Structure and Electrical Properties of Microwave Sintered BTS-BCT-xBF Lead-Free Piezoelectric Ceramics
Abstract
1. Introduction
2. Experimental Procedure
3. Results and Discussion
3.1. Phase Structure
3.2. Microstructure
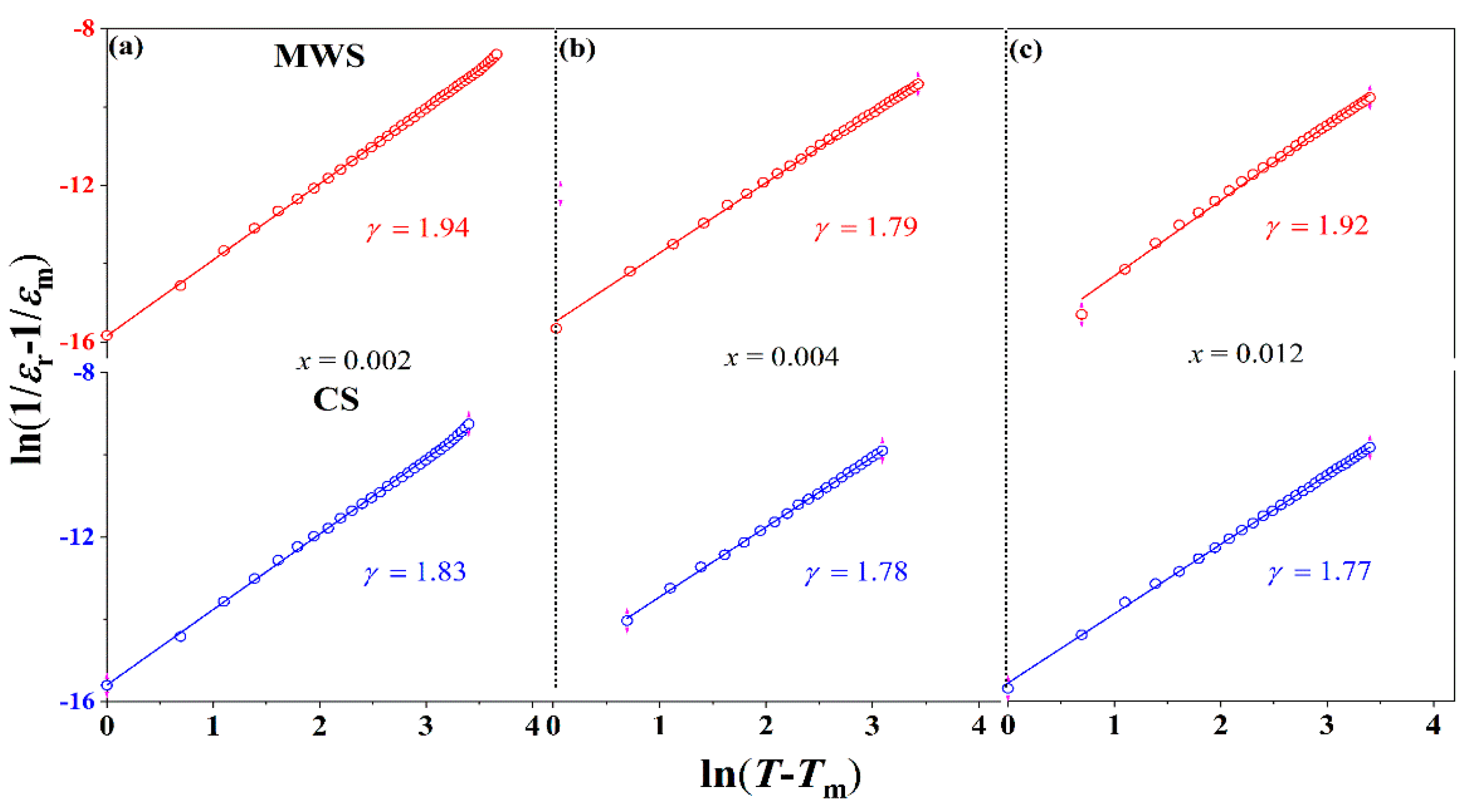
3.3. Dielectric and Ferroelectric Properties
3.4. Energy Storage Performance and Electrostriction
4. Conclusions
Supplementary Materials
Author Contributions
Funding
Institutional Review Board Statement
Informed Consent Statement
Data Availability Statement
Conflicts of Interest
References
- Zhao, C.; Wu, H.; Li, F.; Cai, Y.; Zhang, Y.; Song, D.; Wu, J.; Lyu, X.; Yin, J.; Xiao, D.; et al. Practical high piezoelectricity in barium titanate ceramics utilizing multiphase convergence with broad structural flexibility. J. Am. Chem. Soc. 2018, 140, 15252–15260. [Google Scholar] [CrossRef]
- Wu, B.; Wu, H.; Wu, J.; Xiao, D.; Zhu, J.; Pennycook, S.J. Giant piezoelectricity and high curie temperature in nanostructured alkali niobate lead-free piezoceramics through phase coexistence. J. Am. Chem. Soc. 2016, 138, 15459–15464. [Google Scholar] [CrossRef]
- Gu, H.; Zhu, K.; Pang, X.; Shao, B.; Qiu, J.; Ji, H. Synthesis of (K, Na) (Nb, Ta)O3 lead-free piezoelectric ceramic powders by high temperature mixing method under hydrothermal conditions. Ceram. Int. 2012, 38, 1807–1813. [Google Scholar] [CrossRef]
- Krishna, T.; Anuradha, S.; Mamta, S.; Arun, K. Factors affecting morphological and electrical properties of barium titanate: A brief review. Mater. Today 2021, 44, 4548–4556. [Google Scholar]
- Bai, Y.; Matousek, A.; Tofel, P.; Bijalwan, V.; Nan, B.; Hughes, H.; Button, T.W. (Ba, Ca)(Zr, Ti)O3 lead-free piezoelectric ceramics—the critical role of processing on properties. J. Eur. Ceram. Soc. 2015, 35, 3445–3456. [Google Scholar] [CrossRef]
- Yang, W.; Li, P.; Wu, S.; Li, F.; Shen, B.; Zhai, J. A Study on the relationship between grain size and electrical properties in (K, Na)NbO3-based lead-free piezoelectric ceramics. Adv. Electron. Mater. 2019, 5, 1900570. [Google Scholar] [CrossRef]
- Noritake, K.; Sakamoto, W.; Yuitoo, I.; Takeuchi, T.; Hayashi, K.; Yogo, T. Fabrication of lead-free piezoelectric Li2CO3-added (Ba, Ca)(Ti, Sn)O3 ceramics under controlled low oxygen partial pressure and their properties. Jpn. J. Appl. Phys. 2017, 57, 1347–4065. [Google Scholar]
