Next Article in Journal
Structural, Thermal and Magnetic Analysis of Two Fe-X-B (X = Nb, NiZr) Nanocrystalline Alloy
Previous Article in Journal
Effect of Vacancy Behavior on Precipitate Formation in a Reduced-Activation V−Cr−Mn Medium-Entropy Alloy
Previous Article in Special Issue
Influences of Separator Thickness and Surface Coating on Lithium Dendrite Growth: A Phase-Field Study
 
 
Font Type:
Arial Georgia Verdana
Font Size:
Aa Aa Aa
Line Spacing:
Column Width:
Background:
Article

Efficient Propylene/Ethylene Separation in Highly Porous Metal–Organic Frameworks

1
Institute of Circular Economy, Beijing University of Technology, Beijing 100124, China
2
Beijing Key Laboratory for Green Catalysis and Separation and Department of Environmental Chemical Engineering, Faculty of Environment and Life, Beijing University of Technology, Beijing 100124, China
*
Authors to whom correspondence should be addressed.
Materials 2023, 16(1), 154; https://doi.org/10.3390/ma16010154
Submission received: 18 November 2022 / Revised: 19 December 2022 / Accepted: 21 December 2022 / Published: 23 December 2022
(This article belongs to the Special Issue Design, Synthesis and Applications of Organic Framework Materials)

Abstract

Light olefins are important raw materials in the petrochemical industry for the production of many chemical products. In the past few years, remarkable progress has been made in the synthesis of light olefins (C2–C4) from methanol or syngas. The separation of light olefins by porous materials is, therefore, an intriguing research topic. In this work, single-component ethylene (C2H4) and propylene (C3H6) gas adsorption and binary C3H6/C2H4 (1:9) gas breakthrough experiments have been performed for three highly porous isostructural metal–organic frameworks (MOFs) denoted as Fe2M-L (M = Mn2+, Co2+, or Ni2+), three representative MOFs, namely ZIF-8 (also known as MAF-4), MIL-101(Cr), and HKUST-1, as well as an activated carbon (activated coconut charcoal, SUPELCO©). Single-component gas adsorption studies reveal that Fe2M-L, HKUST-1, and activated carbon show much higher C3H6 adsorption capacities than MIL-101(Cr) and ZIF-8, HKUST-1 and activated carbon have relatively high C3H6/C2H4 adsorption selectivity, and the C2H4 and C3H6 adsorption heats of Fe2Mn-L, MIL-101(Cr), and ZIF-8 are relatively low. Binary gas breakthrough experiments indicate all the adsorbents selectively adsorb C3H6 from C3H6/C2H4 mixture to produce purified C2H4, and 842, 515, 504, 271, and 181 cm3 g−1 C2H4 could be obtained for each breakthrough tests for HKUST-1, activated carbon, Fe2Mn-L, MIL-101(Cr), and ZIF-8, respectively. It is worth noting that C3H6 and C2H4 desorption dynamics of Fe2Mn-L are clearly faster than that of HKUST-1 or activated carbon, suggesting that Fe2M-L are promising adsorbents for C3H6/C2H4 separation with low energy penalty in regeneration.

1. Introduction

Light olefins, particularly ethylene (C2H4) and propylene (C3H6), are important raw materials in the petrochemical industry for the manufacture of products such as plastics, solvents, cosmetics, paints, and drugs. Light olefins are traditionally produced from the thermal or catalytic cracking of crude oil. In the past decades, considerable attention has been paid to the production of light olefins (C2=–C4=) from other alternative feedstocks, such as coal, natural gas, and biomass, by the Fischer–Tropsch synthesis (FTS) and the methanol-to-olefins (MTO) reaction [1,2]. Some recent breakthrough results showed that coal- and biomass-derived syngas (a mixture of carbon monoxide and hydrogen) could be converted to light olefins in very high selectivities (up to 80%, relative to less valuable saturated hydrocarbons) by advanced catalysts [3,4]. These new innovations would lead to a high demand for efficient separation technology for light olefins in the future. Nowadays, the separation of C2H4 and C3H6 is commonly accomplished by cryogenic distillation, which is a mature but energy-intensive process. Many works have been reported to develop new materials and technologies to efficiently separate C2H4 and C3H6 [5,6,7,8,9]. Adsorptive separation of C2H4 and C3H6 with porous materials is regarded as a promising alternative [10].
Metal–organic frameworks (MOFs), a type of porous material composed of metal ions/clusters and organic ligands, have attracted intensive research attention in the past two decades [11,12,13,14]. The high porosity, tailorable structure, crystalline nature, and facile synthesis of MOFs endow this type of material with great potential in gas storage, separation, catalysis, and sensing, among others. Particularly, some recent works have shown that bimetallic MOFs could exhibit improved performance in gas adsorption and catalysis [15,16,17,18]. Separation is one of the most studied applications where the intrinsic porous structures of MOFs could be utilized. It has been demonstrated that MOFs are high potential in light hydrocarbon separations [19,20,21,22,23,24,25,26,27,28,29,30,31,32,33,34,35,36,37]. Relatively, the separation of C2H4 and C3H6 using MOFs is less explored, although C2H4 and C3H6 adsorption isotherms of some MOFs were reported [38,39,40].
In this work, the C3H6/C2H4 separation performances of three new isostructural MOFs, [Fe2M(µ3-O)(L)2] (denoted as Fe2M-L, M = Mn2+, Co2+, or Ni2+, H3L = [1,1′:3′,1″-terphenyl]-4,4″,5′-tricarboxylic acid), three representative MOFs, ZIF-8 (a zinc(II) 2-methylimidazolate also known as MAF-4) [41,42], MIL-101(Cr) (a chromium(III) terephthalate) [43], and HKUST-1 (a copper(II) benzene-1,3,5-tricarboxylate) [44], and a commercial activated carbon (activated coconut charcoal, SUPELCO©) have been evaluated by single-component gas adsorption isotherm measurements and binary gas mixture breakthrough experiments. Their C3H6 and C2H4 adsorption properties and C3H6/C2H4 separation performances have been compared and discussed.

2. Materials and Methods

2.1. Materials and Instrumentation

All the chemicals were purchased from chemical suppliers and utilized without purification. ZIF-8, MIL-101(Cr), and HKUST-1 were prepared by previously reported methods [45,46,47]. Activated carbon (activated coconut charcoal, SUPELCO© (Bellefonte, PA, USA) was purchased from Sigma-Aldrich (Missouri, USA). Thermal gravimetric analyses (TGA) were carried out under zero air conditions with a SHIMADZU TGA-50 thermogravimetric analyzer (heating rate: 5 °C/min) (Kyoto, Japan). Fourier transform infrared (FT-IR) spectra were measured with a Shimadzu IRAffinity FT-IR spectrophotometer (Kyoto, Japan). The adsorption isotherms of N2 and hydrocarbons were recorded with an ASAP2020 adsorption analyzer (Micromeritics, Norcross, GA, USA). PXRD measurements were performed with a Smartlab3 X-ray powder diffractometer (Rigaku, Tokyo, Japan). Inductively coupled plasma-atomic emission spectroscopy (ICP-AES) measurements were performed with a PerkinElmer Optima 8300 spectrometer (Waltham, MA, USA).

