Effect of Reinforcement Ratio and Bond Characteristic on Flexural Behavior of Carbon Textile-Reinforced Concrete Panels
Abstract
1. Introduction
2. Experimental Activity
2.1. Details of Test Specimens
2.2. Materials
2.3. Test Setup
3. Numerical Calculation of TRC Panel
3.1. Flexural Strength
- (1)
- Sections perpendicular to the axis of bending that are plane before bending remain plane after bending.
- (2)
- The concrete matrix and textile are fully bonded, so the strain in the textile is equal to the strain in the concrete matrix at the same level.
- (3)
- The stress–strain relationship of carbon-fiber textile is perfectly linear.
- (4)
- The tensile strength of concrete and compressive strength of carbon-fiber textile are neglected in flexural strength calculations.
- (5)
- Stress induced by flexural load acts only on the warp of the textile reinforcement.
3.2. Midspan Deflection
4. Test Result and Discussion
4.1. Flexural Behavior
4.2. Effect of the Number of Textile Layers
4.3. Effect of the Textile Anchorage Length
4.4. Effect of the Sand–Epoxy Surface Treatment on Textile
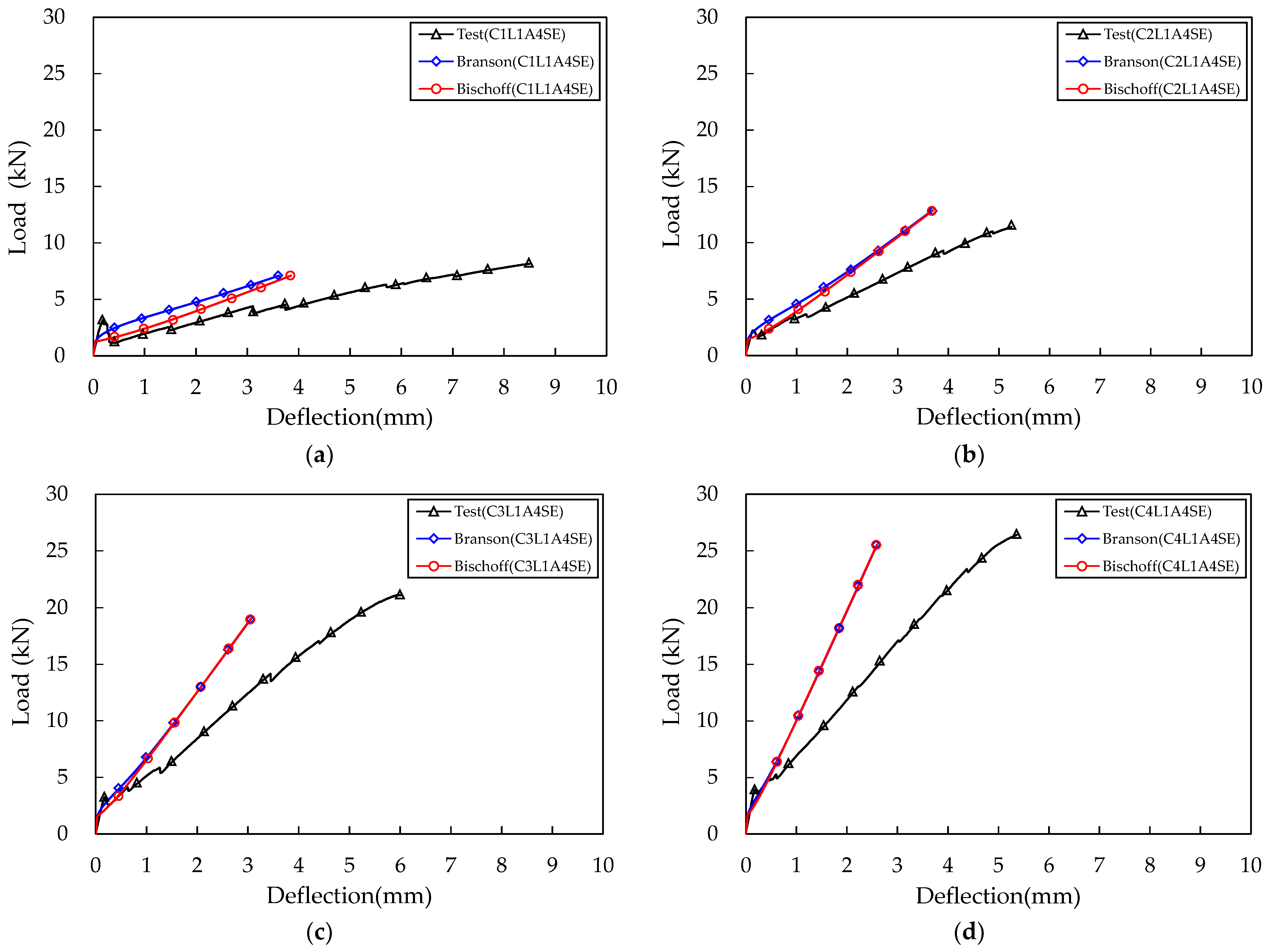
5. Comparison of Experimental Results and Numerical Calculation Results
6. Conclusions
- (1)
- All TRC specimens exhibited a sudden drop in load immediately after the first flexural crack occurred. This is due to the brittle stress redistribution from the concrete matrix to the carbon fabric, and it can be reduced by improving the bond between the matrix and the carbon fabric and increasing the fabric reinforcement ratio.
