Abstract
Metal magnetic memory testing (MMMT) is an effective nondestructive technique for fatigue damage monitoring of weldments because of its capacity for stress evaluation. An experimental investigation of the effect of the applied fatigue stress on MMMT signals, including the tangential component Bx and the normal component Bz, during tension–compression fatigue tests in welded joints was carried out systematically. The Bx and Bz signals at different fatigue cycles and fatigue stresses were collected and analyzed, and the results showed that there was a peak of Bx and abnormal peaks of Bz that existed at the welded joint before loading. After loading, the peak of Bx and the abnormal peaks of Bz reversed, and the Bx signals moved upward and the Bz signals rotated anticlockwise dramatically in the first few fatigue cycles. After the fatigue cycle number was larger than 1000, Bx and Bz were stable, with very little fluctuation. In addition, the characteristics of Bx signals, the mean value, and the peak value of the average of Bx had an extremely significant linear relationship with the applied fatigue stress during the stable stage of the fatigue test, which indicates that MMMT is a feasible method for fatigue stress evaluation and even residual fatigue life estimation for weldments in service.
1. Introduction
Metal magnetic memory testing (MMMT) can not only detect already-developed defects but can also evaluate stress concentration zones (SCZs), which can evolve into macroscopic defects under the effect of an external load on the basis of the magneto-mechanical effect [1,2]. As a result of the interaction between external stress and the geomagnetic field, magnetic domains in the SCZs are reoriented, a spontaneous magnetic field near the surface can form even when the load is released, and the characteristics of the spontaneous magnetic field can be used to identify the SCZs. Because of its prominent advantage in early damage diagnosis, along with passive magnetic field measurement, simple operation, high sensitivity, time-saving, etc., MMMT has attracted extensive attention since it was proposed by Doubov in the late 1990s [3,4], and many experimental studies focusing on the relationship between the MMMT signals of ferromagnetic materials and the stress and damage status have been carried out. Static tensile tests show that characteristics of MMMT signals can indicate plastic deformation [5,6], the stress concentration degree [7,8], and the length of backside cracks [9]. Furthermore, tension–tension fatigue tests [10,11], three-point bending fatigue tests [12,13], and four-point bending fatigue tests [14] show that the characteristics of MMMT signals increase linearly with increases in crack length. Moreover, many theories have also been presented to explore the foundation of MMMT. Magnetic dipole models [15,16,17], magneto-elastoplastic coupling models [18,19], the thermo-magneto-elastoplastic coupling model [20], density functional theory [21], and the modified Jiles–Atherton model [22] have been introduced to reveal the quantitative relationship between the MMMT signals and the stress and damage of ferromagnetic materials.
Welding is commonly used as an important mechanical structure connection method for equipment manufacturing in the aerospace, pressure vessel, and petroleum pipeline industries, among others [23,24]. Additionally, for safety assurance, welded structures are usually inspected by conventional nondestructive testing methods (visual testing, radiography testing, ultrasonic testing, magnetic particle testing, magnetic flux leakage testing, etc.) to detect the already-developed defects resulting from the welding process [25]. However, stress concentration introduced during the welding process, which cannot be detected by conventional NDT methods, plays a much more dangerous role in the service life of welded structures. During service, fatigue cracks usually initiate from the SCZs of weldment under the effect of an applied alternative load, ultimately causing the failure of the weld structure. Therefore, it is vital to inspect and monitor the fatigue stress of weldments.
MMMT has drawn much interest in the inspection and evaluation of weldment for its great advantages in SCZ detection. Additionally, it has been widely applicated in the engineering field, especially in weldment detection and evaluation [26,27,28], and qualitative and quantitative research has also been carried out by many researchers. Tensile and bending tests of butt welds show that MMMT can predict weld failure with early warnings [29], and three-point bending fatigue tests of weld joints show that the maximum gradient of the normal component of MMMT signals increases exponentially with an increase in crack length [30]. Experimental investigations also show that MMMT can detect buried welding cracks effectively [31].
