CrossRef] [PubMed]
- Ozasa, R.; Ishimoto, T.; Miyabe, S.; Hashimoto, J.; Hirao, M.; Yoshikawa, H.; Nakano, T. Osteoporosis changes collagen/apatite orientation and young’s modulus in vertebral cortical bone of rat. Calcif. Tissue Int. 2019, 104, 449–460. [Google Scholar] [CrossRef] [PubMed]
- Ishimoto, T.; Sato, B.; Lee, J.W.; Nakano, T. Co-deteriorations of anisotropic extracellular matrix arrangement and intrinsic mechanical property in c-src deficient osteopetrotic mouse femur. Bone 2017, 103, 216–223. [Google Scholar] [CrossRef] [PubMed]
- Sekita, A.; Matsugaki, A.; Nakano, T. Disruption of collagen/apatite alignment impairs bone mechanical function in osteoblastic metastasis induced by prostate cancer. Bone 2017, 97, 83–93. [Google Scholar] [CrossRef]
- Wakamatsu, T.; Iwasaki, Y.; Yamamoto, S.; Matsuo, K.; Goto, S.; Narita, I.; Kazama, J.J.; Tanaka, K.; Ito, A.; Ozasa, R.; et al. Type I angiotensin II receptor blockade reduces uremia-induced deterioration of bone material properties. J. Bone Miner. Res. 2021, 36, 67–79. [Google Scholar] [CrossRef]
- Dobayashi, M.; Goda, K.; Maruyama, H.; Fujisawa, M. Erythropoietin gene transfer into rat testes by in vivo electroporation may reduce the risk of germ cell loss caused by cryptorchidism. Asian J. Androl. 2005, 7, 369–373. [Google Scholar] [CrossRef]
- Abe, S.; Hanawa, H.; Hayashi, M.; Yoshida, T.; Komura, S.; Watanabe, R.; Lie, H.; Chang, H.; Kato, K.; Kodama, M.; et al. Prevention of experimental autoimmune myocarditis by hydrodynamics-based naked plasmid DNA encoding CTLA4-Ig gene delivery. J. Card. Fail. 2005, 11, 557–564. [Google Scholar] [CrossRef]
- Akata, K.; Maruyama, H.; Neichi, T.; Miyazaki, J.; Gejyo, F. Effects of erythropoietin-gene electrotransfer in rats with adenine-induced renal failure. Am. J. Nephrol. 2003, 23, 315–323. [Google Scholar] [CrossRef]
- Sinibaldi, R.; Conti, A.; Sinjari, B.; Spadone, S.; Pecci, M.; Palombo, M.; Komlev, V.S.; Ortoew, M.G.; Tromba, G.; Capuani, R.; et al. Multimodal-3D imaging based on μMRI and μCT techniques bridges the gap with histology in visualization of the bone regeneration process. Tissue Eng. Regen. Med. 2018, 12, 750–761. [Google Scholar] [CrossRef] [PubMed]




Publisher’s Note: MDPI stays neutral with regard to jurisdictional claims in published maps and institutional affiliations. |
© 2022 by the authors. Licensee MDPI, Basel, Switzerland. This article is an open access article distributed under the terms and conditions of the Creative Commons Attribution (CC BY) license (https://creativecommons.org/licenses/by/4.0/).
Share and Cite
Kawai, M.Y.; Ozasa, R.; Ishimoto, T.; Nakano, T.; Yamamoto, H.; Kashiwagi, M.; Yamanaka, S.; Nakao, K.; Maruyama, H.; Bessho, K.; et al. Periodontal Tissue as a Biomaterial for Hard-Tissue Regeneration following bmp-2 Gene Transfer. Materials 2022, 15, 993. https://doi.org/10.3390/ma15030993
Kawai MY, Ozasa R, Ishimoto T, Nakano T, Yamamoto H, Kashiwagi M, Yamanaka S, Nakao K, Maruyama H, Bessho K, et al. Periodontal Tissue as a Biomaterial for Hard-Tissue Regeneration following bmp-2 Gene Transfer. Materials. 2022; 15(3):993. https://doi.org/10.3390/ma15030993
Chicago/Turabian StyleKawai, Mariko Yamamoto, Ryosuke Ozasa, Takuya Ishimoto, Takayoshi Nakano, Hiromitsu Yamamoto, Marina Kashiwagi, Shigeki Yamanaka, Kazumasa Nakao, Hiroki Maruyama, Kazuhisa Bessho, and et al. 2022. "Periodontal Tissue as a Biomaterial for Hard-Tissue Regeneration following bmp-2 Gene Transfer" Materials 15, no. 3: 993. https://doi.org/10.3390/ma15030993
APA StyleKawai, M. Y., Ozasa, R., Ishimoto, T., Nakano, T., Yamamoto, H., Kashiwagi, M., Yamanaka, S., Nakao, K., Maruyama, H., Bessho, K., & Ohura, K. (2022). Periodontal Tissue as a Biomaterial for Hard-Tissue Regeneration following bmp-2 Gene Transfer. Materials, 15(3), 993. https://doi.org/10.3390/ma15030993