2.2. Synthesis

Syntheses of [Fe2M(µ3-O)(CH3COO)6] (the precursors of Fe2M-L, M = Mn2+, Co2+, or Ni2+): an aqueous solution (70 ml) of Na(CH₃COO) 3H₂O (42 g, 0.31 mol) was added to an aqueous solution (70 ml) of Fe(NO₃)₃·9H₂O (8 g, 0.02 mol) and M(NO₃) (0.1 mol). Dark-red precipitate was formed, which was collected after filtration, washing with solvents (water and ethanol), and drying in the air [17].
Syntheses of Fe2M-L: to a 5 mL glass vial, [Fe2M(µ3-O)(CH3COO)6] (~0.015 g, 0.05 mmol) and the ligand H3L (H3L = 1,1′:3′,1″-terphenyl]-4,4″,5′-tricarboxylic acid) (0.012 g, 0.05 mmol) were added. Then, the solvent N,N-dimethylformamide (DMF, 2 mL) and the coordination modulator acetic acid (0.25 mL) were introduced to the vial. The solids were all dissolved after an ultrasonication treatment, and the vial was capped and placed in a preheated oven (120 °C) for 72 h. Block-shaped dark yellow or brown single crystals were formed and collected (yield: ca. 81% based on Fe).

2.3. Single-Crystal X-ray Diffraction

Single crystals of Fe2M-L were picked for single-crystal diffraction experiments. The diffraction data were collected at 100 K with a Rigaku Supernova CCD diffractometer (Tokyo, Japan) equipped with a mirror-monochromatic enhanced Cu-Kα radiation (λ = 1.54184 Å). The dataset was corrected by empirical absorption correction using spherical harmonics, implemented in the SCALE3 ABSPACK scaling algorithm. The structure was solved by direct methods and refined by full-matrix least-squares on F2 with anisotropic displacement using the SHELXTL software package (Göttingen, Germany) [48]. Non-hydrogen atoms on the frameworks were refined with anisotropic displacement parameters during the final cycles. The hydrogen atoms on the ligands were positioned geometrically and refined by using a riding model. The electron density of the disordered guest molecules in Fe2M-L was flattened by using the SQUEEZE routine of PLATON (Utrecht, The Netherlands) [49]. The graphical representations of single-crystal structures of Fe2M-L were performed by the Diamond software (Bonn, Germany) [50]. Some strong residual Q peaks were found near the water molecules coordinated with the metal ions in the final refinement cycles, indicating that partially coordinated solvent molecules may be DMF molecules rather than water molecules, which could not be fully modeled. The single-crystal structure data of Fe2M-L have been deposited in the Cambridge Crystallographic Data Centre (CCDC deposition number: 2177907–2177909).

2.4. Estimation of C3H6 and C2H4 Adsorption Heat

The C3H6 and C2H4 adsorption heats were calculated from the adsorption data recorded at 298 and 273 K. The Toth equation [51] (Equation (1)) was first utilized for fittings the adsorption isotherms (Figures S10–S19), where N stands for the gas uptake, Nsat stands for the saturated uptake, P represents pressure, b and t represent two constants.
N = N s a t b P ( 1 + b P t ) 1 t
P = N ( b t N s a t t b N t ) 1 t
The following Equation (2) could be obtained from the rearrangement of Equation (1).
The C3H6 and C2H4 adsorption heats (Qst) were estimated by the Clausius–Clapeyron equation [52] (Equation (3)), where C represents a constant, R stands for the universal gas constant, and T stands for temperature. Assuming (lnP)N is the function, and (1/T) is the variable, Qst depending on the gas uptake (N), could be calculated from the slopes data points (Qst/R).
( ln P ) N = Q s t R 1 T + C

2.5. Prediction of IAST C3H6/C2H4 Selectivity

Ideal adsorbed solution theory [53] (IAST) is a well-accepted way to predict gas adsorption selectivity for gas mixtures by adsorption data of the individual gases. The IAST defines the following equations.
y 1 + y 2 = 1
x 1 + x 2 = 1
p m i x y 1 = p 1 o x 1
p m i x y 2 = p 2 o x 2
π 1 o = R T A 0 p 1 o n 1 ( p ) d ln p
π 2 o = R T A 0 p 2 o n 2 ( p ) d ln p
π = π 1 o = π 2 o
In these equations, R stands for the universal gas constant, T stands for the temperature for adsorption experiment, A represents the surface area of adsorbent, xi stands for the ratio of gas i in the gas mixture adsorbed by adsorbent, yi stands for the ratio of gas i in the gas mixture before adsorption, pmix represents the pressure of gas mixture before adsorption, pi0 represents the pressure of gas i that corresponds to the spreading pressure π of the binary mixture, ni(p) stands for the uptake of gas i at the pressure p.
From Equations (4)–(10), Equation (11) is obtained.
0 p m i x y 1 x 1 n 1 ( p ) d ln p = 0 p m i x y 2 1 x 1 n 2 ( p ) d ln p
S 12 = x 1 y 2 x 2 y 1
The adsorption selectivity of gas 1 over gas 2 (S12) can be obtained by Equation (12).
For the adsorption of 1:9 C3H6/C2H4 gas mixture at 1 bar, C3H6 is gas 1, C2H4 is gas 2, pmix is 1 bar, y1 is 0.1, y2 is 0.9, and ni(p) can be calculated by fittings adsorption data of the individual gases (Figures S20–S24). x1 can then be calculated by solving Equation (11). At last, x2 can be obtained by applying the x1 to Equation (5), and S12 can be calculated from Equation (12). The C3H6/C2H4 selectivities for a 1:1 C3H6/C2H4 gas mixture or at other pressures could be calculated similarly.

2.6. Gas Mixture Breakthrough

Breakthrough tests for the gas mixture were performed with a 1:9 C3H6/C2H4 gas mixture. Quartz tubes (6 mm for outer diameter, 3 mm for inner diameter, and 100 mm in length) were packed with the adsorbents. The adsorbents were first activated at 100 °C overnight inside the tubes under a He flow with a flow rate of 10 SCCM. Mass flow controllers (Alicat Scientific, Tucson, AZ, USA) were used to control the gas flow rate. After the adsorbents were cooled down to room temperature, the breakthrough experiments started when the He flow was changed into a flow of the C3H6/C2H4 gas mixture (flow rate: 2 SCCM). The concentrations of C3H6 and C2H4 gases at outlet were determined by a mass spectrometer (Hiden HPR20). For monitoring the desorption dynamics of the adsorbed C3H6 and C2H4 gases in the adsorbents, the gas flow was changed from the binary C3H6/C2H4 gas to a He flow of 10 SCCM.

