Research on the Combination of Firefly Intelligent Algorithm and Asphalt Material Modulus Back Calculation
Abstract
:1. Introduction
2. Materials and Methods
2.1. Material and Structure Parameters
2.1.1. Materials and Structures Used in the Theoretical Deflection Curve Calculation
2.1.2. Materials and Structures Used in the Actual Deflection Curve Measurement
2.2. The Firefly Asphalt Back Calculation Method (FABCM)
2.2.1. The Modified Firefly Optimization Algorithm
- It is assumed that all fireflies are equally attracted to each other, and the less luminous fireflies are attracted to and move towards the brighter ones;
- The attraction between two fireflies is only related to the distance between them and their luminous intensity. The attraction decreases with the increase in distance. Low intensity means less attraction to other fireflies;
- The luminous intensity is determined by the objective equation.
2.2.2. The Firefly Asphalt Back Calculation Method (FABCM)
2.2.3. The Multi-Parameter FABCM
3. Results
3.1. The Verification of FABCM
3.2. Modulus Back Calculation Based on Theoretical Deflection Curves Calculated with BISAR3.0
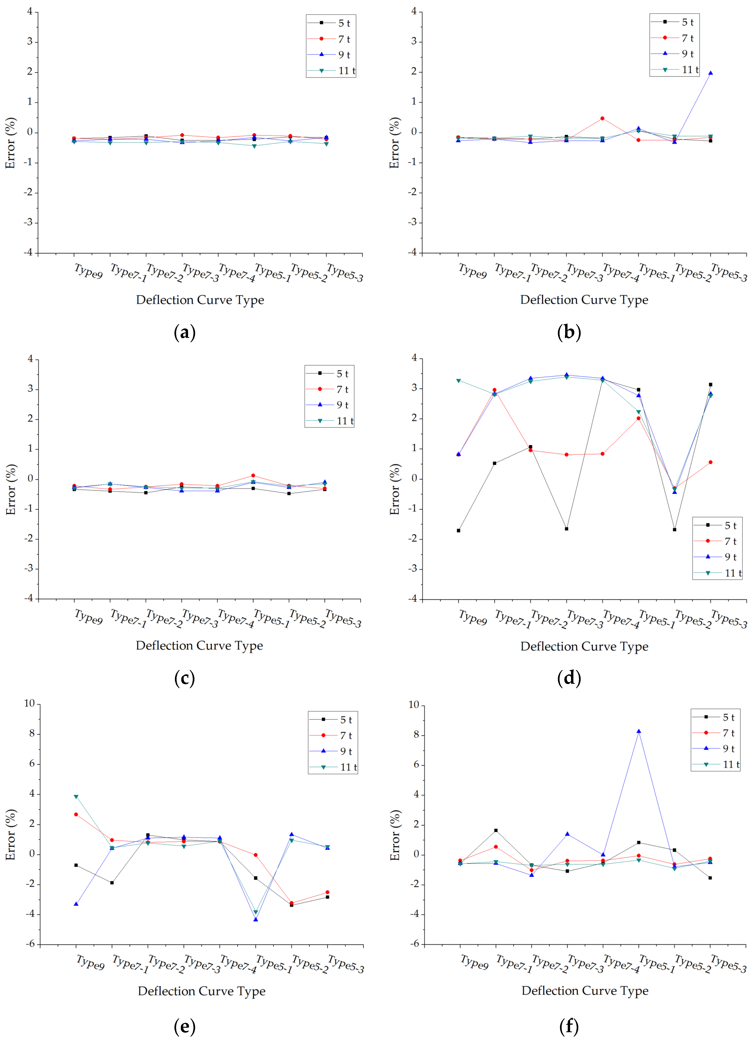
3.2.1. Back Calculation Errors of Surface Layer Modulus
3.2.2. Back Calculation Errors of Base Modulus
3.2.3. Back Calculation Errors of Subbase Modulus
3.2.4. Back Calculation Errors of Subgrade Modulus
3.3. Modulus Back Calculation Based on Actual Deflection Curves Measured on RIOHTrack
3.4. Modulus Back Calculation with Multi-Parameter FABCM
4. Discussion
5. Conclusions
- The firefly algorithm, a meta-heuristic intelligent optimization algorithm, is selected as the mathematical search method of the modulus back calculation algorithm, and the Rosenbrock search method and Gaussian perturbation strategy are used to improve the firefly algorithm in terms of search rules and intermediate optimal solution disturbance. Through a lot of calculation and comparative analysis, it is verified that FABCM has a satisfactory back calculation speed and accuracy;
- There is no clear connection between the modulus back calculation errors and deflection curve types, which indicates that the modulus back calculation accuracy is not influenced by the type of deflection curve. Thus, considering that the deflection curve shape cannot be accurately described when the number of measuring points is too small, which could lead to the inaccuracy of the modulus back calculation, the deflection curve types of more measuring points are recommended in modulus back calculation;
- It is found that when the axle load reaches 9 t or 11 t, the errors of back calculated modulus would increase a lot, and the back calculation on the 3-layer structure is more accurate than that on the 4-layer structure;
- Due to the significant non-linear characteristics of pavement materials, no matter what kind of optimization algorithms are used, the back calculated modulus is hard to be consistent with the design modulus of the pavement structure layer under the current elastic mechanical model;
- The variation coefficients of multi-parameter FABCM are generally larger than that of single-parameter FABCM in practice, which means the results of single-parameter FABCM are more stable. Considering the reasons discussed in Section 4, the single-parameter modulus back calculation method has its advantages in measurement of stress and strain state inside a pavement structure and shows potential application prospects.
