Manganese Luminescent Centers of Different Valence in Yttrium Aluminum Borate Crystals
Abstract
1. Introduction
2. Materials and Methods
3. Results and Discussion
3.1. X-ray Diffraction (XRD) Analysis
3.2. X-ray Fluorescence Analysis
3.3. X-ray Absorption Spectroscopy
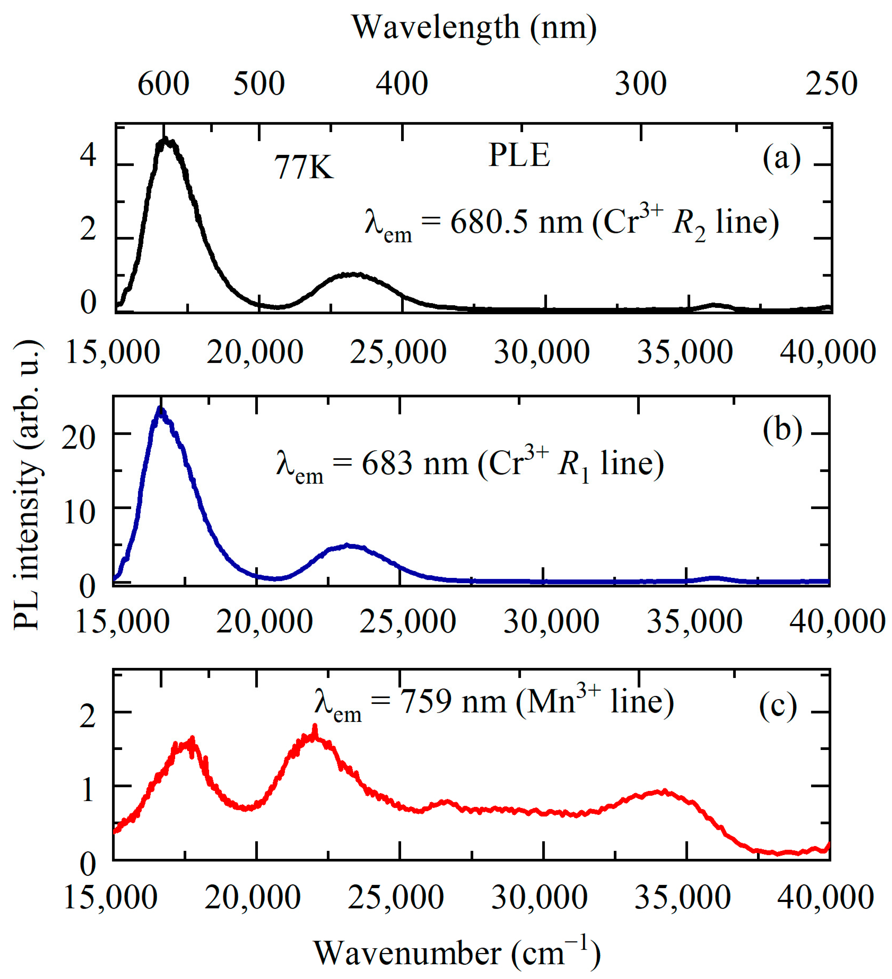
3.4. Optical Spectroscopy
4. Conclusions
Author Contributions
Funding
Institutional Review Board Statement
Informed Consent Statement
Data Availability Statement
Acknowledgments
Conflicts of Interest
References
- Leonyuk, N.I.; Leonyuk, L.I. Growth and Characterization of RM3(BO3)4 Crystals. Prog. Cryst. Growth Charact. Mater. 1995, 31, 179–278. [Google Scholar] [CrossRef]
- Cavalli, E.; Leonyuk, N. Comparative Investigation on the Emission Properties of RAl3(BO3)4 (R = Pr, Eu, Tb, Dy, Tm, Yb) Crystals with the Huntite Structure. Crystals 2019, 9, 44. [Google Scholar] [CrossRef]
- Moura, A.L.; Carreño, S.J.M.; Pincheira, P.I.R.; Fabris, Z.V.; Maia, L.J.Q.; Gomes, A.S.L.; de Araújo, C.B. Tunable Ultraviolet and Blue Light Generation from Nd:YAB Random Laser Bolstered by Second-Order Nonlinear Processes. Sci. Rep. 2016, 6, 27107. [Google Scholar] [CrossRef] [PubMed]
- Elzbieciak-Piecka, K.; Marciniak, L. Optical Heating and Luminescence Thermometry Combined in a Cr3+-Doped YAl3(BO3)4. Sci. Rep. 2022, 12, 16364. [Google Scholar] [CrossRef] [PubMed]
- Shi, M.; Yao, L.; Xu, J.; Liang, C.; Dong, Y.; Shao, Q. Far-red-emitting YAl3(BO3)4:Cr3+ Phosphors with Excellent Thermal Stability and High Luminescent Yield for Plant Growth LEDs. J. Am. Ceram. Soc. 2021, 104, 3279–3288. [Google Scholar] [CrossRef]
- Reddy, G.V.L.; Moorthy, L.R.; Chengaiah, T.; Jamalaiah, B.C. Multi-Color Emission Tunability and Energy Transfer Studies of YAl3(BO3)4:Eu3+/Tb3+ Phosphors. Ceram. Int. 2014, 40, 3399–3410. [Google Scholar] [CrossRef]
- Bajaj, N.S.; Koparkar, K.A.; Nagpure, P.A.; Omanwar, S.K. Red and Blue Emitting Borate Phosphor Excited by near Ultraviolet Light. J. Opt. 2017, 46, 91–94. [Google Scholar] [CrossRef]
- Jaque, D. Self-Frequency-Sum Mixing in Nd Doped Nonlinear Crystals for Laser Generation in the Three Fundamental Colours. J. Alloys Compd. 2001, 323–324, 204–209. [Google Scholar] [CrossRef]
- Jamalaiah, B.C.; Jayasimhadri, M.; Reddy, G.V.L. Blue Emitting YAl3(BO3)4:Tm3+ Single-Phase Phosphors under UV Excitation. Phys. Chem. Glas. Eur. J. Glass Sci. Technol. Part B 2016, 57, 68–70. [Google Scholar] [CrossRef]
- Tolstik, N.A.; Kisel, V.E.; Kuleshov, N.V.; Maltsev, V.V.; Leonyuk, N.I. Er,Yb:YAl3(BO3)4—Efficient 1.5 µm Laser Crystal. Appl. Phys. B 2009, 97, 357–362. [Google Scholar] [CrossRef]