However, it should be noted that most MMMT research and applications in weldment evaluation have focused on macroscopic defect measurement or crack propagation detection, and far fewer works have been concerned with early damage or stress evaluation. For these interests, the work presented here focused on the magnetic behavior of welded joints during fatigue tests, analyzing variations in both the tangential and the normal component of MMMT signals during the fatigue tests; the relationship between the characteristics of MMMT signals and fatigue stress is discussed, and an MMMT stress evaluation method for welded joints is proposed.
2. Experimental Procedure
2.1. Specimen Preparation
Butt welded joints with a base metal of Optim 900QC steel, welding wire of wire CARBOFIL NiMoCr, and shielding gas of CO2 were investigated in this study. Optim 900QC steel, a Swiss high-strength structural steel with excellent weldability and bendability, is a low-alloy quenched and tempered steel that can be welded directly, and no additional tempering treatment is required after welding. Wire CARBOFIL NiMoCr is a kind of copper-plated solid wire that is suitable for gas-shielded welding of high-strength steel. The chemical compositions and mechanical properties of the base metal and welding wire are shown in Table 1 and Table 2, respectively.
Table 1.
Chemical compositions of the base metal and welding wire (in wt.%).
Table 2.
Mechanical properties of the base metal and welding wire.
Sheets of 900QC steel with a nominal thickness of 5 mm were investigated, and they were machined into a size of 150 mm × 180 mm parallel to the welding direction. The welded joints were fabricated by the CO2 gas-shielded arc welding technique automatically, and the welding parameters are shown in Table 3. After welding, the fatigue specimens of the welded joints of 900QC steel were machined according to the Chinese industrial standard NB/T 47014-2011 welding procedure qualification for pressure equipment, and the sampling location and specimen configuration are shown in Figure 1.
Table 3.
Welding parameters for 900QC steel.
Figure 1.
Sketch of specimen preparation. (a) Welding direction and sampling location, and (b) geometry and dimensions of the fatigue specimen. All dimensions are in mm.
Non-destructive testing methods, both visual testing and radiographic testing, were performed to examine the quality of all the specimens, and only specimens with no examined defects were selected for the fatigue tests. The selected specimens were induction-demagnetized by a handheld induction demagnetizer, WLM-TB60, with an effective demagnetization rate of 1 μT to reduce the magnetic field interference induced by joint fabricating and specimen machining before the tests.
2.2. Experimental Instruments
Tension–compression fatigue tests of welded joints were performed at room temperature on a servo-hydraulic MTS 809 testing system, whose dynamic load error is ±1% and fatigue loading frequency is 0~50 Hz.
The MMM signals, both the tangential component Bx and the normal component Bz, of the specimens were collected by a 3D gaussmeter, the CH-3600 Gaussmeter, with a resolution of 0.1 μT. Bx is parallel to the surface of the specimen and along the scanning direction of the probe, while Bz is perpendicular to the surface of the specimen. A non-magnetic three-dimensional electrical control displacement instrument was employed to fix the probe firmly and move it automatically with a constant speed and lift-off value to avoid interference from external magnetic fields and manual operation errors.
2.3. Experimental Arrangement
The specimen was first placed on the electrical control displacement instrument along the south–north direction, and the initial MMMT signals of the scan line were measured with a probe scanning speed of 10 mm/s and a lift-off value of 1 mm. After that, the specimen was clamped between the gripers vertically, and the fatigue test was performed. When loaded to a preset fatigue cycle number, the specimen was removed from the gripers and placed on the displacement instrument, and the MMMT signals were collected in the same way as the initial MMMT signals were collected. Then, the specimen was loaded to another predetermined fatigue cycle number, and the above procedure was repeated until the specimen failed.
3. Results and Discussion
Fatigue tests of specimens with maximum fatigue stress of 150, 200, 300, and 400 MPa, respectively, were carried out according to the mechanical strength of welded joints, and the corresponding fatigue cycle numbers of each specimen were 194,014, 80,792, 19,262, and 10,026 in sequence. The stress ratio and frequency of all fatigue tests were the same, −1 and 10 Hz, respectively, to facilitate comparisons. For convenience, the specimens were named specimens 1, 2, 3, and 4.