- (2)
- With an increase in the carbon fabric reinforcement ratio, from one layer to four layers, the degree of load reduction and reduction in flexural stiffness at the time of flexural cracks decreased, and the maximum load and number of cracks increased. This is because the carbon fabric rapidly contributes to the tensile stress acting on the bottom of the concrete matrix.
- (3)
- As the anchorage length increased from 50 mm to 275 mm, the flexural stiffness after the first cracking of the TRC panel increased, and the number of cracks increased.
- (4)
- Sand–epoxy surface treatment and an increase in anchorage length simultaneously contributed to the improvement of the load-carrying capacity of the TRC panel up to 110%. However, the effect of increasing the anchorage length was limited, and additional load-bearing capacity could be improved through sand–epoxy surface treatment.
- (5)
- Comparing the numerical calculation results with the experimental results, it was found that the deflection of the experimental results was approximately 50% larger than the numerical calculation results. This is because the bond between the carbon fabric and the concrete matrix failed, and slip occurred.
Author Contributions
Funding
Institutional Review Board Statement
Informed Consent Statement
Conflicts of Interest
References
- Mobasher, B. Mechanics of Fiber and Textile Reinforced Cement Composites; CRC Press: Boca Raton, FL, USA, 2011. [Google Scholar]
- Peled, A.; Mobasher, B. Textile Reinforced Concrete; CRC Press: Boca Raton, FL, USA, 2017. [Google Scholar]
- Brameshuber, W. Textile Reinforced Concrete Sate of the Art Report of RILEM Committee 201-TRC; RILEM Publications: Bagneux, France, 2007. [Google Scholar]
- Lieboldt, M.; Butler, M.; Mechtcherine, V. Application of Textile Reinforced Concrete (TRC) in Prefabrication. In Proceedings of the Seventh International RILEM Symposium on Fibre Reinforced Concrete: Design and Applications, Chennai, India, 17–19 September 2008; Gettu, R., Ed.; RILEM Publications S.A.R.L: Bagneux, France, 2008; pp. 253–262. [Google Scholar]
- Mechtcherine, V. Novel cement-based composites for the strengthening and repair of concrete structures. Constr. Build. Mater. 2013, 41, 365–373. [Google Scholar] [CrossRef]
- Raoof, S.M.; Koutas, L.N.; Bournas, D.A. Textile-reinforced mortar (TRM) versus fibre-reinforced polymers (FRP) in flexural strengthening of RC beams. Constr. Build. Mater. 2017, 151, 279–291. [Google Scholar] [CrossRef]
- Marchment, T.; Sanjayan, J. Mesh reinforcing method for 3D concrete printing. Autom. Constr. 2020, 109, 102992. [Google Scholar] [CrossRef]
- Hartig, J.; Haussler-Combe, U.; Schicktansz, K. Influence of bond properties on the tensile behavior of textile reinforced concrete. Cem. Concr. Compos. 2007, 30, 279–289. [Google Scholar]
- Ortlepp, R. Efficient adaptive test method for textile development length in TRC. Adv. Civ. Eng. 2018, 2018, 4650102. [Google Scholar] [CrossRef]
- Barducci, S.; Alecci, V.; de Stefano, M.; Misseri, G.; Rovero, L.; Stipo, G. Experimental and analytical investigations on bond behavior of Basalt-FRCM systems. J. Compos. Constr. 2020, 24, 04019055. [Google Scholar] [CrossRef]