- Dekker, P.; Dawes, J.M.; Piper, J.A.; Liu, Y.; Wang, J. 1.1 W CW Self-Frequency-Doubled Diode-Pumped Yb:YAl3(BO3)4 Laser. Opt. Commun. 2001, 195, 431–436. [Google Scholar] [CrossRef]
- Burns, P.A.; Dawes, J.M.; Dekker, P.; Piper, J.A.; Li, J.; Wang, J. Coupled-Cavity, Single-Frequency, Tunable CW Yb:YAB Yellow Microchip Laser. Opt. Commun. 2002, 207, 315–320. [Google Scholar] [CrossRef]
- Bartschke, J.; Knappe, R.; Boller, K.-J.; Wallenstein, R. Investigation of Efficient Self-Frequency-Doubling Nd:YAB Lasers. IEEE J. Quantum Electron. 1997, 33, 2295–2300. [Google Scholar] [CrossRef]
- Jiang, H.; Li, J.; Wang, J.; Hu, X.-B.; Liu, H.; Teng, B.; Zhang, C.-Q.; Dekker, P.; Wang, P. Growth of Yb:YAl3(BO3)4 Crystals and Their Optical and Self-Frequency-Doubling Properties. J. Cryst. Growth 2001, 233, 248–252. [Google Scholar] [CrossRef]
- Yu, D.; Li, H.; Zhang, D.; Zhang, Q.; Meijerink, A.; Suta, M. One Ion to Catch Them All: Targeted High-Precision Boltzmann Thermometry over a Wide Temperature Range with Gd3+. Light Sci. Appl. 2021, 10, 236. [Google Scholar] [CrossRef]
- Dominiak-Dzik, G.; Ryba-Romanowski, W.; Lisiecki, R.; Főldvári, I.; Beregi, E. YAl3(BO3)4:Yb&Tm a Nonlinear Crystal: Up- and Down-Conversion Phenomena and Excited State Relaxations. Opt. Mater. 2009, 31, 989–994. [Google Scholar] [CrossRef]
- Malysa, B.; Meijerink, A.; Jüstel, T. Temperature Dependent Luminescence Cr3+-Doped GdAl3(BO3)4 and YAl3(BO3)4. J. Lumin. 2016, 171, 246–253. [Google Scholar] [CrossRef]
- Du, J.; De Clercq, O.Q.; Korthout, K.; Poelman, D. LaAlO3:Mn4+ as Near-Infrared Emitting Persistent Luminescence Phosphor for Medical Imaging: A Charge Compensation Study. Materials 2017, 10, 1422. [Google Scholar] [CrossRef]
- Glais, E.; Đorđević, V.; Papan, J.; Viana, B.; Dramićanin, M.D. MgTiO3:Mn4+ a Multi-Reading Temperature Nanoprobe. RSC Adv. 2018, 8, 18341–18346. [Google Scholar] [CrossRef]
- Kück, S.; Hartung, S.; Hurling, S.; Petermann, K.; Huber, G. Emission of Octahedrally Coordinated Mn3+ in Garnets. Spectrochim. Acta. A. Mol. Biomol. Spectrosc. 1998, 54, 1741–1749. [Google Scholar] [CrossRef]
- Kück, S.; Hartung, S.; Hurling, S.; Petermann, K.; Huber, G. Optical Transitions in Mn3+-Doped Garnets. Phys. Rev. B 1998, 57, 2203–2216. [Google Scholar] [CrossRef]
- Wang, Y.; Włodarczyk, D.; Brik, M.G.; Barzowska, J.; Shekhovtsov, A.N.; Belikov, K.N.; Paszkowicz, W.; Li, L.; Zhou, X.; Suchocki, A. Effect of Temperature and High Pressure on Luminescence Properties of Mn3+ Ions in Ca3Ga2Ge3O12 Single Crystals. J. Phys. Chem. C 2021, 125, 5146–5157. [Google Scholar] [CrossRef]
- Jahanbazi, F.; Wang, X.; Mao, Y. Tb3+, Mn3+ Co-Doped La2Zr2O7 Nanoparticles for Self-Referencing Optical Thermometry. J. Lumin. 2021, 240, 118412. [Google Scholar] [CrossRef]
