Combined Effect of Poly(lactic acid)-Grafted Maleic Anhydride Compatibilizer and Halloysite Nanotubes on Morphology and Properties of Polylactide/Poly(3-hydroxybutyrate-co-3-hydroxyhexanoate) Blends
Abstract
:1. Introduction
2. Materials and Methods
2.1. Materials
2.2. Sample Preparation
2.2.1. Preparation via Reactive Extrusion of PLA-g-MA
2.2.2. Sample Preparation of PLA/PHBHHx Blends with HNTs and PLA-g-AM
2.3. Characterization Techniques
2.3.1. Chemical Titration
2.3.2. Fourier-Transform Infrared Spectroscopy (FT-IR)
2.3.3. Scanning Electron Microscopy (SEM)
2.3.4. Thermogravimetric Analysis (TGA)
2.3.5. Mechanical Properties
2.3.6. Differential Scanning Calorimetry (DSC)
2.3.7. Pyrolysis Combustion Flow Calorimeter (PCFC)
2.3.8. Dynamic Mechanical Analysis (DMA)
3. Results and Discussion
3.1. FT-IR Analysis of PLA-g-MA Spectra
3.2. Morphology
3.3. Mechanical Properties
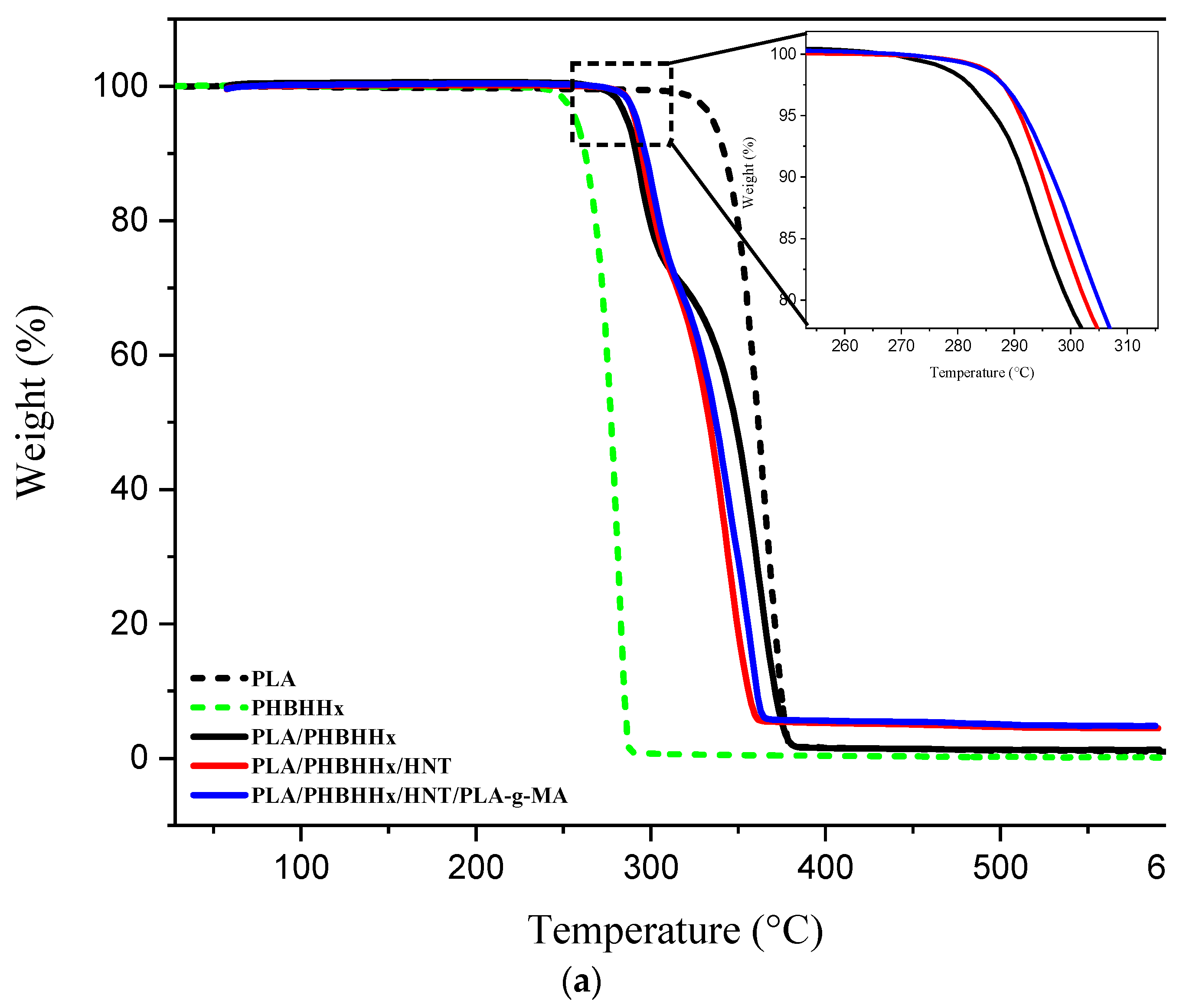
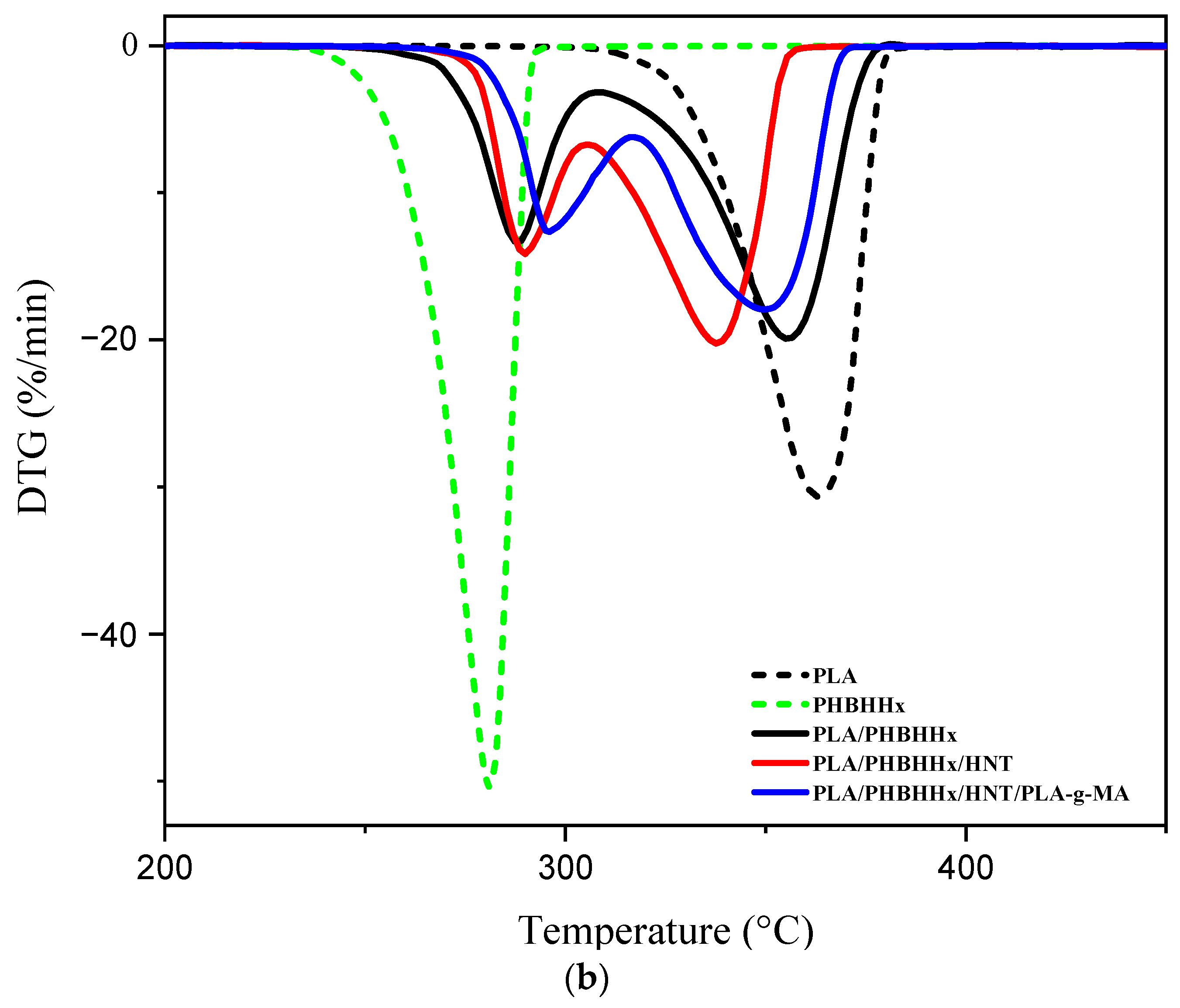
3.4. Thermogravimetric Analysis (TGA)
3.5. Differential Scanning Calorimetry (DSC)
3.6. Flammability Properties (PCFC)
3.7. Determining Viscoelastic Properties via DMA
4. Conclusions
Author Contributions
Funding
Institutional Review Board Statement
Informed Consent Statement
Data Availability Statement
Acknowledgments
Conflicts of Interest
References
- Arrieta, M.P.; Samper, M.D.; Aldas, M.; López, J. On the Use of PLA-PHB Blends for Sustainable Food Packaging Applications. Materials 2017, 10, 1008. [Google Scholar] [CrossRef] [PubMed]
- Rosli, N.A.; Ahmad, I.; Anuar, F.H.; Abdullah, I. The Contribution of Eco-Friendly Bio-Based Blends on Enhancing the Thermal Stability and Biodegradability of Poly(Lactic Acid). J. Clean. Prod. 2018, 198, 987–995. [Google Scholar] [CrossRef]
- Balla, E.; Daniilidis, V.; Karlioti, G.; Kalamas, T.; Stefanidou, M.; Bikiaris, N.D.; Vlachopoulos, A.; Koumentakou, I.; Bikiaris, D.N. Poly(Lactic Acid): A Versatile Biobased Polymer for the Future with Multifunctional Properties—From Monomer Synthesis, Polymerization Techniques and Molecular Weight Increase to PLA Applications. Polymers 2021, 13, 1822. [Google Scholar] [CrossRef] [PubMed]
- Sonchaeng, U.; Iñiguez-Franco, F.; Auras, R.; Selke, S.; Rubino, M.; Lim, L.T. Poly(Lactic Acid) Mass Transfer Properties. Prog. Polym. Sci. 2018, 86, 85–121. [Google Scholar] [CrossRef]
- Tsuji, H. Poly(Lactic Acid) Stereocomplexes: A Decade of Progress. Adv. Drug Deliv. Rev. 2016, 107, 97–135. [Google Scholar] [CrossRef]
- Don, T.; Li, T.; Lai, W. Miscibility and Flexibility of Poly(Lactic Acid) Blends with Octadecenylsuccinic Anhydride. Polym. Degrad. Stab. 2019, 162, 55–65. [Google Scholar] [CrossRef]
