The Influence of Special Environments on SiC MOSFETs
Abstract
:1. Introduction
2. Experimental Setup
3. Results and Discussion
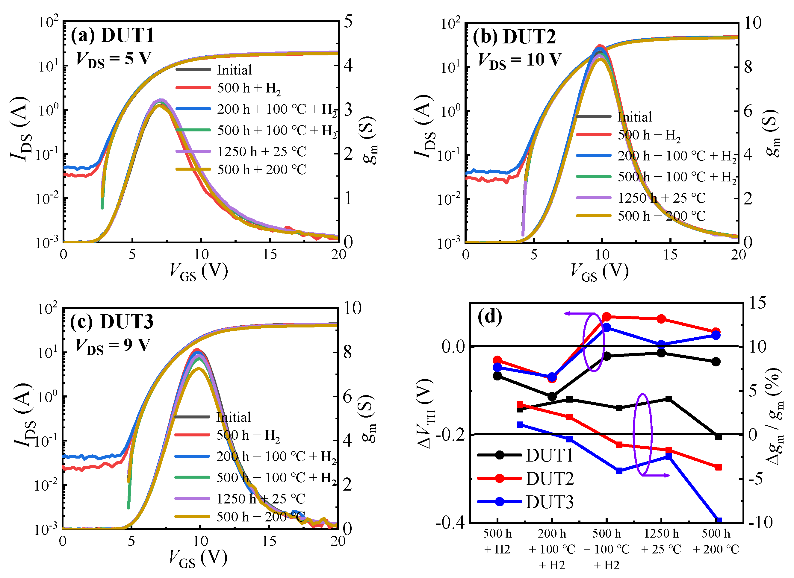
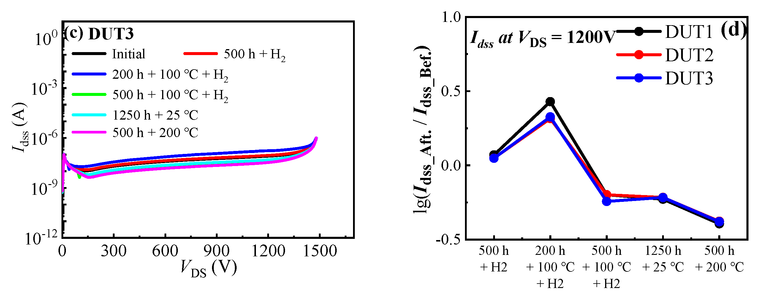
3.1. The Influence of Hydrogen Gas on SiC MOSFETs
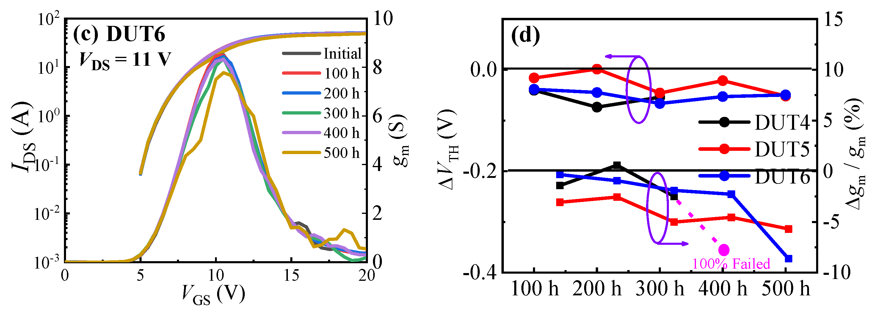
3.2. The Influence of High Temperature, High Humidity Environments on SiC MOSFETs
4. Conclusions
Author Contributions
Funding
Institutional Review Board Statement
Data Availability Statement
Conflicts of Interest
References
- Wang, H.; Wang, F.; Zhang, J. Power Semiconductor Device Figure of Merit for High-Power-Density Converter Design Applications. IEEE Trans. Electron Devices 2008, 55, 466–470. [Google Scholar] [CrossRef]
- Shen, Z.J.; Omura, I. Power Semiconductor Devices for Hybrid, Electric, and Fuel Cell Vehicles. Proc. IEEE 2007, 95, 778–789. [Google Scholar] [CrossRef]
- Zhang, L.; Zheng, Z.; Lou, X. A review of WBG and Si devices hybrid applications. Chin. J. Electr. Eng. 2021, 7, 1–20. [Google Scholar] [CrossRef]
- Ding, X.; Zhou, Y.; Cheng, J. A review of gallium nitride power device and its applications in motor drive. CES Trans. Electr. Mach. Syst. 2019, 3, 54–64. [Google Scholar] [CrossRef]
- Rafin, S.M.S.H.; Ahmed, R.; Mohammed, O.A. Wide Band Gap Semiconductor Devices for Power Electronic Converters. In Proceedings of the 2023 Fourth International Symposium on 3D Power Electronics Integration and Manufacturing (3D-PEIM), Miami, FL, USA, 1–3 February 2023; pp. 1–8. [Google Scholar] [CrossRef]
- Aghdam, M.G.H.; Thiringer, T. Comparison of SiC and Si power semiconductor devices to be used in 2.5 kW DC/DC converter. In Proceedings of the 2009 International Conference on Power Electronics and Drive Systems (PEDS), Taipei, Taiwan, 2–5 November 2009; pp. 1035–1040. [Google Scholar] [CrossRef]
- Hamada, K.; Nagao, M.; Ajioka, M.; Kawai, F. SiC—Emerging Power Device Technology for Next-Generation Electrically Powered Environmentally Friendly Vehicles. IEEE Trans. Electron Devices 2015, 62, 278–285. [Google Scholar] [CrossRef]
- Kneifel, M.; Silber, D.; Held, R. Predictive modeling of SiC-device power Schottky diode for investigations in power electronics. In Proceedings of the Applied Power Electronics Conference. APEC ‘96, San Jose, CA, USA, 3–7 March 1996; Volume 1, pp. 239–245. [Google Scholar] [CrossRef]
- Race, S.; Kumar, P.; Natzke, P.; Kovacevic-Badstuebner, I.; Bathen, M.E.; Grossner, U.; Romano, G.; Arango, Y.; Bolat, S.; Wirths, S.; et al. Gate Impedance Analysis of SiC power MOSFETs with SiO2 and High-k Dielectric. In Proceedings of the 2023 35th International Symposium on Power Semiconductor Devices and ICs (ISPSD), Hong Kong, China, 28 May 2023; pp. 9–12. [Google Scholar] [CrossRef]
- Wang, X.; Wen, H.; Zhu, Y. Review of SiC Power Devices for Electrical Power Systems: Characteristics, Protection, and Application. In Proceedings of the 2021 6th Asia Conference on Power and Electrical Engineering (ACPEE), Chongqing, China, 8–11 April 2021; pp. 1–5. [Google Scholar] [CrossRef]