- Kouris, L.A.S.; Triantafillou, T.C. State-of-the-art on strengthening of masonry structures with textile reinforced mortar (TRM). Constr. Build. Mater. 2018, 188, 1221–1233. [Google Scholar] [CrossRef]
- Carozzi, F.G.; Bellini, A.; D’Antino, T.; de Felice, G.; Focacci, F.; Hojdys, L.; Laghi, L.; Lanoye, E.; Micelli, F.; Panizza, M.; et al. Experimental investigation of tensile and bond properties of carbon-FRCM composites for strengthening masonry elements. Compos. Part B Eng. 2017, 128, 100–119. [Google Scholar] [CrossRef]
- De Felice, G.; D’Antino, T.; de Santis, S.; Meriggi, P.; Roscini, F. Lessons learned on the tensile and bond behavior of fabric reinforced cementitious matrix (FRCM) composites. Front. Built Environ. 2020, 6, 5. [Google Scholar] [CrossRef]
- De Santis, S.; Carozzi, F.G.; de Felice, G.; Poggi, C. Test methods for Textile Reinforced Mortar systems. Compos. Part B Eng. 2017, 127, 121–132. [Google Scholar] [CrossRef]
- Bertolesi, E.; Carozzi, F.G.; Milani, G.; Poggi, C. Numerical modeling of fabric reinforce cementitious matrix composites (FRCM) in tension. Constr. Build. Mater. 2014, 70, 531–548. [Google Scholar] [CrossRef]
- Sneed, L.; D’Antino, T.; Carloni, C.; Pellegrino, C. A comparison of the bond behavior of PBO-FRCM composites determined by double-lap and single-lap shear tests. Cem. Concr. Compos. 2015, 64, 37–48. [Google Scholar] [CrossRef]
- Askouni, P.; Papanicolaou, C. Comparison of double-lap/double-prism and single-lap/single-prism shear tests for the TRM-to-masonry bond assessment. In Proceedings of the International Conference on Strain-Hardening Cement-Based Composites, Dresden, Germany, 18–20 September 2017; RILEM Book Series 15. pp. 527–534. [Google Scholar]
- ISO 679; Cement—Test Methods—Determination of Strength. International Organization for Standardization: Geneva, Switzerland, 2009.
- KS F 4044; Standard Specification for Hydraulic Cement Grout (Nonshrink). Korean Agency for Technology and Standards: Seoul, Republic of Korea, 2019.
- ASTM C39/C39M; Standard Test Method for Compressive Strength of Cylindrical Concrete Specimens. ASTM International: West Conshohocken, PA, USA, 2020.
- KS F 2405; Standard Test Method for Compressive Strength of Concrete. Korean Agency for Technology and Standards: Seoul, Republic of Korea, 2010.
- ASTM C469/C469M; Standard Test Method for Static Modulus of Elasticity and Poisson’s Ratio of Concrete in Compression. ASTM International: West Conshohocken, PA, USA, 2014.
- KS F 2438; Standard Test Method for Static Modulus of Elasticity and Poisson’s Ratio in Compression of Cylindrical Concrete Specimens. Korean Agency for Technology and Standards: Seoul, Republic of Korea, 2017.
- ACI 318-19/318R-19; Building Code Requirements for Structural Concrete and Commentary. American Concrete Institute: Farmington Hills, MI, USA, 2019.
- Macgregor, J.G.; Wight, J.K. Reinforced Concrete: Mechanics and Design; Prentice Hall: Upper Saddle River, NJ, USA, 2008. [Google Scholar]
- Hognestad, E.; Hanson, N.W.; McHenry, D. Concrete stress distribution in ultimate strength design. J. Am. Concr. Inst. 1955, 52, 455–480. [Google Scholar]
- ACI 440.1R-15; Design and Construction of Structural Concrete Reinforced with FRP Bars. ACI Committee 440; American Concrete Institute: Farmington Hills, MI, USA, 2015.