- Saini, P.; Arora, M.; Kumar, M.N.V.R. Poly(Lactic Acid) Blends in Biomedical Applications. Adv. Drug Deliv. Rev. 2016, 107, 47–59. [Google Scholar] [CrossRef]
- Rahmatabadi, D.; Soltanmohammadi, K.; Pahlavani, M.; Aberoumand, M.; Soleyman, E.; Ghasemi, I.; Baniassadi, M.; Abrinia, K.; Bodaghi, M.; Baghani, M. Shape Memory Performance Assessment of FDM 3D Printed PLA-TPU Composites by Box-Behnken Response Surface Methodology. Int. J. Adv. Manuf. Technol. 2023, 127, 935–950. [Google Scholar] [CrossRef]
- Tábi, T.; Ageyeva, T.; Kovács, J.G. Improving the Ductility and Heat Deflection Temperature of Injection Molded Poly(Lactic Acid) Products: A Comprehensive Review. Polym. Test. 2021, 101, 107282. [Google Scholar] [CrossRef]
- Rahmatabadi, D.; Ghasemi, I.; Baniassadi, M.; Abrinia, K.; Baghani, M. 4D Printing of PLA-TPU Blends: Effect of PLA Concentration, Loading Mode, and Programming Temperature on the Shape Memory Effect. J. Mater. Sci. 2023, 58, 7227–7243. [Google Scholar] [CrossRef]
- Nofar, M.; Salehiyan, R.; Ciftci, U.; Jalali, A.; Durmuş, A. Ductility Improvements of PLA-Based Binary and Ternary Blends with Controlled Morphology Using PBAT, PBSA, and Nanoclay. Compos. Part B Eng. 2020, 182, 107661. [Google Scholar] [CrossRef]
- Keskin, G.; Klzll, G.; Bechelany, M.; Pochat-Bohatier, C.; Öner, M. Potential of Polyhydroxyalkanoate (PHA) Polymers Family as Substitutes of Petroleum Based Polymers for Packaging Applications and Solutions Brought by Their Composites to Form Barrier Materials. Pure Appl. Chem. 2017, 89, 1841–1848. [Google Scholar] [CrossRef]
- Naser, A.Z.; Deiab, I.; Defersha, F.; Yang, S. Expanding Poly(Lactic Acid) (Pla) and Polyhydroxyalkanoates (Phas) Applications: A Review on Modifications and Effects. Polymers 2021, 13, 4271. [Google Scholar] [CrossRef] [PubMed]
- Sashiwa, H.; Fukuda, R.; Okura, T.; Sato, S.; Nakayama, A. Microbial Degradation Behavior in Seawater of Polyester Blends Containing Poly(3-Hydroxybutyrate-Co-3-Hydroxyhexanoate) (PHBHHx). Mar. Drugs 2018, 16, 34. [Google Scholar] [CrossRef] [PubMed]
- Noda, I.; Satkowski, M.M.; Dowrey, A.E.; Marcott, C. Polymer Alloys of Nodax Copolymers and Poly(Lactic Acid). Macromol. Biosci. 2004, 4, 269–275. [Google Scholar] [CrossRef] [PubMed]
- Qiang, Z.; Shufang, W.; Kong, M.; Weitao, G.; Li, R.K.Y.; Cunjiang, S.; Kong, D. Phase Morphology, Physical Properties, and Biodegradation Behavior of Novel PLA/PHBHHx Blends. J. Biomed. Mater. Res. Part B Appl. Biomater. 2012, 100, 23–31. [Google Scholar] [CrossRef]