3.1. MMMT Signals Variation during Fatigue Test
The variation law of MMT signals of specimens with different maximum fatigue stress showed the same tendency. Therefore, only the results of specimen 3 are presented in this section.
Figure 2 shows the MMMT signals before and after induction–demagnetization. It can be seen in Figure 2a that the MMMT signals were highly fluctuant and varied from −1400 μT to 0 μT before being demagnetized. There were abnormal peaks around the welded joint, but one cannot judge the existence of a welded joint because of the great fluctuation of the magnetic field.
Figure 2.
MMMT signals of the specimen (a) before and (b) after demagnetization.
The MMMT signals became much weaker and more regular after induction–demagnetization, as shown in Figure 2b. The Bx signal is almost horizontal with an upward peak at the center of the scan line, which represents the right part of the welded joint. The mean value of Bx was 31.47 μT, and the peak value was 35.1 μT. The Bz signal is an inclined line ranging from −40.0 to 32.0 μT with a slope value of −0.7065 μT/mm, and there are two weak abnormal peaks around the welded joint, with a negative peak on the left and a positive one on the right.
The strong magnetic field relates to the welding, machining, and transporting process. During welding and machining, the specimens were fixed by an electromagnet, which introduced an additional magnetic field to the specimen. In addition, the specimen could also be magnetized by other magnetic materials during transportation.
The magnetic field interference could be reduced significantly by induction demagnetization. After demagnetization, magnetic moments became aligned with the direction of the geomagnetic field, and magnetic flux leakage took place around the welded joint as a result of magnetic permeability differences between the base metal and the welding wire. Hence, there was an upward peak of the Bx signal, while there were two weak abnormal peaks, with a negative one on the left and a positive one on the right of the Bz signal around the welded joint.
After that, a tension–compression fatigue test was carried out, and the MMM signals of the specimen were collected during the test. The specimen fractured at 19,262 cycles, and the MMM signals of the specimen during the fatigue test are shown in Figure 3.

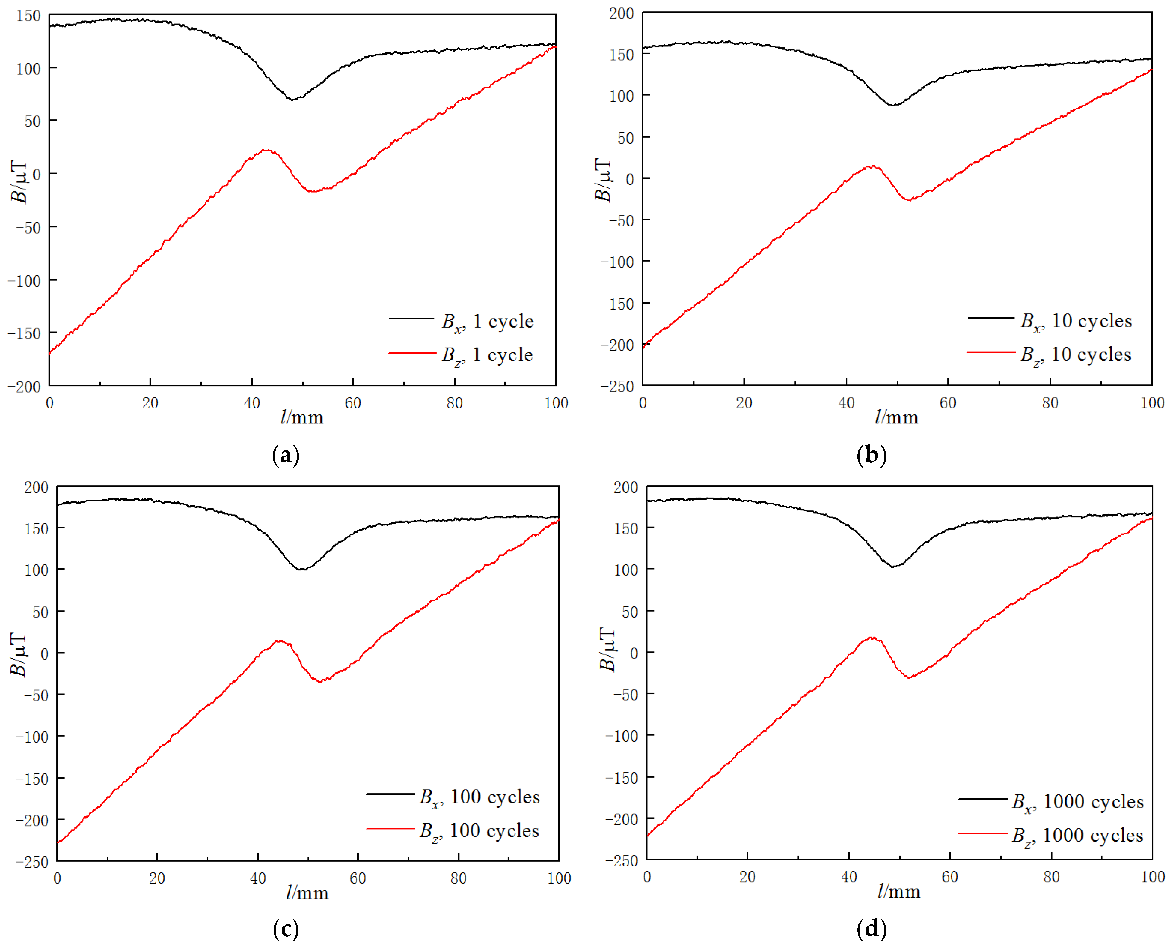
Figure 3.
MMMT signals of welded joint under different fatigue cycle numbers: (a) 1 cycle; (b) 10 cycles; (c) 100 cycles; (d) 1000 cycles; (e) 8000 cycles; (f) 16,000 cycles.