3. Results and Discussion

3.1. Crystal Structure and Porosity

Fe2M-L were synthesized from solvothermal reactions of [Fe2M(µ3-O)(CH3COO)6] precursors and H3L ligand in DMF at 120 °C. It was found that using the pre-synthesized [Fe2M(µ3-O)(CH3COO)6] precursors instead of mixtures of Fe/M metal salts as metal ion source is necessary for the formation of final crystalline products. Additionally, the introduction of an excess coordination modulator (acetic acid) is important for the production of Fe2M-L crystals in high crystallinity and with a relatively large size (>0.1 mm). It is well-known that coordination modulators affect the nucleation and growth rate, morphology, and crystallinity of MOFs, and only intergrown aggregates with poor crystallinity or even amorphous phases could be obtained without modulators in some cases [17,54]. The presence of two types of metal ions with a Fe to M ratio of 2:1 in Fe2M-L was confirmed by ICP-AES measurements for digested samples of the MOFs (Table S2).
Single-crystal X-ray diffraction (SCXRD) experiments and structure analyses revealed that Fe2M-L are isostructural and in the R-3c space group (trigonal) (Table S1). There is one type of [Fe2M(µ3-O)(−COO)6] (denoted as Fe2M hereafter) clusters and one type of L3− ligands in their structures. Each Fe2M cluster is connected with six different but equivalent L3− ligands, and each L3− ligand bridges three Fe2M clusters (Figure 1a). The interconnection of the Fe2M clusters and L3− ligands in such a way results in their 3D frameworks, which could be regarded as (3,6)-connected nets from a topological point of view (point symbol: {4·62}2{42·67 86}). The frameworks contain large volumes which are occupied by disordered guest molecules, as indicated by TGA results (Figure S1). The solvent-accessible volumes are ~74% of the whole structures, as estimated by Platon [49].
The highly open frameworks of Fe2M-L can also be regarded as alternate packing of two sets of cages. One set is octahedral, each of which consists of 6 Fe2M clusters and 8 L3− ligands (Figure 1b). In the octahedral cage, two neighboring Fe2M clusters are all bridged by one L3− ligand with its two carboxylate groups. The other set of cages is in a tetrakaidecahedron shape, each of which is built from 12 Fe2M clusters and 12 L3− ligands, where each L3− ligand links 3 neighboring Fe2M clusters (Figure 1c). The cavities inside the octahedral and tetrakaidecahedral cages are ~6 and ~9 Å, respectively. Each small cage is surrounded by eight large cages, and each large cage is surrounded by eight small cages and six equivalent large cages by polyhedral face sharing (Figure 1d). The windows between two small cages or between one large cage and one small cage are in a diameter of ~3.8 Å, and the windows between two large cages are in a diameter of ~5.1 Å. Several isoreticular MOFs to Fe2M-L were previously reported [55,56,57].
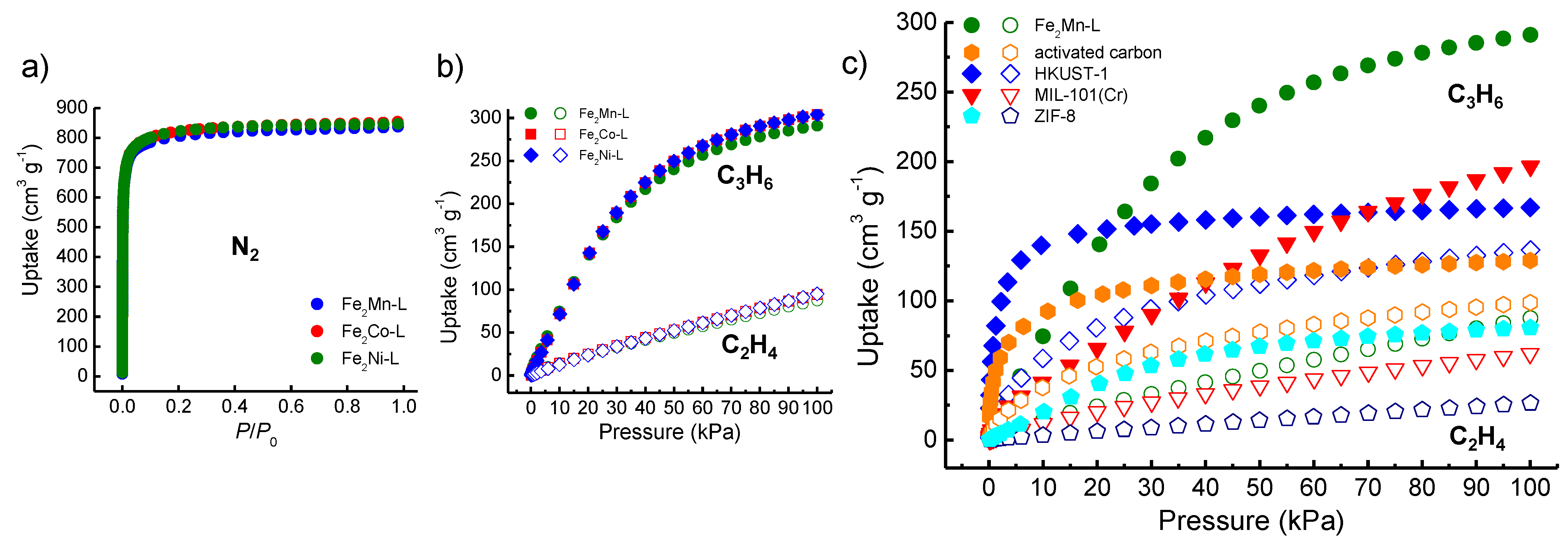
To confirm the permanent porosity of Fe2M-L, N2 adsorption isotherms were recorded at 77 K after the as-prepared crystals were activated by guest exchange (methanol as solvent) and then degassing at 80 °C. The three MOFs showed highly similar N2 adsorption isotherms (Figure 2a), which is consistent with their isostructural structures and close unit cell parameters. The isotherms are type I isotherms typical for microporous materials, showing saturated N2 adsorption capacities of 837, 854, and 847 cm3 g−1 at ~1 P/P0 for Fe2Mn-L, Fe2Co-L, and Fe2Ni-L, respectively. The apparent BET/Langmuir surface areas of the three MOFs are estimated to be 3105/3600, 3168/3675, and 3169/3674 m2 g−1, respectively. The pore volumes are estimated to be 1.29, 1.32, and 1.31 cm3 g−1, respectively, which are almost the same as the predicted pore volumes from their single crystal data (1.30, 1.32, and 1.32 cm3 g−1). The results suggested that the MOF samples were in a pure phase, and their highly open frameworks remained unchanged after the evacuation of guests. The high purity of the batch MOF crystal samples was also confirmed by PXRD measurement results, which showed a good agreement between the PXRD patterns of the MOF samples and the single-crystal structure simulated ones (Figure S2).