- Su, Y.; Tu, B.; Tang, R.; Long, X. Thermal effects on fracture behaviors of the die-attachment in the SiC power device under power cyclic conditions based on fracture phase-field modeling. In Proceedings of the 2022 23rd International Conference on Electronic Packaging Technology (ICEPT), Dalian, China, 10–13 August 2022; pp. 1–4. [Google Scholar] [CrossRef]
- Race, S.; Ziemann, T.; Tiwari, S.; Kovacevic-Badstuebner, I.; Grossner, U. Accuracy of Thermal Analysis for SiC Power Devices. In Proceedings of the 2021 IEEE International Reliability Physics Symposium (IRPS), Monterey, CA, USA, 21–25 March 2021; pp. 1–5. [Google Scholar] [CrossRef]
- Mu, W.; Wang, B.; Wang, S.; Jin, H.; Li, H.; Wang, L. Comparative Study of Thermal Performance of a SiC MOSFET Power Module Integrated with Vapor Chamber for Traction Inverter Applications. In Proceedings of the 2021 IEEE Workshop on Wide Bandgap Power Devices and Applications in Asia (WiPDA Asia), Wuhan, China, 25–27 August 2021; pp. 285–289. [Google Scholar] [CrossRef]
- Hoffmann, F.; Kaminski, N. Impact of Device Design on the Power Cycling Capability of Discrete SiC MOSFETs at Different Temperature Swings. In Proceedings of the 2020 32nd International Symposium on Power Semiconductor Devices and ICs (ISPSD), Vienna, Austria, 17–21 May 2020; pp. 533–536. [Google Scholar] [CrossRef]
- Yasui, K.; Hayakawa, S.; Nakamura, M.; Kawase, D.; Ishigaki, T.; Sasaki, K.; Tabata, T.; Morita, T.; Sagawa, M.; Matsushima, H.; et al. Improvement of power cycling reliability of 3.3 kV full-SiC power modules with sintered copper technology for Tj, max = 175 °C. In Proceedings of the 2018 IEEE 30th International Symposium on Power Semiconductor Devices and ICs (ISPSD), Chicago, IL, USA, 13–17 May 2018; pp. 455–458. [Google Scholar] [CrossRef]
- Fayyaz, A.; Castellazzi, A. Performance and robustness testing of SiC power devices. In Proceedings of the 6th IET International Conference on Power Electronics, Machines and Drives (PEMD 2012), Bristol, UK, 27–29 March 2012; pp. 1–5. [Google Scholar] [CrossRef]
- Hoffmann, F.; Kaminski, N. Power Cycling Performance and Lifetime Estimation of 1700V SiC MPS Diode Modules with Multiple Chips Connected in Parallel. In Proceedings of the 2020 32nd International Symposium on Power Semiconductor Devices and ICs (ISPSD), Vienna, Austria, 17–21 May 2020; pp. 537–540. [Google Scholar] [CrossRef]
- Von Kamienski, B.S.; Golz, A.; Kurz, H. Defect Reduction by Post-Oxidation Annealing of Oxides on P- and N-Type 6H-SiC. In Proceedings of the ESSDERC ‘94: 24th European Solid State Device Research Conference, Edinburgh, UK, 11–15 September 1994; pp. 757–760. [Google Scholar]
- Ueno, K.; Asai, R.; Tsuji, T. 4H-SiC MOSFETs utilizing the H2 surface cleaning technique. IEEE Electron Device Lett. 1998, 19, 244–246. [Google Scholar] [CrossRef]
