Synthesis and Characterization of High-Purity, High-Entropy Diboride Ceramic Powders by a Liquid Phase Method
Abstract
:1. Introduction
2. Experimental
2.1. Materials and Preparation
2.2. Characterization
3. Results and Discussion
3.1. Factor Analysis of Size Difference
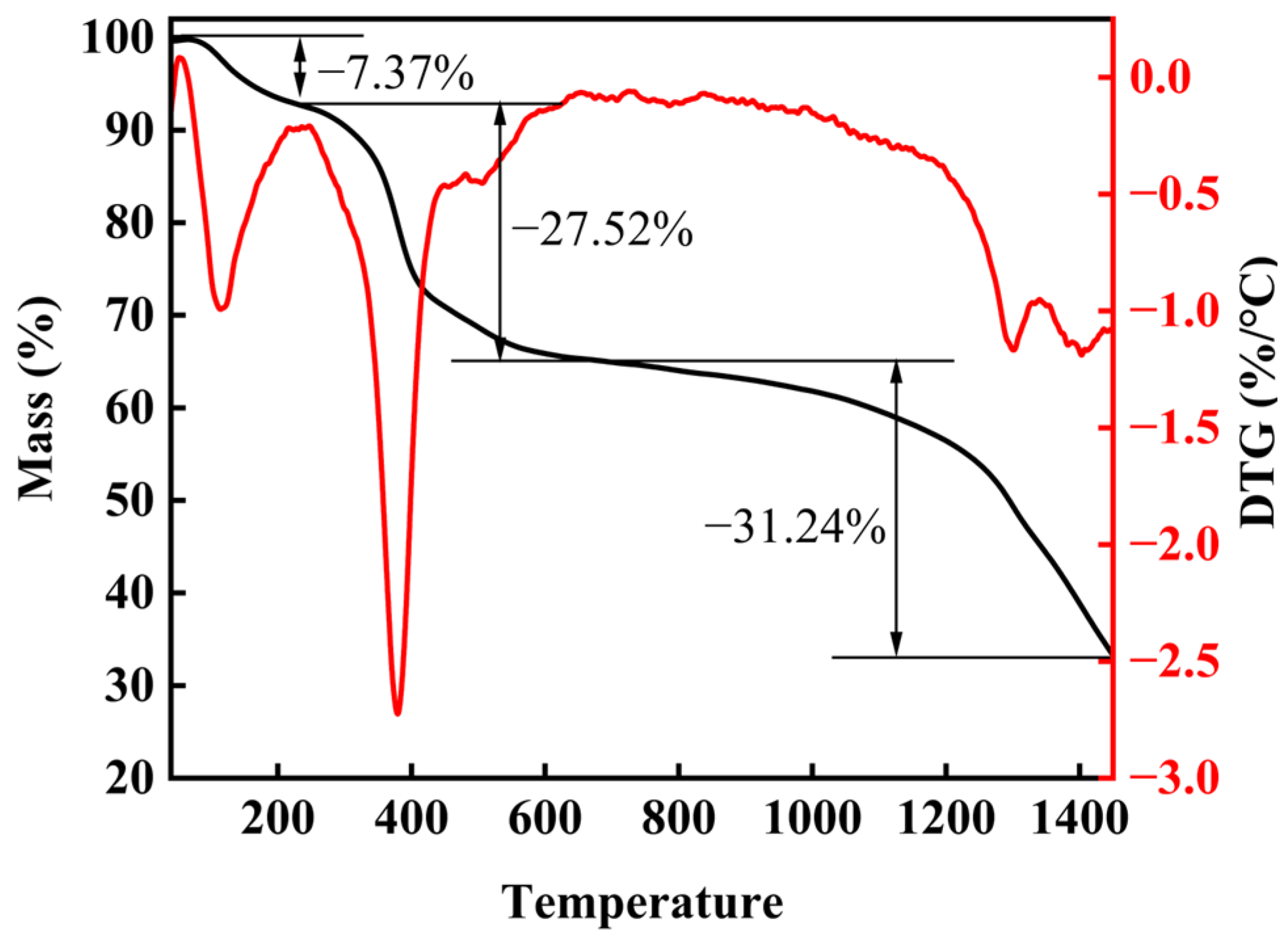
3.2. Thermogravimetric Analysis of Precursors
3.3. Analysis of the Pyrolysis Process of Precursors
3.4. Micro/Nanostructure of (Ti, Zr, Hf, Nb, Ta)B2 Powders
3.5. Speculation on the Pyrolysis Mechanism of Precursors
4. Conclusions
Supplementary Materials
Author Contributions
Funding
Institutional Review Board Statement
Informed Consent Statement
Data Availability Statement
Conflicts of Interest
References
- Feng, L.; Monteverde, F.; Fahrenholtz, W.G.; Hilmas, G.E. Superhard high-entropy AlB2-type diboride ceramics. Scr. Mater. 2021, 199, 113855. [Google Scholar] [CrossRef]
- Monteverde, F.; Saraga, F. Entropy stabilized single-phase (Hf, Nb, Ta, Ti, Zr)B2 solid solution powders obtained via carbo/boro-thermal reduction. J. Alloys Compd. 2020, 824, 153930–153940. [Google Scholar] [CrossRef]
- Wang, Y.P.; Gan, G.Y.; Wang, W.; Yang, Y.; Tang, B.Y. Ab Initio Prediction of Mechanical and Electronic Properties of Ultrahigh Temperature High-Entropy Ceramics (Hf0.2Zr0.2Ta0.2M0.2Ti0.2)B2(M. = Nb, Mo, Cr). Phys. Status Solidi B Basic Res. 2018, 255, 1800011. [Google Scholar] [CrossRef]
- Zou, Q.; Gu, H.; Li, Y.; Li, Z.; Liang, P.; Luo, Y. Characterization and analysis of high-entropy boride ceramics sintered at low temperature. J. Am. Ceram. Soc. 2023, 106, 2764–2772. [Google Scholar] [CrossRef]
- Wen, Z.; Meng, H.; Jiang, S.; Tang, Z.; Liu, Y.; Chu, Y. Non-equimolar (Hf,Zr,Ta,W)B2 high-entropy diborides enable superior oxidation resistance. Sci. China Mater. 2023, 66, 3213–3222. [Google Scholar] [CrossRef]
- Zhang, Y.; Sun, S.; Guo, W.; Xu, L.; Zhang, W.; Lin, H.T. Optimal preparation of high-entropy boride-silicon carbide ceramics. J. Adv. Ceram. 2020, 10, 173–180. [Google Scholar] [CrossRef]
- Storr, B.; Kodali, D.; Chakrabarty, K.; Baker, P.A.; Rangari, V.; Catledge, S.A. Single-Step Synthesis Process for High-Entropy Transition Metal Boride Powders Using Microwave Plasma. Ceramics 2021, 4, 257–264. [Google Scholar] [CrossRef]
- Guo, R.-F.; Mao, H.-R.; Shen, P. Ultra-fast high-temperature synthesis and densification of high-entropy diborides and diboride-carbide ceramics. J. Eur. Ceram. Soc. 2023, 43, 5763–5773. [Google Scholar] [CrossRef]
