Abstract
Bioplastics have entered everyday life as a potential sustainable substitute for commodity plastics. However, still further progress should be made to clarify their degradation behavior under controlled and uncontrolled conditions. The wide array of biopolymers and commercial blends available make predicting the biodegradation degree and kinetics quite a complex issue that requires specific knowledge of the multiple factors affecting the degradation process. This paper summarizes the main scientific literature on anaerobic digestion of biodegradable plastics through a general bibliographic analysis and a more detailed discussion of specific results from relevant experimental studies. The critical analysis of literature data initially included 275 scientific references, which were then screened for duplication/pertinence/relevance. The screened references were analyzed to derive some general features of the research profile, trends, and evolution in the field of anaerobic biodegradation of bioplastics. The second stage of the analysis involved extracting detailed results about bioplastic degradability under anaerobic conditions by screening analytical and performance data on biodegradation performance for different types of bioplastic products and different anaerobic biodegradation conditions, with a particular emphasis on the most recent data. A critical overview of existing biopolymers is presented, along with their properties and degradation mechanisms and the operating parameters influencing/enhancing the degradation process under anaerobic conditions.
Keywords:
anaerobic digestion; biopolymers; PHA; PHB; PLA; starch-based; Mater-Bi; cellulose-based; PBAT; PCL 1. Introduction
In the last decades, plastic pollution has become a global issue and a threat to the environment and human health. World plastic waste production is close to 400 Mt/y and the recycled share is 9% [1]. The remaining part of plastic waste is incinerated (19%) or landfilled (50%), diverting potentially valuable materials from recycling or recovery. Relatively low materials and energy recovery rates are mainly related to technical and economic constraints that limit the feasibility of the valorization processes.
Another critical aspect of plastic waste management is represented by its uncontrolled dispersion into the environment, which accounted for 22 Mt in 2019 [1]. Oceans are the ultimate sink for plastic debris, with an estimated annual input of 4.8–12.7 Mt [2]. Due to their recalcitrant nature, fossil-based plastics accumulate in the environment, and in particular in oceans, where they group into giant floating plastic islands. The main issues related to dispersion of plastic waste involve, on one hand, the potential release of hazardous chemical substances, and on the other hand, their physical disintegration into smaller particles [3], which may even be more dangerous. Microplastics can accumulate persistent organic contaminants and metals due to their high surface area and can enter the food chain, representing a hazard to living organisms [4,5].
In an attempt to enhance the circularity of the plastic sector, the main steps to take include the reduction, reuse, and recycling of plastics, as dictated by the European Circular Economy Action Plan [6]. Another emerging strategy involves replacing commodity plastics with bioplastics. This new category of materials has already been successfully employed to replace plastics in many industrial applications, and especially in the packaging sector [7].
The main advantage of biodegradable plastics is that they can be treated together with the organic fraction of municipal solid waste using the already existing infrastructure for collection and treatment. In particular, anaerobic treatment could help meet the growing demand for energy, while lowering the carbon footprint of waste management [8,9]. Bioplastic residues could positively affect the energy recovery of anaerobic digestion plants, as was reported by Cucina and colleagues [10], who co-digested sewage sludge and bioplastics and found a 45% increase in methane production compared to sludge mono-digestion. A synergistic effect in bioplastics and biowaste co-digestion was observed by other authors as well [11,12].
However, there are many issues related to the actual biodegradation profile of bioplastics which have not yet been comprehensively addressed by the scientific community [13,14]. For example, the correlation between the chemical composition of the products and their actual biodegradation is still unclear, as are the potential generation of undesired degradation products (including micro-bioplastics) and their effect on the final compost and digestate quality. This issue is of particular relevance with regard to sanitary issues, since contaminated compost and digestate may become carriers of recalcitrant substances across the environmental compartments [15]. Understanding the material-related and environment-related aspects that determine the actual biodegradation of bioplastics is necessary to harmonize their treatment with biowaste using the typical processing conditions of waste treatment plants [10].
Another issue is the regulation of the bioplastic industry, which still needs to be drafted and implemented. Currently, there are no harmonized indications on bioplastics composition, minimum content of bio-based components, nor labelling standards. The European Union is currently heading towards defining some ground rules and has recently stated that bioplastics products should only be used provided they are useful to increase biowaste capture and avoid contamination [16]. On the other hand, litter-prone items, which have been also identified by the Directive on single-use plastics [17] are not intended to be environmentally sustainable per se, but it is still unclear whether they should be banned even when biodegradable.
Evidently, some intersectional work is needed involving the scientific community (to assess the characteristics and behavior of bioplastics under controlled and uncontrolled conditions), Governments and supranational organizations (to provide guidelines, policies and regulations), and the industrial and economic sectors (for the implementation of the required measures) in order to build a sustainable and circular value chain of bioplastic materials.
2. Bioplastics: Definitions and Classification
Bioplastics currently represent 1% of the global plastic production capacity, with a volume of over 2 Mt per year [18].
Three main categories of bioplastics can be identified based on their composition and biodegradability [19]. The first and more controversial category includes the so-called drop-in plastics, which are biologically derived but are not biodegradable and are designed to mimic petroleum-based plastics. The precursors used in the production of this kind of plastic rely on agriculture; hence, they are competing with food production [20]. Moreover, the lack of degradability poses a limitation to the residues management, hindering materials recovery. Some examples of these plastics are bio-ethylene, bio-polyethylene (bio-PE), bio-propylene (bio-PP), and bio-polyethylene terephthalate (bio-PET). Some fossil-based plastics, such as polycaprolactone (PCL), polybutylene succinate (PBS), and polybutylene adipate terephthalate (PBAT), are recognized to be biologically degradable and are extensively used in the bioplastics industry. However, their production relies on fossil fuels and they usually display lower degradation rates due to their unfavorable physical and chemical characteristics [21].
Bio-based and biodegradable plastics are derived from renewable sources, such as biomasses (polylactic acid [PLA], starch) or microorganisms’ intracellular reservoirs (polyhydroxyalkanoates (PHAs)) and can be fully mineralized into harmless compounds.
Each of these biopolymers has a specific chemical structure, degree of crystallinity, and associated physical, mechanical, and thermal properties that, in turn, determine the type of use they are more suited to. Biopolymers can be classified according to different criteria, including, e.g., polymer nature, thermal behavior, origin, and biodegradability characteristics. Some common categories include:
- Bio-based aliphatic polyesters (PLA, PBS, PHAs);
- Cellulose-based bioplastics;
- Starch-based bioplastics;
- Bio-based aromatic polyesters (polyethylene furanoate, PEF);
- Bio-based polyurethanes;
- Fossil-derived biodegradable polymers (PVA, PBAT, PCL, Polyglycolic acid, PLGA).
Another classification may be made on the basis of the origin of the polymer [22], distinguishing among artificially processed and microbially and naturally derived materials. Examples of artificially processed-type plastics include PLA and PBS. Microbially derived bioplastics comprise different types of PHAs. Examples of naturally derived bioplastics may include starch coalesced either with esters or cellulose.
In the following sections, a description of the relevant characteristics of the main bioplastic materials is provided.
2.1. PHAs
PHAs are a class of biopolyesters synthesized and accumulated intracellularly by numerous microorganisms [23,24], particularly under cell stress conditions (typically, presence of excess carbon and limitation of essential nutrients [25]). During such conditions, microorganisms divert their metabolism, instead of cell duplication, towards the formation of hydroxyalkyl-CoA, a precursor of PHA polyesters [26], which, in turn, are stored as internal cellular reserves of carbon and energy. Under starvation conditions, these reserves are then used to sustain the main metabolic functions of microbial cells. PHAs have the capability of being stored at high concentrations (up to 90% of cell dry weight for specific pure cultures [26]) within the cell cytoplasm since they are known to produce no significant changes in osmotic pressure. After the accumulation stage, microbial cells can be harvested and PHAs extracted through different techniques.
PHAs have attracted considerable scientific interest owing to their thermoplastic and elastomeric properties, as well as to their biodegradability and biocompatibility. Furthermore, they can be synthesized biochemically from a wide variety of residual organic feedstocks, particularly those that are suited to fermentation, yielding volatile fatty acids which are the common starting substrate for PHA production.
The different known chemical structures of PHAs differ by the number of carbon atoms of the constituting monomer, and can be classified as short-chain (3–5 carbon atoms) or medium-chain (6–14 carbon atoms) PAHs [27]. The most common polymers belonging to this family are poly(3-hydroxybutyrate) and poly(4-hydroxybutyrate) (PHB), poly(3-hydroxybutyrate-co-3-hydroxyvalerate) (PHBV), poly(3-hydroxybutyrate-co-4-hydroxybutyrate), and poly(3-hydroxybutyrate-co-3-hydroxyhexanoate). PHB is the most studied and commercialized, mainly for packaging and biomedical applications [28].
2.2. TPS
Starch is a polysaccharide derived from plants and mainly composed by amylose and amylopectin, which can be found in different proportions and determine the polymer properties [29]. Starch is particularly widespread thanks to its availability and low cost [30], but has poor tensile properties and a high hydrophilic nature, so it is turned into thermoplastic starch (TPS) to achieve a better processability [31]. The disruption of starch granules is performed through gelatinization and the addition of water and glycerol as a plasticizer [32]. In addition, to obtain the required physical and mechanical properties, TPS is often blended with other polymers or additives [33]. Many different inclusions are used to reinforce the material and improve its gas barrier capacity, such as fibers [34,35] and clay fillers [36] or metal oxides [37].
2.3. PLA
PLA is an aliphatic polyester obtained from renewable resources. It is produced through direct polycondensation of lactic acid or via ring opening polymerization of lactide [38] and can differ depending on the relative proportions of the two stereoisomers of lactic acid, which are D- and L-lactide [39,40]. PLA is one of the most successful biodegradable polymers since it is already employed for many different industrial applications, particularly for packaging and in biomedicine [7]. Given its brittle behaviour, it is often co-polymerized and blended with additives to improve its mechanical and physical properties [41,42,43,44].
2.4. PCL
Poly (ε-caprolactone) is an alyphatic polyester usually obtained from the ring opening polymerization of ε-caprolactone [45]. It belongs to the category of fossil-based and biodegradable plastics and, thanks to its biocompatibility and slow degradability, it is frequently used for biomedical and packaging applications [46,47]. It is a semi-crystalline and hydrophobic polymer, with a melting point in the range 59–64 °C. When blended to other polymers (mainly starch and PLA) it shows a good compatibility and is used especially due to its thermoplastic behavior, which helps the processing of the material [48].
2.5. PBS
PBS is an aliphatic and thermoplastic polyester, which is derived through polycondensation of succinic acid or dimethyl succinate and 1,4 butanediol [49]. The production process may include either ring-opening polymerization or enzymatic polymerization; the starting monomers are commonly petroleum-based but recent advances have also been made towards PBS production from bio-based sources [50]. PBS displays good processability, good tensile and impact strength, as well as a lower production cost compared to PLA and PCL [51]. However, its mechanical and physical characteristics do not often meet the requirements for a number of industrial applications, since it is distinguished by moderate rigidity and poor gas barrier properties [52] due to its low glass transition temperature that makes it unsuited for use for rigid packaging production [50]. Additives and fillers, as well as blending with other polymers, have been studied to enhance its mechanical and physical properties [53,54].
2.6. PBAT
PBAT is an aliphatic-aromatic polyester produced by poly-condensation of butanediol, adipic acid, and terephthalic acid [55]. Its degradability is mainly governed by the aliphatic part of the polymer [56], while the aromatic chain determines the typically good mechanical properties of the material that make it suitable for many applications, such as high ductility and processability [57]. PBAT has been widely studied in blends, especially with PLA [57,58,59].
3. Bioplastics Biodegradation
3.1. General Concepts and Influencing Factors
Biodegradation of organic matter involves microbially mediated conversion of the original compounds into water, biomass cells, CO2 (under aerobic conditions) or CO2, CH4, and minor amounts of other gaseous products (under anaerobic conditions).
The process can occur in natural environments under uncontrolled conditions or in dedicated systems where the operating parameters, the process factors, and the metabolic products can be monitored more easily.
Based on the current state of the art, most biodegradable plastics are engineered to be degraded in aerobic environments, which has fostered a large quantity of scientific studies on the assessment of the aerobic degradability of such materials. On the other hand, the research about the biodegradation features of commercial bioplastic products under anaerobic conditions has only very recently developed systematically. As a result, definitive conclusions on the degree of anaerobic biodegradability, the governing mechanisms, and the influence of key factors are still far from having been achieved.
The anaerobic degradation of organic matter has been intensively explored over the past three decades to elucidate the underlying biochemical pathways, the microbial species involved, the reaction products, as well as the main influencing factors of the process. Anaerobic digestion is a complex biochemical process resulting from the synthrophic activity of an array of microbial species having different functions and physiology, metabolic capabilities, and operating conditions requirements. Such microorganisms, therefore, play a specific role in one of the sequential process phases (hydrolysis, acidogenesis, acetogenesis, and methanogenesis). In general, and particularly for complex substrates such as the polymeric structures of bioplastics, hydrolysis—which involves the breakdown of the original substrate molecules into simpler species that can be further metabolized by the microorganisms—is recognized to be the rate-limiting step of the whole process and is therefore crucial for the subsequent biochemical pathways. Acidogenic microorganisms convert the hydrolyzed compounds into short-chain fatty acids, lactate, alcohols, and chetons. These are in turn further transformed by acetogenic microorganisms into H2, CO2, and acetate; this can also be synthesized by autotrophic homoacetogens directly from the H2 and CO2 generated in the previous stage. The final methanogenic stage mainly involves the formation of CH4 and CO2 through either the acetoclastic or hydrogenotrophic pathways [60,61]. The main microbial species taking part in the process include hydrolytic bacteria, primary/secondary fermentative bacteria, and methanogenic archaea, which are synthrophically connected through the exchange of H2, formate (as electron carriers), and other metabolites such as acetate [62] to sustain the related microbial reactions.
Anaerobic digestion is commonly regarded as a valuable and sustainable strategy to recover materials (compost, digestate, nutrients) and energy from wastes [63,64], while at the same time contributing to reducing the net emissions of greenhouse gases from waste treatment. With regard to such aspects, anaerobic digestion can represent a valuable technological option for the management of end-of-life bioplastics, assuming that they are collected and managed together with the organic fraction of municipal solid waste. Optimized anaerobic degradation conditions—as for other biological processes—require well-balanced amounts of carbon and nutrients. Since it is well recognized that typical substrates for anaerobic digesters, such as food/kitchen waste, the organic fraction of municipal solid waste, and sewage sludge, have a typically low C/N ratio while most bioplastics are poor in nitrogen, the co-digestion of such materials may be an operating strategy to adjust the C/N ratio to optimize the digestion condition and enhance the degree of substrate conversion into biogas [11].
The estimation of biodegradability is commonly made on the basis of the volume of biogas evolved. Under aerobic conditions, the CO2 volume is used as an index of assimilation and mineralization of the substrate and biodegradability is expressed as the ratio between the evolved CO2 and the theoretical amount of CO2 expected (Equation (1)). Under anaerobic conditions, biodegradability is usually quantified from the ratio between the total biogas (CH4 + CO2) produced and the corresponding theoretical amount of biogas expected (Equation (2)), or as the equivalent ratio for methane instead of total biogas (Equation (3)). Equation (3) is sometimes preferred over Equation (2) since CO2 is relatively water-soluble (especially under elevated CO2 partial pressures as in digesters’ headspace); therefore, the quantification of the total biogas volume evolved requires direct determination of the dissolved inorganic carbon that should be made without altering the thermodynamic and chemical conditions of the system.
The theoretical volumes of CO2 and biogas produced are calculated from the polymer’s carbon content under the hypothesis that this is totally converted into the final products, e.g., neglecting the amount of carbon incorporated in the microbial cells due to biomass growth. For instance, under anaerobic conditions, the Buswell equation is commonly adopted (Equation (4)) [65]:
It should be considered that the Buswell equation does not take into account the substrate conversion into biomass; therefore, the actual biogas production has an upper limit that is obviously lower than that expected from Equation (4) [66].
Biodegradation is a process governed by the combination of different factors, depending on the polymer characteristics and on the environmental conditions it is subjected to.
The configuration of the monomeric units constituting the polymer, the bonds among the elements, and their orientation dictate the material properties, which, in turn, influence its biodegradation profile. In general, the presence of hydrolyzable groups in biopolymers (ether, ester, amide, and carbonate) is the factor that determines their susceptibility to microbial attack [67]. The solubility of polymers typically decreases as the polymeric chain length and molecular weight increase. Crystallinity improves water resistance, therefore limiting both hydrolysis and the microbial activity that are instead favored in amorphous regions. On the other hand, hydrophilicity determines higher vulnerability to water.
Flexibility is another characteristic that lowers the degradation enthalpy since it improves the possibility to fit better into the active sites of enzymes. Aliphatic polyesters have, in general, a larger flexibility compared to the aromatic and aliphatic-aromatic counterparts and are therefore particularly suited for degradation [68].
Polymers with lower molecular weights, a higher amorphous character, and higher flexibility are in principle more prone to biological attack [69].
Furthermore, exposure conditions to potential degradation agents/factors can complement polymers characteristics and improve degradability. The main external factors affecting biodegradation can be both biotic and abiotic. Each environment typically has a specific microbial community and the main abiotic factors, such as temperature, pH, and moisture, can promote their growth and activity [70].
Biodegradation is an enzymatic reaction and proceeds very specifically depending on the chemical bonds/linkages of the polymer and the structure of particular functional groups. In general, microorganisms are only capable of attacking specific functional groups at specific sites.
Temperature has an effect on enhancing the hydrolysis and the overall process rate [71] by increasing polymer chains mobility and enzymatic activity. When temperature is in the range of the polymer’s Tg, the material becomes more flexible. Acidic or basic environments have been found to accelerate hydrolysis as well. Of course, moisture is involved in the hydrolysis of polymeric materials as well as in sustaining microbial activity. Another mechanism of biopolymer alteration involves photodegradation, which depends on the interaction between the polymer and UV radiation.
3.2. Biodegradation Mechanisms
Polymers biodegradation is the result of the competition and combination of multiple mechanisms. As illustrated in Figure 1, both abiotic and biotic (enzymatic) actions can lead to the cleavage of the polymer’s chemical bonds, and later to matrix erosion [47]. The process can be carried out at different levels: surface level, bulk level, or through autocatalysis [45]. Surface degradation is a heterogeneous process which may also be detected visually, while bulk erosion affects the whole matrix at the same time, so that the material remains apparently the same for a long time until it disaggregates abruptly [72]. Bulk erosion is more related to the influence of abiotic factors, which may include mechanical stresses (resulting from compression, tension, or shear forces), thermal alteration, water absorption, chemical hydrolysis, oxidation, or photolysis [73,74]. The resulting fractures can favor the microbial degradation pathways. Autocatalysis is a phenomenon that happens internally, where the oligomers and monomers released remain trapped into the matrix and are able to continue cleaving the polymeric backbone from the inside. Regardless of the mechanisms involved, the degradation of the polymeric matrix can be tracked with the monitoring of molecular weight and monomers release [72].
Figure 1.
Main abiotic and biotic degradation mechanisms of biopolymers and related products.
In general terms, the main steps in the degradation of polymers include: (i) biodeterioration; (ii) depolymerization; (iii) assimilation; and (iv) mineralization [75]. Biodeterioration causes changes in the physical, mechanical, and chemical characteristics of the material. It begins with the adhesion of microorganisms on the material surface and the formation of a biofilm. Extracellular depolymerase enzymes and free radicals are generated and their action leads to the formation of cavities, microfractures, and the cleavage of the polymer backbone. A physical surface embrittlement and bulk erosion may also complement the enzymatic degradation, increasing the material’s surface area exposed to microbial attack, thus promoting the subsequent biodegradation reactions. In this phase, hydrolysis occurs thanks to the diffusion of water into the amorphous regions of the polymeric matrix. For instance, the butylene adipate and butylene terephthalate components of PBAT degrade at different rates, with the former being less crystalline [56]. Moreover, the kinetics of this process depend on the polymer hydrophilicity; thus, it is generally very slow for PCL [76].
Depolymerization and assimilation are carried out by two categories of enzymes that are extracellular and intracellular. Extracellular enzymes are secreted by microorganisms and can act randomly on the disruption of specific bonds or linkages in the polymeric structure, releasing intermediate metabolic products with simpler molecular structures, with an associated reduction in the molecular weight of the material [71]. Some authors observed that the efficacy of enzymatic hydrolysis is dependent on the degree of adsorption of the enzyme onto the polymer surface, which is the pre-condition required for surface erosion of the polymer [77].
Extracellular enzymes exert their action according to two different polymer cleaving modes: endo-type hydrolysis involves random scission of ester bonds along the main chain of the polymer, releasing either monomers or short-chain soluble oligomers; on the other hand, in exo-type hydrolysis, the material is degraded stepwise from the chain ends of the polymeric structure (for instance, either the hydroxyl or the carbonyl end of the molecule in the case of polyesters), with oligomers being mainly generated at first by the cleavage action [78].
In particular, the ester bond in the polyesters’ backbone is susceptible to non-enzymatic scission that occurs through the following reaction [79]:
The formation of carboxylic groups, in particular, determines the further autocatalysis of the breakage of ester linkages, since polymer oligomers have a lower pKa compared to most carboxylic groups [79,80]. In PBAT, the cleavage of ester linkages is coupled with the reaction between water and the carbonyl groups located in the proximity of the benzene rings [56].
The type of intermediate metabolites produced in the depolymerization phase depends on both the specific polymer of concern and the type of enzymes involved [81].
It was observed that PLA degradation into lactic acid oligomers begins when a molecular weight drop to below 10,000 Da [79] and the main enzymes involved are proteases and lipases [82,83]. The same enzymes were found to be responsible for PCL ester bond cleavage [47]; as a result of such bond breaking, the polymer is broken down to carboxyl terminal groups and 6-hydroxylcaproic acid [45].
During degradation of PBS, degrading enzymes including esterases, lipases, and cutinases were identified [50,78,84]. Exo-type cleavage was observed in the presence of lipase, with 4-hydroxybutyl succinate dimer as the main hydrolysis product by some investigators [77,78]. In another study [85], an enzyme extracted from Aspergillus sp. was found to be capable of degrading PBS, again through exo-type hydrolysis at the carboxylic chain end; in this case, the degradation products were found to include succinic acid, butylene succinate, succinic acid-butylene succinate, and their salts. PBS degradation using cutinase was tested in a number of studies [84,86] that revealed endo-type hydrolysis of the polymer, although different chain scission modes (either at the hydroxyl or at the carbonyl end of the polymer) were found to occur based on the observed degradation products.
A series of enzymes (hydrolase, lipase, esterase, and cutinase) were identified in both composting and anaerobic digestion environments in PBAT degradation [87], with the subsequent production of terephthalic acid, adipic acid, and 1,4-butanediol [88].
PHB and PHBV were found to be broken down by depolymerases and hydrolases to 3-hydroxybutyric acid and both 3-hydroxybutyric acid and 3-hydroxyvaleric acid, respectively [27].
During starch degradation, the amylose and amylopectin acetal links are hydrolyzed by amylase and glucosidase, respectively, which generate glucose, maltose, and maltotriose [89,90].
