Forming Limit Analysis of Thin-Walled Extruded Aluminum Alloy Tubes under Nonlinear Loading Paths Using an Improved M-K Model
Abstract
1. Introduction
2. M-K+DF2012 Model for Tubes
2.1. Fundamental Assumptions
2.2. Prediction Process
2.3. Constitutive Model
3. Experiments
3.1. Experimental Principle and Setup
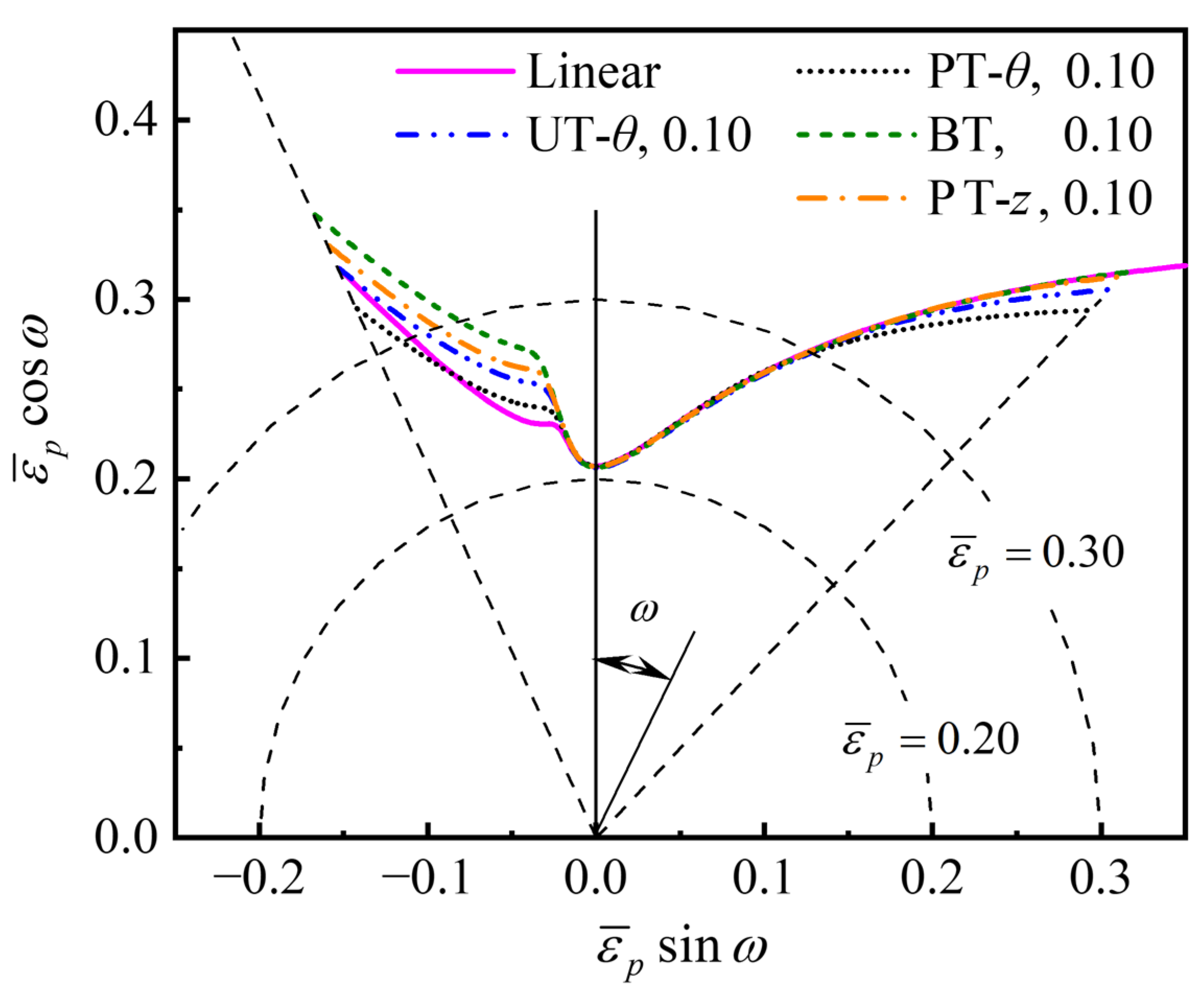
3.2. Scheme of Loading Paths
4. Results
4.1. Material Properties
4.2. Experimental Limit Strains
4.3. Prediction of Limit Strains
5. Discussion
5.1. Effect of Pre-Strain on Predicted ε-FLD
5.2. Effect of Pre-Strain on Predicted PEPS-FLD
6. Conclusions
Author Contributions
Funding
Institutional Review Board Statement
Informed Consent Statement
Data Availability Statement
Acknowledgments
Conflicts of Interest
References
- Alaswad, A.; Benyounis, K.; Olabi, A.G. Tube hydroforming process: A reference guide. Mater. Des. 2012, 33, 328–339. [Google Scholar] [CrossRef]
- Korkolis, Y.P.; Kyriakides, S. Hydroforming of anisotropic aluminum tubes: Part I experiments. Int. J. Mech. Sci. 2011, 53, 75–82. [Google Scholar] [CrossRef]
- Manabe, K.-I.; Fuchizawa, S. Further development on tube hydroforming. In 60 Excellent Inventions in Metal Forming; Tekkaya, A.E., Homberg, W., Brosius, A., Eds.; Springer: Berlin/Heidelberg, Germany, 2015; pp. 387–393. [Google Scholar] [CrossRef]
- Mirzaali, M.; Seyedkashi, S.M.H.; Liaghat, G.H.; Moslemi Naeini, H.; Shojaee G., K.; Moon, Y.H. Application of simulated annealing method to pressure and force loading optimization in tube hydroforming process. Int. J. Mech. Sci. 2011, 55, 78–84. [Google Scholar] [CrossRef]
- Boudeau, N.; Malécot, P. A simplified analytical model for post-processing experimental results from tube bulging test: Theory, experimentations, simulations. Int. J. Mech. Sci. 2012, 65, 1–11. [Google Scholar] [CrossRef]
- Zhu, H.; He, Z.; Lin, Y.; Zheng, K.; Fan, X.; Yuan, S. The development of a novel forming limit diagram under nonlinear loading paths in tube hydroforming. Int. J. Mech. Sci. 2020, 172, 105392. [Google Scholar] [CrossRef]
- Hashemi, R.; Assempour, A.; Abad, E.M.K. Implementation of the forming limit stress diagram to obtain suitable load path in tube hydroforming considering M–K model. Mater. Des. 2009, 30, 3545–3553. [Google Scholar] [CrossRef]
- Hashemi, R.; Madoliat, R.; Afshar, A. Prediction of forming limit diagrams using the modified M-K method in hydroforming of aluminum tubes. Int. J. Mater. Form. 2014, 9, 297–303. [Google Scholar] [CrossRef]