Author Contributions
Funding
Informed Consent Statement
Data Availability Statement
Conflicts of Interest
References
- Ling, M.; Luo, X.; Gu, F.; Lytton, R. Time-Temperature-Aging-Depth Shift Functions for Dynamic Modulus Master Curves of Asphalt Mixtures. Constr. Build. Mater. 2017, 157, 934–951. [Google Scholar] [CrossRef]
- Dong, Z.; Li, L.P. Study on Dynamic Mechanical Properties and Microstructure of Epoxy Asphalt. In Proceedings of the 2015 International Conference on Applied Science And Engineering Innovation, Jinan, China, 30–31 August 2015; Volume 12, pp. 516–523. [Google Scholar]
- Zhou, W. Strain-Dependent Model for Complex Modulus of Asphalt Mixture. J. Chongqing Jiaotong Univ. Nat. Sci. Ed. 2019, 38, 57–62. [Google Scholar]
- Zhang, Y.; Ma, T.; Ling, M.; Zhang, D.; Huang, X. Predicting Dynamic Shear Modulus of Asphalt Mastics Using Discretized-Element Simulation and Reinforcement Mechanisms. J. Mater. Civil Eng. 2019, 31, 04019163. [Google Scholar] [CrossRef]
- Ding, H.; Qiu, Y.; Rahman, A. Influence of Thermal History on the Intermediate and Low-Temperature Reversible Aging Properties of Asphalt Binders. Road Mater. Pavement 2020, 21, 2126–2142. [Google Scholar] [CrossRef]
- Luo, H.; Huang, X.; Rongyan, T.; Ding, H.; Huang, J.; Wang, D.; Liu, Y.; Hong, Z. Advanced method for measuring asphalt viscosity: Rotational plate viscosity method and its application to asphalt construction temperature prediction. Constr. Build. Mater. 2021, 301, 124129. [Google Scholar] [CrossRef]
- Huang, Y.; Liu, Z.; Wang, X.; Li, S. Comparison of HMA Dynamic Modulus Between Trapezoid Beam Test and SPT. J. Cent. South Univ. Sci. Technol. 2017, 48, 3092–3099. [Google Scholar]
- Scrivner, F.H.; Moore, W.M.; Mcfarland, W.F.; Carey, G.R. A Systems Approach to the Flexible Pavement Design Problem. 1968. Available online: http://tti.tamu.edu/documents/32-11.pdf (accessed on 23 November 2021).