3.2. Adsorption Study for C2H4 and C3H6

The adsorption isotherms of C2H4 and C3H6 were recorded for Fe2M-L at 298 K as well as 273 K. As shown in Figure 2b, the three MOFs showed close gas adsorption capacities at all pressure ranges. The C2H4 uptakes were 87.5, 94.4, and 94.9 cm3 g−1, and the C3H6 uptakes are 291.1, 302.3, and 304.2 cm3 g−1 at 1 bar for Fe2Mn-L, Fe2Co-L, and Fe2Ni-L, respectively. The slightly lower gas uptakes of Fe2Mn-L with respect to those of the other two MOFs are consistent with the results of 77 K N2 adsorption studies, which revealed that Fe2Mn-L had a slightly lower porosity than Fe2Co-L and Fe2Ni-L. Overall, the results indicate the gas adsorption properties of Fe2M-L are not very dependent on the nature of the M ions. Therefore, only Fe2Mn-L was investigated for further experiments. For comparison, C2H4 and C3H6 adsorption measurements were also carried out for four benchmark adsorbents, namely, HKUST-1, MIL-101(Cr), ZIF-8, and a commercial activated carbon. ZIF-8, MIL-101(Cr), and HKUST-1 were all prepared by reported methods [45,46,47], and activated carbon was purchased from Sigma-Aldrich. Before the C2H4 and C3H6 adsorption measurements, PXRD measurements and/or N2 adsorption experiments at 77 K were performed for those adsorbents (Figures S3–S9). According to the adsorption experiments, their porosities are evaluated and shown in Table 1.
As shown in Figure 2c, for HKUST-1 and activated carbon, the C3H6 uptakes increase abruptly at the low-pressure range (~140 and 90 cm3 g−1 at 0.1 bar), and after a gradual increase at the high-pressure range, the uptakes reach 167.0 and 128.9 cm3 g−1 at 1 bar, respectively. The C2H4 adsorption isotherms of the two adsorbents share a similar profile to the C3H6 adsorption isotherms with lower uptakes, being 136.5 and 98.8 cm3 g−1 at 1 bar, respectively. In contrast, for MIL-101(Cr) and ZIF-8, the uptakes of C3H6 or C2H4 all gradually increase in the full pressure range. Notably, although MIL-101(Cr) has a larger pore volume (1.47 cm3 g−1) than Fe2Mn-L (1.29 cm3 g−1), its C3H6 and C2H4 uptakes at 1 bar (196.6 and 62.1 cm3 g−1) is obviously lower than those of Fe2Mn-L (291.1 and 87.5 cm3 g−1). Additionally, the gas uptakes of ZIF-8 are the lowest among all the tested adsorbents, being 80.6 and 26.4 cm3 g−1 at 1 bar for C3H6 and C2H4, respectively, although its pore volume is clearly higher than those of HKUST-1 and activated carbon (Table 1). The C3H6 uptake of Fe2Mn-L at 1 bar is higher than those of the other adsorbents, but its C2H4 uptake is lower than that of HKUST-1 and activated carbon. The C3H6/C2H4 uptake ratios at 1 bar are 3.3, 3.2, 3.1, 1.3, and 1.2 for Fe2Mn-L, MIL-101(Cr), ZIF-8, activated carbon, and HKUST-1, respectively. The C3H6 and C2H4 adsorption isotherms of MIL-101(Cr), ZIF-8, and HKUST-1 were also previously reported [20,38,40,58,59,60,61], and those reported results are basically consistent with those presented in this work. Some slight differences may result from the subtle difference in sample preparation and/or activation.
To assess their capability of selectively adsorbing C3H6 from C3H6/C2H4 mixture, the IAST selectivities [53] were predicted for the five adsorbents to 1:1 and 1:9 binary C3H6/C2H4 gases, respectively. The results show that C3H6/C2H4 selectivities for HKUST-1 and activated carbon are higher than those for Fe2Mn-L, MIL-101(Cr), and ZIF-8, especially at low-pressure range (Figure 3a,b). The selectivities of HKUST-1, activated carbon, Fe2Mn-L, ZIF-8, and MIL-101(Cr) at 1 bar are 16.3, 11.6, 7.8, 6.7, and 6.6 for the 1:1 binary C3H6/C2H4 gas, and 18.0, 14.4, 7.6, 7.0, and 6.3 for the binary 1:9 C3H6/C2H4 gas, respectively. Noteworthily, the order of the adsorbents in their IAST selectivities at 1 bar (HKUST-1 > activated carbon > Fe2Mn-L > ZIF-8 > MIL-101(Cr)) is dramatically different from the order of the adsorbents in their C3H6/C2H4 uptake ratios at 1 bar in adsorption experiments of pure gases (Fe2Mn-L > MIL-101(Cr) > ZIF-8 > activated carbon > HKUST-1).
For a better understanding of the C3H6 and C2H4 adsorption behavior and the IAST predicted C3H6/C2H4 selectivities, the C3H6 and C2H4 adsorption heats (Qst) were estimated for the adsorbents by Clausius–Clapeyron equation using Toth equation fitting parameters from adsorption results obtained at 273 and 298 K (Figures S10–S19) [51,52]. For C2H4 adsorption, the Qst values for HKUST-1, activated carbon, Fe2Mn-L, and MIL-101(Cr) decrease as the loadings increase, whereas the Qst values for ZIF-8 increase at low loading and stabilize at higher loadings (Figure 3c). The Qst values at low loading for HKUST-1, activated carbon, Fe2Mn-L, MIL-101(Cr) (45.1, 32.5, 38.9, 35.8 kJ mol−1) are obviously larger than the Qst of ZIF-8 (13.8 kJ mol−1), which is similar to the vaporization enthalpy of C2H4 (~14 kJ mol−1). For C3H6 adsorption, the Qst values for MIL-101(Cr) (from 34.3 to 26.7 kJ mol−1) and activated carbon (from 38.5 to 32.5 kJ mol−1) decrease as the loading increase, while the Qst values for HKUST-1, ZIF-8 and Fe2Mn-L first gradually decrease from low loading and then increase at high loading (Figure 3d), changing from 48.5, 29.0, and 39.9 kJ mol−1, to 35.0, 26.8, and 28.4 kJ mol−1, and eventually to 41.0, 35.6, and 34.1 kJ mol−1, respectively. Qst values of the adsorbents are obviously large than the vaporization enthalpy of C3H6 (~19 kJ mol−1). The rise of Qst at high loading probably results from the rising of guest-guest interactions.
The above results revealed HKUST-1 and activated carbon show high affinity to the C2 and C3 olefins, which resulted in their high loading of the olefins even at low-pressure ranges. Relatively, the interactions between the olefins and Fe2Mn-L, MIL-101(Cr), or ZIF-8 are low, although, at low pressures, Fe2Mn-L and MIL-101(Cr) also show quite high Qst values. The interaction between Fe2Mn-L and C3H6 is not strong, but it shows high C3H6 uptakes, which should be a result of its high porosity and moderate pore size. It is also suggested that the nature of metal ions in the adsorbents does not profoundly affect their C3H6 and C2H4 adsorption behaviors. For the adsorptive C3H6/C2H4 separation, three key parameters need to be considered, namely, C3H6/C2H4 adsorption selectivity, adsorption capacity, and regeneration energy. Based on the above-mentioned results, among the tested adsorbents, HKUST-1 may outperform the others in high adsorption selectivity, while Fe2Mn-L may be advantageous in high adsorption capacity and facile regeneration for C3H6/C2H4 separation.
The C3H6/C2H4 separation performances of other types of adsorbents have also been reported. For example, Han et al. reported two covalent organic frameworks (COFs), CR-COF-1 and CR-COF-2, by one-pot Suzuki coupling and Schiff’s base reaction [5]. The C3H6 uptakes were 84 and 137 cm3 g−1, and the C2H4 uptakes were 38 and 72 cm3 g−1 at ~1 bar and 298 K for CR-COF-1 and CR-COF-2, respectively. The uptakes are obviously lower than those of Fe2Mn-L (291.1 and 87.5 cm3 g−1). Zhang et al. prepared a blend membrane by doping 15% (mass) polyethylene glycol (PEG600) into the poly(ether-block-amide) (Pebax® 2533) polymer matrix [6]. For a 1:1 binary C3H6/C2H4 gas, the Pebax® 2533/PEG600 membrane showed a C3H6 permeability of 273 barrer and a C3H6/C2H4 selectivity of 4.15 at 293 K and 2 bar, and a C3H6 permeability of 196 barrer and a C3H6/C2H4 selectivity of 8.90 at 238 K and 2 bar. The permselectivities are comparable to the C3H6/C2H4 IAST selectivity of Fe2Mn-L at 298 K and 1 bar for a 1:1 binary C3H6/C2H4 gas (7.8).