- Xiang, H.; Xing, Y.; Dai, F.; Wang, H.; Su, L.; Miao, L.; Zhang, G.; Wang, Y.; Qi, X.; Yao, L.; et al. High-entropy ceramics: Present status, challenges, and a look forward. J. Adv. Ceram. 2021, 10, 385–441. [Google Scholar] [CrossRef]
- Golla, B.R.; Mukhopadhyay, A.; Basu, B.; Thimmappa, S.K. Review on ultra-high temperature boride ceramics. Prog. Mater. Sci. 2020, 111, 100651. [Google Scholar] [CrossRef]
- Guo, R.R.; Li, Z.J.; Li, L.; Liu, Y.; Zheng, R.X.; Ma, C.L. Microstructures and oxidation mechanisms of (Zr0.2Hf0.2Ta0.2Nb0.2Ti0.2)B2 high-entropy ceramic. J. Eur. Ceram. Soc. 2022, 42, 2127–2134. [Google Scholar] [CrossRef]
- Smith, S.M.; Fahrenholtz, W.G.; Hilmas, G.E. Pressureless sintering of high-entropy boride ceramics. J. Eur. Ceram. Soc. 2023, 43, 5168–5173. [Google Scholar] [CrossRef]
- Yuan, J.H.; Guo, W.M.; Liu, Y.; Sun, S.K.; Duan, X.M.; Jia, D.C.; Lin, H.T. Hardness and toughness improvement of SiC-based ceramics with the addition of (Hf0.2Mo0.2Ta0.2Nb0.2Ti0.2)B2. J. Am. Ceram. Soc. 2021, 105, 1629–1634. [Google Scholar] [CrossRef]
- Razumov, N.; Makhmutov, T.; Kim, A.; Popovich, A. Structure and Properties of High-Entropy Boride Ceramics Synthesized by Mechanical Alloying and Spark Plasma Sintering. Materials 2023, 16, 6744. [Google Scholar] [CrossRef] [PubMed]
- Dube, T.C.; Zhang, J. Underpinning the relationship between synthesis and properties of high entropy ceramics: A comprehensive review on borides, carbides and oxides. J. Eur. Ceram. Soc. 2023, 44, 1335–1350. [Google Scholar] [CrossRef]
- Gild, J.; Zhang, Y.; Harrington, T. High-Entropy Metal Diborides: A New Class of High-Entropy Materials and a New Type of Ultrahigh Temperature Ceramics. Sci. Rep. 2016, 6, 37946. [Google Scholar] [CrossRef] [PubMed]
- Tallarita, G.; Licheri, R.; Garroni, S.; Orrù, R.; Cao, G. Novel processing route for the fabrication of bulk high-entropy metal diborides. Scr. Mater. 2019, 158, 100–104. [Google Scholar] [CrossRef]
- Zhang, Y.; Guo, W.; Jiang, Z.; Zhu, Q.; Sun, S.; You, Y.; Plucknett, K.; Lin, H.T. Dense high-entropy boride ceramics with ultra-high hardness. Scr. Mater. 2019, 164, 135–139. [Google Scholar] [CrossRef]
- Gong, J.; Zhu, H.; Xie, Q.; Zhang, C.; Lin, Y.; Liu, W.; Zhou, S.; Dong, Z. Synthesis and Ceramization of liquid HfB2. China Ceram. 2018, 54, 34–40. [Google Scholar]