- Jean, F.; Schoenstein, F.; Zaghrioui, M.; Bah, M.; Marchet, P.; Bustillo, J.; Giovannelli, F.; Monot-Laffez, I. Composite microstructures and piezoelectric properties in tantalum substituted lead-free K0.5Na0.5Nb1-xTaxO3 ceramics. Ceram. Int. 2018, 44, 9463–9471. [Google Scholar] [CrossRef]
- Ji, C.; Fan, T.; Chen, G.; Bai, X.; Wang, J.; He, J.; Cai, W.; Gao, R.; Deng, X.; Wang, Z.; et al. Influence of sintering method on microstructure, electrical and magnetic properties of BiFeO3–BaTiO3 solid solution ceramics. Mater. Today Chem. 2021, 20, 100419. [Google Scholar] [CrossRef]
- Cai, E.; Liu, Q.; Zeng, F.; Wang, Y.; Xue, A. A comparative study of lead-free (Ba0.85Ca0.15)(Ti0.9Zr0.08Sn0.02)O3 ceramics prepared by conventional sintering and microwave sintering techniques. Ceram Int. 2018, 44, 788–798. [Google Scholar] [CrossRef]
- Guillén, R.M.; Benavente, R.; Salvador, M.D.; Pearanda, F.L.; Borrell, A. Dielectric, mechanical and thermal properties of ZrO2–TiO2 materials obtained by microwave sintering at low temperature. Ceram Int. 2021, 47, 27334–27341. [Google Scholar] [CrossRef]
- Mane, S.M.; Pawar, S.A.; Patil, D.S.; Kulkarni, S.B.; Tayade, N.T.; Shin, J.C. Magnetoelectric, magnetodielectric effect and dielectric, magnetic properties of microwave-sintered lead-free x(Co0.9Ni0.1Fe2O4)-(1-x)[0.5(Ba0.7Ca0.3TiO3) -0.5(BaZr0.2Ti0.8O3)] particulate multiferroic composite. Ceram. Int. 2020, 46, 3311–3323. [Google Scholar] [CrossRef]
- Takahashi, H.; Numamoto, Y.; Tani, J.; Matsuta, K.; Qiu, J.; Tsurekawa, S. Lead-free barium titanate ceramics with large piezoelectric constant fabricated by microwave sintering. Jpn. J. Appl. Phys. 2006, 45, L30–L32. [Google Scholar] [CrossRef]
- Bafandeh, M.R.; Gharahkhani, R.; Abbasi, M.H.; Saidi, A.; Lee, J.S.; Han, H.S. Improvement of piezoelectric and ferroelectric properties in (K, Na)NbO3-based ceramics via microwave sintering. J. Electroceram. 2014, 33, 128–133. [Google Scholar] [CrossRef]
- Gao, P.; Pu, Y.; Wu, Y.; Li, P. A comparative study on positive temperature coefficient effect of BaTiO3–K0.5Bi0.5TiO3 ceramics by conventional and microwave sintering. Ceram. Inter. 2014, 40, 637–642. [Google Scholar] [CrossRef]