The signal curves changed obviously after loading, as shown in Figure 3a. The Bx signal elevated upward, and there was a downward peak with a peak value of 69.2 μT at the welded joint. Both halves of the Bx signal were horizontal, but the amplitudes were not the same, and the mean value of the left half was 137.62 μT, while that of the right half was 116.61 μT. The Bz signal rotated anticlockwise with a positive abnormal peak on the left of the welded joint and a negative one on the right. The Bz signal ranged from −170.3 to 119.8 μT, and both halves were inclined, but they were not on the same inclined line, with a slope value of 4.641 μT/mm on the left and 2.900 μT/mm on the right, and the slope of the Bz signal between the abnormal peaks was −0.707 μT/mm.
The Bx signal continued elevating upward, and the Bz signal continued rotating anticlockwise as the fatigue cycle number increased for the first few fatigue cycles, as shown in Figure 3b,c. After that, when the fatigue cycle number became greater than 100, the MMMT signals were stable, with a little fluctuation as the fatigue cycle number increased, as shown in Figure 3d–f.
When loaded, the specimen was magnetized by the stress-induced magnetic field, and the amplitude of the MMMT signals increased. When the applied stress is greater than 70 MPa, the polarity of the stress-induced magnetic field is opposite to the geomagnetic field [32]. As a result, the MMMT signal around the welded joint reversed even one fatigue cycle was executed, with a downward peak of Bx, a positive abnormal peak on the left, and a negative one on the right of Bz.
Under the influence of the fatigue stress-induced magnetic field, magnetic domains tend to align themselves in the direction of the stress-induced magnetic field; the 180° domains, whose directions of moment are parallel to the direction of the magnetic field, grow, while the 90° domains, whose moment directions are perpendicular to the magnetic field, are reduced [33]. As a result, the magnetization of the specimen changes, and the magnetic flux leakage increases. Hence, the Bx signal elevated upward significantly, and the Bz signal rotated anticlockwise dramatically during the first few fatigue cycles, as shown in Figure 3b,c.
The fatigue stress-induced magnetic field reached the saturation limit, and no more irreversible magnetic domain movement occurred after 100 fatigue cycles. While there was still a reversible domain change, domain wall rotation [34] occurred during the following fatigue test. Hence, when the fatigue test proceeded, the MMMT signals were stable with a little fluctuation, as shown in Figure 3d–f.