- Lim, J.S.; Park, K.I.; Chung, G.S.; Kim, J.H. Effect of Composition Ratio on the Thermal and Physical Properties of Semicrystalline PLA/PHB-HHx Composites. Mater. Sci. Eng. C 2013, 33, 2131–2137. [Google Scholar] [CrossRef]
- Rasal, R.M.; Hirt, D.E. Toughness Decrease of PLA-PHBHHx Blend Films upon Surface-Confined Photopolymerization. J. Biomed. Mater. Res. Part A 2009, 88, 1079–1086. [Google Scholar] [CrossRef]
- Vrsaljko, D.; Macut, D.; Kovačevic, V. Potential Role of Nanofillers as Compatibilizers in Immiscible PLA/LDPE Blends. J. Appl. Polym. Sci. 2015, 132, 41414. [Google Scholar] [CrossRef]
- Sivanjineyulu, V.; Behera, K.; Chang, Y.H.; Chiu, F.C. Selective Localization of Carbon Nanotube and Organoclay in Biodegradable Poly(Butylene Succinate)/Polylactide Blend-Based Nanocomposites with Enhanced Rigidity, Toughness and Electrical Conductivity. Compos. Part A Appl. Sci. Manuf. 2018, 114, 30–39. [Google Scholar] [CrossRef]
- Nofar, M.; Salehiyan, R.; Ray, S.S. Influence of Nanoparticles and Their Selective Localization on the Structure and Properties of Polylactide-Based Blend Nanocomposites. Compos. Part B Eng. 2021, 215, 108845. [Google Scholar] [CrossRef]
- Taguet, A. Rheological Characterization of Compatibilized Polymer Blends; Elsevier Inc.: Amsterdam, The Netherlands, 2019; ISBN 9780128160060. [Google Scholar]
- Taguet, A.; Cassagnau, P.; Lopez-Cuesta, J.M. Structuration, Selective Dispersion and Compatibilizing Effect of (Nano)Fillers in Polymer Blends. Prog. Polym. Sci. 2014, 39, 1526–1563. [Google Scholar] [CrossRef]
- Sarul, D.S.; Arslan, D.; Vatansever, E.; Kahraman, Y.; Durmus, A.; Salehiyan, R.; Nofar, M. Effect of Mixing Strategy on the Structure-Properties of the Pla/Pbat Blends Incorporated with Cnc. J. Renew. Mater. 2022, 10, 149–164. [Google Scholar] [CrossRef]
- Salehiyan, R.; Sinha Ray, S. Processing of Polymer Blends, Emphasizing: Melt Compounding; Influence of Nanoparticles on Blend Morphology and Rheology; Reactive Processing in Ternary Systems; Morphology–Property Relationships; Performance and Application Challenges and Opportunities; Springer International Publishing: Cham, Switzerland, 2018; Volume 278, ISBN 9783319977928. [Google Scholar]
- Fenouillot, F.; Cassagnau, P.; Majesté, J.C. Uneven Distribution of Nanoparticles in Immiscible Fluids: Morphology Development in Polymer Blends. Polymer 2009, 50, 1333–1350. [Google Scholar] [CrossRef]