- Sun, R.; Tan, Z. Back Calculation Accuracy of Pavement Structural Layer Modulus. Highway 2005, 4, 92–95. [Google Scholar]
- Yang, G.; Wang, D.; Zhang, X. Inverse Calculation of Elastic Modulus of Asphalt Pavement Based on Curvature Index of Asphalt Pavement. J. South China Univ. Technol. Nat. Sci. Ed. 2007, 35, 5. [Google Scholar]
- Yang, G.; Wang, D.; Zhang, X. Back Calculation of Modulus of Resilience of Soil Foundation by Deflection Basin. J. Harbin Inst. Technol. 2009, 41, 137–141. [Google Scholar]
- Alkasawneh, W. Backcalculation of Pavement Moduli Using Genetic Algorithms; The University of Akron: Akron, OH, USA, 2007. [Google Scholar]
- Huang, X.; Deng, X. Evaluation of Pavement Structural Strength by Measured Deflection Basin. J. Geotech. Eng. 1996, 18, 4. [Google Scholar]
- Saltan, M.; Terzi, S.; Kuguksille, E.U. Backcalculation of Pavement Layer Moduli and Poisson’s Ratio Using Data Mining. Expert Syst. Appl. 2011, 38, 2600–2608. [Google Scholar] [CrossRef]
- Zha, X. Summary of Back Calculation Methods of Pavement Structural Layer Modulus. J. Transp. Eng. 2002, 2, 1–6. [Google Scholar]
- Uzah, J.; Lytton, R.L.; Germann, F.P. General Procedure for Backcalculating Layer Moduli. In Nondestructive Testing of Pavements and Backcalculation of Moduli; STP 1026; ASTM: Conshohocken, PA, USA, 1989. [Google Scholar]
- Rohde, G.; Scullion, T. MODULUS 4.0: Expansion and Validation of the MODULUS Backcalculation System. Res. Repart Tex. Transporation Inst. 1990, 10, 1829–1833. Available online: https://trid.trb.org/view/1176898 (accessed on 23 November 2021).
- Ju, Z. Research on Pavement Modulus Backcalculation Based on Finite Element. Ph.D. Thesis, South China University of Technology, Guangzhou, China, 2019. [Google Scholar]
- Cheng, S.; Ni, F. Study on Back Calculation Method of Pavement Structure Modulus Based on Dynamic Deflection Analysis. Mod. Transp. Technol. 2011, 8, 4. [Google Scholar]
- Gao, S. Study on Dynamic Response and Modulus Back Calculation of Two-Layer System Subjected to LWD Load. Ph.D. Thesis, Hunan University, Hunan, China, 2018. [Google Scholar]
- Zaman, M.; Solanki, P.; Ebrahimi, A. Neural Network Modeling of Resilient Modulus Using Routine Subgrade Soil Properties. Int. J. Geomech. 2010, 10, 1–12. [Google Scholar] [CrossRef]
- Sun, X.; Huang, L. Application of Genetic Algorithm in Back Calculation of Pavement Structure Modulus. J. Chang. Jiaotong Univ. 2002, 18, 4. [Google Scholar]
- Zha, X.; Wang, B. Back Calculation of Pavement Modulus Based on Artificial Neural Network. J. Transp. Eng. 2002, 2, 4. [Google Scholar]
- Yang, G.; Zhang, X.; Wang, D. Study on Back Calculation of Resilient Modulus of Soil Foundation by BP Neural Network. Highw. Eng. 2007, 32, 44–46, 50. [Google Scholar]
- Yang, G.; Wu, K. Study on Back Calculation of Elastic Modulus of Asphalt Pavement Structure Layer by BP Neural Network. J. Sun Yatsen Univ. 2008, 47, 44–48. [Google Scholar]
- Yang, G.; Zhong, W.; Huang, X. Study on Inversion of Elastic Modulus of Asphalt Pavement by BP Artificial Neural Network Based on Road Surface Deflection Basin. Sci. Technol. Innov. Guide 2015, 29, 94–93, 95. [Google Scholar]
- Yang, G.; Zhong, W.; Huang, X. Study on Back Calculation of Elastic Modulus of Asphalt Pavement Base by BP Artificial Neural Network. Subgrade Eng. 2016, 4, 78–81. [Google Scholar]