- Senzaki, J.; Kojima, K.; Harada, S.; Kosugi, R.; Suzuki, S.; Suzuki, T.; Fukuda, K. Excellent effects of hydrogen postoxidation annealing on inversion channel mobility of 4H-SiC MOSFET fabricated on (1120) face. IEEE Electron Device Lett. 2002, 23, 13–15. [Google Scholar] [CrossRef]
- Chen, Y.Q.; Zhang, Y.C.; Liu, Y.; Liao, X.Y.; En, Y.F.; Fang, W.X.; Huang, Y. Effect of Hydrogen on Defects of AlGaN/GaN HEMTs Characterized by Low-Frequency Noise. IEEE Trans. Electron Devices 2018, 65, 1321–1326. [Google Scholar] [CrossRef]
- Philofsky, E.; Ostrander, C.; Hartman, S. The evolution of hydrogen from plastic molding compound and its effect on the yield and reliability of ferroelectric memories. In Proceedings of the 1998 IEEE International Reliability Physics Symposium Proceedings. 36th Annual (Cat. No. 98CH36173), Reno, NV, USA, 31 March–2 April 1998; pp. 232–237. [Google Scholar] [CrossRef]
- Zhao, P.; Zha, Z.; Xiao, Q.; Chen, J.; Zhu, J.; Fu, Z.; Chen, Y. Degradation Behavior and Mechanism of E-mode Cascode GaN HEMTs under Hydrogen Environment. In Proceedings of the 2023 International Conference on Power Energy Systems and Applications (ICoPESA), Nanjing, China, 24–26 February 2023; pp. 728–732. [Google Scholar] [CrossRef]
- Ofrim, B.; Udrea, F.; Brezeanu, G.; Hsieh, A.P.-S. Hydrogen sensor based on silicon carbide (SiC) MOS capacitor. In Proceedings of the CAS 2012 (International Semiconductor Conference), Sinaia, Romania, 15–17 October 2012; pp. 367–370. [Google Scholar] [CrossRef]
- Shafiei, M.; Wlodarski, W.; Kalantar-Zadeh, K.; Comini, E.; Bianchi, S.; Sberveglieri, G. Pt/SnO2 Nanowires/SiC Based Hydrogen Gas Sensor. In Proceedings of the SENSORS, 2007 IEEE, Atlanta, GA, USA, 28–31 October 2007; pp. 166–169. [Google Scholar] [CrossRef]
- Pristavu, G.; Draghici, F.; Badila, M.; Brezeanu, G.; Pascu, R.; Craciunoiu, F. High temperature SiC-sensors. In Proceedings of the 2014 IEEE 20th International Symposium for Design and Technology in Electronic Packaging (SIITME), Bucharest, Romania, 23–26 October 2014; pp. 329–332. [Google Scholar] [CrossRef]
- Wang, Y.; Deng, E.; Wu, L.; Yan, Y.; Zhao, Y.; Huang, Y. Influence of Humidity on the Power Cycling Lifetime of SiC MOSFETs. IEEE Trans. Components Packag. Manuf. Technol. 2022, 12, 1781–1790. [Google Scholar] [CrossRef]
- Wang, Y.; Deng, E.; Wu, L.; Cao, H.; Yan, Y.; Zeng, P.; Zhang, Y.; Zhao, Y.; Huang, Y. Advanced Power Cycling Test Integrated with Voltage, Current, Temperature, and Humidity Stress. IEEE Trans. Power Electron. 2023, 38, 7685–7696. [Google Scholar] [CrossRef]
- Brunko, A.; Gloth, M.; Kaminski, N. Humidity Capability of Enhancement Mode GaN High Electron Mobility Transistors. In Proceedings of the 2021 IEEE 8th Workshop on Wide Bandgap Power Devices and Applications (WiPDA), Redondo Beach, CA, USA, 7–11 November 2021; pp. 242–245. [Google Scholar] [CrossRef]