After depolymerization, long- and short-chain oligomers and soluble monomers released are able to cross the cell membranes and can then be directly exposed to the assimilation reactions, which are catalyzed by intracellular enzymes [91]. They are used by the microorganisms in both catabolic and anabolic reactions to generate energy and other metabolic products and synthesize new microbial cells. The last stage of the biodegradation process, i.e., mineralization, involves the final substrate conversion into water, biomass cells, CO2 (under aerobic conditions) or CO2, CH4, and minor amounts of other gaseous products (under anaerobic conditions).
3.3. Microbiology of Bioplastics Biodegradation
The specific type of microbial pathways occurring and the related microbial species involved are crucial for the degradation of the polymeric matrix of bioplastic products. More than 90 types of microbes were found to be involved in bioplastics degradation [69], mainly deriving from compost or soil environments. Currently, little is known on the specific role of each microbial species in the biodegradation process, particularly regarding anaerobic conditions [92,93]. In general terms, the microorganisms found in anaerobic digesters are mainly bacteria; archaea are present as well and take part in the methanogenic phase [94].
The operating temperature has a large influence on the microbial community development. During mesophilic treatment of bioplastics, a prevalence of Bacteroidota, Chloroflexi, Desulfobacterota, Firmicutes, and Euryarchaeota was observed, while at thermophilic temperatures, Firmicutes, Proteobacteria, and Coprothermobacter were found to be predominant [94,95]. Increased temperatures were also observed to favor the growth of hydrogenotrophic methanogens [96]. Some attempts have been made at isolating bacterial strains, which were also found to become more efficient as the degradation time was reduced [97,98].
A number of authors attempted to identify the microbial strains participating in the degradation of specific bioplastic matrices. For starch-based products, a prevalence of Firmicutes and Synergistetes operational taxonomic units (OTUs) was observed under thermophilic conditions, while a dominance of Bacteroidetes, Firmicutes, Chloroflexi, and Proteobacteria was detected under mesophilic conditions [96].
PHB was found to be degraded by the genus Clostridium botulinum [97] and by consortia of Ilyobacter delafieldii, Enterobacterm and Cupriavidus [99]. Moreover, Yagi and colleagues tested PHB and detected Arcobacter thereius and Clostridium sp. when operating under mesophilic temperatures [100], and Peptococcaceae bacterium Ri50, Bacteroides plebeius, and Catenibacterium mitsuokai at thermophilic temperatures [101].
Several studies on PLA anaerobic degradation also reported the main microbial strains detected during the process. In many cases, lactic acid bacteria were observed, such as Moorella, Tepidimicrobium, Thermogutta [95,99,102]. When treating the polymer under mesophilic conditions, Xanthomonadaceae bacterium and Mesorhizobium sp. were detected [100], while Ureibacillus sp. was identified under thermophilic conditions [101]. Methanosaeta, Methanoculleus, and Methanobacterium were the methanogenic archaea mainly found during the anaerobic degradation of PLA [100,103].
PCL was found to be degraded by strains of the Clostridium genus [97] and A thereius [100], although there were also other reported cases in which PCL displayed a remarkable resistance to microbial attack under anaerobic conditions compared to compost or soil environments [68,97].
The understanding and control of the microbial consortia operating during the anaerobic degradation process may be used to maximize substrate conversion and the related biogas production. Molecular biology techniques could be used as a tool to this aim. In the past years, many attempts have been made to improve bioplastic production processes through the use of modified enzymes by protein engineering [104], while investigation on applications to enhance bioplastic degradation is still in its infancy. However, enzymatic degradation of bioplastics could represent a viable option if correctly assessed and standardized [105]. Bioaugmentation may also be a useful tool; however, so far, it has been explored mainly for composting conditions. For instance, Mistry and colleagues tested high molecular weight PLA films with an ad hoc degrading bacterial consortium with Nocardioides zeae EA12, Stenotrophomonas pavanii EA33, Gordonia desulfuricans EA63, and Chitinophaga jiangningensis EA02 and observed a 50% increase in mineralization compared to the test with indigenous microorganisms [106]. Expanding the research in the way of engineered enzymes or introducing the assessment of bioaugmentation strategies could improve the current understanding of the anaerobic degradation of bioplastics.
3.4. Biodegradation Monitoring Techniques
Since the degradation of biopolymers and biopolymer-based materials is a complex process, it can be monitored and assessed using different approaches and viewpoints. The assessment of biogas and methane production can be complemented with further analyses, which can provide additional information on the physical, mechanical, chemical, and microstructural characteristics of the material at different stages of degradation. The data retrieved using different approaches can then be used to derive correlations and draw more detailed conclusions on the biodegradation process.
The additional methodologies that can be used belong to five main categories, including disintegration measures, morphologic/visual inspection, microbiological characterization, thermal behavior, and spectroscopic analyses.
Disintegration can be assessed through mass loss measurements at different times to monitor the evolution of polymer disruption.
Visual inspection can be carried out at a macroscopic level by observing the plastic fragments at the end of the experiment, provided that they are still visible at the naked eye. More advanced particle observation techniques, such as optical microscopy or scanning electron microscopy (SEM), can be used to monitor the physical changes at the microscopic level.
The analysis of the microbial community involved during the degradation process can provide further information on the adaptability of microorganisms to the polymeric substrate and the compatibility of the material with the environmental conditions it was subjected to.
The analysis of the thermal behavior of the material can give an insight into the changes occurring in its physical and chemical properties. To this aim, the most used techniques are thermogravimetric analysis (TGA) and differential scanning calorimetry (DSC) that can identify key temperatures in polymer phase transitions.
Spectroscopic analysis can also be carried out using Fourier-transform infrared (FT-IR) or X-ray diffraction (XRD) techniques, which can assist the identification of major chemical bonds in the matrix and their rearrangement as a result of biodegradation.
4. Methods
As described and motivated in the previous sections, this paper summarizes the main scientific literature on anaerobic biodegradation of bioplastics through a general bibliographic analysis and a more detailed discussion of specific results from relevant experimental studies. The analysis of literature data on bioplastics biodegradation was deliberately restricted to anaerobic environments, since numerous very recent studies have been published on this topic.
A systematic bibliographic analysis on the subject was conducted in the Web of Science (WoS) Core Collection database, currently managed by Clarivate Analytics. This was chosen among the most commonly used and trusted databases (Dimensions, Google Scholar, Lens, PubMed, Scopus, Web of Science) for academic research in scientific and technical disciplines. The database was accessed in December 2022 and the research was refined for inclusion of the latest scientific references on 22 January 2023. The string used for data search and extraction was (biodegradation OR biodegradability OR degradability) AND (bioplastics OR bioplastic OR biopolymers OR (biodegradable AND plastics) OR PLA) AND (anaerobic OR digestion OR co-digestion OR digester OR digesters OR biogas OR biomethanization). The initial search output was then screened based on the title and abstract contents to remove non-pertinent references that may have biased the subsequent data analysis.
A first analysis of the scientific literature on the topic of concern was conducted with the main purpose of deriving some general features of the research profile, trends, and evolution in the field of anaerobic biodegradability of bioplastics. The main features addressed in the bibliographic analysis are the following:
- Volume of the scientific production in the field and its time evolution, to highlight emerging research trends on the topic;
- Geographic distribution of the scientific studies, to identify the geographic areas most concerned on bioplastics degradability-related issues;
- Research areas, to visualize the main scientific fields of investigation;
- Frequency of keywords occurrence, to pick out research hot topics;
- Co-occurrence network of keywords, to find central keywords and clusters of research themes.
The analysis of such aspects was conducted using the bibliometric mapping software tools VOSViewer version 1.6.18 [107] and Bibliometrix version 4.1 [108], as well as by custom processing of the extracted data in spreadsheet format.
A second stage of the analysis of literature data involved extracting detailed results about bioplastic degradability under anaerobic conditions. This was performed by screening suitable candidate papers for analytical and performance data on biodegradation performance for different types of bioplastic products and different anaerobic biodegradation conditions, with a particular emphasis on the most recent data (publication years: 2022 and early 2023). The information retrieved from the selected literature references was built on the data collected by three previous excellent reviews on the subject [93,109,110], expanding the dataset by including 2022 and early 2023 results along with additional data and results from further papers that had not been included in these review studies.
In some cases, data retrieval from the different reviewed publications required extracting the numerical values from the original graphical format. This was conducted using WebPlotDigitizer, a semi-automatic tool for data extraction from images of graphical data visualization [111]. In other cases, conversion of the units of measure was required to present the results as uniformly as possible. When this was not allowed due to the lack of information in the related publication, the data were kept in their original format and reported as such in the discussion.
5. Summary and Discussion of Literature Data on Anaerobic Degradation of Bioplastics
5.1. General Bibliographic Analysis
The initial literature search in the WoS database yielded a total of 275 scientific references, which were reduced to 206 after a duplication check and pertinence/relevance screening. The excluded literature references were mostly related to the production and effects of extracellular polymeric substances during sludge treatment as well as to studies in which the anaerobic degradation of bioplastics was merely mentioned without being dealt with in detail. The publication period for the selected references covered the time span from 1992 to early 2023 (as shown in Figure 2a), the past five years have experienced a substantial increase in the scientific interest towards the anaerobic biodegradability of bioplastics, and, in particular, the topic received considerable attention in 2021 and 2022, which also justifies the need for an updated review of the latest research findings related to the subject. The 206 articles in the dataset were published in 93 sources, including journals, conference proceedings, and books. The main contributing countries (see Figure 2b) include the USA (33 papers), Italy (28), Japan (17), China (16), and Germany (12), while additional geographic areas contributing to the scientific research on bioplastic biodegradation under anaerobic conditions covered mainly Europe, Korea, North America, and India. The main research fields covered by the literature we searched are related to the areas of environmental science and engineering, (micro)biology, biochemistry, and biotechnology, as well as polymer and materials science Figure 2c), which are also mirrored by the most productive journals in the field (Figure 2d).
Figure 2.
(a) Time evolution of published papers by article type; (b) main contributing countries (color shades correspond to the number of papers); (c) main WoS categories covered; (d) top productive journals (Note: only categories with ≥5 papers are included in the plots).
The results of the analysis of keywords co-occurrence are depicted in Figure 3, where the maps report a network in which the keywords are taken as the nodes (or entities), and the links between the nodes represent the co-occurrence of pairs of keywords in the selected studies. The thickness of the links (i.e., the strength of the connection) represents the number of publications in which two keywords occur together. The network was constructed out of an overall number of 848 items, retaining only those keywords (n = 79) displaying a minimum number of 5 occurrences. The result of this reduction operation points out the existence of multiple issues involved in the study of bioplastic biodegradation, but also the need for standardization and homogenization of the scientific terms in the field.
Figure 3.
(a) Network of keyword co-occurrence and (b) overlay visualization of keyword co-occurrence over time built in VOSviewer.
The most frequent keywords were then clustered into five thematic groups (highlighted in different colours in Figure 3) based on co-occurrence so as to identify the main research areas with the investigated topic. The identified thematic clusters were explained by analyzing the subject coverage through the type and number of specific keywords used in each group. In detail, the main features of the thematic clusters resulting from the analysis can be summarized as follows:
- Cluster 1 included the main features of anaerobic digestion of bioplastics as well as co-digestion with other organic residues in the framework of waste management, with a focus on biogas production, digestion conditions, and pre-treatment;
- Cluster 2 included topics related to a comparative assessment of bioplastic degradation during composting and anaerobic digestion, modelling of the process mechanisms and kinetics as well as assessment of residual microplastics;
- Cluster 3 grouped the studies on specific bioplastic types (PCL, PLA, starch blends, composite materials);
- Cluster 4 addressed the microbial issues involved in bioplastics degradation and biopolymers generated by the fermentation of organic residues (PHA, PHB);
- Cluster 5 grouped the topics related to the evaluation of bioplastics degradability and the corresponding testing methods.
It is interesting to note from Figure 3b that the focus of the research studies on the topic has moved over the years from a more general assessment of the behaviour of specific bioplastic types and the definition of potential degradation mechanisms to the evaluation of their environmental behaviour, with particular reference to the handling and treatment of residual bioplastics in the framework of organic waste and food waste management. This is clearly due to the increasing concerns related to the effects of a massive use of bioplastic products in everyday life on the amount of waste generated and to the identification of the most suitable waste management strategies (including separate collection, treatment, and final disposal) for such materials.
5.2. Discussion of Literature Data
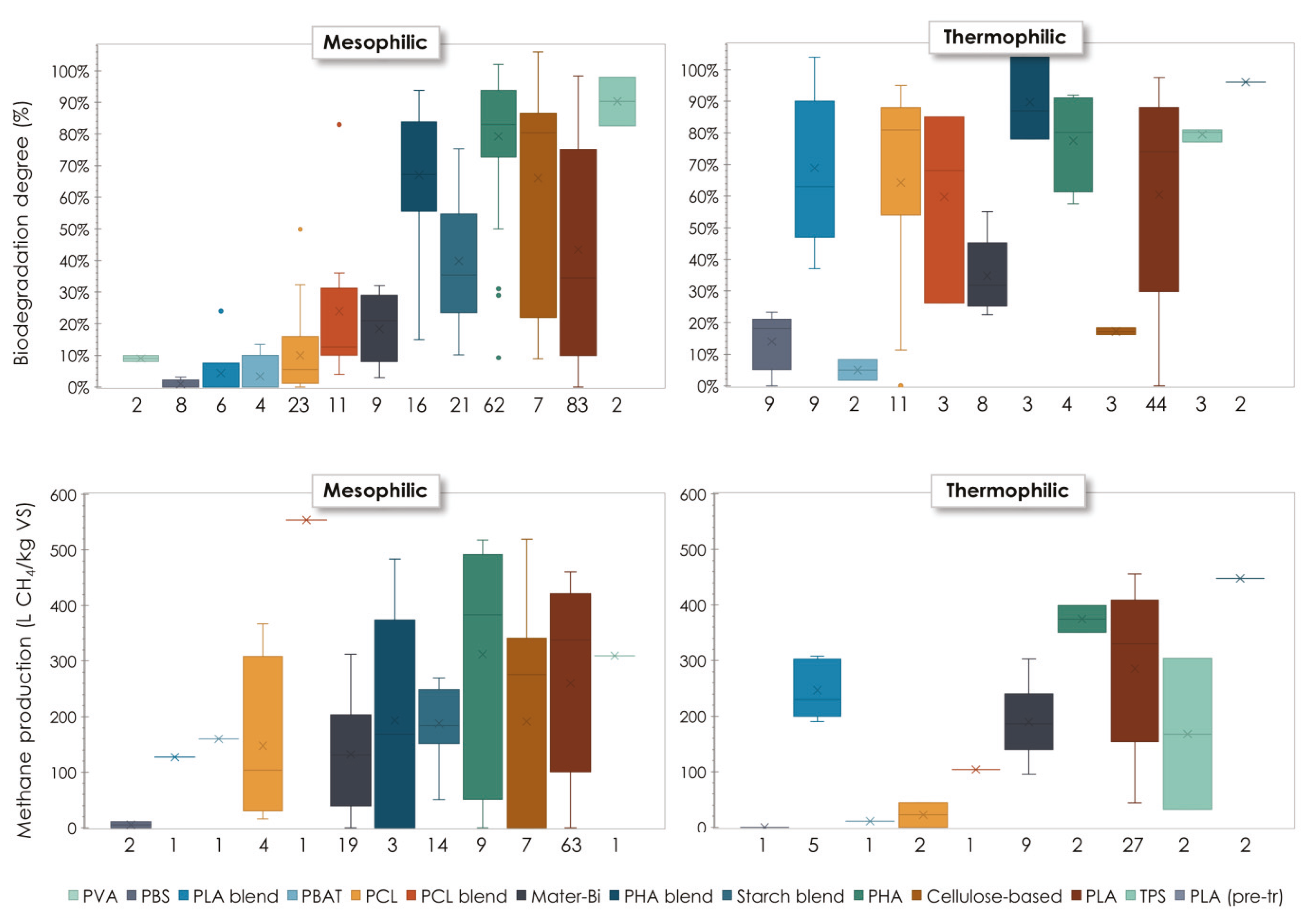
The second stage of the analysis, based on a detailed examination of bibliographic data on the anaerobic degradability of different bioplastic products, yielded a total of 179 studies investigating biodegradation, the majority of which (120 publications) were related to mesophilic conditions, while the remaining 59 were focused on thermophilic conditions. As evident from Figure 4, the different bioplastic types have received a different level of attention by the scientific community. In particular, the biopolymers that have been most widely investigated include different types of PHAs (mainly under mesophilic conditions), PLA and PLA blends/co-polymers, and starch-based polymers (mainly Mater-Bi), followed by PCL and PCL blends/co-polymers. From inspection of Figure 5, it is also noted that the scientific interest has increased over the last decade for almost all types of biopolymers, and particularly for PLA and starch-based products, which are nowadays more widespread in commercial items.
Figure 4.
Number of studies on the different biopolymers for mesophilic (left) and thermophilic (right) conditions.
Figure 5.
Number of studies on the different biopolymers over the last two decades.
The identified studies were reviewed to extract specific information on the testing conditions investigated (digestion temperature, amount of material tested, food-to-microorganisms ratio, biodegradation time, testing procedure), the analytical techniques used for the investigation of the biodegradation process, the observed biogas/methane production yield, and the estimated degree of biodegradation, as well as the bioplastic pre-treatment (when performed). As mentioned in the Methods section, an effort was made to report the results—whenever feasible—in a uniform way to facilitate the comparative evaluation of the information from different literature studies and allow the identification of behavioural trends or clusters among the bioplastics of concern.
The results of the detailed literature analysis are reported in Appendix A in Table A1 (mesophilic conditions) and Table A2 (thermophilic conditions). The polymers of concern were cellulose-based bioplastics, Mater-Bi and other starch-based products, TPS, various types of PHAs (PHB, PHBV, PHBO and their blends), PLA and PLA blends, PBS and PBS blends, PCL and PCL blends, and PBAT. These were investigated as either pure polymers or as commercial products (the latter presumably containing often unspecified proprietary additives and co-polymers) in different physical forms including powder, granulate, film, and whole items (plates, cups, cutlery, or coffee capsules with different mechanical characteristics).
The ranges for the digestion temperature were 30–38 °C for the mesophilic conditions and 52–58 °C for the thermophilic conditions, while the digestion time varied rather broadly across the different studies, spanning the ranges 8–520 d and 15–146 d, respectively. Bioplastic pre-treatment was also tested in a number of studies and was mainly based on thermal/hydrothermal processing, steam exposition, and alkaline or acidic hydrolysis.
The biodegradation profile of the investigated bioplastic materials was typically evaluated through Equation (3) (most commonly) or Equation (2), and in some cases was also complemented with additional data regarding the degree of material disintegration or mass loss. Further advanced characterization techniques to monitor bioplastic degradation were used in 62% of the selected literature references. Out of these, 70% used 1 or 2 additional methods, while the remaining 30% combined 3–4 different analytical techniques. In particular, among the additional characterization methods, mass loss was the most used (23% of cases), followed by morphological and visual analysis using SEM and other microscopic techniques (18%), thermal analysis (17%), and spectroscopic analysis (FT-IR, 18%). Visual macroscopic inspection of bioplastic fragments at different stages of degradation was also carried out in 12% of the studies, as was the characterization of the microbial communities involved.
The inspection of Table A1 and Table A2 reveal the existence of some considerable inhomogeneities throughout the specific conditions tested in the different studies in terms of digestion conditions adopted, degradation time, and approach used to monitor the degree of bioplastic conversion into biogas as well as biodegradation. As a consequence, the comparison of results from different literature sources can only be made with care, avoiding extending the conclusions beyond the validity limits of the data. Figure 6 reports the results for the estimated biodegradation degree and the observed methane production (the latter chosen based on the size of the available dataset) under mesophilic and thermophilic conditions for the different bioplastics. It should be emphasized that not all the examined studies reported both biogas/methane production and the biodegradation degree, which explains some apparent inconsistencies between the two plots that may be noted at a first glance. The box plots evidence, for all polymers, the large variability of the parameters adopted to describe biodegradability, which can be ascribed to differences in both the characteristics of the starting material (particle size, thickness, crystallinity, presence of additives, blending with co-polymers, etc.) and the specific testing conditions adopted. Notwithstanding the wide ranges of the yields of substrate conversion into methane/biogas, some general features can be identified for the investigated polymers. First, considering the mesophilic range, the materials can be grouped as follows:
Figure 6.
Average values (×) and range of variation (quartiles and min-max range) for the biodegradation degree and methane production yield under mesophilic (left) and thermophilic (right) conditions. Dots represent the outliers. The values below each box indicate the number of data points available.
- Materials displaying a generally low specific methane/biogas production and a related low degree of substrate conversion under all conditions reported in the searched literature. These include PBAT, PBS, PCL, PVA, Mater-Bi, and PLA blends, which—at least for the investigated conditions—are regarded to be poorly affected by biochemical anaerobic degradation reactions at mesophilic temperatures;
- Materials displaying typically high values of the specific methane/biogas production and the biodegradation degree. The range of polymer types belonging to this group is much narrower and includes several variants of PHAs (PHB, PHBV, PHBO, and their blends), confirming their widely demonstrated high degradability and TPS;
- Materials showing a notably variable response to anaerobic degradation, which is largely affected by the biopolymer properties and the digestion conditions as explained above. This group is made of cellulose and starch-based bioplastics as well as PLA. For these materials, the literature data are notably scattered and do not allow us to derive any conclusive general remark about their biodegradability profile.
When shifting to the thermophilic range, some polymers (PCL and PLA blends) were found to display clearly improved biodegradability, while others, such as PLA, still showed large changes in their degradation behaviour, albeit with a somewhat lower scattering of the experimental results compared to mesophilic temperatures. Most of the changes observed for such materials are related to the fact that shifting from the mesophilic to the thermophilic regime implies approaching or reaching the glass transition temperature of the polymer, at which it reduces its crystallinity and increases its hydrophilic properties, becoming, in turn, more prone to chemical hydrolysis and enzymatic degradation [75]. On the other hand, other materials such as cellulose-based bioplastics, Mater-Bi, PBAT, and PBS were found to be hardly biodegradable even at elevated temperatures.
With a view to the potential implementation of anaerobic digestion for energy recovery from bioplastic materials, the collected data show that the best methane production yields under mesophilic conditions were of the following orders of magnitude (average values for the available data sets): 260 L CH4/kgVS for PLA, 310 L CH4/kgVS for TPS, 355 L CH4/kgVS for cellulose-based bioplastics and 381 L CH4/kgVS for various types of PHAs. For the thermophilic regime, the highest conversion yields into methane were 168 L CH4/kgVS for TPS, 285 L CH4/kgVS for PLA (which raised to 448 when PLA was pre-treated to promote the hydrolysis phase) and 375 L CH4/kgVS for different PHA species. These results show that energy exploitation from bioplastic materials is technically feasible for selected types of polymers. The large ranges of variation of the biogas production yields reported in Figure 6 also show that there is some considerable room for improvement of the degree of substrate conversion into biogas by adequate adjustment of the polymer composition and digestion conditions. On the other hand, for the bioplastic materials for which low biogas production yields are reported, anaerobic digestion does not currently represent a viable treatment option, unless their biodegradability profile is remarkably improved through either proper design of the blend composition or the application of suitable pre-treatment processes.