3.3. Dynamic Breakthrough of Binary C3H6/C2H4 Gas

To confirm the separation capacities of the adsorbents for a real binary C3H6/C2H4 gas, breakthrough experiments were performed for the quartz tubes packed with the adsorbents by using a binary gas of C3H6/C2H4 (1:9) at room temperature and ambient pressure. The tested adsorbents all show capability to separate the C3H6/C2H4 gas mixture, which is indicated by the gaps between their C2H4 and C3H6 breakthrough curves (Figure 4a). Among the five adsorbents, HKUST-1 showed the longest breakthrough time for C3H6 (530 min g−1), indicating a C3H6 adsorption capacity of 106 cm3 g−1. The C2H4 breakthrough time for HKUST-1 was 62 min g−1, corresponding to a C2H4 adsorption capacity of 112 cm3 g−1. Accordingly, about 842 cm3 g−1 purified C2H4 could be obtained in a breakthrough test of HKUST-1. The C3H6/C2H4 separation capacity is also high for activated carbon according to its breakthrough curves. It captured 69 cm3 g−1 C3H6 and 106 cm3 g−1 C2H4, and about 515 cm3 g−1 purified C2H4 could be obtained for a breakthrough run. Fe2Mn-L captured about 73 cm3 g−1 C3H6 before C3H6 started to penetrate the MOF column. Meanwhile, 153 cm3 g−1 C2H4 was adsorbed, and the productivity of purified C2H4 in each breakthrough run was 504 cm3 g−1 for Fe2Mn-L, slightly less than the productivity of activated carbon. The C2H4 and C3H6 adsorption capacities of ZIF-8 and MIL-101(Cr) were obviously lower, and only about 181 and 271 cm3 g−1 purified C2H4 could be obtained in each of their breakthrough tests, respectively.
The binary gas breakthrough experiment results are in good accordance with the results of adsorption isotherm measurements for the individual gases, IAST selectivity, and adsorption heat calculations. Specifically, HKUST-1 exhibited high Qst and uptakes for both C3H6 and C2H4, and its C3H6/C2H4 IAST selectivities were also high relative to those of the other tested adsorbents. A high C3H6/C2H4 separation performance was indeed observed in the binary gas breakthrough experiment for HKUST-1. Similar results were also observed for activated carbon, except that it exhibited lower adsorption capacities than HKUST-1. For Fe2Mn-L, although its C3H6/C2H4 IAST selectivities were obviously lower than those of HKUST-1 and activated carbon, it still showed a high C3H6/C2H4 separation performance for a real binary gas. Compared with HKUST-1, Fe2Mn-L shows lower productivity of purified C2H4 in a breakthrough run, and the C2H4 productivities of Fe2Mn-L and activated carbon are close. However, it should be noted that the Qst values of Fe2Mn-L for C3H6 and C2H4 adsorption are much lower than those of HKUST-1 and activated carbon, which would lead to its advantage in regeneration with less energy consumption. This conjecture is further sustained by the comparison of C3H6 and C2H4 desorption dynamics of the adsorbents. After C3H6 and C2H4 were saturatedly adsorbed by the adsorbents during breakthrough experiments, the adsorbents were regenerated by purging a He flow. It was found that the evacuation of adsorbed gases in Fe2Mn-L was clearly faster than that of HKUST-1 or activated carbon (Figure 4b).

4. Conclusions

In summary, three new isostructural MOFs, Fe2M-L (M = Mn2+, Co2+, or Ni2+), have been obtained, which all show large surface areas (BET: ~3100 m2 g−1) and high pore volumes (~1.3 cm3 g−1). Adsorption isotherms at room temperature suggest the MOFs uptake ~300 cm3 g−1 C3H6 and ~90 cm3 g−1 C2H4 at 1 bar. The potential of the MOFs in C3H6/C2H4 separation has been further evaluated by IAST selectivity prediction, adsorption heat calculations, and dynamic binary C3H6/C2H4 (1:9) gas breakthrough experiments. The predicted IAST C3H6/C2H4 adsorption selectivity for Fe2Mn-L is ~8 at 298 K and 1 bar. The C3H6 and C2H4 adsorption heats for Fe2Mn-L are estimated to be 28–40 kJ mol−1 and 20–38 kJ mol−1, respectively. A binary gas breakthrough experiment confirms the capability of Fe2Mn-L to selectively adsorb C3H6 over C2H4, producing 469 cm3 g−1 purified C2H4 in a breakthrough run. In addition, the C3H6/C2H4 separation performances of four other benchmark adsorbents, HKUST-1, MIL-101(Cr), ZIF-8, and activated carbon, were also studied for comparison. The results reveal that Fe2M-L are promising adsorbents for C3H6/C2H4 separation with low energy penalty in regeneration, although HKUST-1 shows higher C3H6/C2H4 adsorption selectivity and productivity of purified C2H4 than Fe2M-L and the other tested adsorbents.

Supplementary Materials

The following supporting information can be downloaded at: https://www.mdpi.com/article/10.3390/ma16010154/s1, Figures S1–S24: supporting TGA curves, PXRD patterns and adsorption isotherms; Table S1: crystal data and structure refinements for Fe2M-L; Table S2: ICP-AES analysis results for the bulk samples of Fe2M-L.

Author Contributions

Conceptualization, X.-M.L. and L.-H.X.; methodology, X.-M.L.; validation, L.-H.X. and Y.W.; investigation, X.-M.L. and L.-H.X.; writing—original draft preparation, X.-M.L.; writing—review and editing, L.-H.X. and Y.W.; supervision, L.-H.X. and Y.W.; project administration, Y.W.; funding acquisition, X.-M.L. and Y.W. All authors have read and agreed to the published version of the manuscript.

Funding

This research was funded by the R&D Program of Beijing Municipal Education Commission (Grant No. KM202210005009) and the National Key R&D Program of China (Grant No. 2018YFC1903303).

Institutional Review Board Statement

Not applicable.

Informed Consent Statement

Not applicable.

Data Availability Statement

The data presented in this study are available on request from the corresponding authors.

Conflicts of Interest

The authors declare no conflict of interest.