- Stevels, A.L.N. Red Mn2+-Luminescence in Hexagonal Aluminates. J. Lumin. 1979, 20, 99–109. [Google Scholar] [CrossRef]
- Costa, G.K.B.; Pedro, S.S.; Carvalho, I.C.S.; Sosman, L.P. Preparation, Structure Analysis and Photoluminescence Properties of MgGa2O4:Mn2+. Opt. Mater. 2009, 31, 1620–1627. [Google Scholar] [CrossRef]
- Majher, J.D.; Gray, M.B.; Strom, T.A.; Woodward, P.M. Cs2NaBiCl6:Mn2+—A New Orange-Red Halide Double Perovskite Phosphor. Chem. Mater. 2019, 31, 1738–1744. [Google Scholar] [CrossRef]
- Aleksandrovsky, A.S.; Gudim, I.A.; Krylov, A.S.; Temerov, V.L. Luminescence of Yttrium Aluminum Borate Single Crystals Doped with Manganese. Phys. Solid State 2007, 49, 1695–1699. [Google Scholar] [CrossRef]
- Vorotynov, A.M.; Petrakovskiĭ, G.A.; Shiyan, Y.G.; Bezmaternykh, L.N.; Temerov, V.E.; Bovina, A.F.; Aleshkevych, P. Electron Paramagnetic Resonance of Mn2+ Ions in Single Crystals of Yttrium Aluminum Borate YAl3(BO3)4. Phys. Solid State 2007, 49, 463–466. [Google Scholar] [CrossRef]
- Terayama, K.; Ikeda, M. Study on Thermal Decomposition of MnO2 and Mn2O3 by Thermal Analysis. Trans. JIM 1983, 24, 754–758. [Google Scholar] [CrossRef]
- Petříček, V.; Dušek, M.; Palatinus, L. Crystallographic Computing System JANA2006: General Features. Z. Für Krist. Cryst. Mater. 2014, 229, 345–352. [Google Scholar] [CrossRef]
- Belokoneva, E.L.; Timchenko, T.I. Polytypic relationships in borate structures with the general formula RAl3(BO3)4, (R = Y, Nd, Gd). Kristallografiya 1983, 28, 1118–1123. [Google Scholar]
- Chernyshov, A.A.; Veligzhanin, A.A.; Zubavichus, Y.V. Structural Materials Science End-Station at the Kurchatov Synchrotron Radiation Source: Recent Instrumentation Upgrades and Experimental Results. Nucl. Instrum. Methods Phys. Res. Sect. Accel. Spectrometers Detect. Assoc. Equip. 2009, 603, 95–98. [Google Scholar] [CrossRef]
- Newville, M. IFEFFIT: Interactive XAFS Analysis and FEFF Fitting. J. Synchrotron Radiat. 2001, 8, 322–324. [Google Scholar] [CrossRef] [PubMed]
- Ravel, B.; Newville, M. ATHENA, ARTEMIS, HEPHAESTUS: Data Analysis for X-Ray Absorption Spectroscopy Using IFEFFIT. J. Synchrotron Radiat. 2005, 12, 537–541. [Google Scholar] [CrossRef] [PubMed]
- Manceau, A.; Marcus, M.A.; Grangeon, S. Determination of Mn Valence States in Mixed-Valent Manganates by XANES Spectroscopy. Am. Mineral. 2012, 97, 816–827. [Google Scholar] [CrossRef]
- Bunău, O.; Joly, Y. Self-Consistent Aspects of x-Ray Absorption Calculations. J. Phys. Condens. Matter 2009, 21, 345501. [Google Scholar] [CrossRef]
- Shannon, R.D. Revised Effective Ionic Radii and Systematic Studies of Interatomic Distances in Halides and Chalcogenides. Acta Crystallogr. Sect. A 1976, 32, 751–767. [Google Scholar] [CrossRef]