- Ojijo, V.; Ray, S.S.; Sadiku, R. Effect of Nanoclay Loading on the Thermal and Mechanical Properties of Biodegradable Polylactide/Poly[(Butylene Succinate)-Co-Adipate] Blend Composites. ACS Appl. Mater. Interfaces 2012, 4, 2395–2405. [Google Scholar] [CrossRef]
- Salehiyan, R.; Hyun, K. Effect of Organoclay on Non-Linear Rheological Properties of Poly(Lactic Acid)/Poly(Caprolactone) Blends. Korean J. Chem. Eng. 2013, 30, 1013–1022. [Google Scholar] [CrossRef]
- Adrar, S.; Habi, A.; Ajji, A.; Grohens, Y. Applied Clay Science Synergistic e Ff Ects in Epoxy Functionalized Graphene and Modi Fi Ed Organo-Montmorillonite PLA/PBAT Blends. Appl. Clay Sci. 2018, 157, 65–75. [Google Scholar] [CrossRef]
- Zembouai, I.; Kaci, M.; Zaidi, L.; Bruzaud, S. Combined Effects of Sepiolite and Cloisite 30B on Morphology and Properties of Poly(3-Hydroxybutyrate-Co-3-Hydroxyvalerate)/Polylactide Blends. Polym. Degrad. Stab. 2018, 153, 47–52. [Google Scholar] [CrossRef]
- Nofar, M.; Heuzey, M.C.; Carreau, P.J.; Kamal, M.R. Effects of Nanoclay and Its Localization on the Morphology Stabilization of PLA/PBAT Blends under Shear Flow. Polymer 2016, 98, 353–364. [Google Scholar] [CrossRef]
- Nuzzo, A.; Bilotti, E.; Peijs, T.; Acierno, D.; Filippone, G. Nanoparticle-Induced Co-Continuity in Immiscible Polymer Blends—A Comparative Study on Bio-Based PLA-PA11 Blends Filled with Organoclay, Sepiolite, and Carbon Nanotubes. Polymer 2014, 55, 4908–4919. [Google Scholar] [CrossRef]
- Darie-Niţă, R.N.; Vasile, C. Halloysite Containing Composites for Food Packaging Applications. In Composites Materials for Food Packaging; Wiley: Hoboken, NJ, USA, 2017; pp. 73–122. [Google Scholar] [CrossRef]
- Vahabi, H.; Sonnier, R.; Taguet, A.; Otazaghine, B.; Saeb, M.R.; Beyer, G. Halloysite Nanotubes (HNTs)/Polymer Nanocomposites: Thermal Degradation and Flame Retardancy; Elsevier: Amsterdam, The Netherlands, 2020; ISBN 9780128167830. [Google Scholar]
- Pal, P.; Kundu, M.K.; Malas, A.; Das, C.K. Compatibilizing Effect of Halloysite Nanotubes in Polar-Nonpolar Hybrid System. J. Appl. Polym. Sci. 2014, 131, 39587. [Google Scholar] [CrossRef]
- Mishra, R.M.; Rai, J.S.P. Compatibilizing Effect of Halloysite Nanotubes on Polyetherimide/Silicone Rubber Blend Based Nanocomposites. Polym. Plast. Technol. Mater. 2019, 58, 341–347. [Google Scholar] [CrossRef]
- Rashmi, B.J.; Prashantha, K.; Lacrampe, M.; Krawczak, P. Toughening of Poly (Lactic Acid) Without Sacrificing Stiffness and Strength by Melt-Blending with Polyamide 11 and Selective Localization of Halloysite Nanotubes. AIP Conf. Proc. 2016, 1713, 060001. [Google Scholar] [CrossRef]