It can be seen in Figure 3 that the distribution of the MMMT signals was regular during the fatigue test. There was a peak at the welded joint of the measured line for the Bx signal, and both halves beyond the welded joint were horizontal, while the amplitudes were different. There were two abnormal peaks around the welded joint for the Bz signal, and both halves were inclined, while the slopes were not the same. Thus, it was feasible to extract the characteristics of the MMMT signals for further investigation. According to the features of the MMMT signals, the characteristics were defined as follows: is the peak value of the Bx signal; and are the mean values of the left and right side of the Bx signal, respectively; is the gradient between the abnormal peaks of the Bz signal, and are the slopes of the left and right sides of the Bz signal, respectively. The characteristic variations of the MMMT signals during the fatigue test are shown in Figure 4.
Figure 4.
Characteristics variation of (a) Bx signals and (b) Bz signals during the fatigue test.
It can be seen in Figure 4 that all characteristics of the Bx and Bz signals show the same variation tendency. In the first few fatigue cycles, they increased dramatically, and when the fatigue cycle number was more than 100, they were stable with a little fluctuation. It should also be noted that and had almost the same variation except for the value during the fatigue test, and the same was true for and .
3.2. Characteristics of MMMT Signals under Different Fatigue Stress
The MMMT signals of specimens 1, 2, and 4 during the fatigue tests were also collected, and the variation laws were similar to those of specimen 3. Therefore, the same characteristics, including , , , , , and , were extracted. As shown in Section 3.1, and and and of specimen 3 showed the same variation during the fatigue test except for the value, so it was important to find out whether the situations were the same for other specimens; the variations of the mentioned characteristics of all specimens are shown in Figure 5.
Figure 5.
Characteristic variation of (a) Bx signals and (b) Bz signals of different specimens during the fatigue test.
It can be seen from Figure 5 that and and and shared the same variation law for each specimen. For quantitative description, the cross-correlation coefficient was introduced to evaluate the relationship between and and between and . is defined according to statistics:
where and are the arithmetic mean values of X and Y, respectively.
As only the variation of the MMMT signals during the stable stage was concerned, data collected when the fatigue cycle number was less than 100 were ignored, and the cross-correlation coefficients of and and and of each specimen are shown in Table 4.
Table 4.
Cross-correlation coefficients of the characteristics of all the specimens.
It can be seen in Table 4 that, for each specimen, and and and were highly correlated with each other during the fatigue tests. Therefore, the new characteristics and were introduced for simplification. is the mean value of and , while is the slope of the angular bisector of line and , as shown in Equation (2).
Therefore, the number of characteristics can be reduced to four, i.e., , , and , and their variations during the fatigue tests are shown in Figure 6.
Figure 6.
Characteristic variations of MMMT signals during the fatigue tests (a) ; (b) ; (c) ; (d) .
Figure 6a shows the variation in for all the specimens during the fatigue tests. of the specimens increased significantly with the fatigue cycle number at first, and then became stable and fluctuated a little as the fatigue test proceeded. It also can be seen that when the specimens were about to fracture, the amplitudes of of the last measurement of specimen 1 (175,000 cycles, 90.20% of fatigue life), specimen 2 (75,000 cycles, 92.83% of fatigue life), and specimen 4 (10,000 cycles, 99.74% of fatigue life) were much larger than those measured before, while that of specimen 3 (16,000 cycles, 83.07% of fatigue life) was not.
It can be seen in Figure 6b that of all the specimens during the fatigue tests showed almost the same variation: they increased dramatically in the first few fatigue cycle numbers, and after that, they were stable with a little fluctuation.
It can be concluded from Figure 6a,b that when the specimen is about to fracture (above 90% of fatigue life), barely changes, while changes obviously. This phenomenon could be a significant criterion for failure pre-warning of welded joints.
As shown in Figure 6c, of all the specimens increased as the fatigue cycle number increased in the first few fatigue cycle numbers, and then became stable with a little fluctuation until the specimens failed. By contrast, the variations in showed the same tendency, as shown in Figure 6d, except that of specimen 4. of specimen 4 increased with the fatigue cycle at the beginning of the fatigue test and then fluctuated much more obviously until the specimen fractured.