- Marron, G.; Moinier, L.; Patou, P.; Céleski, J. A new necking criterion for the forming limit diagrams. Metall. Res. Technol. 1997, 94, 837–845. [Google Scholar]
- Scales, M.; Chen, K.; Kyriakides, S. Response, Localization, and Rupture of Anisotropic Tubes under Combined Pressure and Tension. J. Appl. Mech. 2021, 88, 011008. [Google Scholar] [CrossRef]
- Martínez-Donaire, A.J.; García-Lomas, F.J.; Vallellano, C. New approaches to detect the onset of localised necking in sheets under through-thickness strain gradients. Mater. Des. 2014, 57, 135–145. [Google Scholar] [CrossRef]
- Keeler, S.P.; Backofen, W.A. Plastic instability and fracture in sheets stretched over rigid punches. Trans. Am. Soc. Met. 1963, 56, 25–48. [Google Scholar]
- Goodwin, G.M. Application of Strain Analysis to Sheet Metal Forming Problems in the Press Shop. Soc. Automot. Eng. 1968, 77, 380–387. [Google Scholar] [CrossRef]
- Kleemola, H.J.; Pelkkikangas, M.T. Effect of pre-deformation and strain path on the forming limits of steel, copper and brass. Sheet Met. Ind. 1977, 63, 591–596. [Google Scholar]
- Graf, A.; Hosford, W. The influence of strain-path changes on forming limit diagrams of A1 6111 T4. Int. J. Mech. Sci. 1994, 36, 897–910. [Google Scholar] [CrossRef]
- Wang, H.; Yan, Y.; Han, F.; Wan, M. Experimental and theoretical investigations of the forming limit of 5754O aluminum alloy sheet under different combined loading paths. Int. J. Mech. Sci. 2017, 133, 147–166. [Google Scholar] [CrossRef]
- Arrieux, R.; Boivin, M.; Le Maître, F. Determination of the Forming Limit Stress Curve for Anisotropic Sheets. CIRP Ann. 1987, 36, 195–198. [Google Scholar] [CrossRef]
- Arrieux, R. Determination and use of the forming limit stress diagrams in sheet metal forming. J. Mater. Process. Technol. 1995, 53, 47–56. [Google Scholar] [CrossRef]
- Simha, C.H.M.; Gholipour, J.; Bardelcik, A.; Worswick, M.J. Prediction of Necking in Tubular Hydroforming Using an Extended Stress-Based Forming Limit Curve. J. Eng. Mater. Technol. 2007, 129, 36–47. [Google Scholar] [CrossRef]
- Stoughton, T.B.; Yoon, J.W. Path independent forming limits in strain and stress spaces. Int. J. Solids Struct. 2012, 49, 3616–3625. [Google Scholar] [CrossRef]
- Nguyen, N.T.; Lee, E.; Lee, M.-G.; Kim, H.J.; Kim, H.-Y. Hydroformability assessment of AA6063 tubes using the polar effective plastic strain diagram. Proc. Inst. Mech. Eng. Part B J. Eng. Manuf. 2015, 229, 647–653. [Google Scholar] [CrossRef]
- Paul, S.K. Path independent limiting criteria in sheet metal forming. J. Manuf. Process. 2015, 20, 291–303. [Google Scholar] [CrossRef]