- Wang, G.; Gallagher, H.G.; Han, T.P.J.; Henderson, B. Crystal Growth and Optical Characterisation of Cr3+-Doped YAl3(BO3)4. J. Cryst. Growth 1995, 153, 169–174. [Google Scholar] [CrossRef]
- Dominiak-Dzik, G.; Ryba-Romanowski, W.; Grinberg, M.; Beregi, E.; Kovacs, L. Excited-State Relaxation Dynamics of Cr3+ in YAl3(BO3)4. J. Phys. Condens. Matter 2002, 14, 5229–5237. [Google Scholar] [CrossRef]
- Wells, J.-P.R.; Yamaga, M.; Han, T.P.J.; Honda, M. Electron Paramagnetic Resonance and Optical Properties of Cr3+ Doped YAl3(BO3)4. J. Phys. Condens. Matter 2003, 15, 539–547. [Google Scholar] [CrossRef]
- Geschwind, S.; Kisliuk, P.; Klein, M.P.; Remeika, J.P.; Wood, D.L. Sharp-Line Fluorescence, Electron Paramagnetic Resonance, and Thermoluminescence of Mn4+ in α-Al2O3. Phys. Rev. 1962, 126, 1684–1686. [Google Scholar] [CrossRef]
- Tanabe, Y.; Sugano, S. The Absorption Spectra of Ruby. J. Phys. Soc. Jpn. 1957, 12, 556. [Google Scholar] [CrossRef]
- Noginov, M.A.; Loutts, G.B.; Warren, M. Spectroscopic Studies of Mn3+ and Mn2+ Ions in YAlO3. J. Opt. Soc. Am. B 1999, 16, 475. [Google Scholar] [CrossRef]
- Azamat, D.V.; Dejneka, A.; Lancok, J.; Trepakov, V.A.; Jastrabik, L.; Badalyan, A.G. Electron Paramagnetic Resonance Studies of Manganese Centers in SrTiO3: Non-Kramers Mn3+ Ions and Spin-Spin Coupled Mn4+ Dimers. J. Appl. Phys. 2012, 111, 104119. [Google Scholar] [CrossRef]
- McClure, D.S. Optical Spectra of Transition-Metal Ions in Corundum. J. Chem. Phys. 1962, 36, 2757–2779. [Google Scholar] [CrossRef]
- Kebaïli, I.; Dammak, M. Spectra Energy Levels and Symmetry Assignments of Sm3+ Doped in YAl3(BO3)4 Single Crystal. J. Lumin. 2012, 132, 2092–2097. [Google Scholar] [CrossRef]
- Tanabe, Y.; Sugano, S. On the Absorption Spectra of Complex Ions II. J. Phys. Soc. Jpn. 1954, 9, 766–779. [Google Scholar] [CrossRef]
- Adachi, S. Review—Temperature Dependence of Transition-Metal and Rare-Earth Ion Luminescence (Mn4+, Cr3+, Mn2+, Eu2+, Eu3+, Tb3+, Etc.) II: Experimental Data Analyses. ECS J. Solid State Sci. Technol. 2022, 11, 106002. [Google Scholar] [CrossRef]
- Noginov, M.A.; Loutts, G.B. Spectroscopic Studies of Mn4+ Ions in Yttrium Orthoaluminate. J. Opt. Soc. Am. B 1999, 16, 3. [Google Scholar] [CrossRef]








| Element | AN | wt.% | Normal. wt.% | Normal. at. % | Error in wt.% (1 Sigma) |
|---|---|---|---|---|---|
| Aluminum | 13 | 24.43 | 21.667 | 48.17 | 0.225 |
| Potassium | 19 | 0.08 | 0.084 | 0.13 | 0.006 |
| Calcium | 20 | 0.09 | 0.090 | 0.14 | 0.002 |
| Titanium | 22 | 0.05 | 0.057 | 0.07 | 0.001 |
| Manganese | 25 | 0.75 | 0.800 | 0.87 | 0.009 |
| Iron | 26 | 0.16 | 0.172 | 0.18 | 0.001 |
| Yttrium | 39 | 68.84 | 73.002 | 49.25 | 0.037 |
| Bismuth | 83 | 3.89 | 4.128 | 1.18 | 0.006 |