Further indications about the biodegradability of the materials can be derived from Figure 7, which shows the correlation between the biodegradation degree and the digestion time. Leaving aside the previous considerations regarding the inhomogeneity of the degradation conditions, if the acceptability criteria for anaerobic degradability of biopolymers set by the EN 13,432 (a minimum of 50% biodegradation within 60 days (red squares in Figure 7 [112])) are taken as a reference, under mesophilic conditions, most of the PHA and TPS samples, as well as some starch-based and PLA materials, would meet such criteria; on the other hand, the same types of biopolymers, along with PCL, would fulfil the same conditions in the thermophilic regime.
Figure 7.
Trends of the biodegradation degree over digestion time under (a) mesophilic and (b) thermophilic conditions.
6. Conclusions
In the present paper, an updated review of the relevant findings on the biodegradability profile for typical biopolymers and related commercial bioplastics under anaerobic conditions was conducted. Particular attention was paid to expanding the current knowledge on the topic by including the results of the most recent (years 2022 and early 2023) scientific publications.
The main findings of the literature review conducted in the present work can be summarized as follows:
- The research on the topic is relatively new and has progressed considerably over the last two decades, moving from a general assessment of different biopolymers and their degradation to the evaluation of the environmental behavior of bioplastics and of the most suitable management strategies once they are discarded as wastes. It was also evident that interest in the topic has grown remarkably over the last two years, likely as a result of, among other factors, those related to the implementation of environmental policies on single-use plastic products in different countries all over the world. This testifies that the assessment of the environmental behavior of bioplastics is currently a hot topic that will deserve further attention in the years to come;
- The data extracted during the detailed analysis of the available literature (regarding the polymer characteristics, the testing conditions, the analytical techniques used to assess biodegradation, the observed biogas/methane production yield, and the estimated degree of biodegradation) indicated that the investigated bioplastics can be grouped into three main categories with regard to their response to anaerobic degradation (at least within the investigated conditions available):
- -
- PHAs and TPS in most cases display high levels of biodegradation regardless of the test conditions;
- -
- PBAT, PBS, PVA, and Mater-Bi show a low degree of conversion regardless of the temperature regime (mesophilic or thermophilic) of the degradation process;
- -
- PLA, PCL, and various PLA blends have a notably large variability in their biodegradation behavior, although this is observed to improve or to be less scattered when shifting to thermophilic conditions.
- At the current state of the art of biological treatment of bioplastics, the application of anaerobic digestion for the purpose of energy recovery would be feasible and economically viable for some selected types of bioplastics only. In particular, various types of PHAs, PLA, TPS, and cellulose-based polymers were found to display relatively high methane production yields, with average values between ~260 and ~380 L CH4/kgVS under mesophilic conditions and between ~170 and ~450 L CH4/kgVS under thermophilic conditions.
Additional considerations can be drawn from the analyzed data, which may be useful in outlining further critical and open issues which need to be addressed. The main questions that have arisen from the present review include the following:
- The experimental investigations were mainly carried out on pure biopolymers or ad hoc synthesized blends, while studies of commercial products are currently much more limited. Understanding the behavior of commercial bioplastic products also requires detailed knowledge of the composition of the specific blend of concern and its influence on the biodegradation features. Since the proprietary formulation of commercial blends may vary—even remarkably, depending on the intended uses of the bioplastic material—it is extremely important to relate the nature of the polymeric matrix to its biodegradation characteristics;
- While anaerobic degradation was mainly monitored through measurements of the evolved methane/biogas, additional advanced analytical techniques would be useful to describe the complex mechanisms involved in the degradation pathways;
- Harmonizing the approaches to the evaluation of bioplastic degradation and the way of expressing data is recommended to facilitate the comparison of experimental results and allow a thorough understanding of the process;
- Most of the studies have been carried out under mesophilic conditions and in a batch mode at the laboratory scale; therefore, exploring the real behavior of bioplastics at a larger scale is a matter deserving more extensive exploration. Further attention should also be paid to the effect of the degradation conditions on the kinetics and yields of the transformations involved, which may also assist in the identification of potentially useful pre-treatments that may be applied to enhance biodegradability;
- With regard to the management of bioplastic waste, in a short-to-medium-term scenario in which the collection and treatment of such residues is envisaged to be performed together with biowaste, it would be of paramount importance to assess the quality of the final digestate and its potential ecotoxicity. This would be required to identify potential environmental issues related to the presence of residual bioplastics (including microparticles).
Author Contributions
Conceptualization: M.F., A.P. and A.R.; Methodology: M.F., A.P., R.P. and A.R.; Formal analysis: M.F., A.P. and A.R.; Investigation: M.F.; Data curation: M.F., A.P. and A.R.; Writing—original draft preparation: M.F.; Writing—review and editing: M.F., A.P., R.P., A.R. and T.Z.; Supervision: A.P. and R.P.; Project administration: A.P.; Funding acquisition: A.P. All authors have read and agreed to the published version of the manuscript.
Funding
This research was funded by (1) the Italian Ministry for Public Education and Merit within the framework of the Enlarged Partnerships supported under the National Recovery and Resilience Plan (NRRP), Mission 4 Component 2 Investment 1.3 funded from the European Union—NextGenerationEU (project RETURN—“Multi-risk science for resilient communities under a changing climate”, project no. PE00000005, CUP B53C22004020002); and (2) the University of Rome “La Sapienza” in the framework of the medium-size research projects 2022 (project no. RM1221816BCD6614).
Institutional Review Board Statement
Not applicable.
Informed Consent Statement
Not applicable.
Data Availability Statement
The data presented in this study are available within the article.
Conflicts of Interest
The authors declare no conflict of interest.
Appendix A
Table A1.
Summary of literature results related to anaerobic degradation of different bioplastic products under mesophilic conditions (expanded from [93,109]).
Table A1.
Summary of literature results related to anaerobic degradation of different bioplastic products under mesophilic conditions (expanded from [93,109]).
| Class | Bioplastic Type | Size and Shape | T | Test Conditions | Time | Biogas/Methane Production | Degree of Biodegr. | Pre-Treatment | Biodegr. Eval. | Mass Loss | Analytical Techniques | Visual Insp. | Microb. Charact. | Ref. | |||||
|---|---|---|---|---|---|---|---|---|---|---|---|---|---|---|---|---|---|---|---|
| (°C) | (d) | (1) | (2) | (3) | (4) | (5) | (6) | (%) | (%) | ||||||||||
| Cellulose-based | Bioceta (Cellulose acetate) | 5 × 5 mm, 90 μm of thickness film | 35 | Plastic: 600 mg L−1. Inoculum: domestic sewage sludge | 60 | - | 22 * | CH4 & biogas | [113] | ||||||||||
| Cellulose-based | Sugar cane cellulosic fiber plates | 2 mm | 37 | ISR = 2 (VS basis) | 250 | 391.1 | CH4 | [114] | |||||||||||
| Cellulose-based | Sugar cane cellulosic fiber plates | 2 mm | 37 | ISR = 2 (VS basis) | 250 | 342.6 | 48 h, acidic pretreatment (HCl) to pH = 2 | CH4 | |||||||||||
| Cellulose-based | Sugar cane cellulosic fiber plates | 2 mm | 37 | ISR = 2 (VS basis) | 250 | 339.9 | 48 h, alkaline pretreatment (NaOH) to pH = 12 | CH4 | |||||||||||
| Cellulose-based | Cellulose-based metallised film | 1 × 1 cm film | 37 | Plastic to inoculum ratio: 0.25 (VS basis). Inoculum: digestate from a mesophilic digester treating municipal wastewater biosolids | 65 | - | 74.3 | 88.9 | [115] | ||||||||||
| Cellulose-based | Cellulose-based heat-sealable film | 1 × 1 cm film | 37 | Plastic to inoculum ratio: 0.25 (VS basis). Inoculum: digestate from a mesophilic digester treating municipal wastewater biosolids | 65 | - | 86.6 | 98.3 | |||||||||||
| Cellulose-based | Cellulose-based high barrier heat-sealable film | 1 × 1 cm film | 37 | Plastic to inoculum ratio: 0.25 (VS basis). Inoculum: digestate from a mesophilic digester treating municipal wastewater biosolids | 65 | - | 84 | 98.0 | |||||||||||
| Cellulose-based | Cellulose-based non heat-sealable film | 1 × 1 cm film | 37 | Plastic to inoculum ratio: 0.25 (VS basis). Inoculum: digestate from a mesophilic digester treating municipal wastewater biosolids | 65 | - | 80.4 | 96.4 | |||||||||||
| Cellulose-based | Cellulose diacetate film | 1 × 1 cm film | 37 | Plastic to inoculum ratio: 0.25 (VS basis). Inoculum: digestate from a mesophilic digester treating municipal wastewater biosolids | 65 | - | 8.9 | 10.3 | |||||||||||
| Cellulose-based | Cellulosic plates | Plate | 35 | Plastic to inoculum ratio: 0.25 (VS basis). Inoculum: digestate from a mesophilic digester treating municipal wastewater biosolids | 44 | 311 | CH4 | 100 | x | [116] | |||||||||
| Cellulose-based | Cellulosic plates | Plate | 35 | Plastic to inoculum ratio: 0.25 (VS basis). Inoculum: digestate from a mesophilic digester treating municipal wastewater biosolids | 30 | 304 | CH4 | 100 | x | ||||||||||
| Cellulose-based | Cellulosic plates | Plate | 35 | Plastic to inoculum ratio: 0.25 (VS basis). Inoculum: digestate from a mesophilic digester treating municipal wastewater biosolids | 15 | 276 | CH4 | 99.9 | x | ||||||||||
| Cellulose-based | Cellulose acetate | 25 × 25 mm | 37 | 400 g (ww) inoculum + 4.74 g (ww) CA; I/S = 2 (VS basis) | 30 | 519.3 | 106 | CH4 | x | [117] | |||||||||
| Mater-Bi | Mater-Bi (PCL + starch, Novamont) | Pieces of plastic bag < 1 mm | 35 | Plastic: 1 g. Inoculum: 5 mL of pig slurry mixed with synthetic medium for methanogens and acclimated to mesophilic anaerobic condition | 90 | 33 | 6 | x | [12] | ||||||||||
| Mater-Bi | Mater-Bi (Starch + PE, AF08H, Novamont) | 2 × 15 cm strips | 35 | Inoculum: Mixture of sewage sludge treating domestic sewage and paper sludge (3:1 ratio) | 40 | - | 32 | 53 | FT-IR; NMR; UV/VIS | x | [118] | ||||||||
| Mater-Bi | Mater-Bi (Starch + PE, AF10H, Novamont) | 2 × 15 cm strips | 35 | Inoculum: Mixture of sewage sludge treating domestic sewage and paper sludge (3:1 ratio) | 40 | - | 30 | 53 | FT-IR; NMR; UV/VIS | x | |||||||||
| Mater-Bi | Mater-Bi (60% starch, 40% hydrophilic resin) | Whole bag | 35 | Plastic to inoculum ratio: 0.5 (VS basis). Inoculum: liquid digestate from an anaerobic digester fed with manure, agro-wastes and residues | 15 | 144 | CH4 | 27.5 | x | [116] | |||||||||
| Mater-Bi | Mater-Bi (60% starch, 40% hydropilic resin) | Whole bag | 35 | Inoculum: liquid digestate from a full-scale mesophilic digester fed with manure and agro-wastes | 15 | 203 | Alkaline pretreatment (NaOH, 5% TS), 24 h | CH4 | 78.2 | x | |||||||||
| Mater-Bi | Mater-Bi (60% starch, 40% hydropilic resin) | Shredded bag (1 × 1 cm) | 35 | Inoculum: liquid digestate from a full-scale mesophilic digester fed with manure and agro-wastes | 15 | 117 | Mechanical shredding | CH4 | 29.3 | x | |||||||||
| Mater-Bi | Mater-Bi (60% starch, 40% hydropilic resin) | Pre-digested bag (1 × 1 cm) | 35 | Inoculum: liquid digestate from a full-scale mesophilic digester fed with manure and agro-wastes | 15 | 33 | Pre-digestion treatment (mesophilic) | CH4 | 4.8 | x | |||||||||
| Mater-Bi | Mater-Bi (60% starch, 40% hydropilic resin) | Pre-digested bag (1 × 1 cm) | 35 | Inoculum: liquid digestate from a full-scale mesophilic digester fed with manure and agro-wastes | 15 | 27 | Alkaline pre-treatment (NaOH, 5% TS, 24 h) on pre-digested (mesophilic) samples | CH4 | −0.3 | x | |||||||||
| Mater-Bi | Mater-Bi (60% starch, 40% hydropilic resin) | Whole bag | 35 | Inoculum: liquid digestate from a full-scale mesophilic digester fed with manure and agro-wastes, pre-acclimated | 15 | 42 | CH4 | x | |||||||||||
| Mater-Bi | Mater-Bi (60% starch, 40% hydropilic resin) | Pre-digested bag (1 × 1 cm) | 35 | Inoculum: liquid digestate from a full-scale mesophilic digester fed with manure and agro-wastes, pre-acclimated | 15 | 66 | Pre-digestion treatment (mesophilic) | CH4 | x | ||||||||||
| Mater-Bi | Mater-Bi (60% starch, 40% hydropilic resin) | Pre-digested bag (1 × 1 cm) | 35 | Inoculum: liquid digestate from a full-scale mesophilic digester fed with manure and agro-wastes, pre-acclimated | 15 | 70 | Alkaline pre-treatment (NaOH, 5% TS, 24 h) on pre-digested (mesophilic) samples | CH4 | x | ||||||||||
| Mater-Bi | Mater-Bi (PCL+Starch+Glycerin, ZI01U, Novamont) | Film | 35 | Inoculum: anaerobic sludge from an anaerobic digester. Method: ASTM D 5511-94 | 81 | 203.6 | 21 | X | TGA, SEM | [119] | |||||||||
| Mater-Bi | Mater-Bi (PCL+Starch+Glycerin, ZI01U, Novamont) | Pellets | 35 | Inoculum: anaerobic sludge from an anaerobic digester. Method: ASTM D 5511-94 | 81 | 96.4 | 10 | X | SEM | ||||||||||
| Mater-Bi | Mater-Bi (Starch + PCL, Novamont) | 2 × 2 cm film 20 μm of thickness | 35 | 28 | 485.2 | 23 | X | 44.8 | FTIR, SEC, NMR, DSC | X | [70] | ||||||||
| Mater-Bi | Mater-Bi ZF03U (PCL + starch, Novamont) | 5 × 5 mm 35 μm of thickness | 35 | Plastic: 600 and 400 mg L−1. Inoculum: domestic sewage sludge | 60 | 28 | CH4 & biogas | [113] | |||||||||||
| Mater-Bi | Mater-Bi (Novamont) | 0.5–1 mm film | 35 | Plastic to inoculum ratio: 0.6–1 (TS basis). Inoculum: anaerobic sludge from an anaerobic digestion plant treating effluents from a brewery Method: ASTM D5526-94d. | 32 | 220 | [120] | ||||||||||||
| Mater-Bi | Mater-Bi bags | 10 × 10 mm film | 37 | Inoculum: anaerobic sludge from an anaerobic digestion plant treating municipal wastewater | 180 | 30.4 | 2.9 | X | FTIR, DSC, microscopy | x | [121] | ||||||||
| Mater-Bi | Mater-Bi coffee capsules | <1 mm | 38 | Inoculum: sludge from a wastewater treatment plant, acclimated in the lab at 38 °C. Digestion conditions: ISR = 2.7 (VS basis), VS content = 9 g/L | 100 | 67 | 12 | X | x | [95] | |||||||||
| PBAT | PBAT | 2 × 2 cm film 20 μm of thickness | 35 | 28 | 0 | X | 44.8 | FTIR, SEC, NMR, DSC | x | [70] | |||||||||
| PBAT | PBAT 93,000 g/mol (Ecoflex, BASF) | 5 × 5 mm film 70 μm of thickness | 37 | Inoculum: mesophilic anaerobic sludge (37 °C) from a municipal waste water-treatment plant | 126 | 2.2 * | X | 2.8 | DSC, XRD, GPC | [122] | |||||||||
| PBAT | PBAT | 1 mm sheet | 38 | I/S = 2.85 (VS basis); working V = 300 mL | 500 | 159.7 | 13.4 | CH4 | x | [95] | |||||||||
| PBAT | 0.1–0.25 mm | 36 | Anaerobic aqueous conditions ISO 14853; working V = 1 L; 1 gTS/L inoculum + 150 mg/L test material | 77 | 0 | Biogas | [123] | ||||||||||||
| PBS | PBES (MW 100,000, Sky Green) | 20 × 40 mm film | 35 | Inoculum: anaerobic digested sludge from a WWTP. Method: ASTM D5210 | 100 | 0 | X | 35 | [124] | ||||||||||
| PBS | PBS (Sigma-Aldrich) | 125–250 μm | 37 | Plastic: 10 g. Inoculum: mesophilic digestate from a mesophilic anaerobic digester treating cow manure and green waste | 277 | 0 * | X | x | [100] | ||||||||||
| PBS | PBS (Elson Green) | 20 × 40 mm film | 35 | Inoculum: anaerobic digested sludge from a WWTP. Method: ASTM D5210 | 100 | 0 | X | 28 | [124] | ||||||||||
| PBS | PBS | 35 | Method: ASTM E1196-92 | 100 | 11 | 2 | CH4 & biogas | [125] | |||||||||||
| PBS | PBS (PBE 003, NaturePlast,) | <2 × 2 cm | 35 | Inoculum: sludge from a WWTP. Method: ISO 14853 | 56 | 0 | biogas | SEM | [126] | ||||||||||
| PBS | PBS (Enpol G4560, IRE Chemical Ltd.) | 5 × 5 mm thin film (100 μm thickness) | 37 | Plastic: 100 mg. Inoculum: mesophilic anaerobic sludge from a wastewater treatment plant. Method: ISO 11734 | 113 | 2.2 | biogas | DSC, XRD, SEM | [127] | ||||||||||
| PBS | PBS | 1 mm sheet | 38 | I/S = 2.85 (VS basis); working volume = 300 mL | 500 | 0 | 0 | CH4 | x | [95] | |||||||||
| PBS | 0.1–0.25 mm | 36 | Anaerobic aqueous conditions ISO 14853; working V = 1 L; 1 gTS/L inoculum + 150 mg/L test material | 77 | 3.1 | Biogas | [123] | ||||||||||||
| PCL | PCL (Sigma-Aldrich) | 125–250 μm | 37 | 277 | 3 | X | [100] | ||||||||||||
| PCL | PCL (Sigma-Aldrich) | 125–250 μm | 37 | 277 | 22 | X | |||||||||||||
| PCL | PCL (MW 50,000 g.mol−1, Polyscience Inc.) | 27 mm of diameter 100 μm of thickness film | 39 | Plastic: 0.2 g. Inoculum: sludge from a laboratory anaerobic reactor treating wastewater from a sugar factory. Method: ASTM D 5210-93 | 42 | 7.5 * | X | 30 | [97] | ||||||||||
| PCL | PCL (MW 50,000 g.mol−1, Polyscience Inc.) | 19 mm of diameter film | 37 | Plastic: 35–40 mg. Inoculum: sludge from an anaerobic laboratory reactor fed with wastewater from sugar industry. Method: ASTM D 5210-91 | 42 | 16 | Biogas | 30 | x | [128] | |||||||||