- Basak, S.; Panda, S.K. Necking and fracture limit analyses of different pre-strained sheet materials in polar effective plastic strain locus using Yld2000-2d yield model. J. Mater. Process. Technol. 2019, 267, 289–307. [Google Scholar] [CrossRef]
- Marciniak, Z.; Kuczyński, K. Limit strains in the processes of stretch-forming sheet metal. Int. J. Mech. Sci. 1967, 9, 609–620. [Google Scholar] [CrossRef]
- Banabic, D.; Kami, A.; Comsa, D.-S.; Eyckens, P. Developments of the Marciniak-Kuczynski model for sheet metal formability: A review. J. Mater. Process. Technol. 2021, 287, 116446. [Google Scholar] [CrossRef]
- Kuroda, M.; Tvergaard, V. Effect of strain path change on limits to ductility of anisotropic metal sheets. Int. J. Mech. Sci. 2000, 42, 867–887. [Google Scholar] [CrossRef]
- Hiwatashi, S.; Van Bael, A.; Houtte, P.A.; Teodosiu, C. Prediction of forming limit strains under strain-path changes: Application of an anisotropic model based on texture and dislocation structure. Int. J. Plast. 1998, 14, 647–669. [Google Scholar] [CrossRef]
- Yang, X.-Y.; Lang, L.-H.; Liu, K.-N.; Guo, C. Modified MK model combined with ductile fracture criterion and its application in warm hydroforming. Trans. Nonferrous Met. Soc. China 2015, 25, 3389–3398. [Google Scholar] [CrossRef]
- Hosseini, M.E.; Hosseinipour, S.J.; Bakhshi-Jooybari, M. Theoretical FLD Prediction Based on M-K Model using Gurson's Plastic Potential Function for Steel Sheets. Procedia Eng. 2017, 183, 119–124. [Google Scholar] [CrossRef]
- Shahzamanian, M.M.; Wu, P.D. Study of forming limit diagram (FLD) prediction of anisotropic sheet metals using Gurson model in M-K method. Int. J. Mater. Form. 2021, 14, 1031–1041. [Google Scholar] [CrossRef]
- Hu, P.; Liu, W.; Ying, L.; Zhang, J.; Wang, D. A thermal forming limit prediction method considering material damage for 22MnB5 sheet. Int. J. Adv. Manuf. Technol. 2017, 92, 627–638. [Google Scholar] [CrossRef]
- Banabic, D.; Comsa, D.-S.; Eyckens, P.; Kami, A.; Gologanu, M. Advanced models for the prediction of forming limit curves. In Multiscale Modelling in Sheet Metal Forming; Banabic, D., Ed.; Springer: Cham, Switzerland, 2016; pp. 205–300. [Google Scholar]
- Zhang, R.; Shao, Z.; Lin, J. A review on modelling techniques for formability prediction of sheet metal forming. Int. J. Lightweight Mater. Manuf. 2018, 1, 115–125. [Google Scholar] [CrossRef]
- Zadpoor, A.A.; Sinke, J.; Benedictus, R. Formability prediction of high strength aluminum sheets. Int. J. Plast. 2009, 25, 2269–2297. [Google Scholar] [CrossRef]