To explore the relationship between the characteristics of MMMT signals and the fatigue stress, the mean values of the characteristics of the MMMT signals, , , , and , during the stable stage of the fatigue tests (when fatigue cycle number was larger than 100) were analyzed, and their variations with maximum fatigue stress are shown in Figure 7. The values of of the last measurements of specimens 1, 2, and 4 were neglected, as they were much larger than those measured before (in other words, they were about to fracture).
Figure 7.
Characteristic variation of MMMT signals with the maximum fatigue stress (a) Bx signals, (b) Bz signals.
It can be seen in Figure 7 that there is a linear relationship between and the applied maximum fatigue stress and between and . The functions can be expressed as follows:
Unfortunately, there is no obvious relationship between or and .
It can be seen from Equation (3) that there was a linear relationship between or and the applied maximum fatigue stress of the welded joints in this work. Therefore, it is feasible to evaluate by the measurement of the Bx signal, as shown in Equation (4):
It should be noted that the premise of the calculation by Equation (4) is that the fatigue stress ratio is −1. As a matter of fact, fatigue with a stress ratio that is not −1 is commonly experienced in both experimental research and engineering application. In this case, the Goodman formula can be introduced for equivalent transformation. The Goodman formula is shown in Equation (5):
where , is the stress amplitude, , is the mean stress, and is the tensile strength of the material.
When measurement of Bx is executed, the characteristics and can be extracted. Then, the applied maximum fatigue stress when the stress ratio is −1 can be calculated. The actual stress amplitude can be calculated according to Equation (5).
4. Conclusions
The systematic investigation of MMMT signal variation of welded joints under different fatigue cycle numbers during the whole tension–compression fatigue tests was presented in this work. There was a peak at the welded joint for the Bx signal, and both halves beyond the welded joint were horizontal, while the amplitudes were different. There were two abnormal peaks around the welded joint for the Bz signal, and both halves were inclined, while the slopes were not the same. The following conclusions can be drawn:
- (1)
- The Bx signal elevated upward, and the Bz signal rotated counterclockwise dramatically with an increase in the fatigue cycle number in the first few fatigue cycles; after that, both signals were stable with a little fluctuation.
- (2)
- When the welded joint is about to fracture (about 90% of the fatigue life in this work), the mean value of the Bx signal barely changes, while the peak value increases obviously, which can be used as a service status pre-warning for weld structures.
- (3)
- Fatigue stress of welded joints can be estimated and monitored by the mean value and peak value, i.e., and , of the Bx signal.
Author Contributions
Conceptualization, H.W. (Huipeng Wang) and L.D.; methodology, L.D. and H.W. (Haidou Wang); validation, Z.X. and B.L.; formal analysis, D.C.; investigation, G.M.; resources, Z.X.; data curation, G.M.; writing—original draft preparation, H.W. (Huipeng Wang); writing—review and editing, L.D.; visualization, B.L.; supervision, H.W. (Haidou Wang); project administration, H.W. (Huipeng Wang); funding acquisition, H.W. (Huipeng Wang). All authors have read and agreed to the published version of the manuscript.
Funding
This research was funded by the National Natural Science Foundation of China, grant number 52065026, and the National United Engineering Laboratory for Advanced Bearing Tribology, Henan University of Science and Technology, grant number 202110.
Institutional Review Board Statement
Not applicable.
Informed Consent Statement
Not applicable.
Data Availability Statement
Not applicable.
Conflicts of Interest
The authors declare no conflict of interest.