References

  1. Galvis, H.M.T.; Bitter, J.H.; Khare, C.B.; Ruitenbeek, M.; Dugulan, A.I.; de Jong, K.P. Supported Iron Nanoparticles as Catalysts for Sustainable Production of Lower Olefins. Science 2012, 335, 835–838. [Google Scholar] [CrossRef] [PubMed]
  2. Santos, V.P.; Wezendonk, T.A.; Jaén, J.J.D.; Dugulan, A.I.; Nasalevich, M.A.; Islam, H.-U.; Chojecki, A.; Sartipi, S.; Sun, X.; Hakeem, A.A.; et al. Metal organic framework-mediated synthesis of highly active and stable Fischer-Tropsch catalysts. Nat. Commun. 2015, 6, 6451. [Google Scholar] [CrossRef]
  3. Jiao, F.; Li, J.; Pan, X.; Xiao, J.; Li, H.; Ma, H.; Wei, M.; Pan, Y.; Zhou, Z.; Li, M.; et al. Selective conversion of syngas to light olefins. Science 2016, 351, 1065–1068. [Google Scholar] [CrossRef]
  4. Zhong, L.; Yu, F.; An, Y.; Zhao, Y.; Sun, Y.; Li, Z.; Lin, T.; Lin, Y.; Qi, X.; Dai, Y.; et al. Cobalt carbide nanoprisms for direct production of lower olefins from syngas. Nature 2016, 538, 84–87. [Google Scholar] [CrossRef]
  5. Han, X.-H.; Gong, K.; Huang, X.; Yang, J.-W.; Feng, X.; Xie, J.; Wang, B. Syntheses of Covalent Organic Frameworks via a One-Pot Suzuki Coupling and Schiff’s Base Reaction for C2H4/C3H6 Separation. Angew. Chem. Int. Ed. 2022, 61, e202202912. [Google Scholar] [CrossRef]
  6. Zhang, X.; Wang, X.; Huang, W. Separation of a C3H6/C2H4 mixture using Pebax® 2533/PEG600 blend membranes. Chin. J. Chem. Eng. 2022, in press. [Google Scholar] [CrossRef]
  7. Zhang, X.; Yan, M.; Feng, X.; Wang, X.; Huang, W. Ethylene/propylene separation using mixed matrix membranes of poly (ether block amide)/nano-zeolite (NaY or NaA). Korean J. Chem. Eng. 2021, 38, 576–586. [Google Scholar] [CrossRef]
  8. Liu, L.; Chakma, A.; Feng, X. Sorption, diffusion, and permeation of light olefins in poly(ether block amide) membranes. Chem. Eng. Sci. 2006, 61, 6142–6153. [Google Scholar] [CrossRef]
  9. Choi, S.-H.; Kim, J.-H.; Lee, S.-B. Sorption and permeation behaviors of a series of olefins and nitrogen through PDMS membranes. J. Membr. Sci. 2007, 299, 54–62. [Google Scholar] [CrossRef]
  10. Ye, P.; Fang, Z.; Su, B.; Xing, H.; Yang, Y.; Su, Y.; Ren, Q. Adsorption of Propylene and Ethylene on 15 Activated Carbons. J. Chem. Eng. Data 2010, 55, 5669–5672. [Google Scholar] [CrossRef]
  11. Zhou, H.-C.; Long, J.R.; Yaghi, O.M. Introduction to Metal–Organic Frameworks. Chem. Rev. 2012, 112, 673–674. [Google Scholar] [CrossRef] [PubMed]
  12. Zhou, H.-C.; Kitagawa, S. Metal-Organic Frameworks (MOFs). Chem. Soc. Rev. 2014, 43, 5415–5418. [Google Scholar] [CrossRef]
  13. Kaskel, S. The Chemistry of Metal-Organic Frameworks: Synthesis, Characterization, and Applications; Wiley-VCH: Weinheim, Germany, 2016. [Google Scholar]
  14. Xu, Q.; Kitagawa, H. MOFs: New Useful Materials—A Special Issue in Honor of Prof. Susumu Kitagawa. Adv. Mater. 2018, 30, 1803613. [Google Scholar] [CrossRef] [PubMed]
  15. Chen, L.; Wang, H.-F.; Li, C.; Xu, Q. Bimetallic metal–organic frameworks and their derivatives. Chem. Sci. 2020, 11, 5369–5403. [Google Scholar] [CrossRef] [PubMed]
  16. Abednatanzi, S.; Gohari Derakhshandeh, P.; Depauw, H.; Coudert, F.-X.; Vrielinck, H.; Van Der Voort, P.; Leus, K. Mixed-metal metal–organic frameworks. Chem. Soc. Rev. 2019, 48, 2535–2565. [Google Scholar] [CrossRef]
  17. Feng, D.; Wang, K.; Wei, Z.; Chen, Y.-P.; Simon, C.M.; Arvapally, R.K.; Martin, R.L.; Bosch, M.; Liu, T.-F.; Fordham, S.; et al. Kinetically tuned dimensional augmentation as a versatile synthetic route towards robust metal–organic frameworks. Nat. Commun. 2014, 5, 5723. [Google Scholar] [CrossRef]
  18. Dong, C.; Yang, J.-J.; Xie, L.-H.; Cui, G.; Fang, W.-H.; Li, J.-R. Catalytic ozone decomposition and adsorptive VOCs removal in bimetallic metal-organic frameworks. Nat. Commun. 2022, 13, 4991. [Google Scholar] [CrossRef]
  19. Liao, P.-Q.; Zhang, W.-X.; Zhang, J.-P.; Chen, X.-M. Efficient purification of ethene by an ethane-trapping metal-organic framework. Nat. Commun. 2015, 6, 8697. [Google Scholar] [CrossRef]
  20. Zhang, Y.; Li, B.; Krishna, R.; Wu, Z.; Ma, D.; Shi, Z.; Pham, T.; Forrest, K.; Space, B.; Ma, S. Highly selective adsorption of ethylene over ethane in a MOF featuring the combination of open metal site and π-complexation. Chem. Commun. 2015, 51, 2714–2717. [Google Scholar] [CrossRef]
  21. Gücüyener, C.; van den Bergh, J.; Gascon, J.; Kapteijn, F. Ethane/Ethene Separation Turned on Its Head: Selective Ethane Adsorption on the Metal−Organic Framework ZIF-7 through a Gate-Opening Mechanism. J. Am. Chem. Soc. 2010, 132, 17704–17706. [Google Scholar] [CrossRef]
  22. Li, L.; Lin, R.-B.; Krishna, R.; Li, H.; Xiang, S.; Wu, H.; Li, J.; Zhou, W.; Chen, B. Ethane/ethylene separation in a metal-organic framework with iron-peroxo sites. Science 2018, 362, 443–446. [Google Scholar] [CrossRef] [PubMed]
  23. Chen, K.-J.; Madden, D.G.; Mukherjee, S.; Pham, T.; Forrest, K.A.; Kumar, A.; Space, B.; Kong, J.; Zhang, Q.-Y.; Zaworotko, M.J. Synergistic sorbent separation for one-step ethylene purification from a four-component mixture. Science 2019, 366, 241–246. [Google Scholar] [CrossRef] [PubMed]
  24. Lin, R.-B.; Li, L.; Zhou, H.-L.; Wu, H.; He, C.; Li, S.; Krishna, R.; Li, J.; Zhou, W.; Chen, B. Molecular sieving of ethylene from ethane using a rigid metal–organic framework. Nat. Mater. 2018, 17, 1128–1133. [Google Scholar] [CrossRef] [PubMed]
  25. Bloch, E.D.; Queen, W.L.; Krishna, R.; Zadrozny, J.M.; Brown, C.M.; Long, J.R. Hydrocarbon Separations in a Metal-Organic Framework with Open Iron(II) Coordination Sites. Science 2012, 335, 1606–1610. [Google Scholar] [CrossRef] [PubMed]
  26. Cadiau, A.; Adil, K.; Bhatt, P.M.; Belmabkhout, Y.; Eddaoudi, M. A metal-organic framework–based splitter for separating propylene from propane. Science 2016, 353, 137–140. [Google Scholar] [CrossRef]
  27. Zeng, H.; Xie, M.; Wang, T.; Wei, R.-J.; Xie, X.-J.; Zhao, Y.; Lu, W.; Li, D. Orthogonal-array dynamic molecular sieving of propylene/propane mixtures. Nature 2021, 595, 542–548. [Google Scholar] [CrossRef]
  28. Liang, B.; Zhang, X.; Xie, Y.; Lin, R.-B.; Krishna, R.; Cui, H.; Li, Z.; Shi, Y.; Wu, H.; Zhou, W.; et al. An Ultramicroporous Metal–Organic Framework for High Sieving Separation of Propylene from Propane. J. Am. Chem. Soc. 2020, 142, 17795–17801. [Google Scholar] [CrossRef]