- Kennouche, S.; Moigne, N.L.; Kaci, M.; Quantin, J.; Delaite, C. Morphological Characterization and Thermal Properties of Compatibilized Poly(3-Hydroxybutyrate-Co-3-Hydroxyvalerate) (PHBV)/Poly(Butylene Succinate) (PBS)/Halloysite Ternary Nanocomposites. Eur. Polym. J. 2015, 75, 142–162. [Google Scholar] [CrossRef]
- Zhou, Y.; Huang, Z.; Diao, X.; Weng, Y.; Wang, Y. Characterization of the Effect of REC on the Compatibility of PHBH and PLA. Polym. Test. 2015, 42, 17–25. [Google Scholar] [CrossRef]
- Tamiya, T.; Cui, X.; Hsu, Y.I.; Kanno, T.; Asoh, T.A.; Uyama, H. Enhancement of Interfacial Adhesion in Immiscible Polymer Blend by Using a Graft Copolymer Synthesized from Propargyl-Terminated Poly(3-Hydroxybutyrate-Co-3-Hydroxyhexanoate). Eur. Polym. J. 2020, 130, 109662. [Google Scholar] [CrossRef]
- Kassa, A.; Benhamida, A.; Kaci, M.; Bruzaud, S. Effects of Montmorillonite, Sepiolite, and Halloysite Clays on the Morphology and Properties of Polycaprolactone Bionanocomposites. Polym. Polym. Compos. 2020, 28, 338–347. [Google Scholar] [CrossRef]
- Hwang, S.W.; Lee, S.B.; Lee, C.K.; Lee, J.Y.; Shim, J.K.; Selke, S.E.M.; Soto-Valdez, H.; Matuana, L.; Rubino, M.; Auras, R. Grafting of Maleic Anhydride on Poly(L-Lactic Acid). Effects on Physical and Mechanical Properties. Polym. Test. 2012, 31, 333–344. [Google Scholar] [CrossRef]
- Boruvka, M.; Behalek, L.; Lenfeld, P.; Brdlik, P.; Habr, J.; Wongmanee, S.; Bobek, J.; Pechociakova, M. Solid and Microcellular Polylactide Nucleated with PLA Stereocomplex and Cellulose Nanocrystals. J. Therm. Anal. Calorim. 2020, 142, 695–713. [Google Scholar] [CrossRef]
- Detyothin, S.; Selke, S.E.M.; Narayan, R.; Rubino, M.; Auras, R. Reactive Functionalization of Poly (Lactic Acid), PLA: Effects of the Reactive Modi Fi Er, Initiator and Processing Conditions on the Fi Nal Grafted Maleic Anhydride Content and Molecular Weight of PLA. Polym. Degrad. Stab. 2013, 98, 2697–2708. [Google Scholar] [CrossRef]
- Nabar, Y.; Raquez, J.M.; Dubois, P.; Narayan, R. Production of Starch Foams by Twin-Screw Extrusion: Effect of Maleated Poly(Butylene Adipate-Co-Terephthalate) as a Compatibilizer. Biomacromolecules 2005, 6, 807–817. [Google Scholar] [CrossRef] [PubMed]
- ISO 527-2:2012; Plastics—Determination of Tensile Properties—Part 2: Test Conditions for Moulding and Extrusion Plastics. Available online: https://www.iso.org/standard/56046.html. (accessed on 20 September 2023).
- ASTM D256-10(2018); Standard Test Methods for Determining the Izod Pendulum Impact Resistance of Plastics. Available online: https://www.astm.org/d0256-10r18.html (accessed on 20 September 2023).