- Khazanovich, L.; Roesler, J. Diploback: Neural-Network-Based Backcalculation Program for Composite Pavements. Transp. Res. Rec. J. Transp. Res. Board 1997, 1570, 143–150. [Google Scholar] [CrossRef]
- Khazanovich, L.E.V. Lev Structural Analysis of Multi-Layered Concrete Pavement Systems; University of Illinois at Urbana-Champaign: Champaign, IL, USA, 1994. [Google Scholar]
- Kothandram, S.; Ioannides, A.M. Diplodef: A Unified Backcalculation System for Asphalt and Concrete Pavements. Transp. Res. Rec. J. Transp. Res. Board 2001, 1764, 20–29. [Google Scholar] [CrossRef]
- Zhang, D. MATLAB R2017a Artificial Intelligence Algorithm; Electronic Industry Press: Beijing, China, 2018. [Google Scholar]
- Fwa, T.; Tan, C.; Chan, W. Backcalculation Analysis of Pavement-Layer Moduli Using Genetic Algorithms. Transp. Res. Rec. J. Transp. Res. Board 1997, 1570, 134–142. [Google Scholar] [CrossRef]
- Kameyama, S.; Himeno, K.; Kasahara, A. Backcalculation of Pavement Layer Moduli Using Genetic Algorithms. In Proceedings of the Eighth International Conference on Asphalt Pavements, Seattle, DC, USA, 1 January 1997. [Google Scholar]
- Zha, X.; Wang, B. Study on Back Calculation of Pavement Modulus Based on Homotopy Method. Chin. J. Highw. 2003, 16, 5. [Google Scholar]
- Liu, C. Back Calculation Method of Pavement Modulus Based on FWD and Analysis of Influencing Factors. North. Commun. 2010, 9, 3–5. [Google Scholar]
- Zou, H. The Experimental Research of Asphalt Mixture Dynamic Modulus; Chang’an University: Xi’an, China, 2013. [Google Scholar]
- Ministry of Transport of the People’s Republic of China. JTG D50-2017. In Specifications for Design of Highway Asphalt Pavement; China Communication Press: Beijing, China, 2017. [Google Scholar]
- Yang, X. Nature-Inspired Metaheuristic Algorithms, 2nd ed.; Luniver Press: Frome, UK, 2010. [Google Scholar]
- Farahani, S.M.; Nasiri, B.; Meybodi, M.R. A Multiswarm Based Firefly Algorithm in Dynamic Environments. In Proceedings of the Third International Conference on Signal Processing Systems (ICSPS2011), Yantai, China, 27–28 August 2011. [Google Scholar]
- Coelho, L.; Bernert, D.; Mariani, V.C. A Chaotic Firefly Algorithm Applied to Reliability-Redundancy Optimization. In Proceedings of the IEEE Congress on Evolutionary Computation, CEC 2011, New Orleans, LA, USA, 5–8 June 2011. [Google Scholar]
- Coelho, L.; Mariani, V.C. Improved Firefly Algorithm Approach Applied to Chiller Loading for Energy Conservation. Energy Build. 2013, 59, 273–278. [Google Scholar] [CrossRef]
- Ministry of Transport of the People’s Republic of China. JTG E60-2008. In Field Test Methods of Subgrade and Pavement for Highway Engineering; China Communication Press: Beijing, China, 2008. [Google Scholar]


















| Structure Number | Material | Thickness (cm) | Modulus (MPa) | Poisson’s Ratio |
|---|---|---|---|---|
| 1 | Asphalt concrete | 18 | 2000 | 0.25 |
| Cement treated macadam | 40 | 1700 | 0.25 | |
| Soil base | / | 40 | 0.4 | |
| 2 | Asphalt concrete | 36 | 2000 | 0.25 |
| Graded macadam | 40 | 300 | 0.35 | |
| Soil base | / | 40 | 0.4 | |
| 3 | Asphalt concrete | 36 | 2000 | 0.25 |
| Graded macadam | 40 | 300 | 0.35 | |