- Ji, I.-H.; Mathew, A.; Park, J.-H.; Oldham, N.; McCain, M.; Sabri, S.; Van Brunt, E.; Hull, B.; Lichtenwalner, D.J.; Gajewski, D.A.; et al. High Temperature and High Humidity Reliability Evaluation of Large-Area 1200V and 1700V SiC Diodes. In Proceedings of the 2023 IEEE International Reliability Physics Symposium (IRPS), Monterey, CA, USA, 26–30 March 2023; pp. 1–4. [Google Scholar] [CrossRef]
- Kaminski, N.; Rugen, S.; Hoffmann, F. Gaining Confidence—A Review of Silicon Carbide’s Reliability Status. In Proceedings of the 2019 IEEE International Reliability Physics Symposium (IRPS), Monterey, CA, USA, 31 March–4 April 2019; pp. 1–7. [Google Scholar] [CrossRef]
- Kumar, V.; Verma, J.; Maan, A.; Akhtar, J. Epitaxial 4H–SiC based Schottky diode temperature sensors in ultra-low current range. Vacuum 2020, 182, 109590. [Google Scholar] [CrossRef]
- Verma, J.; Pant, S.; Kumar, A.; Jangir, B.K.; Dalal, J.; Ram, M. Analysis of trench termination in 4H-nSiC based power devices. Mater. Today Proc. 2021, 46, 11072–11076. [Google Scholar] [CrossRef]
- Kumar, V.; Maan, A.S.; Akhtar, J. Barrier height inhomogeneities induced anomaly in thermal sensitivity of Ni/4H-SiC Schottky diode temperature sensor. J. Vac. Sci. Technol. B Nanotechnol. Microelectron. Mater. Process. Meas. Phenom. 2014, 32, 041203. [Google Scholar] [CrossRef]
- Li, Y.; Zhou, X.; Zhao, Y.; Jia, Y.; Hu, D.; Wu, Y.; Zhang, L.; Chen, Z.; Huang, A.Q. Gate Bias Dependence of VTH Degradation in Planar and Trench SiC MOSFETs under Repetitive Short Circuit Tests. IEEE Trans. Electron Devices 2022, 69, 2521–2527. [Google Scholar] [CrossRef]
- Singh, Y.; Dwivedi, D. Simulation Study of Dual-Gate Trench LDMOSFET on 4H-SiC. In Proceedings of the 2015 Second International Conference on Advances in Computing and Communication Engineering, Dehradun, India, 1–2 May 2015; pp. 174–177. [Google Scholar] [CrossRef]
- Takayanagi, R.; Taniguchi, K.; Hoya, M.; Kanai, N.; Tsuji, T.; Hori, M.; Ikeda, Y.; Maruyama, K.; Kawamura, I. 3.3kV Power Module for Electric Distribution Equipment with SiC Trench-Gate MOSFET. In Proceedings of the 2019 International Conference on Electronics Packaging (ICEP), Niigata, Japan, 17–20 April 2019; pp. 83–87. [Google Scholar] [CrossRef]
- Ni, W.; Wang, X.; Xu, M.; Wang, Q.; Feng, C.; Xiao, H.; Jiang, L.; Li, W. Study of Asymmetric Cell Structure Tilt Implanted 4H-SiC Trench MOSFET. IEEE Electron Device Lett. 2019, 40, 698–701. [Google Scholar] [CrossRef]
- Deng, X.; Li, X.; Li, X.; Zhu, H.; Xu, X.; Wen, Y.; Sun, Y.; Chen, W.; Li, Z.; Zhang, B. Short-Circuit Capability Prediction and Failure Mode of Asymmetric and Double Trench SiC MOSFETs. IEEE Trans. Power Electron. 2020, 36, 8300–8307. [Google Scholar] [CrossRef]
- Adhikari, M.S.; Singh, Y. High performance multi-finger MOSFET on SOI for RF amplifiers. Indian J. Phys. 2017, 91, 1211–1217. [Google Scholar] [CrossRef]
- Adhikari, M.S.; Patel, R.; Tripathi, S.L.; Singh, Y. Design of SOI MOSFETs for Analog/RF Circuits. Indian J. Pure Appl. Phys. 2020, 58, 678–685. [Google Scholar]