- Wang, P.; Li, Y.; Lu, Y. Enhanced piezoelectric properties of (Ba0.85Ca0.15)(Ti0.9Zr0.1)O3, lead-free ceramics by optimizing calcination and sintering temperature. J. Eur. Ceram. Soc. 2011, 31, 2005–2012. [Google Scholar] [CrossRef]
- Wang, D.; Wang, M.; Liu, F.; Cui, Y.; Zhao, Q.; Sun, H.; Jin, H.; Cao, M. Sol–gel synthesis of Nd-doped BiFeO3 multiferroic and its characterization. Ceram. Int. 2015, 41, 8768–8772. [Google Scholar] [CrossRef]
- Sun, X.; Chen, J.; Yu, R.; Xing, X.; Qiao, L.; Liu, G. BiFeO3-doped (Na0.5K0.5)NbO3 lead-free piezoelectric ceramics. Sci. Technol. Adv. Mater. 2008, 9, 025004. [Google Scholar] [CrossRef][Green Version]
- Zuo, R.; Ye, C.; Fang, X. Na0.5K0.5NbO3–BiFeO3 lead-free piezoelectric ceramics. J. Phys. Chem. Solids 2008, 69, 230–235. [Google Scholar] [CrossRef]
- Bai, Q.; Ma, J.; Wu, W.; Zheng, C.; Wu, B.; Chen, M. Superior electrostrictive coefficient of 6BNT-4SCxBT lead-free relaxor ferroelectrics with Ca2+ substitution. Ceram. Int. 2020, 46, 17691–17697. [Google Scholar] [CrossRef]
- Wu, W.; Ma, J.; Wang, N.; Shi, C.; Chen, K.; Zhu, Y.; Chen, M.; Wu, B. Electrical properties, strain stability and electrostrictive behavior in 0.5BaZr0.2Ti0.8O3-(0.5-x)Ba0.7Ca0.3TiO3-xBa0.7Sr0.3TiO3 lead-free ceramics. J. Alloys. Compd. 2019, 814, 152240. [Google Scholar] [CrossRef]
- Devi, H.S.; Maisnam, M. Microwave sintering effect on the structural and electrical properties of sodium potassium niobate nanocrystallites. Integr. Ferroelectr. 2019, 202, 204–209. [Google Scholar] [CrossRef]
- Swain, S.; Kumar, P.; Agrawal, D.K.; Sonia. Dielectric and ferroelectric study of KNN modified NBT ceramics synthesized by microwave processing technique. Ceram. Int. 2013, 39, 3205–3210. [Google Scholar] [CrossRef]
- Kang, J.K.; Dinh, T.H.; Lee, C.H.; Han, H.S.; Tran, V.D.N. Comparative study of conventional and microwave sintering of large strain Bi-based perovskite ceramics. Trans. Electr. Electron. Mater. 2017, 18, 1–6. [Google Scholar] [CrossRef]
- Zhao, Z.; Buscaglia, V.; Viviani, M.; Buscaglia, M.T.; Mitoseriu, L.; Testino, A.; Nygren, M.; Johnsson, M.; Nanni, P. Grain-size effects on the ferroelectric behavior of dense nanocrystalline BaTiO3 ceramics. Phys. Rev. B 2004, 70, 024107. [Google Scholar] [CrossRef]
- Dupuy, A.D.; Kodera, Y.; Carman, G.P.; Garay, J.E. Effect of phase homogeneity and grain size on ferroelectric properties of 0.5Ba(Zr0.2Ti0.8)O3-0.5(Ba0.7Ca0.3) TiO3(BXT) lead-free ceramics. Scr. Mater. 2019, 159, 13–17. [Google Scholar]