- Li, F.; Yu, H.Y.; Wang, Y.Y.; Zhou, Y.; Zhang, H.; Yao, J.M.; Abdalkarim, S.Y.H.; Tam, K.C. Natural Biodegradable Poly(3-Hydroxybutyrate- Co-3-Hydroxyvalerate) Nanocomposites with Multifunctional Cellulose Nanocrystals/Graphene Oxide Hybrids for High-Performance Food Packaging. J. Agric. Food Chem. 2019, 67, 10954–10967. [Google Scholar] [CrossRef] [PubMed]
- Wang, L.; Guo, Y.; Chen, Y.; Chen, T.; Zhu, S.; Zhang, T.; Liu, S. Enhanced Mechanical and Water Absorption Properties of Rice Husk-Derived Nano-SiO2 Reinforced PHBV Composites. Polymers 2018, 10, 1022. [Google Scholar] [CrossRef] [PubMed]
- Patwa, R.; Kumar, A.; Katiyar, V. Crystallization Kinetics, Morphology, and Hydrolytic Degradation of Novel Bio-Based Poly(Lactic Acid)/Crystalline Silk Nano-Discs Nanobiocomposites. J. Appl. Polym. Sci. 2018, 135, 46590. [Google Scholar] [CrossRef]
- Vanheusden, C.; Samyn, P.; Goderis, B.; Hamid, M.; Reddy, N.; Ethirajan, A.; Peeters, R.; Buntinx, M. Extrusion and Injection Molding of Poly(3-Hydroxybutyrate-Co-3-Hydroxyhexanoate) (PHBHHx): Influence of Processing Conditions on Mechanical Properties and Microstructure. Polymers 2021, 13, 4012. [Google Scholar] [CrossRef]
- Huggett, C. Estimation of Rate of Heat Release by Means of Oxygen Consumption Measurements. Fire Mater. 1980, 4, 61–65. [Google Scholar] [CrossRef]
- Jang, H.; Kwon, S.; Kim, S.J.; Park, S. Il Maleic Anhydride-Grafted PLA Preparation and Characteristics of Compatibilized PLA/PBSeT Blend Films. Int. J. Mol. Sci. 2022, 23, 7166. [Google Scholar] [CrossRef]
- Nonkrathok, W.; Trongsatitkul, T.; Suppakarn, N. Role of Maleic Anhydride-Grafted Poly(Lactic Acid) in Improving Shape Memory Properties of Thermoresponsive Poly(Ethylene Glycol) and Poly(Lactic Acid) Blends. Polymers 2022, 14, 3923. [Google Scholar] [CrossRef]
- Chow, W.S.; Tham, W.L.; Seow, P.C. Effects of Maleated-PLA Compatibilizer on the Properties of Poly(Lactic Acid)/Halloysite Clay Composites. J. Thermoplast. Compos. Mater. 2013, 26, 1349–1363. [Google Scholar] [CrossRef]
- Verginio, G.E.A.; Montanheiro, T.L.d.A.; Montagna, L.S.; Marini, J.; Passador, F.R. Effectiveness of the Preparation of Maleic Anhydride Grafted Poly (Lactic Acid) by Reactive Processing for Poly (Lactic Acid)/Carbon Nanotubes Nanocomposites. J. Appl. Polym. Sci. 2021, 138, 10–12. [Google Scholar] [CrossRef]
- Sahnoune, M.; Taguet, A.; Otazaghine, B.; Kaci, M.; Lopez-Cuesta, J.M. Effects of Functionalized Halloysite on Morphology and Properties of Polyamide-11/SEBS-g-MA Blends. Eur. Polym. J. 2017, 90, 418–430. [Google Scholar] [CrossRef]
- Masarra, N.A.; Batistella, M.; Quantin, J.C.; Regazzi, A.; Pucci, M.F.; El Hage, R.; Lopez-Cuesta, J.M. Fabrication of PLA/PCL/Graphene Nanoplatelet (GNP) Electrically Conductive Circuit Using the Fused Filament Fabrication (FFF) 3D Printing Technique. Materials 2022, 15, 762. [Google Scholar] [CrossRef] [PubMed]
- Garcia-Garcia, D.; Rayón, E.; Carbonell-Verdu, A.; Lopez-Martinez, J.; Balart, R. Improvement of the Compatibility between Poly(3-Hydroxybutyrate) and Poly(ε-Caprolactone) by Reactive Extrusion with Dicumyl Peroxide. Eur. Polym. J. 2017, 86, 41–57. [Google Scholar] [CrossRef]
- Yuan, P.; Tan, D.; Annabi-Bergaya, F. Properties and Applications of Halloysite Nanotubes: Recent Research Advances and Future Prospects. Appl. Clay Sci. 2015, 112–113, 75–93. [Google Scholar] [CrossRef]