| PCL | 1,4-butanediol/adipic acid (MW 40,000, GBF) | 19 mm of diameter film | 37 | Plastic: 35–40 mg. Inoculum: sludge from an anaerobic laboratory reactor fed with wastewater from sugar industry. Method: ASTM D 5210-91 | 42 | 1.1 | Biogas | 1.2 | x | ||||||||||
| PCL | 1,4-butanediol (50 mol%) adipic acid (30 mol%)/Terephthalic acid (20 mol%) (MW 47,600, Hüls AG) | 19 mm of diameter film | 37 | Plastic: 35–40 mg. Inoculum: sludge from an anaerobic laboratory reactor fed with wastewater from sugar industry. Method: ASTM D 5210-91 | 42 | 5.5 | Biogas | 0.5 | x | ||||||||||
| PCL | PCL (MW 50,000 g.mol−1, Polyscience Inc.) | 19 mm of diameter film | 37 | Plastic: 35–40 mg. Inoculum: sludge from an anaerobic digester of a municipal WWTP. Method: ASTM D 5210-91 | 42 | 17 | Biogas | 30 | x | ||||||||||
| PCL | 1,4-butanediol/adipic acid (MW 40,000, GBF) | 19 mm of diameter film | 37 | Plastic: 35–40 mg. Inoculum: sludge from an anaerobic digester of a municipal WWTP. Method: ASTM D 5210-91 | 42 | 11 | Biogas | 2.1 | x | ||||||||||
| PCL | 1,4-butanediol (50 mol%) adipic acid (30 mol%)/Terephthalic acid (20 mol%) | 19 mm of diameter film | 37 | Plastic: 35–40 mg. Inoculum: sludge from an anaerobic digester of a municipal WWTP. Method: ASTM D 5210-91 | 42 | 11 | Biogas | 1% | x | ||||||||||
| PCL | PCL | 35 | Plastic: 10 mg.L−1. Inoculum: digestate from an anaerobic digester treating WWTP sludge | 122 | 0.2 | CH4 and biogas | [129] | ||||||||||||
| PCL | PCL | 1 cm2 film pieces | 37 | Plastic to inoculum ratio: 0.5 (VS basis). Inoculum: digestate from a mesophilic anaerobic digester fed with food waste and manure | 30 | 15.8 | 6.5 | CH4 | [130] | ||||||||||
| PCL | PCL 40% TPS 60% | 1 cm2 film pieces | 37 | Plastic to inoculum ratio: 0.5 (VS basis). Inoculum: digestate from a mesophilic anaerobic digester fed with food waste and manure | 30 | 133.3 | 32.3 | CH4 | |||||||||||
| PCL | PCL 60% TPS 40% | 1 cm2 film pieces | 37 | Plastic to inoculum ratio: 0.5 (VS basis). Inoculum: digestate from a mesophilic anaerobic digester fed with food waste and manure | 30 | 74.2 | 18.5 | CH4 | |||||||||||
| PCL | PCL (Tone, Union Carbide) | 2 × 15 cm strips | 35 | Inoculum: Mixture of sewage sludge treating domestic sewage and paper sludge (3:1 ratio) | 40 | 5 | 6% | FTIR, NMR, UV/VIS, SEM | [118] | ||||||||||
| PCL | Ecostarplus (starch + PE) | 2 × 15 cm strips | 35 | Inoculum: Mixture of sewage sludge treating domestic sewage and paper sludge (3:1 ratio) | 40 | 12 | 5% | FTIR; NMR; UV/VIS; SEM | |||||||||||
| PCL | PCL (Tone, Union Carbide) | Powder | 35 | Inoculum: 2 mL of digestate from an anaerobic digester treating sewage sludge. Method: ISO 14853 | 28 | 0 | X | 0% | FTIR, SEC, NMR, DSC, SEM | [70] | |||||||||
| PCL | PCL (CAPA 6500, Perstorp) | <2 × 2 cm | 35 | Inoculum: sludge from a WWTP. Method: ISO 14853 | 56 | 3 | Biogas | DSC, SEM | [126] | ||||||||||
| PCL | PCL (P787, Union Carbide) | 5 × 5 mm 55 μm of thickness and 250 μm powder | 35 | Plastic: 600 and 400 mg/L. Inoculum: domestic sewage sludge | 60 | 0 | CH4 & biogas | [113] | |||||||||||
| PCL | PCL | 1 mm sheet | 38 | I/S = 2.85 (VS basis); working volume = 300 mL | 500 | 366.9 | 49.9 | CH4 | x | [95] | |||||||||
| PCL | 0.1–0.25 mm | 36 | Anaerobic aqueous conditions ISO 14853; working V = 1 L; 1 g TS/L inoculum + 150 mg/L test material | 77 | 4.5 | Biogas | [123] | ||||||||||||
| PCL | film | 0.25 × 0.25 cm | 35 | ASTM D 5210-91; 150 mL working V + 100 mg polymer; flushed with N2 | 77 | 0 | Biogas | [131] | |||||||||||
| PCL | film | 0.25 × 0.25 cm | 35 | ISO 11734; 150 mL working V + 100 mg polymer; flushed with N2 | 77 | 1 | Biogas | ||||||||||||
| PCL | powder | 35 | 58.3 | 2 | Biogas | 6.5 | TGA, DSC, SEM | [132] | |||||||||||
| PCL * | PCL-Starch blend (55% PCL, 30% Starch, 15% aliphatic polyester) | 35 | Plastic to inoculum ratio: 2 g VS/L, Inoculum: 20 mL digestate from a anaerobic digester treating sewage sludge. | 139 | 554 | 83 | CH4 & biogas | [125] | |||||||||||
| PCL+PHO | PCL/PHO (85/15) | <2 × 2 cm | 35 | Inoculum: sludge from a WWTP. Method: ISO 14853 | 56 | 4 | Biogas | DSC, SEM | [126] | ||||||||||
| PCL+TPS | PCL/TPS (70/30) | <2 × 2 cm | 35 | Inoculum: sludge from a WWTP. Method: ISO 14853 | 56 | 36 | Biogas | DSC, SEM | |||||||||||
| PCL61/S-A26/G13 | PCL+starch+glycerol | 50 × 9(4) × 1 mm | 35 | 58.3 | 30.3 | Biogas | 30.6 | TGA, DSC, SEM, mech. properties | x | [132] | |||||||||
| PCL61/S-GI26/G13 | PCL+starch+glycerol | 50 × 9(4) × 1 mm | 35 | 58.3 | 29.8 | Biogas | 30.4 | TGA, DSC, SEM | |||||||||||
| PCL61/S-M26/G13 | PCL+starch+glycerol | 50 × 9(4) × 1 mm | 35 | 58.3 | 12.6 | Biogas | 13.8 | TGA, DSC, SEM | |||||||||||
| PCL61/S-W26/G13 | PCL+starch+glycerol | 50 × 9(4) × 1 mm | 35 | 58.3 | 31.2 | Biogas | 30.7 | TGA, DSC, SEM | |||||||||||
| PCL70/S-A30 | PCL+starch | 50 × 9(4) × 1 mm | 35 | 58.3 | 10.1 | Biogas | 11.9 | TGA, DSC, SEM | |||||||||||
| PCL70/S-GI30 | PCL+starch | 50 × 9(4) × 1 mm | 35 | 58.3 | 10.4 | Biogas | 13.9 | TGA, DSC, SEM | |||||||||||
| PCL70/S-M30 | PCL+starch | 50 × 9(4) × 1 mm | 35 | 58.3 | 5.6 | Biogas | 6.5 | TGA, DSC, SEM | |||||||||||
| PCL70/S-W30 | PCL+starch | 50 × 9(4) × 1 mm | 35 | 58.3 | 10.7 | Biogas | 9.8 | TGA, DSC, SEM | |||||||||||
| PHA | PHA (PHA-4100, Metabolix) | 1–2 mm wide pellets | 37 | Plastic to inoculum ratio: 4 g/L. Inoculum: sludge from a semi continuous anaerobic digester fed with food waste, olive, and cheese waste. Method: ASTM 5511-02 | 11 | 102 | Biogas | [133] | |||||||||||
| PHA | PHA (PHA-4100, Metabolix) | 1–2 mm wide pellets | 37 | Plastic to inoculum ratio: 8 g/L. Inoculum: sludge from a semi continuous anaerobic digester fed with food waste, olive, and cheese waste. Method: ASTM 5511-02 | 11 | 95 | Biogas | ||||||||||||
| PHA | PHA | PHA accumulated in activated sludge | 37 | Plastic: addition of 1 mL of PHA-accumulating sludge (30 g TS/L). Inoculum: 5 mL of sewage sludge from a WWTP | 15 | 250 | 53 | Biogas | [134] | ||||||||||
| PHB | PHB (ENMAT Y3000, TianAn) | <0.15 mm | 35 | Plastic: 125 mg. Inoculum: 50 mL of lab inoculum fed with nutritive media and powdered milk | 40 | 199 | 50 | CH4 | [11] | ||||||||||
| PHB | PHB (ENMAT) | <0.15 mm | 35 | Plastic: 125 mg. Inoculum: 50 mL of lab inoculum fed with nutritive media and powdered milk | 40 | 398 | 100 | 35 °C, addition of NaOH until pH 12 for 24 h | CH4 | ||||||||||
| PHB | PHB (MIREL F1006, Metabolix) | <0.15 mm | 35 | Plastic: 125 mg. Inoculum: 50 mL of lab inoculum fed with nutritive media and powdered milk | 40 | 233 | 59 | CH4 | |||||||||||
| PHB | PHB (Mirel F1006) | <0.15 mm | 35 | Plastic: 125 mg. Inoculum: 50 mL of lab inoculum fed with nutritive media and powdered milk | 40 | 359 | 90.9 | 35 °C, pH 7 for 48 h | CH4 | ||||||||||
| PHB | PHB (Mango materials) | <0.15 mm | 35 | Plastic: 125 mg. Inoculum: 50 mL of lab inoculum fed with nutritive media and powdered milk | 40 | 316 | 80 | CH4 | |||||||||||
| PHB | PHB (Mango materials) | <0.15 mm | 35 | Plastic: 125 mg. Inoculum: 50 mL of lab inoculum fed with nutritive media and powdered milk | 40 | 322 | 81.5 | 55 °C, addition of NaOH until pH = 10, 24 h | CH4 | ||||||||||
| PHB | PHB (Mirel M2100, Metabolix) | <0.15 mm | 35 | Plastic: 125 mg. Inoculum: 50 mL of lab inoculum fed with nutritive media and powdered milk | 40 | 316 | 80 | CH4 | |||||||||||
| PHB | PHB (Mirel M2100, Metabolix) | <0.15 mm | 35 | Plastic: 125 mg. Inoculum: 50 mL of lab inoculum fed with nutritive media and powdered milk | 40 | 357 | 90.4 | 55 °C, addition of NaOH until pH = 12, 24 h | CH4 | ||||||||||
| PHB | PHB (Sigma-Aldrich) | 125–250 μm | 37 | 9 | 90 | X | [100] | ||||||||||||
| PHB | PHB (MW 540,000 g.mol−1, Biopol BX G08) | 25 mm of diameter 100 μm of thickness film | 37 | Plastic: 0.2 g. Inoculum: sludge from a laboratory anaerobic reactor treating wastewater from a sugar factory. Method: ASTM D 5210-91 | 9 | 100 | Biogas | 100 | [97] | ||||||||||
| PHB | PHB (MW 540,000 g.mol−1, Biopol BX G08) | 19 mm of diameter film | 37 | Plastic: 35–40 mg. Inoculum: sludge from an anaerobic laboratory reactor fed with wastewater from sugar industry. Method: ASTM D 5210-91 | 8 | 101 | Biogas | [128] | |||||||||||
| PHB | PHB (MW 540,000 g.mol−1, Biopol BX G08) | 19 mm of diameter film | 37 | Plastic: 35–40 mg. Inoculum: sludge from an anaerobic laboratory reactor fed with wastewater from sugar industry. Method: ASTM D 5210-92 | 42 | 101 | Biogas | 100 | |||||||||||
| PHB | PHB (MW 540,000 g.mol−1, Biopol BX G08) | 19 mm of diameter film | 37 | Plastic: 35–40 mg. Inoculum: sludge from an anaerobic digester of a municipal WWTP. Method: ASTM D 5210-91 | 8 | 100 | Biogas | ||||||||||||
| PHB | PHB (MW 540,000 g.mol−1, Biopol BX G08) | 19 mm of diameter film | 37 | Plastic: 35–40 mg. Inoculum: sludge from an anaerobic digester of a municipal WWTP. Method: ASTM D 5210-91 | 42 | 101 | Biogas | 100 | |||||||||||
| PHB | PHB | Granular form | 35 | Plastic to inoculum ratio: 10 g VS g−1 VS. Inoculum: digestate from a WWTP anaerobic digester. | 23 | 100 | [135] | ||||||||||||
| PHB | PHB | Powder | 35 | Plastic: 5 mg. Inoculum: anaerobically digested domestic sewage sludge | 16 | 87 | Biogas | [136] | |||||||||||
| PHB | PHB (ENMAT Y1000, TianAn) | <2 × 2 cm | 35 | Inoculum: sludge from a WWTP. Method: ISO 14853 | 56 | - | 102 | Biogas | DSC, SEM | [126] | |||||||||
| PHB | PHB (MW 539,000, Biopol BX G08) | 200 μm powder | 35 | Plastic: 400 mg L−1. Inoculum: domestic sewage sludge | 30 | - | 80 | CH4 & biogas | [113] | ||||||||||
| PHB | PHB Biomer | 1 mm sheet | 38 | I/S = 2.85 (VS basis); working volume = 300 mL | 50 | 383.4 | 64.3 | CH4 | x | [95] | |||||||||
| PHB | PHB (K. D.) | 1 mm sheet | 38 | I/S = 2.85 (VS basis); working volume = 300 mL | 25 | 491.5 | 80.1 | CH4 | x | ||||||||||
| PHB | PHB (K.D.) | particles 1.01 mm (mean size) | 38 | I/S = 10 (VS basis) | 23 | 518 | 94 | CH4 | [99] | ||||||||||
| PHB | PHB (K.D.) | particles 1.01 mm (mean size) | 38 | I/S = 4 (VS basis) | 23 | 483 | 88 | CH4 | |||||||||||
| PHB | PHB (K.D.) | particles 1.01 mm (mean size) | 38 | I/S = 2.85 (VS basis) | 18 | 518 | 94 | CH4 | |||||||||||
| PHB | PHB (K.D.) | particles 1.01 mm (mean size) | 38 | I/S = 2 (VS basis) | 38 | 468 | 85 | CH4 | |||||||||||
| PHB | PHB (K.D.) | particles 1.01 mm (mean size) | 38 | I/S = 1 (VS basis) | 15 | 51 | 9 | CH4 | |||||||||||
| PHB | 0.1–0.25 mm | 36 | Anaerobic aqueous conditions ISO 14853; working V = 1 L; 1 g TS/L inoculum + 150 mg/L test material | 77 | 83.9 | Biogas | [123] | ||||||||||||
| PHB | 0.1–0.25 mm | 36 | Anaerobic standard test conditions—ISO 14852; polymer = 1 g VS/L | 77 | 495.8 | 85 | Biogas | ||||||||||||
| PHB | 0.1–0.25 mm | 36 | Anaerobic standard test conditions—ISO 14852; polymer = 1 g VS/L | 100 | 815.7 | 78.4 | Biogas | ||||||||||||
| PHB | 0.25–0.5 mm | 36 | Anaerobic standard test conditions—ISO 14852; polymer = 1 g VS/L | 100 | 759.3 | 72.9 | Biogas | ||||||||||||
| PHB | 0.5–1 mm | 36 | Anaerobic standard test conditions—ISO 14852; polymer = 1 g VS/L | 100 | 648.9 | 62.3 | Biogas | ||||||||||||
| PHB | Plates | 1.1 × 4.5 × 1.2 mm | 35 | Working V = 150 mL; polymer = 8 mg C/L | 85 | 1364 | 73.0 | Biogas | 100 | TGA, DSC, SEM | [137] | ||||||||
| PHB | Plates | 1.1 × 4.5 × 1.2 mm | 35 | Working V = 150 mL; polymer = 4.225 mg C/L | 65 | 1253 | 67.0 | Biogas | TGA, DSC, SEM | ||||||||||
| PHB | Plates | 1.1 × 4.5 × 1.2 mm | 35 | Working V = 150 mL; polymer = 4.665 mg C/L | 80 | 1546 | 82.8 | Biogas | 79.1 | TGA, DSC, SEM | |||||||||
| PHB powder | 35 | Working V = 150 mL; polymer = 1 mg C/L | 1185 | 63.4 | Biogas | TGA, DSC, SEM | |||||||||||||
| PHB powder | 35 | Working V = 150 mL; polymer = 1 mg C/L | 1274 | 68.0 | Biogas | TGA, DSC, SEM | |||||||||||||
| PHB/PHV | Film 0.06 mm | 0.2–0.63 mm | 35 | ASTM D 5210-91; 150 mL working V + 100 mg polymer; flushed with N2 | 41 | 70 | Biogas | [131] | |||||||||||
| PHB/PHV | Film 0.06 mm | 0.2–0.63 mm | 35 | ASTM D 5210-91; 150 mL working V + 100 mg polymer; flushed with 70% N2/30% CO2 | 33 | 64 | Biogas | ||||||||||||
| PHB/PHV | Film 0.06 mm | 0.2–0.63 mm | 35 | ISO 11734; 150 mL working V + 100 mg polymer; flushed with N2 | 41 | 62 | Biogas | ||||||||||||
| PHB/PHV | Film 0.06 mm | 0.2–0.63 mm | 35 | ISO 11734; 150 mL working V + 100 mg polymer; flushed with 70% N2/30% CO2 | 33 | 64 | Biogas | ||||||||||||
| PHB/TBC (85/15) | Plates; TBC = tributyl citrate | 1.1 × 4.5 × 1.2 mm | 35 | Working V = 150 mL; polymer = 4.004 mg C/L | 190 | 93.8 | Biogas | FTIR, DSC, SEM | [137] | ||||||||||
| PHB+PBS | PHB/PBS (50/50) | <2 × 2 cm | 35 | Inoculum: sludge from a WWTP. Method: ISO 14853 | 56 | - | 15 | Biogas | DSC, SEM | [126] | |||||||||
| PHB+PCL | PHB/PCL (60/40) | <2 × 2 cm | 35 | Inoculum: sludge from a WWTP. Method: ISO 14853 | 56 | - | 38 | Biogas | DSC, SEM | ||||||||||
| PHB+PHH | Poly(3-hydroxybutyrate-co-3-hydroxyhexanoate) 93% HB, 7% HHx | 5 × 5 × 1 mm Film | 38 | Plastic to inoculum ratio: 0.7–0.8 (VS basis). Inoculum: Digestate from a mesophilic anaerobic digester fed with sludge and fats | 80 | 483.8 | 77 | GPC | x | [138] | |||||||||
| PHB+PHH | Poly(3-hydroxybutyrate-co-3-hydroxyhexanoate) 93.5% HB 6.5% HHx | 5 × 5 × 1 mm Flake | 38 | Plastic to inoculum ratio: 0.7–0.8 (VS basis). Inoculum: Digestate from a mesophilic anaerobic digester fed with sludge and fats | 40 | 337.5 | 54 | x | |||||||||||
| PHB+PHH | Poly(3-hydroxybutyrate-co-3-hydroxyhexanoate) 93.5% HB 6.5% HHx | 5 × 5 × 1 mm Flake | 38 | Plastic to inoculum ratio: 0.7–0.8 (VS basis). Inoculum: Digestate from a mesophilic anaerobic digester fed with sludge and fats | 80 | 337.5 | 54 | 51.9 | |||||||||||
| PHB+PHO | PHB/PHO (85/15) | <2 × 2 cm | 35 | Inoculum: sludge from a WWTP. Method: ISO 14853 | 56 | - | 92 | Biogas | DSC, SEM | [126] | |||||||||
| PHBO | PHBO (90% PHB, 10% HO) | 35 | Plastic: 100 mg/L. Inoculum: digestate from an anaerobic digester treating WWTP sludge. | 60 | - | 88 | CH4 & biogas | [129] | |||||||||||
| PHBV | PHBV (0.5% HV, ENMAT Y1000P) | 31.25 mm × 6.2 mm × 2.1 mm rectangular prism | 37 | Plastic to inoculum ratio: 0.5 (VS basis). Inoculum: digestate from a mesophilic digester. | 42 | 630 | 83 | CH4 | SEM, 3D imaging with µCT | [139] | |||||||||
| PHBV | PHBV (ENMAT Y1000P China) | Rectangular prism 31.25 mm × 6.2 mm × 2.1 mm | 37 | Neat PHBV | 80 | 94 | CH4 | 100 | SEM, 3D imaging with µCT | ||||||||||
| PHBV | Maleated PHBV | Rectangular prism 31.25 mm × 6.2 mm × 2.1 mm | 37 | Maleated PHBV | 80 | 95 | CH4 | 100 | SEM, 3D imaging with µCT | ||||||||||
| PHBV | PHBV (0.5% HV ENMAT Y1000P) | 420–840 μm | 37 | Plastic to inoculum ratio: 0.5 (VS basis). Inoculum: digestate from a mesophilic digester treating municipal wastewater | 20 | 580 | 86 | CH4 | [140] | ||||||||||
| PHBV | PHBV (0.5% HV ENMAT Y1000P) | 3900 μm (pellets) | 37 | Plastic to inoculum ratio: 0.5 (VS basis). Inoculum: digestate from a mesophilic digester treating municipal wastewater | 36 | 580 | 86 | Size reduction | CH4 | ||||||||||
| PHBV | PHBV (0.5% HV ENMAT Y1000P) | 420–840 μm | 37 | Plastic to inoculum ratio: 0.5 (VS basis). Inoculum: digestate from a mesophilic digester treating municipal wastewater | 20 | 580 | 86 | Size reduction | CH4 | ||||||||||
| PHBV | PHBV (0.5% HV ENMAT Y1000P) | 250–420 μm | 37 | Plastic to inoculum ratio: 0.5 (VS basis). Inoculum: digestate from a mesophilic digester treating municipal wastewater | 22 | 580 | 86 | Size reduction | CH4 | ||||||||||
| PHBV | PHBV (0.5% HV ENMAT Y1000P) | 150–250 μm | 37 | Plastic to inoculum ratio: 0.5 (VS basis). Inoculum: digestate from a mesophilic digester treating municipal wastewater | 19 | 580 | 86 | Size reduction | CH4 | ||||||||||
| PHBV | PHBV (0.5% HV ENMAT Y1000P) | 10 μm | 37 | Plastic to inoculum ratio: 0.5 (VS basis). Inoculum: digestate from a mesophilic digester treating municipal wastewater | 23 | 580 | 86 | Size reduction | CH4 | ||||||||||
| PHBV | PHBV (0.5% HV ENMAT Y1000P) | Rectangular prism 31.25 mm × 6.2 mm × 2.1 mm | 37 | 42 | 630 | 83 | CH4 | 38 | DSC | [66] | |||||||||
| PHBV | PHBV (MW 397,000 g.mol−1, Biopol BX P027) | 26 mm of diameter 100 μm of thickness film | 38 | Plastic: 0.2 g. Inoculum: sludge from a laboratory anaerobic reactor treating wastewater from a sugar factory. Method: ASTM D 5210-92 | 42 | 29 | Biogas | 60 | [97] | ||||||||||
| PHBV | PHBV (MW 397,000 g.mol−1, Biopol BX P027) | 19 mm of diameter film | 37 | Plastic: 35–40 mg. Inoculum: sludge from an anaerobic laboratory reactor fed with wastewater from sugar industry. Method: ASTM D 5210-91 | 42 | 29 | Biogas | 57 | [128] | ||||||||||
| PHBV | PHBV (MW 397,000 g.mol−1, Biopol BX P027) | 19 mm of diameter film | 37 | Plastic: 35–40 mg. Inoculum: sludge from an anaerobic digester of a municipal WWTP. Method: ASTM D 5210-91 | 42 | 31 | Biogas | 63 | |||||||||||
| PHBV | PHBV (PHB/HV; 92/8, w/w) | 5 × 60 mm film | 35 | Inoculum: anaerobic digested sludge from a WWTP. Method: ASTM D5210 | 20 | 85 | Biogas | [124] | |||||||||||
| PHBV | Cellophane | 20 × 40 mm film | 35 | Inoculum: anaerobic digested sludge from a WWTP. Method: ASTM D5210 | 20 | 80 | Biogas | ||||||||||||
| PHBV | PHBV (ICI) | 2 × 15 cm strips | 35 | Inoculum: Mixture of sewage sludge treating domestic sewage and paper sludge (3:1 ratio) | 40 | 55 | 29 | FT-IR; NMR; UV/VIS | x | [118] | |||||||||
| PHBV | PHBV (13% HV) | Powder | 35 | Plastic: 5 mg. Inoculum: anaerobically digested domestic sewage sludge | 16 | 96 | Biogas | [136] | |||||||||||