- Sun, Y.; Ye, L.; Zhang, Y.; Chen, F.; Han, W.; Qiu, W.; Zhao, T. Synthesis of high entropy carbide ceramics via polymer precursor route. Ceram. Int. 2022, 48, 15939–15945. [Google Scholar] [CrossRef]
- Wen, Q.; Qu, F.; Yu, Z.; Graczyk-Zajac, M.; Xiong, X.; Riedel, R. Si-based polymer-derived ceramics for energy conversion and storage. J. Adv. Ceram. 2022, 11, 197–246. [Google Scholar] [CrossRef]
- Liu, R.; Liu, X.; Wang, Y.; Miao, H.; Song, C.; Qi, G.; Wan, F. Laser ablation behavior and mechanism of Cf/SiC–ZrC ultra-high temperature ceramic matrix composite prepared by PIP method. Ceram. Int. 2021, 47, 23610–23619. [Google Scholar] [CrossRef]
- Gai, K.; Guan, B.; Liang, L.; Li, J.; Wang, Q.; Zhao, T. Continuous aluminum oxide-mullite-hafniumoxide composite ceramic fibers with high strength and thermal stability by melt-spinning from polymer precursors. J. Eur. Ceram. Soc. 2022, 42, 5911–5921. [Google Scholar] [CrossRef]
- Yang, Y.; Bi, J.; Sun, K.; Qiao, L.; Liang, G.; Wang, H.; Yuan, J.; Chen, Y. The effect of chemical element on hardness in high-entropy transition metal diboride ceramics. J. Eur. Ceram. Soc. 2023, 43, 5774–5781. [Google Scholar] [CrossRef]
- Fahrenholtz, W.G.; Wuchina, E.J.; Lee, W.E.; Zhou, Y. Ultra-High Temperature Ceramics: Materials for Extreme Environment Applications; John Wiley & Sons: New York, NY, USA, 2014. [Google Scholar]
- Ji, H.; Yang, M.; Li, M.; Ji, G.; Fan, H.; Sun, X. Low-temperature synthesis of ZrB2 nano-powders using a sorbitol modified sol-gel processing route. Adv. Powder Technol. 2014, 25, 910–915. [Google Scholar] [CrossRef]











| Composition | δ (%) | Lattice Parameter (Å) | 
|---|---|---|
| (Ti, Zr, Hf, Nb)B2 | 2.925 | a = b = 0.3113, c = 0.3374 | 
| (Ti, Zr, Hf, Nb, Ta)B2 | 2.811 | a = b = 0.3105, c = 0.3356 | 
| (Ti, Zr, Hf, Nb, Mo)B2 | 3.315 | a = b = 0.3090, c = 0.3363 | 
| (Ti, Zr, Hf, Nb, Ta, Mo)B2 | 3.078 | a = b = 0.3087, c = 0.3341 | 
| (Ti, Zr, Hf, Ta, W)B2 | 3.901 | a = b = 0.3084, c = 0.3310 [25] | 
| (Ti, Zr, Hf, Mo, W)B2 | 4.168 | a = b = 0.3073, c = 0.3292 [25] | 
| Samples | M:B:C | Phase Structure | 
|---|---|---|
| 1# | 1:8:30 | (Ti, Zr, Hf, Nb, Ta)B2, (Ti, Zr, Hf, Nb, Ta)C | 
| 2# | 1:8:40 | (Ti, Zr, Hf, Nb, Ta)B2, (Ti, Zr, Hf, Nb, Ta)C | 
| 3# | 1:10:30 | (Ti, Zr, Hf, Nb, Ta)B2, (Ti, Zr, Hf, Nb, Ta)C | 
| 4# | 1:10:40 | (Ti, Zr, Hf, Nb, Ta)B2, (Ti, Zr, Hf, Nb, Ta)C | 