- Zubkiewicz, A.; Szymczyk, A.; Franciszczak, P.; Kochmanska, A.; Janowska, I.; Paszkiewicz, S. Comparing Multi-Walled Carbon Nanotubes and Halloysite Nanotubes as Reinforcements in EVA Nanocomposites. Materials 2020, 13, 3809. [Google Scholar] [CrossRef]
- Zawawi, E.Z.E.; Hafizah, A.H.N.; Romli, A.Z.; Yuliana, N.Y.; Bonnia, N.N. Effect of Nanoclay on Mechanical and Morphological Properties of Poly(Lactide) Acid (PLA) and Polypropylene (PP) Blends. Mater. Today Proc. 2020, 46, 1778–1782. [Google Scholar] [CrossRef]
- Liu, M.; Jia, Z.; Jia, D.; Zhou, C. Recent Advance in Research on Halloysite Nanotubes-Polymer Nanocomposite. Prog. Polym. Sci. 2014, 39, 1498–1525. [Google Scholar] [CrossRef]
- Rajan, K.P.; Gopanna, A.; Abdelghani, E.A.M.; Thomas, S.P. Halloysite Nanotubes (HNT) as Reinforcement for Compatibilized Blends of Polypropylene (PP) and Polylactic Acid (PLA). J. Polym. Res. 2021, 28, 374. [Google Scholar] [CrossRef]
- Chen, Y.; Geever, L.M.; Killion, J.A.; Lyons, J.G.; Higginbotham, C.L.; Devine, D.M. Halloysite Nanotube Reinforced Polylactic Acid Composite. Polym. Compos. 2015, 16, 101–113. [Google Scholar] [CrossRef]
- Pekdemir, M.E.; Qader, I.N.; Öner, E.; Aydoğmuş, E.; Kök, M.; Dağdelen, F. Investigation of Structure, Mechanical, and Shape Memory Behavior of Thermally Activated Poly(ε-Caprolactone): Azide-Functionalized Poly(Vinyl Chloride) Binary Polymer Blend Films. Eur. Phys. J. Plus 2021, 136, 800. [Google Scholar] [CrossRef]
- Martins, R.C.; Rezende, M.J.C.; Nascimento, M.A.C.; Nascimento, R.S.V.; Ribeiro, S.P.d.S. Synergistic Action of Montmorillonite with an Intumescent Formulation: The Impact of the Nature and the Strength of Acidic Sites on the Flame-Retardant Properties of Polypropylene Composites. Polymers 2020, 12, 2781. [Google Scholar] [CrossRef] [PubMed]
- Zhu, C.; Lu, X.; Li, Y.; Deng, Y.; Lu, J.; Liu, Z.; Wu, H.; Tong, Y.; Qu, J. Enhancing Toughness of PLA/ZrP Nanocomposite through Reactive Melt-Mixing by Ethylene-Methyl Acrylate-Glycidyl Methacrylate Copolymer. Polymers 2022, 14, 3748. [Google Scholar] [CrossRef] [PubMed]
- Guo, Y.; Ma, J.; Lv, Z.; Zhao, N.; Wang, L.; Li, Q. The Effect of Plasticizer on the Shape Memory Properties of Poly(Lactide Acid)/Poly(Ethylene Glycol) Blends. J. Mater. Res. 2018, 33, 4101–4112. [Google Scholar] [CrossRef]
- Gracia-Fernández, C.A.; Gómez-Barreiro, S.; López-Beceiro, J.; Tarrío Saavedra, J.; Naya, S.; Artiaga, R. Comparative Study of the Dynamic Glass Transition Temperature by DMA and TMDSC. Polym. Test. 2010, 29, 1002–1006. [Google Scholar] [CrossRef]
- Saiter, J.M.; Grenet, J.; Dargent, E.; Saiter, A.; Delbreilh, L. Glass Transition Temperature and Value of the Relaxation Time at T g in Vitreous Polymers. Macromol. Symp. 2007, 258, 152–161. [Google Scholar] [CrossRef]











| Formulations | PLA (wt.%) | PHBHHx (wt.%) | HNTs (wt.%) | PLA-g-MA (wt.%) |
|---|---|---|---|---|
| PLA | 100 | / | / | / |
| PHBHHx | / | 100 | / | / |
| PLA/PHBHHx | 75 | 25 | / | / |
| PLA/PHBHHx/HNTs | 71.25 | 23.75 | 5 | / |
| PLA/PHBHHx/HNTs/PLA-g-MA | 63.75 | 21.25 | 5 | 10 |
| Formulations | Young’s Modulus (MPa) | Tensile Strength ((MPa) | Elongation at Break (%) | Impact Strength ((kJ/mm2) |
|---|---|---|---|---|
| PLA | 3438 ± 57.4 | 58 ± 6.2 | 4.1 ± 1.4 | 4.5 ± 0.1 |
| PHBHHx | 840.4 ± 35.6 | 18.3 ± 1.2 | 18.6 ± 2.6 | 14,7 ± 1.9 |
| PLA/PHBHHx | 2117 ± 41 | 43.4 ± 0 | 12.7 ± 1.5 | 12.7 ± 1.9 |
| PLA/PHBHHx/HNTs | 2233 ± 88 | 42 ± 0 | 14.5 ± 1.2 | 20.9 ± 1.7 |