| PHBV | PHBV (20% HV) | Powder | 35 | Plastic: 5 mg. Inoculum: anaerobically digested domestic sewage sludge | 16 | 83 | Biogas | ||||||||||||
| PHBV | PHBV (8.4% HV, ICI) | 46.4 μm | 35 | Plastic: 1% w/w, Inoculum: 10% w/w anaerobic sludge from a WWTP of a sugar factory | 30 | 95 | Biogas | [141] | |||||||||||
| PHBV | PHBV | Pellets | 35 | Inoculum: 1:1 mixture of mesophilic and thermophilic digestate from lab-scale AD reactors. ISR = 1 (VS basis). Solids content in the reactor: 7.22% TS | 104 | 271 | SEM | [142] | |||||||||||
| PHBV | 0.1–0.25 mm | 36 | Anaerobic aqueous conditions ISO 14853; working V = 1 L; 1 g TS/L inoculum + 150 mg/L test material | 77 | 81.2 | Biogas | [123] | ||||||||||||
| PHBV | 0.1–0.25 mm | 36 | Anaerobic standard test conditions—ISO 14852; polymer = 1 g VS/L | 77 | 480.1 | 76.4 | Biogas | ||||||||||||
| PHBV | 0.1–0.25 mm | 36 | Anaerobic standard test conditions—ISO 14852; polymer = 1 g VS/L | 100 | 792.3 | 73.2 | Biogas | ||||||||||||
| PHBV | 0.25–0.5 mm | 36 | Anaerobic standard test conditions—ISO 14852; polymer = 1 g VS/L | 100 | 777.8 | 71.8 | Biogas | ||||||||||||
| PHBV | 0.5–1 mm | 36 | Anaerobic standard test conditions —ISO 14852; polymer = 1 g VS/L | 100 | 748.8 | 69.1 | Biogas | ||||||||||||
| PHBV+wood flour | 80% PHBV 20% oak wood flour | Rectangular prism 31.25 mm × 6.2 mm × 2.1 mm | 37 | Addition of 20% oak wood flour | 50–63 | 84 | CH4 | 100 | SEM, 3D imaging with µCT | [139] | |||||||||
| PHBV+wood flour | 80% maleated PHBV 20% oak wood flour | Rectangular prism 31.25 mm × 6.2 mm × 2.1 mm | 37 | Maleated PHBV + addition of oak wood flour | 50–63 | 88 | CH4 | 100 | SEM, 3D imaging with µCT | ||||||||||
| PHBV+wood flour | 80% PHBV 20% silane treated oak wood flour | Rectangular prism 31.25 mm × 6.2 mm × 2.1 mm | 37 | Addition of silane treated oak wood flour | 50–63 | 83 | CH4 | 100 | SEM, 3D imaging with µCT | ||||||||||
| PHBV+wood flour | 80% PHBV and 20% oak wood flour | Rectangular prism 31.25 mm × 6.2 mm × 2.1 mm | 37 | Addition of 20% oak wood flour | 28 | 510 | 73 | CH4 | DSC | [66] | |||||||||
| PHBV+wood flour | 60% PHBV and 40% oak wood flour | Rectangular prism 31.25 mm × 6.2 mm × 2.1 mm | 37 | Addition of 40% oak wood flour | 28 | 430 | 60 | CH4 | DSC | ||||||||||
| PHO | PHO (Bioplastech R, Bioplastech) | <2 × 2 cm | 35 | Inoculum: sludge from a WWTP. Method: ISO 14853 | 56 | 12 | Biogas | DSC, SEM | [126] | ||||||||||
| PLA | PLA (Ingeo) | Pieces of plastic cup < 1 mm | 35 | Plastic: 1 g. Inoculum: 5 mL of pig slurry mixed with synthetic medium for methanogens and acclimated to mesophilic anaerobic condition | 90 | 0 | 0 | --- | 0 | [12] | |||||||||
| PLA | PLA (Fabri-Kal) | Plastic cup ground to 3 mm | 37 | Plastic: 1 g. Inoculum: 10 mL of anaerobic inoculum | 60 | 2 | 0.4 | [143] | |||||||||||
| PLA | PLA (Fabri-Kal) | Plastic cup ground to 3 mm | 37 | Plastic: 1 g. Inoculum: 10 mL of anaerobic inoculum | 56 | 90 | 19.30 | Steam exposition, 3 h 120 °C | |||||||||||
| PLA | PLA (Ingeo 2003D, NatureWorks) | 0.15 mm | 35 | Plastic: 125 mg. Inoculum: 50 mL of lab inoculum fed with nutritive media and powdered milk | 40 | 1 | 0 | CH4 | [11] | ||||||||||
| PLA | PLA (Ingeo 2003D NatureWorks) | 0.15 mm | 35 | Plastic: 125 mg. Inoculum: 50 mL of lab inoculum fed with nutritive media and powdered milk | 40 | 86 | 23.9 | 90 °C, addition of NaOH until pH = 10, 48 h | CH4 | ||||||||||
| PLA | PLA (Unitika) | 125–250 μm | 37 | 277 | 29 | X | [100] | ||||||||||||
| PLA | PLA (Unitika) | 125–250 μm | 37 | 277 | 49 | X | |||||||||||||
| PLA | PLA (NatureWorks) | 1–2 mm wide pellets | 37 | Plastic to inoculum ratio: 4 g/L. Inoculum: sludge from a semi continuous anaerobic digester fed with food waste, olive, and cheese waste. Method: ASTM 5511-02 | 20 | 5 | [133] | ||||||||||||
| PLA | PLA (lab) | 20 × 40 mm film | 35 | Inoculum: anaerobic digested sludge from a WWTP. Method: ASTM D5210 | 100 | 0 | [124] | ||||||||||||
| PLA | PLA (Argonne A) | 6 × 5 cm film | 35 | Inoculum: Mixture of sewage sludge treating domestic sewage and paper sludge (3:1 ratio) | 40 | 10 | 9 | FT-IR; NMR; UV/VIS | X | [118] | |||||||||
| PLA | PLA (Argonne B) | 6 × 5 cm film | 35 | Inoculum: Mixture of sewage sludge treating domestic sewage and paper sludge (3:1 ratio) | 40 | 15 | 3 | FT-IR; NMR; UV/VIS | X | ||||||||||
| PLA | PLA | Granules | 37 | Plastic: 30 mg. Inoculum: anaerobic sludge from a WWTP. Method: ASTM D 5210 | 100 | 60 | Biogas | [144] | |||||||||||
| PLA | PLA (NatureWorks, Cargill) | 2 × 2 cm film 20 μm of thickness | 35 | 28 | 0 | X | 0 | FTIR, SEC, NMR, DSC | X | [70] | |||||||||
| PLA | PLA (Biopolymer-4043D, NatureWorks) | <2 × 2 cm | 35 | Inoculum: sludge from a WWTP. Method: ISO 14853 | 56 | 0 | Biogas | DSC, SEM | [126] | ||||||||||
| PLA | PLA film | 1 × 1 cm film | 37 | Plastic to inoculum ratio: 0.25 (VS basis). Inoculum: digestate from a mesophilic digester treating municipal wastewater sludge | 65 | 18.8 | 20.2 | [115] | |||||||||||
| PLA | PLA blend | Pellets | 37 | Plastic to inoculum ratio: 0.25 (VS basis). Inoculum: digestate from a mesophilic digester treating municipal wastewater sludge | 65 | 2.6 | 3.0 | ||||||||||||
| PLA | PLA (plastic cup) | 2 × 2 × 0.5 mm | 37 | Plastic to inoculum ratio: 2–4 kg VS/m3. Inoculum: mesophilic digestate from a mesophilic wastewater treatment plant digester. Method: EN ISO 11734:2003 | 280 | 564 | 66 | Biogas | FTIR, opt. microscopy | [145] | |||||||||
| PLA | Mixture of PLA goods (dishes, glasses and cutlery) | 5 × 5 cm | 37 | Mesophilic digestate from a full-scale dry anaerobic digester treating OFMSW | 60 | 34 | CH4 | [10] | |||||||||||
| PLA | Mixture of PLA goods (dishes, glasses and cutlery) | 5 × 5 cm | 37 | Mesophilic digestate from a full-scale dry anaerobic digester treating OFMSW | 90 | CH4 | 24 | FTIR | |||||||||||
| PLA | Commercial PLA blend (80% PLA, 20% additives) | <2 mm | 37 | Mesophilic digestate from a full-scale dry anaerobic digester treating OFMSW | 146 | 50.5 | 10.8 | CH4 | [146] | ||||||||||
| PLA | Commercial PLA blend (80% PLA, 20% additives) | <2 mm | 37 | Mesophilic digestate from a full-scale dry anaerobic digester treating OFMSW | 40 | 61.3 | 13.1 | Hydrothermal (1 g VS-PLA, T = 120 °C, 10 min, 10 mL water) | CH4 | ||||||||||
| PLA | Commercial PLA blend (80% PLA, 20% additives) | <2 mm | 37 | Mesophilic digestate from a full-scale dry anaerobic digester treating OFMSW | 40 | 111.5 | 23.8 | Hydrothermal (1 g VS-PLA, T = 120 °C, 30 min, 10 mL 1% NaOH) | CH4 | ||||||||||
| PLA | Commercial PLA blend (80% PLA, 20% additives) | <2 mm | 37 | Mesophilic digestate from a full-scale dry anaerobic digester treating OFMSW | 40 | 136.1 | 29.1 | Hydrothermal (1 g VS-PLA, T = 120 °C, 60 min, 10 mL 5% NaOH) | CH4 | ||||||||||
| PLA | Commercial PLA blend (80% PLA, 20% additives) | <2 mm | 37 | Mesophilic digestate from a full-scale dry anaerobic digester treating OFMSW | 40 | 249.9 | 53.4 | Hydrothermal (1 g VS-PLA, T = 120 °C, 120 min, 10 mL 10% NaOH) | CH4 | ||||||||||
| PLA | Commercial PLA blend (80% PLA, 20% additives) | <2 mm | 37 | Mesophilic digestate from a full-scale dry anaerobic digester treating OFMSW | 40 | 161.3 | 34.5 | Hydrothermal (1 g VS-PLA, T = 160 °C, 10 min, 10 mL 1% NaOH) | CH4 | ||||||||||
| PLA | Commercial PLA blend (80% PLA, 20% additives) | <2 mm | 37 | Mesophilic digestate from a full-scale dry anaerobic digester treating OFMSW | 40 | 262.8 | 56.2 | Hydrothermal (1 g VS-PLA, T = 160 °C, 30 min, 10 mL water) | CH4 | ||||||||||
| PLA | Commercial PLA blend (80% PLA, 20% additives) | <2 mm | 37 | Mesophilic digestate from a full-scale dry anaerobic digester treating OFMSW | 40 | 432.3 | 92.4 | Hydrothermal (1 g VS-PLA, T = 160 °C, 60 min, 10 mL 10% NaOH) | CH4 | ||||||||||
| PLA | Commercial PLA blend (80% PLA, 20% additives) | <2 mm | 37 | Mesophilic digestate from a full-scale dry anaerobic digester treating OFMSW | 40 | 430.8 | 92.1 | Hydrothermal (1 g VS-PLA, T = 160 °C, 120 min, 10 mL 5% NaOH) | CH4 | ||||||||||
| PLA | Commercial PLA blend (80% PLA, 20% additives) | <2 mm | 37 | Mesophilic digestate from a full-scale dry anaerobic digester treating OFMSW | 40 | 441.6 | 94.4 | Hydrothermal (1 g VS-PLA, T = 200 °C, 10 min, 10 mL 5% NaOH) | CH4 | ||||||||||
| PLA | Commercial PLA blend (80% PLA, 20% additives) | <2 mm | 37 | Mesophilic digestate from a full-scale dry anaerobic digester treating OFMSW | 40 | 456 | 97.5 | Hydrothermal (1 g VS-PLA, T = 200 °C, 30 min, 10 mL 10% NaOH) | CH4 | ||||||||||
| PLA | Commercial PLA blend (80% PLA, 20% additives) | <2 mm | 37 | Mesophilic digestate from a full-scale dry anaerobic digester treating OFMSW | 40 | 421.3 | 90.1 | Hydrothermal (1 g VS-PLA, T = 200 °C, 60 min, 10 mL water) | CH4 | ||||||||||
| PLA | Commercial PLA blend (80% PLA, 20% additives) | <2 mm | 37 | Mesophilic digestate from a full-scale dry anaerobic digester treating OFMSW | 40 | 442 | 94.5 | Hydrothermal (1 g VS-PLA, T = 200 °C, 120 min, 10 mL 1% NaOH) | CH4 | ||||||||||
| PLA | Commercial PLA blend (80% PLA, 20% additives) | <2 mm | 37 | Mesophilic digestate from a full-scale dry anaerobic digester treating OFMSW | 40 | 460.1 | 98.4 | Hydrothermal (1 g VS-PLA, T = 240 °C, 10 min, 10 mL 10% NaOH) | CH4 | ||||||||||
| PLA | Commercial PLA blend (80% PLA, 20% additives) | <2 mm | 37 | Mesophilic digestate from a full-scale dry anaerobic digester treating OFMSW | 40 | 449.8 | 96.2 | Hydrothermal (1 g VS-PLA, T = 240 °C, 30 min, 10 mL 5% NaOH) | CH4 | ||||||||||
| PLA | Commercial PLA blend (80% PLA, 20% additives) | <2 mm | 37 | Mesophilic digestate from a full-scale dry anaerobic digester treating OFMSW | 40 | 396.4 | 84.8 | Hydrothermal (1 g VS-PLA, T = 240 °C, 60 min, 10 mL 1% NaOH) | CH4 | ||||||||||
| PLA | Commercial PLA blend (80% PLA, 20% additives) | <2 mm | 37 | Mesophilic digestate from a full-scale dry anaerobic digester treating OFMSW | 40 | 351.5 | 75.2 | Hydrothermal (1 g VS-PLA, T = 240 °C, 120 min, 10 mL water) | CH4 | ||||||||||
| PLA | PLA bags | 10 × 10 mm film | 37 | Inoculum: anaerobic sludge from an anaerobic digester treating municipal wastewater | 180 | 25.2 | 2.3 * | Biogas | SEM | [121] | |||||||||
| PLA | PLA film | 1–2 mm, thickness 80 μm | Inoculum: mesophilic digestate from a UASB anaerobic digester treating drink production effluents | 60 | 5 | 34 | Biogas | SEM | [147] | ||||||||||
| PLA | PLA film | 1–2 mm, thickness 80 μm | Not spec. | Inoculum: mesophilic digestate from a UASB anaerobic digester treating drink production effluents | 60 | 148.3 | 230 | Alkaline (1 g PLA, 10 mL 0.5 M NaOH, 2.5 d, room T) | Biogas | SEM | |||||||||
| PLA | PLA film | 3–5 mm, thickness 80 μm | 30 | Inoculum: mesophilic digestate from a UASB anaerobic digester treating drink production effluents | 90 | 58.28 | 5.5 | Biogas | SEM | ||||||||||
| PLA | PLA film | 3–5 mm, thickness 80 μm | 30 | Inoculum: mesophilic digestate from a UASB anaerobic digester treating drink production effluents | 90 | 126.72 | 8.7 * | Thermal (45 °C, 12 h) | Biogas | SEM | |||||||||
| PLA | PLA film | 3–5 mm, thickness 80 μm | 30 | Inoculum: mesophilic digestate from a UASB anaerobic digester treating drink production effluents | 90 | 125.21 | 8.8 * | Thermal (60 °C, 12 h) | Biogas | SEM | |||||||||
| PLA | PLA film | 3–5 mm, thickness 80 μm | 30 | Inoculum: mesophilic digestate from a UASB anaerobic digester treating drink production effluents | 90 | 164.74 | 11.3 * | Thermal + alkaline (45 °C, 0.5 M NaOH, 10% w/v PLA, 12 h) | Biogas | SEM | |||||||||
| PLA | PLA film | 3–5 mm, thickness 80 μm | 30 | Inoculum: mesophilic digestate from a UASB anaerobic digester treating drink production effluents | 90 | 212.86 | 15.0 * | Thermal + alkaline (60 °C, 0.5 M NaOH, 10% w/v PLA, 12 h) | Biogas | SEM | |||||||||
| PLA | PLA film | 3–5 mm, thickness 80 μm | 30 | Inoculum: mesophilic digestate from a UASB anaerobic digester treating drink production effluents | 90 | 215.47 | 20.2 * | Thermal + alkaline (60 °C, 0.5 M NaOH, 10% w/v PLA, 24 h) | Biogas | SEM | |||||||||
| PLA | PLA film | 3–5 mm, thickness 80 μm | 30 | Inoculum: mesophilic digestate from a UASB anaerobic digester treating drink production effluents | 90 | 230.21 | 21.6 * | Thermal + alkaline (45 °C, 0.25 M NaOH, 10% w/v PLA, 32.2 h) | Biogas | SEM | |||||||||
| PLA | PLA film | 3–5 mm, thickness 80 μm | 30 | Inoculum: mesophilic digestate from a UASB anaerobic digester treating drink production effluents | 90 | 126.15 | 11.8 * | Thermal + alkaline (20 °C, 0.25 M NaOH, 10% w/v PLA, 12 h) | Biogas | SEM | |||||||||
| PLA | PLA film | 3–5 mm, thickness 80 μm | 30 | Inoculum: mesophilic digestate from a UASB anaerobic digester treating drink production effluents | 90 | 132.42 | 12.4 * | Thermal + alkaline (45 °C, 0.25 M NaOH, 10% w/v PLA, 12 h) | Biogas | SEM | |||||||||
| PLA | PLA film | 3–5 mm, thickness 80 μm | 30 | Inoculum: mesophilic digestate from a UASB anaerobic digester treating drink production effluents | 90 | 147.14 | 13.8 * | Thermal + alkaline (70 °C, 0.25 M NaOH, 10% w/v PLA, 12 h) | Biogas | SEM | |||||||||
| PLA | Commercial PLA items | 2 mm | 37 | ISR=2 (VS basis) | 250 | 130 | CH4 | [114] | |||||||||||
| PLA | Commercial PLA items | 2 mm | 37 | ISR=2 (VS basis) | 250 | 125 | 48 h, acidic pretreatment (HCl) to pH = 2 | CH4 | |||||||||||
| PLA | Commercial PLA items | 2 mm | 37 | ISR=2 (VS basis) | 250 | 101 | 48 h, alkaline pretreatment (NaOH) to pH = 12 | CH4 | |||||||||||
| PLA | Crystalline PLA | cups, 2 × 2 cm | 37 | Inoculum: anaerobic digestate from a digester treating wastewater | 70 | 687 | CH4 | 98.2 | [148] | ||||||||||
| PLA | Crystalline PLA | cups, 2 × 2 cm | 37 | Inoculum: anaerobic digestate from a digester treating wastewater | 70 | 928 | Alkaline pretreatment (NaOH), 21 °C, pH = 12.96, 15 d | CH4 | |||||||||||
| PLA | NaturePlast | 1 mm sheet | 38 | I/S = 2.85 (VS basis); working V = 300 mL | 500 | 438 | 80.3 | CH4 | x | [95] | |||||||||
| PLA | Total Corbion | 1 mm sheet | 38 | I/S = 2.85 (VS basis); working V = 300 mL | 500 | 344.4 | 74.7 | CH4 | x | ||||||||||
| PLA | Commercial spoons | 2–5 mm | 38 | 49 | 63.4 | CH4 | FTIR, DSC | [149] | |||||||||||
| PLA | NaturePlast | Granules | 38 | BMP tests with I/S = 2.85 (VS basis) | 520 | 429 | 82 | CH4 | SEM | [150] | |||||||||
| PLA | NaturePlast | 1–2 mm | 38 | BMP tests with I/S = 2.85 (VS basis) | 520 | 427 | 82 | CH4 | SEM | ||||||||||
| PLA | NaturePlast | 0.8–1 mm | 38 | BMP tests with I/S = 2.85 (VS basis) | 520 | 441 | 84 | CH4 | SEM | ||||||||||
| PLA | NaturePlast | 0.5–0.8 mm | 38 | BMP tests with I/S = 2.85 (VS basis) | 520 | 441 | 84 | CH4 | SEM | ||||||||||
| PLA | NaturePlast | 0.3–0.5 mm | 38 | BMP tests with I/S = 2.85 (VS basis) | 520 | 455 | 87 | CH4 | SEM | ||||||||||
| PLA | NaturePlast | 0.05–0.3 mm | 38 | BMP tests with I/S = 2.85 (VS basis) | 520 | 460 | 88 | CH4 | SEM | ||||||||||
| PLA | NaturePlast | Granules | 38 | BMP tests with I/S = 2.85 (VS basis) | 25 | 14 | 3 | CH4 | SEM | ||||||||||
| PLA | NaturePlast | Granules | 38 | BMP tests with I/S = 2.85 (VS basis) | 25 | 389 | 75 | 150 °C 6 h | CH4 | SEM | |||||||||
| PLA | NaturePlast | Granules | 38 | BMP tests with I/S = 2.85 (VS basis) | 25 | 382 | 73 | 150 °C + 5% Ca(OH)2 1 h | CH4 | SEM | |||||||||
| PLA | NaturePlast | Granules | 38 | BMP tests with I/S = 2.85 (VS basis) | 25 | 370 | 71 | 120 °C 24 h | CH4 | SEM | |||||||||
| PLA | NaturePlast | Granules | 38 | BMP tests with I/S = 2.85 (VS basis) | 25 | 391 | 75 | 120 °C + 5% Ca(OH)2 6 h | CH4 | SEM | |||||||||
| PLA | NaturePlast | Granules | 38 | BMP tests with I/S = 2.85 (VS basis) | 25 | 147 | 28 | 90 °C 48 h | CH4 | SEM | |||||||||
| PLA | NaturePlast | Granules | 38 | BMP tests with I/S = 2.85 (VS basis) | 25 | 351 | 67 | 90 °C + 5% Ca(OH)2 48 h | CH4 | SEM | |||||||||
| PLA | NaturePlast | Granules | 38 | BMP tests with I/S = 2.85 (VS basis) | 25 | 24 | 5 | 70 °C 48 h | CH4 | SEM | |||||||||
| PLA | NaturePlast | Granules | 38 | BMP tests with I/S = 2.85 (VS basis) | 25 | 328 | 63 | 70 °C + 5% Ca(OH)2 48 h | CH4 | SEM | |||||||||
| PLA | NaturePlast | Granules | 38 | BMP tests with I/S = 2.85 (VS basis) | 30 | 21 | 4 | CH4 | SEM | ||||||||||
| PLA | NaturePlast | Granules | 38 | BMP tests with I/S = 2.85 (VS basis) | 30 | 136 | 26 | 90 °C 48 h | CH4 | SEM | |||||||||
| PLA | NaturePlast | Granules | 38 | BMP tests with I/S = 2.85 (VS basis) | 30 | 354 | 68 | 90 °C + 5% Ca(OH)2 48 h | CH4 | SEM | |||||||||
| PLA | NaturePlast | Granules | 38 | BMP tests with I/S = 2.85 (VS basis) | 30 | 352 | 67 | 90 °C + 2.5% Ca(OH)2 48 h | CH4 | SEM | |||||||||
| PLA | NaturePlast | Granules | 38 | BMP tests with I/S = 2.85 (VS basis) | 30 | 260 | 50 | 90 °C + 1.25% Ca(OH)2 48 h | CH4 | SEM | |||||||||
| PLA | NaturePlast | Granules | 38 | BMP tests with I/S = 2.85 (VS basis) | 30 | 178 | 34 | 90 °C + 0.5% Ca(OH)2 48 h | CH4 | SEM | |||||||||
| PLA | NaturePlast | Granules | 38 | BMP tests with I/S = 2.85 (VS basis) | 30 | 48 | 9 | 70 °C 48 h | CH4 | SEM | |||||||||
| PLA | NaturePlast | Granules | 38 | BMP tests with I/S = 2.85 (VS basis) | 30 | 338 | 65 | 70 °C + 5% Ca(OH)2 48 h | CH4 | SEM | |||||||||
| PLA | NaturePlast | Granules | 38 | BMP tests with I/S = 2.85 (VS basis) | 30 | 381 | 73 | 70 °C + 2.5% Ca(OH)2 48 h | CH4 | SEM | |||||||||
| PLA | NaturePlast | Granules | 38 | BMP tests with I/S = 2.85 (VS basis) | 30 | 286 | 55 | 70 °C + 1.25% Ca(OH)2 48 h | CH4 | SEM | |||||||||
| PLA | NaturePlast | Granules | 38 | BMP tests with I/S = 2.85 (VS basis) | 30 | 167 | 32 | 70 °C + 0.5% Ca(OH)2 48 h | CH4 | SEM | |||||||||
| PLA | PLA (NaturePlast) | particles 1.01 mm (mean size) | 38 | I/S = 10 (VS basis) | 400 | 426 | 82 | CH4 | [99] | ||||||||||