- Branson, D.E. Deformation of Concrete Structures; McGraw-Hill Book Co.: New York, NY, USA, 1977. [Google Scholar]
- Bischoff, P.H.; Scanlon, A. Effective moment of inertia for calculating deflections of concrete members containing steel reinforcement and fiber-reinforced polymer reinforcement. ACI Struct. J. 2007, 104, 68–75. [Google Scholar]
- Bischoff, P.H. Deflection calculation of FRP reinforced concrete beam based on modifications to the existing Branson equation. J. Compos. Constr. 2007, 11, 4–14. [Google Scholar] [CrossRef]
- Bischoff, P.H.; Gross, S.P. Equivalent moment of inertia based on integration of curvature. J. Compos. Constr. 2011, 15, 263–273. [Google Scholar] [CrossRef]
- Bilotta, A.; Lignola, G.P. Effects of defects on bond behavior of fiber reinforced cementitious matrix. Materials 2020, 13, 164. [Google Scholar] [CrossRef] [PubMed]













| Group | Specimen Name | Number of Fabric Layer | Anchorage Length (mm) | Sand–Epoxy Treatment | Height of Cross Section, h (mm) | Location of Each Fabric Layer from Top Concrete Fiber (mm) | |||
|---|---|---|---|---|---|---|---|---|---|
| I | NF-I | 0 | - | - | 40.0 | - | |||
| C1L1A0 | 1 | 50 | Not applied | 41.6 | 20.9 | ||||
| C2L1A0 | 2 | 50 | Not applied | 44.0 | 12.4 | 27.3 | |||
| C3L1A0 | 3 | 50 | Not applied | 45.6 | 9.7 | 21.8 | 32.7 | ||
| C4L1A0 | 4 | 50 | Not applied | 47.2 | 10.1 | 17.9 | 28.3 | 37.8 | |
| II | NF-II | 0 | - | - | 40.0 | - | |||
| C2L1A1 | 2 | 125 | Not applied | 44.2 | 11.9 | 27.1 | |||
| C2L1A2 | 2 | 175 | Not applied | 44.6 | 12.3 | 27.4 | |||
| C2L1A3 | 2 | 225 | Not applied | 44.4 | 12.0 | 27.1 | |||
| C2L1A4 | 2 | 275 | Not applied | 44.6 | 12.1 | 27.2 | |||
| C1L1A4SE | 1 | 275 | Applied | 41.2 | 20.6 | ||||
| C2L1A4SE | 2 | 275 | Applied | 44.1 | 11.9 | 27.2 | |||
| C2L1A1SE | 2 | 125 | Applied | 43.9 | 12.2 | 27.3 | |||
| C3L1A4SE | 3 | 275 | Applied | 46.2 | 9.5 | 21.5 | 33.3 | ||
| C4L1A4SE | 4 | 275 | Applied | 47.6 | 9.3 | 18.7 | 28.5 | 38.5 | |
| Tensile Strength (MPa) | Elongation (%) | Section Area (mm2/m) | Density (g/m3) | Weight after Coating (g/m2) | Coating | ||
|---|---|---|---|---|---|---|---|
| Warp | 2551 | 1.17 | 142 | 1.8 | 350 | styrene butadiene | |
| Weft | 2847 | 1.24 | 25 | 1.8 | |||
| Test Results | Test Method | ||
|---|---|---|---|
| Flow time by cone test | 45 s. | KS F 4044 [19] Mix ratio (Pre-mixed binder: water) = 100 kg: 15.5 kg | |
| Flow by spread test | Over 300 mm | ||
| Setting time | Initial: 3 h., Final: 4 h. 15 min. | ||
| Bleeding | 0% | ||
| Height of expansion | 1 day: 0.02%, 3 day: 0.01%, 7 day: 0.00%, 28 day: 0.00% | ||
| Compressive strength | 1 day: 16.7 MPa, 3 day: 35.3 MPa, 7 day: 42.5 MPa, 28 day: 58.3 MPa | ||
| Chloride contents | 0.13 kg/m3 | ||
| Test Method | ISO 679 [18], KS F 4044 [19] | ASTM C39 [20], KS F 2405 [21] | ASTM C469 [22], KS F 2438 [23] | |
| Flexural Strength | Compressive Strength | Compressive Strength | Elastic Modulus | |
![]() | ![]() | ![]() | ![]() | |
| Group I | 10.0 MPa | 59.9 MPa | 51.8 MPa | 27.6 GPa |
| Group II | 10.3 MPa | 53.2 MPa | 49.5 MPa | - |
| Specimen Name | Ig/Icr | Textile Reinforcing Ratio (%) | Experiment | Calculation | Ratio (1)/(3) | Ratio (2)/(4) | ||||
|---|---|---|---|---|---|---|---|---|---|---|