References
- Dubov, A. A study of metal properties using the method of magnetic memory. Met. Sci. Heat Treat. 1997, 39, 401–405. [Google Scholar] [CrossRef]
- Dubov, A. Screening of weld quality using the magnetic metal memory effect. Weld. World 1998, 41, 196–199. [Google Scholar]
- Shi, P.P.; Su, S.Q.; Chen, Z.M. Overview of Researches on the Nondestructive Testing Method of Metal Magnetic Memory: Status and Challenges. J. Nondestruct. Eval. 2020, 39, 43. [Google Scholar] [CrossRef]
- Bao, S.; Jin, P.; Zhao, Z.; Fu, M. A Review of the Metal Magnetic Memory Method. J. Nondestruct. Eval. 2020, 39, 11. [Google Scholar] [CrossRef]
- LI, Y.F.; Zeng, X.G.; Wei, L.M.; Wan, Q. Characterizations of damage-induced magnetization for X80 pipeline steel by metal magnetic memory testing. Int. J. Appl. Electromagn. Mech. 2017, 54, 23–35. [Google Scholar] [CrossRef]
- Singh, W.S.; Stegemann, R.; Kreutzbruck, M.; Mukhopadhyay, C.K.; Rao, B.P. Mapping of deformation-induced magnetic fields in carbon steels using a GMR sensor based metal magnetic memory technique. J. Nondestruct. Eval. 2018, 37, 352–358. [Google Scholar] [CrossRef]
- Fu, M.; Bao, S.; Lou, H. Characterization of Stress Concentration by Tangential Component Hp(x) of Metal Magnetic Memory Signals. J. Wuhan Univ. Technol. 2018, 33, 1486–1490. [Google Scholar] [CrossRef]
- Moonesan, M.; Kashefi, M. Effect of sample initial magnetic field on the metal magnetic memory NDT result. J. Magn. Magn. Mater. 2018, 460, 285–291. [Google Scholar] [CrossRef]
- Jung, G.J.; Seo, J.S.; Park, Y.W. Comparison between Magnetic Field Distribution Analysis and Metal Magnetic Memory (MMM) Testing Results Around Artificial Cracks under Loads. J. Magn. 2019, 24, 281–285. [Google Scholar] [CrossRef]
- Li, C.C.; Dong, L.H.; Wang, H.D.; Li, G.L.; Xu, B.S. Metal magnetic memory technique used to predict the fatigue crack propagation behavior of 0.45%C steel. J. Magn. Magn. Mater. 2016, 405, 150–157. [Google Scholar]
- Venkatachalapathi, N.; Jameel Basha, S.M.; Janardhan Raju, G.; Raghavulu, P. Charact-erization of fatigued steel states with metal magnetic memory metho. Mater. Today Proc. 2018, 5, 8645–8654. [Google Scholar] [CrossRef]
- Ni, C.; Hua, L.; Wang, X.K. Crack propagation analysis and fatigue life prediction for structural alloy steel based on metal magnetic memory testing. J. Magn. Magn. Mater. 2018, 462, 144–152. [Google Scholar] [CrossRef]
- Zhou, W.; Fan, J.C.; Ni, J.L.; Liu, S.J. Variation of magnetic memory signals in fatigue crack initiation and propagation behavior. Metals 2019, 9, 89. [Google Scholar] [CrossRef] [Green Version]
- Zhao, X.R.; Su, S.Q.; Wang, W.; Zhang, X.H. Metal magnetic memory inspection of Q345B steel beam in four point bending fatigue test. J. Magn. Magn. Mater. 2020, 514, 167155. [Google Scholar] [CrossRef]
- Xu, K.S.; Qiu, X.Q.; Tian, X.S. Theoretical investigation of metal magnetic memory testing technique for detection of magnetic flux leakage signals from buried defect. Nondestruct. Test. Eval. 2018, 33, 45–55. [Google Scholar] [CrossRef]
- Shi, P.P.; Hao, S. Analytical solution of magneto-mechanical magnetic dipole model f-or metal magnetic memory method. Acta Phys. Sin. 2021, 7, 034101. [Google Scholar] [CrossRef]
- Han, G.; Huang, H.H. A dual-dipole model for stress concentration evaluation basedon magnetic scalar potential analysis. NDT&E Int. 2021, 118, 102394. [Google Scholar] [CrossRef]
- Shi, P.P. Magneto-elastoplastic coupling model of ferromagnetic material with plastic deformation under applied stress and magnetic fields. J. Magn. Magn. Mater. 2020, 512, 166980. [Google Scholar] [CrossRef]