- Zhalehfar, F.; Hosseinipour, S.J.; Nourouzi, S.; Gorji, A.H. Numerical Investigation into the Effect of Uniaxial and Biaxial Pre-Strain on Forming Limit Diagram of 5083 Aluminum Alloy. AIP Conf. Proc. 2011, 1383, 165–172. [Google Scholar] [CrossRef]
- Hu, Q.; Zhang, F.; Li, X.; Chen, J. Overview on the Prediction Models for Sheet Metal Forming Failure: Necking and Ductile Fracture. Acta Mech. Solida Sin. 2018, 31, 259–289. [Google Scholar] [CrossRef]
- Li, H.; Hou, H.; Li, Z.; He, L.; Wang, X. Numerical simulation of hot blanking for boron steel B1500HS based on ductile fracture criterion. Int. J. Adv. Manuf. Technol. 2018, 97, 3505–3522. [Google Scholar] [CrossRef]
- Clift, S.; Hartley, P.; Sturgess, C.; Rowe, G. Fracture prediction in plastic deformation processes. Int. J. Mech. Sci. 1990, 32, 1–17. [Google Scholar] [CrossRef]
- Cockcroft, M.G.; Latham, D.J. Ductility and the workability of metals. J. Inst. Met. 1968, 96, 33–39. [Google Scholar]
- McClintock, F.A. A Criterion for Ductile Fracture by the Growth of Holes. J. Appl. Mech. 1968, 35, 363–371. [Google Scholar] [CrossRef]
- Han, H.N.; Kim, K.-H. A ductile fracture criterion in sheet metal forming process. J. Mater. Process. Technol. 2003, 142, 231–238. [Google Scholar] [CrossRef]
- Lou, Y.; Huh, H.; Lim, S.; Pack, K. New ductile fracture criterion for prediction of fracture forming limit diagrams of sheet metals. Int. J. Solids Struct. 2012, 49, 3605–3615. [Google Scholar] [CrossRef]
- Zhu, H.; Lin, Y.; He, Z.; Yuan, S. An improved approach for forming limit prediction of strongly anisotropic thin-walled tube combining M-K model and ductile fracture criterion. J. Manuf. Sci. Eng. 2023, 145, 061003. [Google Scholar] [CrossRef]
- He, Z.; Wang, Z.; Lin, Y.; Zhu, H.; Yuan, S. A modified Marciniak–Kuczynski model for determining the forming limit of thin-walled tube extruded with initial eccentricity. Int. J. Mech. Sci. 2019, 151, 715–723. [Google Scholar] [CrossRef]
- Hora, P.; Tong, L.; Berisha, B. Modified maximum force criterion, a model for the theoretical prediction of forming limit curves. Int. J. Mater. Form. 2013, 6, 267–279. [Google Scholar] [CrossRef]
- Barlat, F.; Brem, J.C.; Yoon, J.W.; Chung, K.; Dick, R.E.; Lege, D.J.; Pourboghrat, F.; Choi, S.-H.; Chu, E. Plane stress yield function for aluminum alloy sheets—Part 1: Theory. Int. J. Plast. 2003, 19, 1297–1319. [Google Scholar] [CrossRef]