| PLA/PHBHHx/HNTs/PLA-g-MA | 2390 ± 75 | 46 ± 1 | 18.2 ± 2.8 | 31.2 ± 1.3 |
| Formulations | T5 (°C) | T50 (°C) | Tmax (°C) | Char Yield (%) at 600 °C | |
|---|---|---|---|---|---|
| PHBHHx | PLA | ||||
| PLA | 335.4 ± 1.3 | 361.6 ± 0.6 | / | 363.4 ± 1.2 | 1.01 ± 0.09 |
| PHBHHx | 256.2 ± 1.1 | 277.4 ± 0.4 | 281.6 ± 0.6 | / | 0.19 ± 0.04 |
| PLA/PHBHHx | 285.2 ± 1.2 | 348.7 ± 0.8 | 287.2 ± 0.7 | 355.3 ± 0.8 | 355.3 ± 0.8 |
| PLA/PHBHHx/HNTs | 290.4 ± 0.9 | 333.4 ± 0.7 | 289.6 ± 0.9 | 339.2 ± 1.3 | 1.20 ± 0.11 |
| PLA/PHBHHx/HNTs/PLA-g-MA | 291.9 ± 1.6 | 337.4 ± 1.1 | 294.2 ± 1.2 | 350.1 ± 0.7 | 4.45 ± 0.13 |
| HNTs | 428.9 | / | 516.1 ± 1.2 | 84.3 ± 1.3 | |
| Samples | Tg ±0.3 (°C) | Tc ±0.6 (°C) | ΔHc ±0.8 (J/g) | Tm ±0.5 (°C) | ΔHm ±0.5 (J/g) | Xc PLA ±0.8 (%) |
|---|---|---|---|---|---|---|
| PLA | 59.9 | / | / | 153.7 | 6.53 | 6.9 |
| PHBHHx | 2.86 | 51.2 | 40.4 | 132.6 | 34.8 | 30.2 |
| PLA/PHBHHx | 58.8 | 120.1 | 19.6 | 153.1 | 19.9 | 28.3 |
| PLA/PHBHHx/HNTs | 57.2 | 115.5 | 22.6 | 151.05 | 19.7 | 28 |
| PLA/PHBHHx/HNTs/PLA-g-MA | 56.4 | 111.7 | 25.3 | 151.2–155.9 | 22.6 | 32.1 |
| Samples | pHRR PHBHHx (W/g) | p HRR PLA (W/g) | T pHRR PHBHHx (°C) | T pHRR PLA (°C) |
|---|---|---|---|---|
| PLA | / | 246.3 | / | 365 |
| PHBHHx | 503.9 | / | 299.8 | / |
| PLA/PHBHHx | 190.4 | 306.7 | 311.2 | 383.8 |
| PLA/PHBHHx/HNTs | 207.7 | 296.6 | 301.8 | 361.4 |
| PLA/PHBHHx/HNTs/PLA-g-MA | 209.2 | 310.6 | 313.6 | 366.4 |
Disclaimer/Publisher’s Note: The statements, opinions and data contained in all publications are solely those of the individual author(s) and contributor(s) and not of MDPI and/or the editor(s). MDPI and/or the editor(s) disclaim responsibility for any injury to people or property resulting from any ideas, methods, instructions or products referred to in the content. |
© 2023 by the authors. Licensee MDPI, Basel, Switzerland. This article is an open access article distributed under the terms and conditions of the Creative Commons Attribution (CC BY) license (https://creativecommons.org/licenses/by/4.0/).
Share and Cite
Mokrane, N.; Kaci, M.; Lopez-Cuesta, J.-M.; Dehouche, N. Combined Effect of Poly(lactic acid)-Grafted Maleic Anhydride Compatibilizer and Halloysite Nanotubes on Morphology and Properties of Polylactide/Poly(3-hydroxybutyrate-co-3-hydroxyhexanoate) Blends. Materials 2023, 16, 6438. https://doi.org/10.3390/ma16196438
Mokrane N, Kaci M, Lopez-Cuesta J-M, Dehouche N. Combined Effect of Poly(lactic acid)-Grafted Maleic Anhydride Compatibilizer and Halloysite Nanotubes on Morphology and Properties of Polylactide/Poly(3-hydroxybutyrate-co-3-hydroxyhexanoate) Blends. Materials. 2023; 16(19):6438. https://doi.org/10.3390/ma16196438
Chicago/Turabian StyleMokrane, Nawel, Mustapha Kaci, José-Marie Lopez-Cuesta, and Nadjet Dehouche. 2023. "Combined Effect of Poly(lactic acid)-Grafted Maleic Anhydride Compatibilizer and Halloysite Nanotubes on Morphology and Properties of Polylactide/Poly(3-hydroxybutyrate-co-3-hydroxyhexanoate) Blends" Materials 16, no. 19: 6438. https://doi.org/10.3390/ma16196438
APA StyleMokrane, N., Kaci, M., Lopez-Cuesta, J.-M., & Dehouche, N. (2023). Combined Effect of Poly(lactic acid)-Grafted Maleic Anhydride Compatibilizer and Halloysite Nanotubes on Morphology and Properties of Polylactide/Poly(3-hydroxybutyrate-co-3-hydroxyhexanoate) Blends. Materials, 16(19), 6438. https://doi.org/10.3390/ma16196438