| 94.3 | 100 | 100 |
| Model | Rf, % | S02 | ΔE0, eV | Path | N | R, Å | σ2, 10−3 Å2 |
|---|---|---|---|---|---|---|---|
| Mn in Y position | 1.7 | 0.57 ± 0.18 | 4.4 ± 2.3 | Mn-O | 6 | 2.26(3) | 6 ± 5 |
| Mn-B | 6 | 3.0(1) | 10 ± 15 | ||||
| Mn-O | 6 | 3.16(7) | 6 ± 5 | ||||
| Mn-O | 6 | 3.65(8) | 6 ± 5 | ||||
| Mn-Al | 6 | 3.68(4) | 3 ± 6 | ||||
| Mn-O | 6 | 4.24(8) | 6 ± 5 | ||||
| Mn in Y position Mn in Al position | 1.6 | 0.56 ± 0.17 | 2.8 ± 4.1 | Mn-O2 | 0.7 ± 1.3 | 2.052 | 4 ± 7 |
| Mn-O1 | 5.3 ± 1.3 | 2.25(3) | 4 ± 7 | ||||
| Mn-B | 6 | 3.0(1) | 4 ± 17 | ||||
| Mn-O | 6 | 3.1(1) | 4 ± 7 | ||||
| Mn-O | 6 | 3.6(1) | 4 ± 7 | ||||
| Mn-Al | 6 | 3.66(5) | 1 ± 6 | ||||
| Mn-O | 6 | 4.23(9) | 4 ± 7 |
| Level | Cr3+ in YAB:Mn |
|---|---|
| 2E | 14,633 |
| 14,690 | |
| 2T1 | 15,267 |
| 15,312 | |
| 15,396 | |
| 4T2 | 16,730 |
| 4T1 | 23,320 |
Disclaimer/Publisher’s Note: The statements, opinions and data contained in all publications are solely those of the individual author(s) and contributor(s) and not of MDPI and/or the editor(s). MDPI and/or the editor(s) disclaim responsibility for any injury to people or property resulting from any ideas, methods, instructions or products referred to in the content. |
© 2023 by the authors. Licensee MDPI, Basel, Switzerland. This article is an open access article distributed under the terms and conditions of the Creative Commons Attribution (CC BY) license (https://creativecommons.org/licenses/by/4.0/).
Share and Cite
Molchanova, A.; Boldyrev, K.; Kuzmin, N.; Veligzhanin, A.; Khaydukov, K.; Khaydukov, E.; Kondratev, O.; Gudim, I.; Mikliaeva, E.; Popova, M. Manganese Luminescent Centers of Different Valence in Yttrium Aluminum Borate Crystals. Materials 2023, 16, 537. https://doi.org/10.3390/ma16020537
Molchanova A, Boldyrev K, Kuzmin N, Veligzhanin A, Khaydukov K, Khaydukov E, Kondratev O, Gudim I, Mikliaeva E, Popova M. Manganese Luminescent Centers of Different Valence in Yttrium Aluminum Borate Crystals. Materials. 2023; 16(2):537. https://doi.org/10.3390/ma16020537
Chicago/Turabian StyleMolchanova, Anastasiia, Kirill Boldyrev, Nikolai Kuzmin, Alexey Veligzhanin, Kirill Khaydukov, Evgeniy Khaydukov, Oleg Kondratev, Irina Gudim, Elizaveta Mikliaeva, and Marina Popova. 2023. "Manganese Luminescent Centers of Different Valence in Yttrium Aluminum Borate Crystals" Materials 16, no. 2: 537. https://doi.org/10.3390/ma16020537
APA StyleMolchanova, A., Boldyrev, K., Kuzmin, N., Veligzhanin, A., Khaydukov, K., Khaydukov, E., Kondratev, O., Gudim, I., Mikliaeva, E., & Popova, M. (2023). Manganese Luminescent Centers of Different Valence in Yttrium Aluminum Borate Crystals. Materials, 16(2), 537. https://doi.org/10.3390/ma16020537