  29. Wang, H.; Dong, X.; Colombo, V.; Wang, Q.; Liu, Y.; Liu, W.; Wang, X.-L.; Huang, X.-Y.; Proserpio, D.M.; Sironi, A.; et al. Tailor-Made Microporous Metal–Organic Frameworks for the Full Separation of Propane from Propylene Through Selective Size Exclusion. Adv. Mater. 2018, 30, e1805088. [Google Scholar] [CrossRef]
  30. Yu, L.; Han, X.; Wang, H.; Ullah, S.; Xia, Q.; Li, W.; Li, J.; da Silva, I.; Manuel, P.; Rudić, S.; et al. Pore Distortion in a Metal–Organic Framework for Regulated Separation of Propane and Propylene. J. Am. Chem. Soc. 2021, 143, 19300–19305. [Google Scholar] [CrossRef]
  31. Wang, G.-D.; Li, Y.-Z.; Shi, W.-J.; Hou, L.; Wang, Y.-Y.; Zhu, Z. One-Step C2H4 Purification from Ternary C2H6/C2H4/C2H2 Mixtures by a Robust Metal–Organic Framework with Customized Pore Environment. Angew. Chem. Int. Ed. 2022, e202205427. [Google Scholar] [CrossRef]
  32. Shen, J.; He, X.; Ke, T.; Krishna, R.; van Baten, J.M.; Chen, R.; Bao, Z.; Xing, H.; Dincǎ, M.; Zhang, Z.; et al. Simultaneous interlayer and intralayer space control in two-dimensional metal−organic frameworks for acetylene/ethylene separation. Nat. Commun. 2020, 11, 6259. [Google Scholar] [CrossRef] [PubMed]
  33. Pei, J.; Shao, K.; Wang, J.-X.; Wen, H.-M.; Yang, Y.; Cui, Y.; Krishna, R.; Li, B.; Qian, G. A Chemically Stable Hofmann-Type Metal−Organic Framework with Sandwich-Like Binding Sites for Benchmark Acetylene Capture. Adv. Mater. 2020, 32, e1908275. [Google Scholar] [CrossRef] [PubMed]
  34. Liao, P.-Q.; Huang, N.-Y.; Zhang, W.-X.; Zhang, J.-P.; Chen, X.-M. Controlling guest conformation for efficient purification of butadiene. Science 2017, 356, 1193–1196. [Google Scholar] [CrossRef] [PubMed]
  35. Zhang, L.; Jiang, K.; Yang, L.; Li, L.; Hu, E.; Yang, L.; Shao, K.; Xing, H.; Cui, Y.; Yang, Y.; et al. Benchmark C2H2/CO2 Separation in an Ultra-Microporous Metal-Organic Framework via Copper(I)-Alkynyl Chemistry. Angew. Chem. Int. Ed. 2021, 60, 15995–16002. [Google Scholar] [CrossRef]
  36. Pei, J.; Wen, H.-M.; Gu, X.-W.; Qian, Q.-L.; Yang, Y.; Cui, Y.; Li, B.; Chen, B.; Qian, G. Dense Packing of Acetylene in a Stable and Low-Cost Metal-Organic Framework for Efficient C2H2/CO2 Separation. Angew. Chem. Int. Ed. 2021, 60, 25068–25074. [Google Scholar] [CrossRef]
  37. Gu, X.-W.; Wang, J.-X.; Wu, E.; Wu, H.; Zhou, W.; Qian, G.; Chen, B.; Li, B. Immobilization of Lewis Basic Sites into a Stable Ethane-Selective MOF Enabling One-Step Separation of Ethylene from a Ternary Mixture. J. Am. Chem. Soc. 2022, 144, 2614–2623. [Google Scholar] [CrossRef]
  38. Lamia, N.; Jorge, M.; Granato, M.A.; Almeida Paz, F.A.; Chevreau, H.; Rodrigues, A.E. Adsorption of propane, propylene and isobutane on a metal–organic framework: Molecular simulation and experiment. Chem. Eng. Sci. 2009, 64, 3246–3259. [Google Scholar] [CrossRef]
  39. Böhme, U.; Barth, B.; Paula, C.; Kuhnt, A.; Schwieger, W.; Mundstock, A.; Caro, J.; Hartmann, M. Ethene/Ethane and Pro-pene/Propane Separation via the Olefin and Paraffin Selective Metal–Organic Framework Adsorbents CPO-27 and ZIF-8. Langmuir 2013, 29, 8592–8600. [Google Scholar] [CrossRef]
  40. Su, W.; Zhang, A.; Sun, Y.; Ran, M.; Wang, X. Adsorption Properties of C2H4 and C3H6 on 11 Adsorbents. J. Chem. Eng. Data 2017, 62, 417–421. [Google Scholar] [CrossRef]
  41. Huang, X.-C.; Lin, Y.-Y.; Zhang, J.-P.; Chen, X.-M. Ligand-Directed Strategy for Zeolite-Type Metal–Organic Frameworks: Zinc(II) Imidazolates with Unusual Zeolitic Topologies. Angew. Chem. Int. Ed. 2006, 45, 1557–1559. [Google Scholar] [CrossRef]
  42. Park, K.S.; Ni, Z.; Côté, A.P.; Choi, J.Y.; Huang, R.D.; Uribe-Romo, F.J.; Chae, H.K.; O’Keeffe, M.; Yaghi, O.M. Exceptional chemical and thermal stability of zeolitic imidazolate frameworks. Proc. Natl. Acad. Sci. USA 2006, 103, 10186–10191. [Google Scholar] [CrossRef] [PubMed]
  43. Férey, G.; Mellot-Draznieks, C.; Serre, C.; Millange, F.; Dutour, J.; Surblé, S.; Margiolaki, I. A Chromium Terephthalate-Based Solid with Unusually Large Pore Volumes and Surface Area. Science 2005, 309, 2040–2042. [Google Scholar] [CrossRef] [PubMed]
  44. Chui, S.S.Y.; Lo, S.M.F.; Charmant, J.P.H.; Orpen, A.G.; Williams, I.D. A chemically functionalizable nanoporous material [Cu3(TMA)2(H2O)3]n. Science 1999, 283, 1148–1150. [Google Scholar] [CrossRef] [PubMed]
  45. Cravillon, J.; Münzer, S.; Lohmeier, S.-J.; Feldhoff, A.; Huber, K.; Wiebcke, M. Rapid Room-Temperature Synthesis and Characterization of Nanocrystals of a Prototypical Zeolitic Imidazolate Framework. Chem. Mater. 2009, 21, 1410–1412. [Google Scholar] [CrossRef]
  46. Zhao, T.; Jeremias, F.; Boldog, I.; Nguyen, B.; Henninger, S.K.; Janiak, C. High-yield, fluoride-free and large-scale synthesis of MIL-101(Cr). Dalton Trans. 2015, 44, 16791–16801. [Google Scholar] [CrossRef]
  47. Huo, J.; Brightwell, M.; El Hankari, S.; Garai, A.; Bradshaw, D. A versatile, industrially relevant, aqueous room temperature synthesis of HKUST-1 with high space-time yield. J. Mater. Chem. A 2013, 1, 15220–15223. [Google Scholar] [CrossRef]
  48. Sheldrick, G.M. A short history of SHELX. Acta Crystallogr. Sect. A 2008, A64, 112–122. [Google Scholar] [CrossRef]
  49. Spek, A.L. Structure validation in chemical crystallography. Acta Cryst. D 2009, 65, 148–155. [Google Scholar] [CrossRef]
  50. Brandenburg, K. Diamond, Version 3.1d. Copyright 1997–2006. Crystal Impact GbR: Bonn, Germany, 2006.
  51. Tóth, J. Uniform interpretation of gas/solid adsorption. Adv. Colloid Interface Sci. 1995, 55, 1–239. [Google Scholar] [CrossRef]
  52. Pan, H.; Ritter, A.J.A.; Balbuena, P.B. Examination of the Approximations Used in Determining the Isosteric Heat of Adsorption from the Clausius−Clapeyron Equation. Langmuir 1998, 14, 6323–6327. [Google Scholar] [CrossRef]
  53. Myers, A.L.; Prausnitz, J.M. Thermodynamics of mixed-gas adsorption. AIChE J. 1965, 11, 121–127. [Google Scholar] [CrossRef]
  54. Schaate, A.; Roy, P.; Godt, A.; Lippke, J.; Waltz, F.; Wiebcke, M.; Behrens, P. Modulated Synthesis of Zr-Based Metal-Organic Frameworks: From Nano to Single Crystals. Chem. A Eur. J. 2011, 17, 6643–6651. [Google Scholar] [CrossRef] [PubMed]