| Soil base | / | 60 | 0.4 | |
| 4 | Asphalt concrete | 48 | 2000 | 0.25 |
| Cement treated macadam | 40 | 1700 | 0.25 | |
| Soil base | / | 40 | 0.4 | |
| 5 | Asphalt concrete | 24 | 2000 | 0.25 |
| Graded macadam | 30 | 300 | 0.35 | |
| Cement treated soil | 30 | 600 | 0.25 | |
| Soil base | / | 40 | 0.4 | |
| 6 | Asphalt concrete | 18 | 2000 | 0.25 |
| Cement treated macadam | 20 | 1700 | 0.25 | |
| Cement treated soil | 20 | 600 | 0.25 | |
| Soil base | / | 40 | 0.4 |
| Layer | STR1 | STR10 | ||||
| Modulus (MPa) | Poisson’s Ratio | Thickness (m) | Modulus (MPa) | Poisson’s Ratio | Thickness (m) | |
| 1 | 9620 | 0.25 | 0.52 | 6300 | 0.25 | 0.28 |
| 2 | 2000 | 0.25 | 0.4 | 900 | 0.3 | 0.2 |
| 3 | 120 | 0.35 | 3250 | 0.25 | 0.4 | |
| 4 | 120 | 0.35 | ||||
| Layer | STR18 | STR19 | ||||
| Modulus (MPa) | Poisson’s Ratio | Thickness (m) | Modulus (MPa) | Poisson’s Ratio | Thickness (m) | |
| 1 | 8830 | 0.25 | 0.48 | 13,200 | 0.25 | 0.48 |
| 2 | 900 | 0.3 | 0.48 | 6000 | 0.25 | 0.2 |
| 3 | 120 | 0.35 | 120 | 0.35 | ||
| Thickness (cm) | Modulus (MPa) | Theoretical Deflection Value (0.01mm) | |||||||||
|---|---|---|---|---|---|---|---|---|---|---|---|
| 0 | 30 | 60 | 90 | 120 | 150 | 180 | 210 | 240 | |||
| P0 | P1 | P2 | P3 | P4 | P5 | P6 | P7 | P8 | |||
| 1 | 18/40 | 1800/1500/40 | 46.3 | 36.8 | 32.6 | 29.1 | 25.8 | 22.8 | 20.2 | 17.9 | 15.9 |
| 2 | 18/40/20 | 1800/1500/600/40 | 40.7 | 31.5 | 28.2 | 25.6 | 23.2 | 20.9 | 18.9 | 17.0 | 15.4 |
| Back Calculated Modulus (MPa) | η (%) | δ (%) | |||||||||
|---|---|---|---|---|---|---|---|---|---|---|---|
| δ0 | δ1 | δ2 | δ3 | δ4 | δ5 | δ6 | δ7 | δ8 | |||
| 1 | 1802.0/1485.4/40.0 | 0.11/0.97/0.14 | 0.06 | 0.08 | 0.04 | 0.02 | 0.05 | 0.07 | 0.08 | 0.06 | 0.04 |
| 2 | 1809.7/1488.5/608.8/39.6 | 0.54/0.77/1.44/0.98 | 0.07 | 0.12 | 0.01 | 0.07 | 0.09 | 0.13 | 0.14 | 0.09 | 0.07 |
| Deflection Curve Type | Deflection Measuring Points |
|---|---|
| 9 | P0, P1, P2, P3, P4, P5, P6, P7, P8 |
| 7−1 | P0, P1, P2, P3, P4, P5, P6 |
| 7−2 | P0, P1, P2, P3, P4, P6, P8 |
| 7−3 | P0, P1, P2, P3, P4, P7, P8 |
| 7−4 | P0, P1, P2, P4, P6, P7, P8 |
| 5−1 | P0, P1, P2, P3, P4 |
| 5−2 | P0, P2, P4, P6, P8 |
| 5−3 | P0, P1, P2, P4, P6 |
| 5 t | 7 t | |||||
| Average Modulus (MPa) | Standard Deviation | Coefficient of Variation (%) | Average Modulus (MPa) | Standard Deviation | Coefficient of Variation (%) | |
| STR1 | 275.03 | 29.3 | 11 | 294.63 | 37.3 | 13 |
| STR10 | 359.78 | 137.85 | 38 | 405.67 | 193.46 | 48 |
| STR18 | 265.26 | 191.81 | 72 | 281.56 | 77.77 | 28 |
| STR19 | 257.51 | 29.39 | 11 | 320.84 | 177.39 | 55 |
| Average | 289 | 97 | 33 | 325 | 121 | 36 |
| 9 t | 11 t | |||||
| Average Modulus (MPa) | Standard Deviation | Coefficient of Variation (%) | Average Modulus (MPa) | Standard Deviation | Coefficient of Variation (%) | |
| STR1 | 273.1 | 20.47 | 7 | 276.35 | 24.2 | 9 |
| STR10 | 320 | 60.81 | 19 | 375.86 | 90.38 | 24 |
| STR18 | 308.65 | 88.32 | 29 | 356.73 | 204.07 | 57 |
| STR19 | 243.3 | 9.44 | 4 | 280.17 | 116.8 | 42 |
| Average | 286.26 | 45 | 15 | 322 | 108 | 33 |
| 5 t | 7 t | |||||
| Average Modulus (MPa) | Standard Deviation | Coefficient of Variation (%) | Average Modulus (MPa) | Standard Deviation | Coefficient of Variation (%) | |