- Hoshina, T.; Furuta, T.; Yamazaki, T.; Takeda, H.; Tsurumi, T. Grain size effect on dielectric properties of Ba0.92Ca0.08TiO3 ceramics. Jpn. J. Appl. Phys. 2013, 52, 09KC05.1–09KC05.6. [Google Scholar] [CrossRef]
- Hoshina, T.; Furuta, T.; Yamazaki, T.; Takeda, H.; Tsurumi, T. Grain size effect on dielectric properties of Ba(Zr, Ti)O3 ceramics. Jpn. J. Appl. Phys. 2012, 51, 09LC04.1–09LC04.5. [Google Scholar] [CrossRef]
- Orlik, K.; Lorgouilloux, Y.; Marchet, P.; Thuault, A.; Jean, F.; Rguiti, M.; Courtois, C. Influence of microwave sintering on electrical properties of BCTZ lead free piezoelectric ceramics. J. Eur. Ceram. Soc. 2020, 40, 1212–1216. [Google Scholar] [CrossRef]
- Kalyani, A.K.; Brajesh, K.; Senyshyn, A.; Ranjian, R. Orthorhombic-tetragonal phase coexistence and enhanced piezo-response at room temperature in Zr, Sn, and Hf modified BaTiO3. Appl. Phys. Lett. 2014, 104, 252906. [Google Scholar] [CrossRef]
- Yuan, Q.; Yao, F.; Wang, Y.; Ma, R.; Wang, H. Relaxor ferroelectric 0.9BaTiO3-0.1Bi(Zn0.5Zr0.5)O3 ceramic capacitors with high energy density and temperature stable energy storage properties. J. Mater. Chem. C 2017, 5, 9552–9558. [Google Scholar] [CrossRef]
- Wu, L.; Wang, X.; Li, L. Lead-free BaTiO3-Bi(Zn2/3Nb1/3)O3 weakly coupled relaxor ferroelectric materials for energy storage. RSC. Adv. 2016, 6, 14273–14282. [Google Scholar] [CrossRef]
- Wang, G.; Lu, Z.; Li, J.; Ji, H.; Yang, H.; Li, L.; Sun, S.; Feteira, A.; Yang, H.; Zuo, R.; et al. Lead-free (Ba, Sr)TiO3–BiFeO3 based multilayer ceramic capacitors with high energy density. J. Eur. Ceram. Soc. 2020, 40, 1779–1783. [Google Scholar] [CrossRef]
- Rauls, M.B.; Dong, W.; Huber, J.E.; Lynch, C.S. The effect of temperature on the large field electromechanical response of relaxor ferroelectric 8/65/35 PLZT. Acta. Mater. 2011, 59, 2713–2722. [Google Scholar] [CrossRef]
- Zhu, Y. Large electrostrictive properties in lead free BaTiO3–ZnSnO3 solid solutions. Appl. Phys. A 2019, 125, 301. [Google Scholar] [CrossRef]
- Li, F.; Jin, L.; Guo, R. High electrostrictive coefficient Q33 in lead-free Ba(Zr0.2Ti0.8)O3-x(Ba0.7Ca0.3)TiO3 piezoelectric ceramics. Appl. Phys. Lett. 2014, 105, 232903. [Google Scholar] [CrossRef]