  55. Zhang, F.-M.; Dong, L.-Z.; Qin, J.-S.; Guan, W.; Liu, J.; Li, S.-L.; Lu, M.; Lan, Y.-Q.; Su, Z.-M.; Zhou, H.-C. Effect of Imidazole Arrangements on Proton-Conductivity in Metal–Organic Frameworks. J. Am. Chem. Soc. 2017, 139, 6183–6189. [Google Scholar] [CrossRef] [PubMed]
  56. Zhang, J.-W.; Ji, W.-J.; Hu, M.-C.; Li, S.-N.; Jiang, Y.-C.; Zhang, X.-M.; Qu, P.; Zhai, Q.-G. A superstable 3p-block metal–organic framework platform towards prominent CO2 and C1/C2-hydrocarbon uptake and separation performance and strong Lewis acid catalysis for CO2 fixation. Inorg. Chem. Front. 2019, 6, 813–819. [Google Scholar] [CrossRef]
  57. Fan, W.; Yuan, S.; Wang, W.; Feng, L.; Liu, X.; Zhang, X.; Wang, X.; Kang, Z.; Dai, F.; Yuan, D.; et al. Optimizing Multivariate Metal–Organic Frameworks for Efficient C2H2/CO2 Separation. J. Am. Chem. Soc. 2020, 142, 8728–8737. [Google Scholar] [CrossRef]
  58. Fang, M.; Zhang, G.; Liu, Y.; Xiong, R.; Wu, W.; Yang, F.; Liu, L.; Chen, J.; Li, J. Exploiting Giant-Pore Systems of Nanosized MIL-101 in PDMS Matrix for Facilitated Reverse-Selective Hydrocarbon Transport. ACS Appl. Mater. Interfaces 2020, 12, 1511–1522. [Google Scholar] [CrossRef]
  59. Ma, Q.; Mo, K.; Gao, S.; Xie, Y.; Wang, J.; Jin, H.; Feldhoff, A.; Xu, S.; Lin, J.Y.S.; Li, Y. Ultrafast Semi-Solid Processing of Highly Durable ZIF-8 Membranes for Propylene/Propane Separation. Angew. Chem. Int. Ed. 2020, 59, 21909–21914. [Google Scholar] [CrossRef]
  60. James, J.B.; Wang, J.; Meng, L.; Lin, Y.S. ZIF-8 Membrane Ethylene/Ethane Transport Characteristics in Single and Binary Gas Mixtures. Ind. Eng. Chem. Res. 2017, 56, 7567–7575. [Google Scholar] [CrossRef]
  61. Zhang, X.; Cui, H.; Lin, R.-B.; Krishna, R.; Zhang, Z.-Y.; Liu, T.; Liang, B.; Chen, B. Realization of Ethylene Production from Its Quaternary Mixture through Metal–Organic Framework Materials. ACS Appl. Mater. Interfaces 2021, 13, 22514–22520. [Google Scholar] [CrossRef]
Figure 1. (a) two types of building units, (b) octahedral, (c) tetrakaidecahedral cages, and (d) packing of the two types of cages in Fe2M-L. Color code: Fe, yellow; M, green; C, black; O, red.
Figure 1. (a) two types of building units, (b) octahedral, (c) tetrakaidecahedral cages, and (d) packing of the two types of cages in Fe2M-L. Color code: Fe, yellow; M, green; C, black; O, red.
Materials 16 00154 g001
Figure 2. (a) Adsorption isotherms of N2 measured at 77 K for Fe2M-L; (b) adsorption isotherms of C2H4 (open symbols) and C3H6 (filled symbols) recorded at 298 K for Fe2M-L, and (c) C2H4 (open symbols) and C3H6 (filled symbols) adsorption isotherms at 298 K for HKUST-1, MIL-101(Cr), ZIF-8, activated carbon and Fe2Mn-L.
Figure 2. (a) Adsorption isotherms of N2 measured at 77 K for Fe2M-L; (b) adsorption isotherms of C2H4 (open symbols) and C3H6 (filled symbols) recorded at 298 K for Fe2M-L, and (c) C2H4 (open symbols) and C3H6 (filled symbols) adsorption isotherms at 298 K for HKUST-1, MIL-101(Cr), ZIF-8, activated carbon and Fe2Mn-L.
Materials 16 00154 g002
Figure 3. C3H6/C2H4 IAST selectivity of the adsorbents for 1:1 (a) and 1:9 (b) gas mixtures and their isosteric heats of C2H4 (c) and C3H6 (d) adsorption calculated from adsorption isotherms recorded at 273 and 298 K, respectively.
Figure 3. C3H6/C2H4 IAST selectivity of the adsorbents for 1:1 (a) and 1:9 (b) gas mixtures and their isosteric heats of C2H4 (c) and C3H6 (d) adsorption calculated from adsorption isotherms recorded at 273 and 298 K, respectively.
Materials 16 00154 g003
Figure 4. (a) Breakthrough curves of 1:9 binary C3H6/C2H4 gas in a flow rate of 2 SCCM (standard cubic centimeters per minute) passing through the columns packed with the adsorbents at ambient conditions. Open symbols are for C2H4, and filled symbols are for C3H6. CA/C0: outlet concentration/feed concentration. (b) Monitoring the gas desorption processes in the breakthrough columns after adsorption saturation by purging a He flow (10 SCCM).
Figure 4. (a) Breakthrough curves of 1:9 binary C3H6/C2H4 gas in a flow rate of 2 SCCM (standard cubic centimeters per minute) passing through the columns packed with the adsorbents at ambient conditions. Open symbols are for C2H4, and filled symbols are for C3H6. CA/C0: outlet concentration/feed concentration. (b) Monitoring the gas desorption processes in the breakthrough columns after adsorption saturation by purging a He flow (10 SCCM).
Materials 16 00154 g004
Table 1. The porosities of HKUST-1, MIL-101(Cr), ZIF-8, activated carbon, and Fe2M-L estimated by their N2 adsorption data.
Table 1. The porosities of HKUST-1, MIL-101(Cr), ZIF-8, activated carbon, and Fe2M-L estimated by their N2 adsorption data.
AdsorbentPore Volume (cm3 g−1)SBET (m2 g−1)SLangmuir (m2 g−1)
HKUST-10.631513.61759.3
MIL-101(Cr)1.472691.84702.1
ZIF-80.851510.82007.9
activated carbon0.461086.41262.6
Fe2Mn-L1.293105.23599.6
Fe2Co-L1.323168.13674.5
Fe2Ni-L1.313168.93674.3
Disclaimer/Publisher’s Note: The statements, opinions and data contained in all publications are solely those of the individual author(s) and contributor(s) and not of MDPI and/or the editor(s). MDPI and/or the editor(s) disclaim responsibility for any injury to people or property resulting from any ideas, methods, instructions or products referred to in the content.

Share and Cite

MDPI and ACS Style

Liu, X.-M.; Xie, L.-H.; Wu, Y. Efficient Propylene/Ethylene Separation in Highly Porous Metal–Organic Frameworks. Materials 2023, 16, 154. https://doi.org/10.3390/ma16010154

AMA Style

Liu X-M, Xie L-H, Wu Y. Efficient Propylene/Ethylene Separation in Highly Porous Metal–Organic Frameworks. Materials. 2023; 16(1):154. https://doi.org/10.3390/ma16010154

Chicago/Turabian Style

Liu, Xiao-Min, Lin-Hua Xie, and Yufeng Wu. 2023. "Efficient Propylene/Ethylene Separation in Highly Porous Metal–Organic Frameworks" Materials 16, no. 1: 154. https://doi.org/10.3390/ma16010154

APA Style

Liu, X.-M., Xie, L.-H., & Wu, Y. (2023). Efficient Propylene/Ethylene Separation in Highly Porous Metal–Organic Frameworks. Materials, 16(1), 154. https://doi.org/10.3390/ma16010154

Note that from the first issue of 2016, this journal uses article numbers instead of page numbers. See further details here.

Article Metrics

Back to TopTop