| PLA | PLA (NaturePlast) | particles 1.01 mm (mean size) | 38 | I/S = 4 (VS basis) | 400 | 385 | 74 | CH4 | |||||||||||
| PLA | PLA (NaturePlast) | particles 1.01 mm (mean size) | 38 | I/S = 2.85 (VS basis) | 400 | 401 | 77 | CH4 | |||||||||||
| PLA | PLA (NaturePlast) | particles 1.01 mm (mean size) | 38 | I/S = 2 (VS basis) | 400 | 417 | 80 | CH4 | |||||||||||
| PLA | PLA (NaturePlast) | particles 1.01 mm (mean size) | 38 | I/S = 1 (VS basis) | 400 | 404 | 77 | CH4 | |||||||||||
| PLA | 0.1–0.25 mm | 36 | Anaerobic aqueous conditions ISO 14853; working V = 1 L; 1 gTS/L inoculum + 150 mg/L test material | 77 | 4.6 | Biogas | [123] | ||||||||||||
| PLA | 1.1 × 4.5 × 1.2 mm | 35 | Working V = 150 mL; polymer = 4.151 mg C/L | 140 | 0 | 0 | Biogas | 0 | FTIR, DSC, SEM | [137] | |||||||||
| PLA | PLA (crystallinity 35%) | 35 | 170 | 0 | 0 | 0 | CH4 | [151] | |||||||||||
| PLA | PLA (crystallinity 50%) | 35 | 170 | 0 | 0 | 0 | CH4 | ||||||||||||
| PLA | PLA (amorphous) | 35 | 170 | 189 | 40 | CH4 | |||||||||||||
| PLA blend | Ecovio® (PLA + fossil biodegradable Ecoflex® plastic) coffee capsules | <1 mm | 38 | Inoculum: sludge from a wastewater treatment plant, acclimated in the lab at 38 °C. Digestion conditions: ISR = 2.7 (VS basis), VS content = 9 g/L | 100 | 127 | 24 | X | [95] | ||||||||||
| PLA/PCL | PLA/PCL (80/20) | 0.1–0.25 mm | 36 | Method ISO 14853; working V = 1 L; 1 g TS/L inoculum + 150 mg/L test material | 77 | 0 | Biogas | [123] | |||||||||||
| PLA+PBS | PLA/PBS (80/20) | <2 × 2 cm | 35 | Inoculum: sludge from a WWTP. Method: ISO 14853 | 56 | 0 | Biogas | DSC, SEM | [126] | ||||||||||
| PLA+PCL | PLA/PCL (80/20) | <2 × 2 cm | 35 | Inoculum: sludge from a WWTP. Method: ISO 14853 | 56 | 0 | Biogas | DSC, SEM | |||||||||||
| PLA+PHB | PLA/PHB (80/20) | <2 × 2 cm | 35 | Inoculum: sludge from a WWTP. Method: ISO 14853 | 56 | 0 | Biogas | DSC, SEM | |||||||||||
| PLA+PHO | PLA/PHO (80/15) | <2 × 2 cm | 35 | Inoculum: sludge from a WWTP. Method: ISO 14853 | 56 | 2 | Biogas | DSC, SEM | |||||||||||
| PVA | Film | 0.25 × 0.25 cm | 35 | ASTM D 5210-91; 150 mL working V + 100 mg polymer; flushed with N2 | 77 | 8 | Biogas | [131] | |||||||||||
| PVA | Film | 0.25 × 0.25 cm | 35 | ISO 11734; 150 mL working V+ 100 mg polymer; flushed with N2 | 77 | 10 | Biogas | ||||||||||||
| PVA | PVA (Dupont) | 5 × 5 × 1 mm film | 38 | Plastic: 2 g. Inoculum: supernatant from a laboratory scale digester fed with a mixture of primary domestic sludge and food waste | 100 | 5 | --- | --- | --- | [152] | |||||||||
| Starch-based | Vegemat® coffee capsules | <1 mm | 38 | Inoculum: sludge from a wastewater treatment plant, acclimated in the lab at 38 °C. Digestion conditions: ISR = 2.7 (VS basis), VS content = 9 g/L | 100 | 92 | 18 | CH4 | x | [95] | |||||||||
| Starch blend | Starch (25% amylose) and PVA blend | Film | 35 | Plastic: 20 g. Inoculum: digestate from a wastewater treatment plant. Method: ASTM D5210-92. | 25 | 52 | [153] | ||||||||||||
| Starch blend | High-amylose starch (80% amylose)-PVA blend | Film | 35 | Plastic: 20 g. Inoculum: digestate from a wastewater treatment plant. Method: ASTM D5210-92. | 20 | 54 | |||||||||||||
| Starch blend | Starch (from wheat)/PVOH | Foam | 37 | Substrate to inoculum ratio: 1 (VS basis). Inoculum: digestate from a mesophilic anaerobic digester | 10 | 270 | 72.1 | CH4 | [154] | ||||||||||
| Starch blend | Starch (from potato)/PVOH | Foam | 37 | Substrate to inoculum ratio: 1 (VS basis). Inoculum: digestate from a mesophilic anaerobic digester | 10 | 265 | 68.6 | CH4 | |||||||||||
| Starch blend | Starch (from maize)/PVOH | Foam | 37 | Substrate to inoculum ratio: 1 (VS basis). Inoculum: digestate from a mesophilic anaerobic digester | 10 | 248 | 75.4 | CH4 | |||||||||||
| Starch blend | Starch:PVOH blends (90/10%) | 5 × 5 × 1 mm film | 38 | Plastic: 2 g. Inoculum: supernatant from a laboratory scale digester fed with a mixture of primary domestic sludge and food waste | 100 | 140 | [152] | ||||||||||||
| Starch blend | Starch:PVOH blends (75/25%) | 5 × 5 × 1 mm film | 38 | Plastic: 2 g. Inoculum: supernatant from a laboratory scale digester fed with a mixture of primary domestic sludge and food waste | 100 | 118 | |||||||||||||
| Starch blend | Starch:PVOH blends (50/50%) | 5 × 5 × 1 mm film | 38 | Plastic: 2 g. Inoculum: supernatant from a laboratory scale digester fed with a mixture of primary domestic sludge and food waste | 100 | 60 | |||||||||||||
| Starch blend | Starch-based film blend 1 | 1 × 1 cm film | 37 | Plastic to inoculum ratio: 0.25 (VS basis). Inoculum: digestate from a mesophilic digester treating municipal wastewater sludge | 65 | 18.3 | 18.0 | [115] | |||||||||||
| Starch blend | Starch-based film blend 2 | 1 × 1 cm film | 37 | Plastic to inoculum ratio: 0.25 (VS basis). Inoculum: digestate from a mesophilic digester treating municipal wastewater sludge | 65 | 10.2 | 10.6 | ||||||||||||
| Starch blend | Starch-based blend | 4.3 mm | 37 | ISR: 4 (VS basis). Inoculum: digestate from a mesophilic lab-scale digester | 26 | 250 | 35.9 ● | CH4 | [155] | ||||||||||
| Starch blend | Starch-based blend | 0.72 mm | 37 | ISR: 4 (VS basis). Inoculum: digestate from a mesophilic lab-scale digester | 26 | 246 | 35.4 ● | CH4 | |||||||||||
| Starch blend | Starch-based blend | 4.3 mm | 37 | ISR: 3 (VS basis). Inoculum: digestate from a mesophilic lab-scale digester | 26 | 197 | 28.3 ● | CH4 | |||||||||||
| Starch blend | Starch-based blend | 0.72 mm | 37 | ISR: 3 (VS basis). Inoculum: digestate from a mesophilic lab-scale digester | 26 | 186 | 26.7 ● | CH4 | |||||||||||
| Starch blend | Starch-based blend | 7.87 mm | 37 | ISR: 4 (VS basis). Inoculum: digestate from a mesophilic lab-scale digester | 26 | 182 | 26.2 ● | CH4 | |||||||||||
| Starch blend | Starch-based blend | 7.87 mm | 37 | ISR: 3 (VS basis). Inoculum: digestate from a mesophilic lab-scale digester | 26 | 161 | 23.1 ● | CH4 | |||||||||||
| Starch blend | Starch-based blend | 4.3 mm | 37 | ISR: 2 (VS basis). Inoculum: digestate from a mesophilic lab-scale digester | 26 | 166 | 23.9 ● | CH4 | |||||||||||
| Starch blend | Starch-based blend | 0.72 mm | 37 | ISR: 2 (VS basis). Inoculum: digestate from a mesophilic lab-scale digester | 26 | 157 | 22.6 ● | CH4 | |||||||||||
| Starch blend | Starch-based blend | 7.87 mm | 37 | ISR: 2 (VS basis). Inoculum: digestate from a mesophilic lab-scale digester | 26 | 135 | 19.4 ● | CH4 | |||||||||||
| Starch blend | Starch-based shopping bags | film, 5 × 5 cm | 37 | Mesophilic digestate from a full-scale dry anaerobic digester treating OFMSW | 60 | 119 | 29.5 | CH4 | FTIR | [10] | |||||||||
| Starch blend | Starch-based shopping bags | film, 5 × 5 cm | 37 | Mesophilic digestate from a full-scale dry anaerobic digester treating OFMSW | 90 | CH4 | 67.3 | FTIR | |||||||||||
| Starch blend | Commercial spoons | 2–5 mm | 38 | 49 | 50.38 | CH4 | FTIR, DSC | [149] | |||||||||||
| starch blend | Granulate | 0.2–0.63 mm | 35 | ASTM D 5210-91; 150 mL working V + 100 mg polymer; flushed with N2 | 41 | 57 | Biogas | [131] | |||||||||||
| starch blend | Granulate | 0.2–0.63 mm | 35 | ASTM D 5210-91; 150 mL working V + 100 mg polymer; flushed with 70% N2/30% CO2 | 33 | 55 | Biogas | ||||||||||||
| starch blend | Granulate | 0.2–0.63 mm | 35 | ISO 11734; 150 mL working V+ 100 mg polymer; flushed with N2 | 41 | 54.6 | Biogas | ||||||||||||
| starch blend | Granulate | 0.2–0.63 mm | 35 | ISO 11734; 150 mL working V+ 100 mg polymer; flushed with 70% N2/30% CO2 | 33 | 49 | Biogas | ||||||||||||
| Starch-based | Starch-based bags | 2 mm | 37 | ISR = 2 (VS basis) | 250 | 200.9 | CH4 | [114] | |||||||||||
| Starch-based | Starch-based bags | 2 mm | 37 | ISR = 2 (VS basis) | 250 | 203.9 | 48 h, acidic pretreatment (HCl) to pH = 2 | CH4 | |||||||||||
| Starch-based | Starch-based bags | 2 mm | 37 | ISR = 2 (VS basis) | 250 | 158 | 48 h, alkaline pretreatment (NaOH) to pH = 12 | CH4 | |||||||||||
| Starch-based | Starch-based cutlery | 2 mm | 37 | ISR = 2 (VS basis) | 250 | 312.5 | CH4 | ||||||||||||
| Starch-based | Starch-based cutlery | 2 mm | 37 | ISR = 2 (VS basis) | 250 | 302.5 | 48 h, acidic pretreatment (HCl) to pH = 2 | CH4 | |||||||||||
| Starch-based | Starch-based cutlery | 2 mm | 37 | ISR=2 (VS basis) | 250 | 252.9 | 48 h, alkaline pretreatment (NaOH) to pH = 12 | CH4 | |||||||||||
| TPS | TPS (Bioplast TPS, BIOTEC) | <2 × 2 cm | 35 | Inoculum: sludge from a WWTP. Method: ISO 14853 | 56 | 98% | biogas | DSC, SEM | [126] | ||||||||||
| TPS | TPS | 1 mm sheet | 38 | I/S = 2.85 (VS basis); working V = 300 mL | 30 | 309.5 | 82.6% | CH4 | x | [95] | |||||||||
* Biodegradability evaluated from total biogas production. ● Biodegradability data recalculated from the data provided in the manuscript. (1) L CH4/kg VS; (2) L biogas/kg VS; (3) L CH4/kg polymer; (4) L biogas/kg polymer; (5) L CH4/kg ThOD; (6) L biogas/kg COD.
Table A2.
Summary of literature results related to anaerobic degradation of different bioplastic products under thermophilic conditions (expanded from [93,109]).
Table A2.
Summary of literature results related to anaerobic degradation of different bioplastic products under thermophilic conditions (expanded from [93,109]).
| Class | Bioplastic Type | Size and Shape | T | Test Conditions | Time | Biogas/Methane Production | Degree of Biodegr. | Pre-Treatment | Biodegr. Eval. | Mass Loss | Analytical Techniques | Visual Insp. | Microb. Charact. | Ref. | |||
|---|---|---|---|---|---|---|---|---|---|---|---|---|---|---|---|---|---|
| (°C) | (1) | (2) | (3) | (4) | (%) | (%) | |||||||||||
| Cellulose-based | Cellulose | 1 × 1 cm film | 55 | Plastic to inoculum ratio: 0.5. Inoculum: sludge from a waste management company | 35 | 280 | 18.3 | biogas | x | [156] | |||||||
| Cellulose-based | Cellulose | 2 × 2 cm film | 55 | Plastic to inoculum ratio: 0.5. Inoculum: sludge from a waste management company | 35 | 260 | 17.1 | biogas | x | ||||||||
| Cellulose-based | Cellulose | 3 × 3 cm film | 55 | Plastic to inoculum ratio: 0.5. Inoculum: sludge from a waste management company | 35 | 250 | 16.3 | biogas | x | x | |||||||
| Starch-based | Vegemat® coffee capsules | <1 mm | 58 | Inoculum: sludge from a wastewater treatment plant, acclimated in the lab at 58 °C. Digestion conditions: ISR = 2.7 (VS basis), VS content = 9 g/L | 100 | 355 | 69 | CH4 | [95] | ||||||||
| Mater-Bi | Mater-Bi coffee capsules | <1 mm | 58 | Inoculum: sludge from a wastewater treatment plant, acclimated in the lab at 58 °C. Digestion conditions: ISR = 2.7 (VS basis), VS content = 9 g/L | 100 | 257 | 47 | CH4 | x | ||||||||
| Mater-Bi | Mater-Bi (60% starch, 40% hydrophilic resin) | entire bag | 55 | Plastic to inoculum ratio: 0.5 (VS basis). Inoculum: liquid digestate from mesophilic anaerobic digester fed with manure, agro-wastes, and residues shifted progressively to thermophilic condition | 30 | 186 | CH4 | 28.5 | x | [116] | |||||||
| Mater-Bi | Mater-Bi (PCL + starch, Novamont) | Small piece of plastic bags <1 mm | 55 | Plastic: 1 g. Inoculum: 5 mL of pig slurry mixed with synthetic medium for methanogens and acclimated to mesophilic anaerobic condition | 90 | 303 | 55 | --- | x | [12] | |||||||
| Mater-Bi | Shopper | 2.5 × 2.5 cm | 55 | 300 mL inoculum + 3 g bioplastic | 15 | 95 | 22.5 | CH4 | 21.7 | FTIR | x | [157] | |||||
| Mater-Bi | Shopper | 2.5 × 2.5 cm | 55 | 300 mL inoculum + 3 g bioplastic | 30 | 139 | 25.5 | CH4 | 28.7 | FTIR | x | ||||||
| Mater-Bi | Shopper | 2.5 × 2.5 cm | 55 | 300 mL inoculum + 3 g bioplastic | 60 | 165 | 29.2 | CH4 | 30.0 | FTIR | x | ||||||
| Mater-Bi | Shopper | 2.5 × 2.5 cm | 55 | 300 mL inoculum + 3 g bioplastic | 30 | 142 | 25.1 | CH4 | 26.8 | FTIR | x | [158] | |||||
| Mater-Bi | Shopper | 2.5 × 2.5 cm | 55 | 300 mL inoculum + 3 g bioplastic | 60 | 194 | 34.4 | CH4 | 35.0 | FTIR | x | ||||||
| Mater-Bi | Shopper | 2.5 × 2.5 cm | 55 | 300 mL inoculum + 3 g bioplastic | 90 | 224 | 40 | CH4 | 37.8 | FTIR | x | ||||||
| PBAT | Commercial PBAT | 2 × 2 mm, thickness 0.1 mm | 52 | Inoculum: mixture of soil (70%) and anaerobic sludge (30%) from a municipal wastewater treatment plant. PBAT addition: 1% wt. | 75 | --- | 9.3 | SEM | x | [159] | |||||||
| PBAT | PBAT 93 000 g/mol (Ecoflex, BASF) | 5 × 5 mm film 70 μm of thickness | 55 | Inoculum: mesophilic anaerobic sludge (37 °C) from a municipal waste water-treatment plant acclimated to thermophilic temperature (55 °C) for two weeks | 126 | 8.3 | biogas | 8.5 | DSC, XRD | [122] | |||||||
| PBAT | PBAT | 1 mm sheet | 58 | I/S = 2.85 (VS basis); working volume = 300 mL | 100 | 11.05 | 1.7 | CH4 | x | [95] | |||||||
| PBS | Commercial PBS | 2 × 2 mm, thickness 0.1 mm | 52 | Inoculum: mixture of soil (70%) and anaerobic sludge (30%) from a municipal wastewater treatment plant. PBS addition: 1% wt. | 75 | --- | 36.2 | SEM | x | [159] | |||||||
| PBS | PBS (PBE 003, NaturePlast | <2 × 2 cm | 55 | Method: high solid anaerobic digestion (ISO 15985) | 90 | 12 | biogas | DSC, SEM | [126] | ||||||||
| PBS | PBS (Enpol G4560, IRE Chemical Ltd.) | 5 × 5 mm thin film (100 μm) | 55 | Plastic: 50 mg. Inoculum: mesophilic anaerobic sludge from a wastewater treatment plant acclimated to thermophilic temperature | 113 | 20.2 | biogas | DSC, XRD, SEM | [127] | ||||||||
| PBS | PBS (Enpol G4560, IRE Chemical Ltd.) | 5 × 5 mm thick film (1.02 mm) | 55 | Plastic: 50 mg. Inoculum: mesophilic anaerobic sludge from a wastewater treatment plant acclimated to thermophilic temperature | 113 | 20.1 | biogas | 24.8 | DSC, XRD, SEM | ||||||||
| PBS | PBS (Enpol G4560, IRE Chemical Ltd.) | Powder (320 μm) | 55 | Plastic: 50 mg. Inoculum: mesophilic anaerobic sludge from a wastewater treatment plant acclimated to thermophilic temperature | 113 | 18.1 | biogas | DSC, XRD, SEM | |||||||||
| PBS | PBS (Enpol G4560, IRE Chemical Ltd.) | 5 × 5 mm thin film (100 μm) | 55 | Plastic: 50 mg. Inoculum: mesophilic anaerobic sludge from a wastewater treatment plant shifted to thermophilic temperature with addition of a PBS acclimated inoculum from a previous experiment | 113 | 23.3 | biogas | DSC, XRD, SEM | |||||||||
| PBS | PBS (Enpol G4560, IRE Chemical Ltd.) | 5 × 5 mm thick film (1.02 mm) | 55 | Plastic: 50 mg. Inoculum: mesophilic anaerobic sludge from a wastewater treatment plant shifted to thermophilic temperature with addition of a PBS acclimated inoculum from a previous experiment | 113 | 22 | biogas | 25.4 | DSC, XRD, SEM | ||||||||
| PBS | PBS (Enpol G4560, IRE Chemical Ltd.) | Powder (320 μm) | 55 | Plastic: 50 mg. Inoculum: mesophilic anaerobic sludge from a wastewater treatment plant shifted to thermophilic temperature with addition of a PBS acclimated inoculum from a previous experiment | 113 | 10.3 | biogas | DSC, XRD, SEM | |||||||||
| PBS | PBS (Sigma-Aldrich) | 125–250 μm | 55 | Plastic: 10 g. Inoculum: digestate from a mesophilic anaerobic digester treating cow manure and green waste acclimated to 55 °C. Pre-incubation of the inoculum with 20 mL of sludge acclimated to PLA | 100 | 3 | biogas | x | [101] | ||||||||
| PBS | PBS | 1 mm sheet | 58 | I/S = 2.85 (VS basis); working volume = 300 mL | 100 | 0 | 0 | CH4 | x | [95] | |||||||
| PCL | PCL (Mn 58.1 kg.mol−1) | 10 × 10 × 0.7 mm film | 55 | Plastic to inoculum ratio: 0.38 g COD/g VSS. Inoculum: thermophilic digested sludge from a digester | 140 | 663 | 60 | biogas | DSC, SEM | [160] | |||||||
| PCL | PCL (Mn 38. kg.mol−1) | Powder | 55 | 80 | 643 | 54 | biogas | DSC, SEM | |||||||||
| PCL | PCL (Mn 13 kg.mol−1) | 55 | 70 | 676 | 57 | biogas | DSC, SEM | ||||||||||
| PCL | PCL (CAPA 6500, Perstorp) | <2 × 2 cm | 55 | Method: high solid anaerobic digestion (ISO 15985) | 127 | 95 | biogas | DSC, SEM | [126] | ||||||||
| PCL | PCL (Mw 65,000, Aldrich) | 125–250 μm | 55 | Plastic: 10 g. Inoculum: digestate from a mesophilic anaerobic digester treating cow manure and green waste acclimated to 55 °C | 47 | 697 | 92 * | biogas | [161] | ||||||||
| PCL | PCL (Sigma-Aldrich) | 125–250 μm | 55 | Plastic: 10 g. Inoculum: digestate from a mesophilic anaerobic digester treating cow manure and green waste acclimated to 55 °C. Pre-incubation of the inoculum with 20 mL of sludge acclimated to PLA | 45 | 84 | biogas | x | [101] | ||||||||
| PCL | PCL | 1-cm2 film | 52 | Plastic to inoculum ratio: 0.5 (VS basis). Inoculum: digestate from a mesophilic anaerobic digester fed with food wastes and manure shifted to thermophilic temperature (10 days) | 30 | 44.4 | 11.3 | CH4 | [130] | ||||||||
| PCL | PCL | 1 mm sheet | 58 | I/S = 2.85 (VS basis); working volume = 300 mL | 100 | 0 | 0 | CH4 | x | [95] | |||||||
| PCL | PCL (Mw 65,000, Aldrich) | <125 μm | 55 | Plastic: 10 g. Inoculum: digestate from a mesophilic anaerobic digester treating cow manure and green waste acclimated to 55 °C | 38.5 | 88 * | Size red. | biogas | [161] | ||||||||
| PCL | PCL (Mw 65,000, Aldrich) | 125–250 μm | 55 | Plastic: 10 g. Inoculum: digestate from a mesophilic anaerobic digester treating cow manure and green waste acclimated to 55 °C | 58.5 | 85 * | Size red. | biogas | |||||||||
| PCL | PCL (Mw 65,000, Aldrich) | 250–500 μm | 55 | Plastic: 10 g. Inoculum: digestate from a mesophilic anaerobic digester treating cow manure and green waste acclimated to 55 °C | 65 | 81 * | Size red. | biogas | |||||||||
| PCL+PHO | PCL/PHO (85/15) | <2 × 2 cm | 55 | Method: high solid anaerobic digestion (ISO 15985) | 66 | 85 | biogas | DSC, SEM | [126] | ||||||||
| PCL+TPS | PCL/TPS (70/30) | <2 × 2 cm | 55 | Method: high solid anaerobic digestion (ISO 15985) | 80 | 68 | biogas | DSC, SEM | |||||||||