- Zuo, R.; Qi, H.; Fu, J.; Li, J.; Shi, M.; Xu, Y. Giant electrostrictive effects of NaNbO3-BaTiO3 lead-free relaxor ferroelectrics. Appl. Phys. Lett. 2016, 108, 232904. [Google Scholar] [CrossRef]
- Jin, L.; Huo, R.; Guo, R.; Li, F.; Wang, D.; Tian, Y.; Hu, Q.; Wei, X.; He, Z.; Yan, Y.; et al. Diffuse phase transitions and giant electrostrictive coefficients in lead-free Fe3+-doped 0.5Ba(Zr0.2Ti0.8)O3-0.5(Ba0.7Ca0.3)TiO3 ferroelectric ceramics. ACS Appl. Mater. Interfaces 2016, 8, 31109–31119. [Google Scholar] [CrossRef]
- Nomura, S.; Uchino, K. Electrostrictive effect in Pb(Mg1/3Nb2/3)O3-type materials. Ferroelectrics 2017, 41, 117–132. [Google Scholar] [CrossRef]








| x | Sintering Method | Density (g/cm3) | Sintering Method | Density (g/cm3) |
|---|---|---|---|---|
| 0.002 | CS | 5.8005 | MW | 5.8364 |
| 0.004 | 5.8285 | 5.9100 | ||
| 0.006 | 5.7959 | 5.8653 | ||
| 0.008 | 5.7644 | 5.8435 | ||
| 0.010 | 5.7721 | 5.8195 | ||
| 0.012 | 5.8059 | 5.8065 |
Publisher’s Note: MDPI stays neutral with regard to jurisdictional claims in published maps and institutional affiliations. |
© 2022 by the authors. Licensee MDPI, Basel, Switzerland. This article is an open access article distributed under the terms and conditions of the Creative Commons Attribution (CC BY) license (https://creativecommons.org/licenses/by/4.0/).
Share and Cite
Wang, T.; Ma, J.; Wu, B.; Wang, F.; Wang, S.; Chen, M.; Wu, W. Structure and Electrical Properties of Microwave Sintered BTS-BCT-xBF Lead-Free Piezoelectric Ceramics. Materials 2022, 15, 1789. https://doi.org/10.3390/ma15051789
Wang T, Ma J, Wu B, Wang F, Wang S, Chen M, Wu W. Structure and Electrical Properties of Microwave Sintered BTS-BCT-xBF Lead-Free Piezoelectric Ceramics. Materials. 2022; 15(5):1789. https://doi.org/10.3390/ma15051789
Chicago/Turabian StyleWang, Tao, Jian Ma, Bo Wu, Fenghua Wang, Shiyu Wang, Min Chen, and Wenjuan Wu. 2022. "Structure and Electrical Properties of Microwave Sintered BTS-BCT-xBF Lead-Free Piezoelectric Ceramics" Materials 15, no. 5: 1789. https://doi.org/10.3390/ma15051789
APA StyleWang, T., Ma, J., Wu, B., Wang, F., Wang, S., Chen, M., & Wu, W. (2022). Structure and Electrical Properties of Microwave Sintered BTS-BCT-xBF Lead-Free Piezoelectric Ceramics. Materials, 15(5), 1789. https://doi.org/10.3390/ma15051789