| STR1 | 1702.55 | 1184.1 | 70 | 12,781 | 15,404.8 | 121 |
| STR10 (1) | 7455.04 | 3940.32 | 53 | 11,094 | 8477.23 | 76 |
| STR10 (2) | 13,726.8 | 14,815.3 | 108 | 4123.7 | 7077.58 | 172 |
| STR18 | 1013.07 | 245.89 | 24 | 1020.9 | 347.57 | 34 |
| STR19 | 4326.61 | 943.56 | 22 | 28,499 | 36,864.8 | 129 |
| Average | 5645 | 4225 | 55 | 11,504 | 13634 | 106 |
| 9 t | 11 t | |||||
| Average Modulus (MPa) | Standard Deviation | Coefficient of Variation (%) | Average Modulus (MPa) | Standard Deviation | Coefficient of Variation (%) | |
| STR1 | 3713.2 | 3047.01 | 82 | 3926.1 | 3262.34 | 83 |
| STR10 (1) | 8514.3 | 4090.67 | 48 | 9902.3 | 3996.46 | 40 |
| STR10 (2) | 10,365 | 5510.28 | 53 | 2732 | 1248.84 | 46 |
| STR18 | 820.28 | 268.94 | 33 | 718.84 | 353.56 | 49 |
| STR19 | 10,456 | 5109.43 | 49 | 3445.7 | 1464.08 | 42 |
| Average | 6774 | 3605 | 53 | 4145 | 2065 | 52 |
| 5 t | 7 t | |||||
| Average Modulus (MPa) | Standard Deviation | Coefficient of Variation (%) | Average Modulus (MPa) | Standard Deviation | Coefficient of Variation (%) | |
| STR1 | 6259 | 2748.5 | 44 | 10,625 | 12,632 | 119 |
| STR10 | 19,564 | 14,164 | 72 | 20,200 | 14,622 | 72 |
| STR18 | 15,688 | 10,266 | 65 | 17,937 | 12,517 | 70 |
| STR19 | 19,978 | 15,288 | 77 | 30,391 | 21,156 | 70 |
| Average | 15,372 | 10,616 | 65 | 19,788 | 15,231 | 83 |
| 9 t | 11 t | |||||
| Average Modulus (MPa) | Standard Deviation | Coefficient of Variation (%) | Average Modulus (MPa) | Standard Deviation | Coefficient of Variation (%) | |
| STR1 | 10,959 | 6709 | 61 | 9697 | 6828 | 70 |
| STR10 | 24,145 | 12,039 | 50 | 15,382 | 12,352 | 80 |
| STR18 | 20,513 | 11,914 | 58 | 23,305 | 11,846 | 51 |
| STR19 | 26,761 | 19,608 | 73 | 25,335 | 16,451 | 65 |
| Average | 20,594 | 12,567 | 60 | 18,430 | 11,869 | 66 |
| Structure | Vertical Pressure on the Top of Subgrade (kPa) | |||
|---|---|---|---|---|
| 5 t | 7 t | 9 t | 11 t | |
| STR1 | 0.198 | 0.288 | 0.336 | 0.54 |
| STR19 | 0.25 | 0.344 | 0.438 | 0.625 |
Publisher’s Note: MDPI stays neutral with regard to jurisdictional claims in published maps and institutional affiliations. |
© 2022 by the authors. Licensee MDPI, Basel, Switzerland. This article is an open access article distributed under the terms and conditions of the Creative Commons Attribution (CC BY) license (https://creativecommons.org/licenses/by/4.0/).
Share and Cite
Zhao, R.; Gong, J.; Zheng, Y.; Huang, X. Research on the Combination of Firefly Intelligent Algorithm and Asphalt Material Modulus Back Calculation. Materials 2022, 15, 3361. https://doi.org/10.3390/ma15093361
Zhao R, Gong J, Zheng Y, Huang X. Research on the Combination of Firefly Intelligent Algorithm and Asphalt Material Modulus Back Calculation. Materials. 2022; 15(9):3361. https://doi.org/10.3390/ma15093361
Chicago/Turabian StyleZhao, Runmin, Jinzhi Gong, Yangzezhi Zheng, and Xiaoming Huang. 2022. "Research on the Combination of Firefly Intelligent Algorithm and Asphalt Material Modulus Back Calculation" Materials 15, no. 9: 3361. https://doi.org/10.3390/ma15093361
APA StyleZhao, R., Gong, J., Zheng, Y., & Huang, X. (2022). Research on the Combination of Firefly Intelligent Algorithm and Asphalt Material Modulus Back Calculation. Materials, 15(9), 3361. https://doi.org/10.3390/ma15093361