| First Cracking Load (kN) | Ultimate Load (kN) (1) | Deflection at 1/3 Mn (mm) (2) | Toughness (N·m) | Ultimate Load (kN) (3) | Deflection at 1/3 Mn (mm) (4) | |||||
| NF-I | - | - | 3.68 (0.290) | 3.68 (0.290) | - | - | 1.65 | - | 2.23 | - |
| C1L1A0 | 16.89 | 0.34 | 3.33 (0.009) | 4.13 (0.097) | 0.12 (0.131) | 42.52 (0.135) | 7.88 | 0.72 | 0.52 | 0.16 |
| C2L1A0 | 12.10 | 0.64 | 3.39 (0.201) | 7.71 (0.052) | 1.69 (0.159) | 113.28 (0.283) | 13.98 | 1.14 | 0.55 | 1.48 |
| C3L1A0 | 7.48 | 0.93 | 4.82 (0.015) | 11.97 (0.075) | 1.81 (0.023) | 159.95 (0.041) | 19.90 | 0.99 | 0.60 | 1.83 |
| C4L1A0 | 5.13 | 1.20 | 4.52 (0.043) | 13.30 (0.015) | 2.33 (0.328) | 127.90 (0.128) | 26.29 | 0.84 | 0.51 | 2.77 |
| NF-II | - | - | 3.01 (0.086) | 3.01 (0.086) | - | - | 1.18 | - | 2.55 | - |
| C2L1A1 | 12.14 | 0.64 | 3.25 (0.109) | 9.16 (0.121) | 2.03 (0.239) | 209.53 (0.511) | 12.79 | 1.11 | 0.72 | 1.83 |
| C2L1A2 | 12.12 | 0.64 | 3.20 (0.257) | 9.97 (0.015) | 1.67 (0.291) | 172.53 (0.527) | 13.01 | 1.10 | 0.77 | 1.52 |
| C2L1A3 | 12.29 | 0.64 | 3.25 (0.157) | 11.70 (0.271) | 2.42 (0.259) | 149.42 (0.289) | 12.78 | 1.10 | 0.92 | 2.20 |
| C2L1A4 | 12.34 | 0.64 | 3.20 (0.106) | 11.04 (0.118) | 1.81 (0.215) | 99.43 (0.274) | 12.86 | 1.10 | 0.86 | 1.65 |
| C1L1A4SE | 18.78 | 0.34 | 3.37 (0.233) | 8.69 (0.170) | 1.11 (0.091) | 102.63 (0.274) | 7.10 | 0.97 | 1.22 | 0.11 |
| C2L1A4SE | 11.81 | 0.65 | 2.34 (0.174) | 12.34 (0.142) | 1.66 (0.237) | 112.78 (0.266) | 12.87 | 1.11 | 0.96 | 1.50 |
| C2L1A1SE | 11.67 | 0.65 | 3.46 (0.099) | 15.28 (0.083) | 1.27 (0.154) | 133.01 (0.206) | 12.94 | 1.11 | 1.18 | 1.15 |
| C3L1A4SE | 7.65 | 0.92 | 3.25 (0.168) | 21.42 (0.053) | 1.36 (0.162) | 230.09 (0.412) | 19.03 | 0.97 | 1.13 | 1.40 |
| C4L1A4SE | 5.28 | 1.19 | 4.50 (0.121) | 27.45 (0.040) | 1.33 (0.031) | 189.91 (0.088) | 25.53 | 0.84 | 1.08 | 1.59 |
Disclaimer/Publisher’s Note: The statements, opinions and data contained in all publications are solely those of the individual author(s) and contributor(s) and not of MDPI and/or the editor(s). MDPI and/or the editor(s) disclaim responsibility for any injury to people or property resulting from any ideas, methods, instructions or products referred to in the content. |
© 2023 by the authors. Licensee MDPI, Basel, Switzerland. This article is an open access article distributed under the terms and conditions of the Creative Commons Attribution (CC BY) license (https://creativecommons.org/licenses/by/4.0/).
Share and Cite
Yang, J.-M.; Lee, J.; Chang, C. Effect of Reinforcement Ratio and Bond Characteristic on Flexural Behavior of Carbon Textile-Reinforced Concrete Panels. Materials 2023, 16, 3703. https://doi.org/10.3390/ma16103703
Yang J-M, Lee J, Chang C. Effect of Reinforcement Ratio and Bond Characteristic on Flexural Behavior of Carbon Textile-Reinforced Concrete Panels. Materials. 2023; 16(10):3703. https://doi.org/10.3390/ma16103703
Chicago/Turabian StyleYang, Jun-Mo, Jongeok Lee, and Chunho Chang. 2023. "Effect of Reinforcement Ratio and Bond Characteristic on Flexural Behavior of Carbon Textile-Reinforced Concrete Panels" Materials 16, no. 10: 3703. https://doi.org/10.3390/ma16103703
APA StyleYang, J.-M., Lee, J., & Chang, C. (2023). Effect of Reinforcement Ratio and Bond Characteristic on Flexural Behavior of Carbon Textile-Reinforced Concrete Panels. Materials, 16(10), 3703. https://doi.org/10.3390/ma16103703