- Timoshenko, S.; Woinowsky-Krieger, S. Theory of Plates and Shell, 2nd ed.; McGraw-Hill Book Co., Inc.: New York, NY, USA, 1959. [Google Scholar]
- Zhang, K.; He, Z.; Zheng, K.; Yuan, S. Experimental verification of anisotropic constitutive models under tension-tension and tension-compression stress states. Int. J. Mech. Sci. 2020, 178, 105618. [Google Scholar] [CrossRef]
- Korkolis, Y.P.; Kyriakides, S. Inflation and burst of anisotropic aluminum tubes for hydroforming applications. Int. J. Plast. 2008, 24, 509–543. [Google Scholar] [CrossRef]












| Parameters | Anisotropic Parameters | Power Hardening | Coefficients of the Yld2000-2d Yield Criterion | ||||||||||
|---|---|---|---|---|---|---|---|---|---|---|---|---|---|
| K (MPa) | n | ||||||||||||
| Values | 0.454 | 0.927 | 2.80 | 0.988 | 0.959 | 391.7 | 0.2636 | 1.0072 | 0.9436 | 1.1625 | 1.0764 | 0.9725 | 0.8519 |
| Parameters | C1 | C2 | C3 | f0 |
|---|---|---|---|---|
| Values | 10.77 | −2.814 | 0.4114 | 0.9852 |
Disclaimer/Publisher’s Note: The statements, opinions and data contained in all publications are solely those of the individual author(s) and contributor(s) and not of MDPI and/or the editor(s). MDPI and/or the editor(s) disclaim responsibility for any injury to people or property resulting from any ideas, methods, instructions or products referred to in the content. |
© 2023 by the authors. Licensee MDPI, Basel, Switzerland. This article is an open access article distributed under the terms and conditions of the Creative Commons Attribution (CC BY) license (https://creativecommons.org/licenses/by/4.0/).
Share and Cite
Zhu, H.; Lin, Y.; Chen, K.; He, Z. Forming Limit Analysis of Thin-Walled Extruded Aluminum Alloy Tubes under Nonlinear Loading Paths Using an Improved M-K Model. Materials 2023, 16, 1647. https://doi.org/10.3390/ma16041647
Zhu H, Lin Y, Chen K, He Z. Forming Limit Analysis of Thin-Walled Extruded Aluminum Alloy Tubes under Nonlinear Loading Paths Using an Improved M-K Model. Materials. 2023; 16(4):1647. https://doi.org/10.3390/ma16041647
Chicago/Turabian StyleZhu, Haihui, Yanli Lin, Kelin Chen, and Zhubin He. 2023. "Forming Limit Analysis of Thin-Walled Extruded Aluminum Alloy Tubes under Nonlinear Loading Paths Using an Improved M-K Model" Materials 16, no. 4: 1647. https://doi.org/10.3390/ma16041647
APA StyleZhu, H., Lin, Y., Chen, K., & He, Z. (2023). Forming Limit Analysis of Thin-Walled Extruded Aluminum Alloy Tubes under Nonlinear Loading Paths Using an Improved M-K Model. Materials, 16(4), 1647. https://doi.org/10.3390/ma16041647