- Zhang, P.C.; Shi, P.P.; Jin, K.; Zheng, X.J. An anisotropic magneto-mechanical model of ferromagnetic materials for the magnetic memory testing method. J. Appl. Phys. 2019, 125, 233901. [Google Scholar] [CrossRef]
- Shi, P.P.; Zhang, P.C.; Jin, K.; Chen, Z.M.; Zheng, X.J. Thermo-magneto-elastoplastic coupling model of metal magnetic memory testing method for ferromagnetic materials. J. Appl. Phys. 2018, 123, 145102. [Google Scholar] [CrossRef]
- Liu, B.; Fu, Y.; Jian, R. Modeling and analysis of magnetic memory testing method based on the density functional theory. Nondestruct. Test. Eval. 2015, 30, 13–25. [Google Scholar] [CrossRef]
- Luo, X.; Zhu, H.Y.; Ding, Y.P. A modified model of magneto-mechanical effect on magnetization in ferromagnetic materials. Acta Phys. Sin. 2019, 68, 187501. [Google Scholar] [CrossRef]
- Yokoyama, K.; Miki, C. Participatory database of repair cases on fatigue damaged welded structures. Int. J. Fatigue 2009, 101 Pt 2, 385–396. [Google Scholar] [CrossRef]
- Pei, X.J.; Dong, P.S.; Xing, S.Z. A structural strain parameter for a unified treatment of fatigue behaviors of welded components. Int. J. Fatigue 2019, 124, 444–460. [Google Scholar] [CrossRef]
- Smith, A.T.; Schneider, C.R.; Bird, C.R.; Wall, M. Use of non-destructive testing for engineering critical assessment: Background to the advice given in BS 7910:2013. Int. J. Press. Vessel. Pip. 2019, 169, 153–159. [Google Scholar] [CrossRef]
- Dubov, A.; Kolokolnikov, S. Detection of local stress concentration zones in engineering products-the lacking link in the non-destructive testing system. Weld. Word 2018, 62, 301–309. [Google Scholar] [CrossRef]
- Kolokolnikov, S.; Dubov, A.; Medvedev, A.; Boriskin, D. Comprehensive inspection of refrigerated ammonia storage tank welded joints by the metal magnetic memory technique and conventional NDT methods. Weld. World 2020, 64, 1659–1670. [Google Scholar] [CrossRef]
- Kolokolnikov, S.M.; Steklov, O.I. Evaluation of the heterogeneity of the stress state of welded joints prior to and after heat treatment using the method of the magnetic memory of metal. Weld. Int. 2017, 31, 487–492. [Google Scholar] [CrossRef]
- Su, S.Q.; Zhao, X.R.; Wang, W.; Zhang, X.H. Metal Magnetic Memory Inspection of Q345 Steel Specimens with Butt Weld in Tensile and Bending Test. J. Nondestruct. Eval. 2019, 38, 64. [Google Scholar] [CrossRef]
- Huang, H.H.; Qian, Z.C.; Yang, C.; Han, G.; Liu, Z.F. Magnetic memory signals of ferr-omagnetic weldment induced by dynamic bending load. Nondestruct. Eval. 2017, 32, 166–184. [Google Scholar] [CrossRef]
- Xu, K.S.; Yang, K.; Liu, J.; Chen, X.Q.; Wang, Y. Investigation of Magnetic Memory Signal of Propagation of Buried Crack under Applied Load. Res. Nondestruct. Eval. 2021, 32, 1–9. [Google Scholar] [CrossRef]
- Dong, L.H.; Xu, B.S.; Dong, S.Y.; Li, S.; Chen, Q.Z. Stress dependence of the spontaneous stray field signals of ferromagnetic steel. NDT E Int. 2009, 42, 323–327. [Google Scholar] [CrossRef]
- Cullity, E.D. Introduction to Magnetic Materials; Addison-Wesley: New York, NY, USA, 1972. [Google Scholar]
- Jiles, D.C. Theory of the magnetomechanical effect. J. Phys. D Appl. Phys. 1999, 28, 1537–1546. [Google Scholar] [CrossRef]
Publisher’s Note: MDPI stays neutral with regard to jurisdictional claims in published maps and institutional affiliations. |
© 2022 by the authors. Licensee MDPI, Basel, Switzerland. This article is an open access article distributed under the terms and conditions of the Creative Commons Attribution (CC BY) license (https://creativecommons.org/licenses/by/4.0/).