| PCL+TPS | 80% PCL 20% TPS | 1-cm2 film | 52 | Plastic to inoculum ratio: 0.5 (VS basis). Inoculum: digestate from a mesophilic anaerobic digester fed with food wastes and manure shifted to thermophilic temperature (10 days) | 30 | 104 | 26.2 | biogas | DSC, SEM | [130] | |||||||
| PHB | PHB (ENMAT Y1000, TiTAN) | <2 × 2 cm | 55 | Method: high solid anaerobic digestion (ISO 15985) | 127 | 92 | biogas | DSC, SEM | [126] | ||||||||
| PHB | PHB (Sigma-Aldrich) | 125–250 μm | 55 | Plastic: 10 g. Inoculum: digestate from a mesophilic anaerobic digester treating cow manure and green waste acclimated to 55 °C. Pre-incubation of the inoculum with 20 mL of sludge acclimated to PLA | 18 | 88 | biogas | x | [101] | ||||||||
| PHB | PHB Biomer | 1 mm sheet | 58 | I/S = 2.85 (VS basis); working V = 300 mL | 45 | 350.8 | 57.6 | CH4 | x | [95] | |||||||
| PHB | PHB K. D. | 1 mm sheet | 58 | I/S = 2.85 (VS basis); working V = 300 mL | 49 | 399.1 | 72.3 | CH4 | x | ||||||||
| PHB+PBS | PHB/PBS (50/50) | <2 × 2 cm | 55 | Method: high solid anaerobic digestion (ISO 15985) | 121 | 78 | biogas | DSC, SEM | [126] | ||||||||
| PHB+PCL | PHB/PCL (60/40) | <2 × 2 cm | 55 | Method: high solid anaerobic digestion (ISO 15985) | 80 | 104 | biogas | DSC, SEM | |||||||||
| PHB+PHO | PHB/PHO (85/15) | <2 × 2 cm | 55 | Method: high solid anaerobic digestion (ISO 15985) | 66 | 87 | biogas | DSC, SEM | |||||||||
| PHBV | PHBV | Pellets | 55 | Inoculum: 1:1 mixture of mesophilic and thermophilic digestate from lab-scale digesters. ISR = 1 (VS basis). Solids content in the reactor: 7.22% TS | 104 | 80.5 | --- | SEM | [142] | ||||||||
| PHBV | Commercial PHBV | 2 × 2 mm, thickness 0.1 mm | 52 | Inoculum: mixture of soil (70%) and anaerobic sludge (30%) from a municipal wastewater treatment plant. PHBV addition: 1% wt. | 75 | --- | 100.0 | SEM | x | [159] | |||||||
| PHO | PHO (Bioplastech R, Bioplastech) | <2 × 2 cm | 55 | Method: high solid anaerobic digestion (ISO 15985) | 50 | 6 | biogas | DSC, SEM | [126] | ||||||||
| PLA | Commercial PLA blend (80% PLA, 20% additives) | <2 mm | 55 | Mesophilic digestate from a full-scale anaerobic digestere treating sewage sludge | 146 | 442.6 | 94.8 | CH4 | [146] | ||||||||
| PLA | Commercial PLA | 2 × 2 mm, thickness 0.1 mm | 52 | Inoculum: mixture of soil (70%) and anaerobic sludge (30%) from a municipal wastewater treatment plant. PLA addition: 1% wt. | 75 | --- | 60.0 | SEM | x | [159] | |||||||
| PLA | PLA (Mn 44.5 kg/mol) | 10 × 10 × 0.7 mm film | 55 | Plastic to inoculum ratio: 0.15 g COD/g VSS. Inoculum: thermophilic digested sludge from a digester | 120 | 677 | 74 | biogas | DSC, SEM | [160] | |||||||
| PLA | PLA (Mn 3.4 kg/mol) | Powder | 55 | Plastic to inoculum ratio: 0.15 g COD/g VSS. Inoculum: thermophilic digested sludge from a digester | 90 | 520 | 56 | biogas | DSC, SEM | ||||||||
| PLA | PLA (Mn 0.35 kg/mol) | Powder | 55 | Plastic to inoculum ratio: 0.15 g COD/g VSS. Inoculum: thermophilic digested sludge from a digester | 30 | 625 | 84 | biogas | DSC, SEM | ||||||||
| PLA | PHB (Biopol) | 2 × 2 cm | 52 | Plastic: 3–5 g. Inoculum: anaerobic digester for solid waste | 20 | 73 | biogas | [144] | |||||||||
| PLA | PLA | 2 × 2 cm | 52 | Plastic: 3–5 g. Inoculum: anaerobic digester for solid waste | 40 | 60 | biogas | ||||||||||
| PLA | PLA | 1 × 1, 2 × 2, 3 × 3 cm rigid pieces | 55 | Plastic to inoculum ratio: 0.5. Inoculum: sludge from a waste management plant | 35 | 20 | 0 | biogas | x | [156] | |||||||
| PLA | PLA (Luminy L130, Mw = 130 kDa) | Pellets | 55 | Plastic: 3 g. Inoculum: sludge from a thermophilic anaerobic digester treating food waste, plant residues, and other organic waste products | 104 | 224 | CH4 | 70.0 | x | [102] | |||||||
| PLA | PLA (Luminy L175, Mw = 175 kDa) | Pellets | 55 | Plastic: 3 g. Inoculum: sludge from a thermophilic anaerobic digester treating food waste, plant residues, and other organic waste products | 104 | 266 | CH4 | 77.7 | |||||||||
| PLA | PLA (Biopolymer-4043D, Nature Works) | <2 × 2 cm | 55 | Plastic: 15 g. Inoculum: 1 kg of digestate from a thermophilic reactor treating household waste. | 80 | 88 | biogas | DSC, SEM | [126] | ||||||||
| PLA | PLA film 25 μm of thickness (Unitaka) | Powder 125–250 μm | 55 | Inoculum: digestate from a mesophilic anaerobic digester treating cow manure and green waste acclimated to 55 °C. Addition of 20 mL of acclimated sludge to PLA thermophilic digestion during the pre-incubation | 73 | 782 | 84.1 * | biogas | [162] | ||||||||
| PLA | PLA (H-400, Mitsui Chemical) | 125–250 μm | 55 | Plastic: 10 g. Inoculum: digestate from a mesophilic anaerobic digester treating cow manure and green waste acclimated to 55 °C. Undiluted inoculum used | 82 | 469 | 91 * | biogas | [161] | ||||||||
| PLA | PLA (H-400, Mitsui Chemical) | 125–250 μm | 55 | Plastic: 10 g. Inoculum: digestate from a mesophilic anaerobic digester treating cow manure and green waste acclimated to 55 °C. Diluted inoculum used | 107 | 388 | 79 * | biogas | |||||||||
| PLA | PLA (H-400, Mitsui Chemical) | 125–250 μm | 55 | Plastic: 5 g. Inoculum: digestate from a mesophilic anaerobic digester treating cow manure and green waste acclimated to 55 °C. Diluted inoculum used | 112 | 374 | 80 * | biogas | |||||||||
| PLA | PLA (Ingeo) | Small piece of plastic bags <1 mm | 55 | Plastic: 1 g. Inoculum: 5 mL of pig slurry mixed with synthetic medium for methanogens and acclimated to mesophilic anaerobic condition | 90 | 267 | 56 | --- | x | [12] | |||||||
| PLA | PLA (Fabri-Kal Inc.) | Plastic cup ground to 3 mm | 58 | Plastic: 1 g. Inoculum: 10 mL of anaerobic inoculum | 56 | 187 | 40 | [143] | |||||||||
| PLA | PLA (Unitika) | 125–250 μm | 55 | Plastic: 10 g. Inoculum: digestate from a mesophilic anaerobic digester treating cow manure and green waste acclimated to 55 °C. Pre-incubation of the inoculum with 20 mL of sludge acclimated to PLA | 80 | 82 | biogas | x | [101] | ||||||||
| PLA | PLA (NatureWorks 4043D) | Sheets | 52 | Plastic to inoculum ratio: 0.5 (VS basis). Inoculum: digestate from a mesophilic anaerobic digester treating industrial food waste and manure | 36 | 409 | 90 | CH4 | [163] | ||||||||
| PLA | PLA (plastic cup) | 2 × 2 × 0.5 mm | 58 | Plastic to inoculum ratio: 2–4 kg VS/m3. Inoculum: digestate from a mesophilic anaerobic digester treating wastewater treatment acclimated to 58 °C for 14 days. Method: EN ISO 11734:2003 | 60 | 835 | 90 | biogas | FTIR, opt. microscopy | [145] | |||||||
| PLA | PLA (NaturePlast) | particles 1.01 mm (mean size) | 58 | I/S = 10 (VS basis) | 100 | 456 | 87.3 | CH4 | x | [99] | |||||||
| PLA | PLA (NaturePlast) | particles 1.01 mm (mean size) | 58 | I/S = 4 (VS basis) | 100 | 423 | 81.0 | CH4 | x | ||||||||
| PLA | PLA (NaturePlast) | particles 1.01 mm (mean size) | 58 | I/S = 2.85 (VS basis) | 100 | 390 | 74.7 | CH4 | x | ||||||||
| PLA | PLA (NaturePlast) | particles 1.01 mm (mean size) | 58 | I/S = 2 (VS basis) | 100 | 404 | 77.4 | CH4 | x | ||||||||
| PLA | PLA (NaturePlast) | particles 1.01 mm (mean size) | 58 | I/S = 1 (VS basis) | 100 | 374 | 71.6 | CH4 | x | ||||||||
| PLA | cup | 10 × 10 mm | 55 | untreated | 100 | 453 | 97 | FTIR, DSC, opt. microscopy | [82] | ||||||||
| PLA | PLA (cutlery) | 2.5 × 2.5 cm | 55 | 300 mL inoculum + 3 g bioplastic | 15 | 56 | 6.6 | CH4 | 6.0 | FTIR | x | [157] | |||||
| PLA | PLA (dish) | 2.5 × 2.5 cm | 55 | 300 mL inoculum + 3 g bioplastic | 15 | 44 | 6.1 | CH4 | 7.8 | FTIR | x | ||||||
| PLA | PLA (cutlery) | 2.5 × 2.5 cm | 55 | 300 mL inoculum + 3 g bioplastic | 30 | 154 | 21.5 | CH4 | 23.3 | FTIR | x | ||||||
| PLA | PLA (dish) | 2.5 × 2.5 cm | 55 | 300 mL inoculum + 3 g bioplastic | 30 | 108 | 19.1 | CH4 | 19.7 | FTIR | x | ||||||
| PLA | PLA (cutlery) | 2.5 × 2.5 cm | 55 | 300 mL inoculum + 3 g bioplastic | 60 | 168 | 29.8 | CH4 | 29.2 | FTIR | x | ||||||
| PLA | PLA (dish) | 2.5 × 2.5 cm | 55 | 300 mL inoculum + 3 g bioplastic | 60 | 123 | 24.9 | CH4 | 24.2 | FTIR | x | ||||||
| PLA | PLA (cutlery) | 2.5 × 2.5 cm | 55 | 300 mL inoculum + 3 g bioplastic | 30 | 104 | 18.4 | CH4 | 16.4 | FTIR | x | ||||||
| PLA | PLA (dish) | 2.5 × 2.5 cm | 55 | 300 mL inoculum + 3 g bioplastic | 30 | 81 | 14.3 | CH4 | 17.9 | FTIR | x | ||||||
| PLA | PLA (cutlery) | 2.5 × 2.5 cm | 55 | 300 mL inoculum + 3 g bioplastic | 60 | 279 | 49.4 | CH4 | 52.0 | FTIR | x | ||||||
| PLA | PLA (dish) | 2.5 × 2.5 cm | 55 | 300 mL inoculum + 3 g bioplastic | 60 | 215 | 38.1 | CH4 | 43.9 | FTIR | x | ||||||
| PLA | PLA (cutlery) | 2.5 × 2.5 cm | 55 | 300 mL inoculum + 3 g bioplastic | 90 | 397 | 70.3 | CH4 | 72.1 | FTIR | x | ||||||
| PLA | PLA (dish) | 2.5 × 2.5 cm | 55 | 300 mL inoculum + 3 g bioplastic | 90 | 330 | 58.4 | CH4 | 61.1 | FTIR | x | x | |||||
| PLA | NaturePlast | 1 mm sheet | 58 | I/S = 2.85 (VS basis); working volume = 300 mL | 58 | 389 | 74.6 | CH4 | x | [95] | |||||||
| PLA | Total Corbion | 1 mm sheet | 58 | I/S = 2.85 (VS basis); working volume = 300 mL | 98 | 335 | 74.6 | CH4 | |||||||||
| PLA | PLA film 25 μm of thickness (Unitaka) | Crushed film (>500 μm) | 55 | Inoculum: digestate from a mesophilic anaerobic digester treating cow manure and green waste acclimated to 55 °C. Addition of 20 mL of acclimated sludge to PLA thermophilic digestion during the pre-incubation | 60 | 936 | 97.5 | Size red. | biogas | [162] | |||||||
| PLA | PLA film 25 μm of thickness (Unitaka) | 1 × 1 cm film, 25 μm of thickness | 55 | Inoculum: digestate from a mesophilic anaerobic digester treating cow manure and green waste acclimated to 55 °C. Addition of 20 mL of acclimated sludge to PLA thermophilic digestion during the pre-incubation | 60 | 880 | 94.5 | Size red. | biogas | ||||||||
| PLA | PLA film 25 μm of thickness (Unitaka) | 15 × 34 cm film, 25 μm of thickness | 55 | Inoculum: digestate from a mesophilic anaerobic digester treating cow manure and green waste acclimated to 55 °C. Addition of 20 mL of acclimated sludge to PLA thermophilic digestion during the pre-incubation | 60 | 893 | 96 | Size red. | biogas | ||||||||
| PLA | PLA film 25 μm of thickness (Unitaka) | 39 × 82 cm film, 25 μm of thickness | 55 | Inoculum: digestate from a mesophilic anaerobic digester treating cow manure and green waste acclimated to 55 °C. Addition of 20 mL of acclimated sludge to PLA thermophilic digestion during the pre-incubation | 60 | 827 | 89 | Size red. | biogas | ||||||||
| PLA | cup | 10 × 10 mm | 55 | 100 | 448 | 96 | Hydrothermal pretreatment (2 h 90 °C) | FTIR, DSC, opt. microscopy | [82] | ||||||||
| PLA | cup | 10 × 10 mm | 55 | 100 | 448 | 96 | Alkaline pretreatment (2 h 0.1 M KOH, Tamb) | FTIR, DSC, opt. microscopy | |||||||||
| PLA | PLA | Commercial items | 55 | Plastic: 1 g. Inoculum: 10 mL of anaerobic inoculum | 56 | 225 | 48.2 | Steam exposition, 3 h 120 °C | [143] | ||||||||
| PLA blend | 80% PLA, 20% PBS (blend produced by mixing and melting the components) | Sheets | 52 | Plastic to inoculum ratio: 0.5 (VS basis). Inoculum: digestate from a mesophilic anaerobic digester treating industrial food waste and manure | 60 | 190 | 37 | CH4 | [163] | ||||||||
| PLA blend | 70% PLA, 30% PCL (blend produced by mixing and melting the components) | Sheets | 52 | Plastic to inoculum ratio: 0.5 (VS basis). Inoculum: digestate from a mesophilic anaerobic digester treating industrial food waste and manure | 60 | 297 | 63 | CH4 | |||||||||
| PLA blend | 76% PLA, 19% PBS, 5% CaCO3 (Omya TP39914) (blend produced by mixing and melting the components) | Sheets | 52 | Plastic to inoculum ratio: 0.5 (VS basis). Inoculum: digestate from a mesophilic anaerobic digester treating industrial food waste and manure | 60 | 210 | 45 | CH4 | |||||||||
| PLA blend | 76% PLA, 19% PBS, 5% CaCO3 (Omya TP39968) (blend produced by mixing and melting the components) | Sheets | 52 | Plastic to inoculum ratio: 0.5 (VS basis). Inoculum: digestate from a mesophilic anaerobic digester treating industrial food waste and manure | 60 | 230 | 49 | CH4 | |||||||||
| PLA blend | Ecovio® (PLA + fossil biodegradable Ecoflex® plastic) coffee capsules | <1 mm | 58 | Inoculum: sludge from a wastewater treatment plant, acclimated in the lab at 58 °C. Digestion conditions: ISR = 2.7 (VS basis), VS content = 9 g/L | 100 | 308 | 58 | CH4 | [95] | ||||||||
| PLA blend | PLA/PBS (80/20) | <2 × 2 cm | 55 | High-solids anaerobic digestion (ISO 15985). Inoculum: Digestate from an anaerobic digester treating the organic fraction of household waste and stabilized in a post-fermentation phase | 121 | 84 | biogas | DSC, SEM | [126] | ||||||||
| PLA blend | PLA/PCL (80/20) | <2 × 2 cm | 55 | High-solids anaerobic digestion (ISO 15985). Inoculum: Digestate from an anaerobic digester treating the organic fraction of household waste and stabilized in a post-fermentation phase | 121 | 90 | biogas | DSC, SEM | |||||||||
| PLA blend | PLA/PHB (80/20) | <2 × 2 cm | 55 | High-solids anaerobic digestion (ISO 15985). Inoculum: Digestate from an anaerobic digester treating the organic fraction of household waste and stabilized in a post-fermentation phase | 80 | 104 | biogas | DSC, SEM | |||||||||
| PLA blend | PLA/PHO (80/15) | <2 × 2 cm | 55 | High-solids anaerobic digestion (ISO 15985). Inoculum: Digestate from an anaerobic digester treating the organic fraction of household waste and stabilized in a post-fermentation phase | 66 | 90 | biogas | DSC, SEM | |||||||||
| TPS | TPS (Bioplast TPS, BIOTEC) | <2 × 2 cm | 55 | High-solids anaerobic digestion (ISO 15985). Inoculum: Digestate from an anaerobic digester treating the organic fraction of household waste and stabilized in a post-fermentation phase | 127 | 81 | biogas | DSC, SEM | |||||||||
| TPS | TPS (70% starch from MP Biomedicals LLC and 30% glycerol) | 1-cm2 film | 52 | Plastic to inoculum ratio: 0.5(VS basis). Inoculum: digestate from a mesophilic anaerobic digester fed with food wastes and manure shifted to thermophilic temperature (10 days) | 30 | 32 | 77.1 | CH4 | [130] | ||||||||
| TPS | TPS | 1 mm sheet | 58 | I/S = 2.85 (VS basis); working volume = 300 mL | 22 | 304 | 80.2 | CH4 | x | [95] | |||||||
* Biodegradability evaluated from total biogas production. (1) L CH4/kg VS; (2) L biogas/kg VS; (3) L CH4/kg polymer; (4) L biogas/kg polymer.
References
- Global Plastics Outlook; OECD: Paris, France, 2022; ISBN 9789264654945.
- Bajon, R.; Huck, T.; Grima, N.; Maes, C.; Blanke, B.; Richon, C.; Couvelard, X. Influence of Waves on the Three-Dimensional Distribution of Plastic in the Ocean. Mar. Pollut. Bull. 2023, 187, 114533. [Google Scholar] [CrossRef] [PubMed]
- Ter Halle, A.; Ladirat, L.; Gendre, X.; Goudouneche, D.; Pusineri, C.; Routaboul, C.; Tenailleau, C.; Duployer, B.; Perez, E. Understanding the Fragmentation Pattern of Marine Plastic Debris. Environ. Sci. Technol. 2016, 50, 5668–5675. [Google Scholar] [CrossRef]
- Lee, J.; Chae, K.J. A Systematic Protocol of Microplastics Analysis from Their Identification to Quantification in Water Environment: A Comprehensive Review. J. Hazard. Mater. 2021, 403, 124049. [Google Scholar] [CrossRef] [PubMed]
- Khoshmanesh, M.; Sanati, A.M.; Ramavandi, B. Co-Occurrence of Microplastics and Organic/Inorganic Contaminants in Organisms Living in Aquatic Ecosystems: A Review. Mar. Pollut. Bull. 2023, 187, 114563. [Google Scholar] [CrossRef]
- European Commission. Circular Economy Action Plan: For a Cleaner and More Competitive Europe; European Commission (EC): Brussels, Belgium, 2020. [Google Scholar] [CrossRef]
- Mehmood, A.; Raina, N.; Phakeenuya, V.; Wonganu, B.; Cheenkachorn, K. The Current Status and Market Trend of Polylactic Acid as Biopolymer: Awareness and Needs for Sustainable Development. Mater. Today Proc. 2022, 72, 3049–3055. [Google Scholar] [CrossRef]
- Edwards, J.; Othman, M.; Crossin, E.; Burn, S. Life Cycle Assessment to Compare the Environmental Impact of Seven Contemporary Food Waste Management Systems. Bioresour. Technol. 2018, 248, 156–173. [Google Scholar] [CrossRef]
- Wainaina, S.; Awasthi, M.K.; Sarsaiya, S.; Chen, H.; Singh, E.; Kumar, A.; Ravindran, B.; Awasthi, S.K.; Liu, T.; Duan, Y.; et al. Resource Recovery and Circular Economy from Organic Solid Waste Using Aerobic and Anaerobic Digestion Technologies. Bioresour. Technol. 2020, 301, 122778. [Google Scholar] [CrossRef]
- Cucina, M.; De Nisi, P.; Trombino, L.; Tambone, F.; Adani, F. Degradation of Bioplastics in Organic Waste by Mesophilic Anaerobic Digestion, Composting and Soil Incubation. Waste Manag. 2021, 134, 67–77. [Google Scholar] [CrossRef]
- Benn, N.; Zitomer, D. Pretreatment and Anaerobic Co-Digestion of Selected PHB and PLA Bioplastics. Front. Environ. Sci. 2018, 5, 93. [Google Scholar] [CrossRef]
- Vasmara, C.; Marchetti, R. Biogas Production from Biodegradable Bioplastics. Environ. Eng. Manag. J. 2016, 15, 2041–2048. [Google Scholar] [CrossRef]
- Calabrò, P.S.; Grosso, M. Bioplastics and Waste Management. Waste Manag. 2018, 78, 800–801. [Google Scholar] [CrossRef] [PubMed]
- Haider, T.P.; Völker, C.; Kramm, J.; Landfester, K.; Wurm, F.R. Plastics of the Future? The Impact of Biodegradable Polymers on the Environment and on Society. Angew. Chem.-Int. Ed. 2019, 58, 50–62. [Google Scholar] [CrossRef] [PubMed]
- Nandakumar, A.; Chuah, J.A.; Sudesh, K. Bioplastics: A Boon or Bane? Renew. Sustain. Energy Rev. 2021, 147, 111237. [Google Scholar] [CrossRef]
- European Commission. EU Policy Framework on Biobased, Biodegradable and Compostable Plastics. 2022. Available online: https://environment.ec.europa.eu/publications/communication-eu-policy-framework-biobased-biodegradable-and-compostable-plastics_en (accessed on 7 March 2023).