- Adhikari, M.S.; Singh, Y. Implementation of Trench-based Power LDMOS and Low Voltage MOSFET on InGaAs. IETE Tech. Rev. 2018, 36, 234–242. [Google Scholar] [CrossRef]
- Adhikari, M.S.; Patel, R.; Verma, Y.K.; Singh, Y. Implementation of Low Voltage MOSFET and Power LDMOS on InGaAs. Silicon 2022, 14, 3905–3910. [Google Scholar] [CrossRef]
- Gao, R.; Liu, C.; He, Z.; Chen, Y.; Shi, Y.; Lin, X.; Zhang, X.; Wang, Z.; En, Y.; Lu, G.; et al. Towards Understanding the Interaction Between Hydrogen Poisoning and Bias Stress in AlGaN/GaN MIS-HEMTs With SiNx Gate Dielectric. IEEE Electron Device Lett. 2021, 42, 212–215. [Google Scholar] [CrossRef]
- Liu, Y.; Chen, H.B.; He, Y.J.; Wang, X.; Yue, L.; En, Y.F.; Liu, M.H. Radiation effects on the low frequency noise in partially depleted silicon on insulator transistors. Acta Phys. Sinica. 2015, 64, 078501. [Google Scholar]
- Yang, S.; Zhang, Y.; Song, Q.; Tang, X.; Zhang, Y.; Yuan, L. Impact of High-Temperature Storage Stressing (HTSS) on Degradation of High-Voltage 4H-SiC Junction Barrier Schottky Diodes. IEEE Trans. Power Electron. 2018, 33, 1874–1877. [Google Scholar] [CrossRef]












| DUT1 | DUT2 | DUT3 |
| C2M0080120D | SCT3040KL | IMW120R045M1 |
| Hydrogen effect experiments | ||
| DUT4 | DUT5 | DUT6 |
| C2M0080120D | SCT3040KL | IMW120R045M1 |
| High Accelerated Temperature and Humidity Stress Test | ||
Disclaimer/Publisher’s Note: The statements, opinions and data contained in all publications are solely those of the individual author(s) and contributor(s) and not of MDPI and/or the editor(s). MDPI and/or the editor(s) disclaim responsibility for any injury to people or property resulting from any ideas, methods, instructions or products referred to in the content. |
© 2023 by the authors. Licensee MDPI, Basel, Switzerland. This article is an open access article distributed under the terms and conditions of the Creative Commons Attribution (CC BY) license (https://creativecommons.org/licenses/by/4.0/).
Share and Cite
Li, Z.; Jiang, J.; He, Z.; Hu, S.; Shi, Y.; Zhao, Z.; He, Y.; Chen, Y.; Lu, G. The Influence of Special Environments on SiC MOSFETs. Materials 2023, 16, 6193. https://doi.org/10.3390/ma16186193
Li Z, Jiang J, He Z, Hu S, Shi Y, Zhao Z, He Y, Chen Y, Lu G. The Influence of Special Environments on SiC MOSFETs. Materials. 2023; 16(18):6193. https://doi.org/10.3390/ma16186193
Chicago/Turabian StyleLi, Zhigang, Jie Jiang, Zhiyuan He, Shengdong Hu, Yijun Shi, Zhenbo Zhao, Yigang He, Yiqiang Chen, and Guoguang Lu. 2023. "The Influence of Special Environments on SiC MOSFETs" Materials 16, no. 18: 6193. https://doi.org/10.3390/ma16186193
APA StyleLi, Z., Jiang, J., He, Z., Hu, S., Shi, Y., Zhao, Z., He, Y., Chen, Y., & Lu, G. (2023). The Influence of Special Environments on SiC MOSFETs. Materials, 16(18), 6193. https://doi.org/10.3390/ma16186193