| 5# | 1:16:30 | (Ti, Zr, Hf, Nb, Ta)B2 | 
| 6# | 1:16:40 | (Ti, Zr, Hf, Nb, Ta)B2, B4C | 
| Empirical Formula | Ti | Zr | Hf | Nb | Ta | Mo | B | C | O | 
|---|---|---|---|---|---|---|---|---|---|
| (Ti0.25Zr0.26Hf0.27Nb0.26)B2.7C0.09O0.01 | 9.1 | 17.9 | 36.3 | 18.2 | / | / | 22.2 | 0.8 | 0.4 | 
| (Ti0.2Zr0.21Hf0.22Nb0.21Ta0.21)B2.1C0.08O0.01 | 6.6 | 13 | 26.7 | 13.6 | 26.00 | / | 15.7 | 0.7 | 0.7 | 
| (Ti0.2Zr0.21Hf0.2Nb0.2Mo0.2)B2.1C0.1O0.01 | 6.7 | 13.2 | 25.3 | / | 25.4 | 13.7 | 15.9 | 0.8 | 0.6 | 
| (Ti0.17Zr0.17Hf0.17Nb0.17Ta0.17Mo0.18)B2.49C0.19O0.01 | 5.8 | 11.3 | 22.1 | 11.5 | 22.3 | 11.9 | 16.4 | 0.9 | 0.7 | 
| Disclaimer/Publisher’s Note: The statements, opinions and data contained in all publications are solely those of the individual author(s) and contributor(s) and not of MDPI and/or the editor(s). MDPI and/or the editor(s) disclaim responsibility for any injury to people or property resulting from any ideas, methods, instructions or products referred to in the content. | 
© 2023 by the authors. Licensee MDPI, Basel, Switzerland. This article is an open access article distributed under the terms and conditions of the Creative Commons Attribution (CC BY) license (https://creativecommons.org/licenses/by/4.0/).
Share and Cite
Gong, W.; Wang, T.; Luo, W.; Du, Y.; Ye, L.; Song, R.; Cui, H.; Zhao, T.; Yang, W.; Dai, Z.; et al. Synthesis and Characterization of High-Purity, High-Entropy Diboride Ceramic Powders by a Liquid Phase Method. Materials 2023, 16, 7431. https://doi.org/10.3390/ma16237431
Gong W, Wang T, Luo W, Du Y, Ye L, Song R, Cui H, Zhao T, Yang W, Dai Z, et al. Synthesis and Characterization of High-Purity, High-Entropy Diboride Ceramic Powders by a Liquid Phase Method. Materials. 2023; 16(23):7431. https://doi.org/10.3390/ma16237431
Chicago/Turabian StyleGong, Weilu, Tiyuan Wang, Wei Luo, Youpei Du, Li Ye, Riheng Song, Haifeng Cui, Tong Zhao, Wei Yang, Zhen Dai, and et al. 2023. "Synthesis and Characterization of High-Purity, High-Entropy Diboride Ceramic Powders by a Liquid Phase Method" Materials 16, no. 23: 7431. https://doi.org/10.3390/ma16237431
APA StyleGong, W., Wang, T., Luo, W., Du, Y., Ye, L., Song, R., Cui, H., Zhao, T., Yang, W., Dai, Z., & Hong, Y. (2023). Synthesis and Characterization of High-Purity, High-Entropy Diboride Ceramic Powders by a Liquid Phase Method. Materials, 16(23), 7431. https://doi.org/10.3390/ma16237431
 
        

 
       