- European Commission. Council Directive 2019/904 of the European Parliament and of the Council of 5 June 2019 on the Reduction of the Impact of Certain Plastic Products on the Environment. 2019. Available online: https://eur-lex.europa.eu/eli/dir/2019/904/oj (accessed on 7 March 2023).
- Plastics Europe. Bioplastic Market Development Update 2022. 2022. Available online: https://docs.european-bioplastics.org/publications/market_data/2022/Report_Bioplastics_Market_Data_2022_short_version.pdf (accessed on 7 March 2023).
- Bátori, V.; Åkesson, D.; Zamani, A.; Taherzadeh, M.J.; Sárvári Horváth, I. Anaerobic Degradation of Bioplastics: A Review. Waste Manag. 2018, 80, 406–413. [Google Scholar] [CrossRef] [PubMed]
- García-Velásquez, C.A.; van der Meer, Y. Can We Improve the Environmental Benefits of Biobased PET Production through Local Biomass Value Chains?—A Life Cycle Assessment Perspective. J. Clean. Prod. 2022, 380, 135039. [Google Scholar] [CrossRef]
- Atiwesh, G.; Mikhael, A.; Parrish, C.C.; Banoub, J.; Le, T.A.T. Environmental Impact of Bioplastic Use: A Review. Heliyon 2021, 7, e07918. [Google Scholar] [CrossRef]
- George, A.; Sanjay, M.R.; Sriusk, R.; Parameswaranpillai, J.; Siengchin, S. A Comprehensive Review on Chemical Properties and Applications of Biopolymers and Their Composites. Int. J. Biol. Macromol. 2020, 154, 329–338. [Google Scholar] [CrossRef]
- Bugnicourt, E.; Cinelli, P.; Lazzeri, A.; Alvarez, V. Polyhydroxyalkanoate (PHA): Review of Synthesis, Characteristics, Processing and Potential Applications in Packaging. Express Polym. Lett. 2014, 8, 791–808. [Google Scholar] [CrossRef]
- Rehakova, V.; Pernicova, I.; Kourilova, X.; Sedlacek, P.; Musilova, J.; Sedlar, K.; Koller, M.; Kalina, M.; Obruca, S. Biosynthesis of Versatile PHA Copolymers by Thermophilic Members of the Genus Aneurinibacillus. Int. J. Biol. Macromol. 2022, 225, 1588–1598. [Google Scholar] [CrossRef]
- Laycock, B.; Halley, P.; Pratt, S.; Werker, A.; Lant, P. The Chemomechanical Properties of Microbial Polyhydroxyalkanoates. Prog. Polym. Sci. 2013, 38, 536–583. [Google Scholar] [CrossRef]
- Jurasek, L.; Marchessault, R.H. Polyhydroxyalkanoate (PHA) Granule Formation in Ralstonia Eutropha Cells: A Computer Simulation. Appl. Microbiol. Biotechnol. 2004, 64, 611–617. [Google Scholar] [CrossRef]
- Koller, M.; Mukherjee, A. Polyhydroxyalkanoates (PHAs)—Production, Properties, and Biodegradation. In Biodegradable Polymers in the Circular Plastics Economy; John Wiley & Sons: Hoboken, NJ, USA, 2022; ISBN 9783527827589. [Google Scholar]
- Cho, J.Y.; Lee Park, S.; Lee, H.J.; Kim, S.H.; Suh, M.J.; Ham, S.; Bhatia, S.K.; Gurav, R.; Park, S.H.; Park, K.; et al. Polyhydroxyalkanoates (PHAs) Degradation by the Newly Isolated Marine Bacillus Sp. JY14. Chemosphere 2021, 283, 131172. [Google Scholar] [CrossRef]
- Palai, B.; Biswal, M.; Mohanty, S.; Nayak, S.K. In Situ Reactive Compatibilization of Polylactic Acid (PLA) and Thermoplastic Starch (TPS) Blends; Synthesis and Evaluation of Extrusion Blown Films Thereof. Ind. Crops Prod. 2019, 141, 111748. [Google Scholar] [CrossRef]
- Zdanowicz, M. Starch Treatment with Deep Eutectic Solvents, Ionic Liquids and Glycerol. A Comparative Study. Carbohydr. Polym. 2020, 229, 115574. [Google Scholar] [CrossRef]
- Jumaidin, R.; Mohd Zainel, S.N.; Sapuan, S.M. Processing of Thermoplastic Starch. In Advanced Processing, Properties, and Applications of Starch and Other Bio-Based Polymers; Elsevier: Amsterdam, The Netherlands, 2020; Volume 11, pp. 11–19. [Google Scholar] [CrossRef]
- Bangar, S.P.; Whiteside, W.S.; Ashogbon, A.O.; Kumar, M. Recent Advances in Thermoplastic Starches for Food Packaging: A Review. Food Packag. Shelf Life 2021, 30, 100743. [Google Scholar] [CrossRef]
- Ju, Q.; Tang, Z.; Shi, H.; Zhu, Y.; Shen, Y.; Wang, T. Thermoplastic Starch Based Blends as a Highly Renewable Filament for Fused Deposition Modeling 3D Printing. Int. J. Biol. Macromol. 2022, 219, 175–184. [Google Scholar] [CrossRef]
- Bortolatto, R.; Bittencourt, P.R.S.; Yamashita, F. Biodegradable Starch/Polyvinyl Alcohol Composites Produced by Thermoplastic Injection Containing Cellulose Extracted from Soybean Hulls (Glycine max L.). Ind. Crops Prod. 2022, 176, 114383. [Google Scholar] [CrossRef]
- Hejna, A.; Barczewski, M.; Kosmela, P.; Mysiukiewicz, O.; Aniśko, J.; Sulima, P.; Andrzej Przyborowski, J.; Reza Saeb, M. The Impact of Thermomechanical and Chemical Treatment of Waste Brewers’ Spent Grain and Soil Biodegradation of Sustainable Mater-Bi-Based Biocomposites. Waste Manag. 2022, 154, 260–271. [Google Scholar] [CrossRef] [PubMed]
- Souza, A.C.; Benze, R.; Ferrão, E.S.; Ditchfield, C.; Coelho, A.C.V.; Tadini, C.C. Cassava Starch Biodegradable Films: Influence of Glycerol and Clay Nanoparticles Content on Tensile and Barrier Properties and Glass Transition Temperature. LWT-Food Sci. Technol. 2012, 46, 110–117. [Google Scholar] [CrossRef]
- Oleyaei, S.A.; Zahedi, Y.; Ghanbarzadeh, B.; Moayedi, A.A. Modification of Physicochemical and Thermal Properties of Starch Films by Incorporation of TiO2 Nanoparticles. Int. J. Biol. Macromol. 2016, 89, 256–264. [Google Scholar] [CrossRef]
- Ashothaman, A.; Sudha, J.; Senthilkumar, N. A Comprehensive Review on Biodegradable Polylactic Acid Polymer Matrix Composite Material Reinforced with Synthetic and Natural Fibers. Mater. Today Proc. 2021, in press. [Google Scholar] [CrossRef]
- Soodergard, A.; Stolt, M. Properties of Lactic Acid Based Polymers and Their Correlation with Composition. Prog. Polym. Sci. 2002, 27, 1123–1163. [Google Scholar] [CrossRef]
- Rasal, R.M.; Janorkar, A.V.; Hirt, D.E. Poly(Lactic Acid) Modifications. Prog. Polym. Sci. 2010, 35, 338–356. [Google Scholar] [CrossRef]
- Sangeetha, V.H.; Deka, H.; Varghese, T.O.; Nayak, S.K. State of the Art and Future Prospectives of Poly(Lactic Acid) Based Blends and Composites. Polym. Compos. 2018, 39, 81–101. [Google Scholar] [CrossRef]
- Akbari, A.; Jawaid, M.; Hassan, A.; Balakrishnan, H. Epoxidized Natural Rubber Toughened Polylactic Acid/Talc Composites: Mechanical, Thermal, and Morphological Properties. J. Compos. Mater. 2014, 48, 769–781. [Google Scholar] [CrossRef]
- Deghiche, A.; Haddaoui, N.; Zerriouh, A.; Fenni, S.E.; Cavallo, D.; Erto, A.; Benguerba, Y. Effect of the Stearic Acid-Modified TiO2 on PLA Nanocomposites: Morphological and Thermal Properties at the Microscopic Scale. J. Environ. Chem. Eng. 2021, 9, 106541. [Google Scholar] [CrossRef]
- Castro-Aguirre, E.; Iñiguez-Franco, F.; Samsudin, H.; Fang, X.; Auras, R. Poly(Lactic Acid)—Mass Production, Processing, Industrial Applications, and End of Life. Adv. Drug Deliv. Rev. 2016, 107, 333–366. [Google Scholar] [CrossRef] [PubMed]
- Woodruff, M.A.; Hutmacher, D.W. The Return of a Forgotten Polymer—Polycaprolactone in the 21st Century. Prog. Polym. Sci. 2010, 35, 1217–1256. [Google Scholar] [CrossRef]
- Prajapati, S.; Gogoi, R.; Tyagi, V.K.; Talwar, M.; Kumar, M.; Chaudhari, C.V. Effect of Gamma Irradiation on Shape Memory, Thermal and Mechanical Properties of Polycaprolactone. Radiat. Phys. Chem. 2023, 204, 110671. [Google Scholar] [CrossRef]
- Bartnikowski, M.; Dargaville, T.R.; Ivanovski, S.; Hutmacher, D.W. Degradation Mechanisms of Polycaprolactone in the Context of Chemistry, Geometry and Environment. Prog. Polym. Sci. 2019, 96, 1–20. [Google Scholar] [CrossRef]
- Salvekar, A.V.; Zhou, Y.; Huang, W.M.; Wong, Y.S.; Venkatraman, S.S.; Shen, Z.; Zhu, G.; Cui, H.P. Shape/Temperature Memory Phenomena in Un-Crosslinked Poly-ε-Caprolactone (PCL). Eur. Polym. J. 2015, 72, 282–295. [Google Scholar] [CrossRef]
- Zhou, X.M. Synthesis and Characterization of Polyester Copolymers Based on Poly(Butylene Succinate) and Poly(Ethylene Glycol). Mater. Sci. Eng. C 2012, 32, 2459–2463. [Google Scholar] [CrossRef]
- Sisti, L.; Totaro, G.; Marchese, P. PBS Makes Its Entrance into the Family of Biobased Plastics. Biodegrad. Biobased Polym. Environ. Biomed. Appl. 2016, 7, 225–285. [Google Scholar] [CrossRef]
- Mottie, A.; Mousavi, S.M.; Saljoughi, E.; Kiani, S. Preparation and Characterization of Biodegradable Polybutylene Succinate/Polyurethane Membrane for Harvesting of Chlorella Sorokiniana Microalgae. Algal Res. 2022, 63, 102658. [Google Scholar] [CrossRef]
- Roostaie, A.; Haji Abdolrasouli, M.; Mohammadiazar, S.; Hosseinipour, A. Polybutylene Succinate/Modified Cellulose Bionanocomposites as Sorbent for Needle Trap Microextraction. J. Chromatogr. A 2023, 1689, 463715. [Google Scholar] [CrossRef] [PubMed]
- Ghaffarian, V.; Mousavi, S.M.; Bahreini, M.; Afifi, M. Preparation and Characterization of Biodegradable Blend Membranes of PBS/CA. J. Polym. Environ. 2013, 21, 1150–1157. [Google Scholar] [CrossRef]
- Rafiqah, S.A.; Khalina, A.; Harmaen, A.S.; Tawakkal, I.A.; Zaman, K.; Asim, M.; Nurrazi, M.N.; Lee, C.H. A Review on Properties and Application of Bio-based Poly(Butylene Succinate). Polymers 2021, 13, 1436. [Google Scholar] [CrossRef] [PubMed]
- Jian, J.; Xiangbin, Z.; Xianbo, H. An Overview on Synthesis, Properties and Applications of Poly(Butylene-Adipate-Co-Terephthalate)–PBAT. Adv. Ind. Eng. Polym. Res. 2020, 3, 19–26. [Google Scholar] [CrossRef]
- Fu, Y.; Wu, G.; Bian, X.; Zeng, J.; Weng, Y.; Polymeric, F. Biodegradation Behavior of Poly(Butylene Adipate-Co-Terephthalate) (PBAT), Poly(Lactic Acid) (PLA), and Their Blend in Freshwater Sediment. Molecules 2020, 25, 3946. [Google Scholar] [CrossRef]
- Moustafa, H.; El Kissi, N.; Abou-Kandil, A.I.; Abdel-Aziz, M.S.; Dufresne, A. PLA/PBAT Bionanocomposites with Antimicrobial Natural Rosin for Green Packaging. ACS Appl. Mater. Interfaces 2017, 9, 20132–20141. [Google Scholar] [CrossRef]
- Signori, F.; Coltelli, M.B.; Bronco, S. Thermal Degradation of Poly(Lactic Acid) (PLA) and Poly(Butylene Adipate-Co-Terephthalate) (PBAT) and Their Blends upon Melt Processing. Polym. Degrad. Stab. 2009, 94, 74–82. [Google Scholar] [CrossRef]
- Chen, X.; Zeng, Z.; Ju, Y.; Zhou, M.; Bai, H.; Fu, Q. Design of Biodegradable PLA/PBAT Blends with Balanced Toughness and Strength via Interfacial Compatibilization and Dynamic Vulcanization. Polymer 2023, 266, 125620. [Google Scholar] [CrossRef]
- Appels, L.; Lauwers, J.; Degrve, J.; Helsen, L.; Lievens, B.; Willems, K.; Van Impe, J.; Dewil, R. Anaerobic Digestion in Global Bio-Energy Production: Potential and Research Challenges. Renew. Sustain. Energy Rev. 2011, 15, 4295–4301. [Google Scholar] [CrossRef]
- Mata-Alvarez, J.; Dosta, J.; Romero-Güiza, M.S.; Fonoll, X.; Peces, M.; Astals, S. A Critical Review on Anaerobic Co-Digestion Achievements between 2010 and 2013. Renew. Sustain. Energy Rev. 2014, 36, 412–427. [Google Scholar] [CrossRef]
- Batstone, D.J.; Hülsen, T.; Oehmen, A. Metabolic Modelling of Mixed Culture Anaerobic Microbial Processes. Curr. Opin. Biotechnol. 2019, 57, 137–144. [Google Scholar] [CrossRef] [PubMed]
- Cecchi, F.; Bolzonella, D.; Pavan, P.; Macé, S.; Mata-Alvarez, J. Anaerobic Digestion of the Organic Fraction of Municipal Solid Waste for Methane Production: Research and Industrial Application. Compr. Biotechnol. 2011, 6, 411–420. [Google Scholar] [CrossRef]
- Batstone, D.J.; Hülsen, T.; Mehta, C.M.; Keller, J. Platforms for Energy and Nutrient Recovery from Domestic Wastewater: A Review. Chemosphere 2015, 140, 2–11. [Google Scholar] [CrossRef]
- Buswell, A.M.; Mueller, H.F. Mechanism of Methane Fermentation. Ind. Eng. Chem. 1952, 44, 550–552. [Google Scholar] [CrossRef]
- Ryan, C.A.; Billington, S.L.; Criddle, C.S. Methodology to Assess End-of-Life Anaerobic Biodegradation Kinetics and Methane Production Potential for Composite Materials. Compos. Part A Appl. Sci. Manuf. 2017, 95, 388–399. [Google Scholar] [CrossRef]
- Kale, G.; Kijchavengkul, T.; Auras, R.; Rubino, M.; Selke, S.E.; Singh, S.P. Compostability of Bioplastic Packaging Materials: An Overview. Macromol. Biosci. 2007, 7, 255–277. [Google Scholar] [CrossRef] [PubMed]
- Lim, B.K.H.; Thian, E.S. Biodegradation of Polymers in Managing Plastic Waste—A Review. Sci. Total Environ. 2022, 813, 151880. [Google Scholar] [CrossRef] [PubMed]
- Emadian, S.M.; Onay, T.T.; Demirel, B. Biodegradation of Bioplastics in Natural Environments. Waste Manag. 2017, 59, 526–536. [Google Scholar] [CrossRef] [PubMed]
- Massardier-Nageotte, V.; Pestre, C.; Cruard-Pradet, T.; Bayard, R. Aerobic and Anaerobic Biodegradability of Polymer Films and Physico-Chemical Characterization. Polym. Degrad. Stab. 2006, 91, 620–627. [Google Scholar] [CrossRef]
- Husárová, L.; Pekařová, S.; Stloukal, P.; Kucharzcyk, P.; Verney, V.; Commereuc, S.; Ramone, A.; Koutny, M. Identification of Important Abiotic and Biotic Factors in the Biodegradation of Poly(l-Lactic Acid). Int. J. Biol. Macromol. 2014, 71, 155–162. [Google Scholar] [CrossRef]
- Göpferich, A. Mechanisms of Polymer Degradation and Erosion1. In The Biomaterials: Silver Jubilee Compendium; Elsevier: Amsterdam, The Netherlands, 1996; Volume 17, pp. 117–128. [Google Scholar] [CrossRef]
- Mergaert, J.; Glorieux, G.; Hauben, L.; Storms, V.; Mau, M.; Swings, J. Biodegradation of Poly(3-Hydroxyalkanoates) in Anaerobic Sludge and Characterization of a Poly(3-Hydroxyalkanoates) Degrading Anaerobic Bacterium. Syst. Appl. Microbiol. 1996, 19, 407–413. [Google Scholar] [CrossRef]
- Nair, N.R.; Sekhar, V.C.; Nampoothiri, K.M.; Pandey, A. Biodegradation of Biopolymers. In Current Developments in Biotechnology and Bioengineering; Elsevier: Amsterdam, The Netherlands, 2017; pp. 739–755. [Google Scholar] [CrossRef]
- Lucas, N.; Bienaime, C.; Belloy, C.; Queneudec, M.; Silvestre, F.; Nava-Saucedo, J.E. Polymer Biodegradation: Mechanisms and Estimation Techniques—A Review. Chemosphere 2008, 73, 429–442. [Google Scholar] [CrossRef]
- Heimowska, A.; Morawska, M.; Bocho-Janiszewska, A. Biodegradation of Poly(ϵ-Caprolactone) in Natural Water Environments. Pol. J. Chem. Technol. 2017, 19, 120–126. [Google Scholar] [CrossRef]
- Taniguchi, I.; Nakano, S.; Nakamura, T.; El-Salmawy, A.; Miyamoto, M.; Kimura, Y. Mechanism of Enzymatic Hydrolysis of Poly(Butylene Succinate) and Poly(Butylene Succinate-Co-L-Lactate) with a Lipase from Pseudomonas Cepacia. Macromol. Biosci. 2002, 2, 447–455. [Google Scholar] [CrossRef]
- Lee, C.W.; Kimura, Y.; Chung, J.-D. Mechanism of Enzymatic Degradation of Poly(Butylene Succinate). Macromol. Res. 2008, 16, 651–658. [Google Scholar] [CrossRef]
- Karamanlioglu, M.; Preziosi, R.; Robson, G.D. Abiotic and Biotic Environmental Degradation of the Bioplastic Polymer Poly(Lactic Acid): A Review. Polym. Degrad. Stab. 2017, 137, 122–130. [Google Scholar] [CrossRef]
- Leroux, A.; Ngoc Nguyen, T.; Rangel, A.; Cacciapuoti, I.; Duprez, D.; Castner, D.G.; Migonney, V. Long-Term Hydrolytic Degradation Study of Polycaprolactone Films and Fibers Grafted with Poly(Sodium Styrene Sulfonate): Mechanism Study and Cell Response. Biointerphases 2020, 15, 061006. [Google Scholar] [CrossRef]
- Mat Yasin, N.; Akkermans, S.; Van Impe, J.F.M. Enhancing the Biodegradation of (Bio)Plastic through Pretreatments: A Critical Review. Waste Manag. 2022, 150, 1–12. [Google Scholar] [CrossRef] [PubMed]
- Zaborowska, M.; Bernat, K.; Pszczółkowski, B.; Cydzik-Kwiatkowska, A.; Kulikowska, D.; Wojnowska-Baryła, I. Multi-Faceted Analysis of Thermophilic Anaerobic Biodegradation of Poly(Lactic Acid)-Based Material. Waste Manag. 2023, 155, 40–52. [Google Scholar] [CrossRef] [PubMed]
- Oda, Y.; Yonetsu, A.; Urakami, T.; Tonomura, K. Degradation of Polylactide by Commercial Proteases. J. Polym. Environ. 2000, 8, 29–32. [Google Scholar] [CrossRef]
- Rosato, A.; Romano, A.; Totaro, G.; Celli, A.; Fava, F.; Zanaroli, G.; Sisti, L. Enzymatic Degradation of the Most Common Aliphatic Bio-Polyesters and Evaluation of the Mechanisms Involved: An Extended Study. Polymers 2022, 14, 1850. [Google Scholar] [CrossRef]
- Li, F.; Hu, X.; Guo, Z.; Wang, Z.; Wang, Y.; Liu, D.; Xia, H.; Chen, S. Purification and Characterization of a Novel Poly(Butylene Succinate)-Degrading Enzyme from Aspergillus Sp. XH0501-A. World J. Microbiol. Biotechnol. 2011, 27, 2591–2596. [Google Scholar] [CrossRef]
- Shi, K.; Su, T.; Wang, Z. Comparison of Poly(Butylene Succinate) Biodegradation by Fusarium Solani Cutinase and Candida Antarctica Lipase. Polym. Degrad. Stab. 2019, 164, 55–60. [Google Scholar] [CrossRef]
- Wallace, P.W.; Haernvall, K.; Ribitsch, D.; Zitzenbacher, S.; Schittmayer, M.; Steinkellner, G.; Gruber, K.; Guebitz, G.M.; Birner-Gruenberger, R. PpEst Is a Novel PBAT Degrading Polyesterase Identified by Proteomic Screening of Pseudomonas Pseudoalcaligenes. Appl. Microbiol. Biotechnol. 2017, 101, 2291–2303. [Google Scholar] [CrossRef]
- Jia, H.; Zhang, M.; Weng, Y.; Zhao, Y.; Li, C.; Kanwal, A. Degradation of Poly(Butylene Adipate-Co-Terephthalate) by Stenotrophomonas Sp. YCJ1 Isolated from Farmland Soil. J. Environ. Sci. 2021, 103, 50–58. [Google Scholar] [CrossRef]
- Araújo, M.A.; Cunha, A.M.; Mota, M. Enzymatic Degradation of Starch-Based Thermoplastic Compounds Used in Protheses: Identification of the Degradation Products in Solution. Biomaterials 2004, 25, 2687–2693. [Google Scholar] [CrossRef]
- Rosa, D.S.; Carvalho, C.L.; Gaboardi, F.; Rezende, M.L.; Tavares, M.I.B.; Petro, M.S.M.; Calil, M.R. Evaluation of Enzymatic Degradation Based on the Quantification of Glucose in Thermoplastic Starch and Its Characterization by Mechanical and Morphological Properties and NMR Measurements. Polym. Test. 2008, 27, 827–834. [Google Scholar] [CrossRef]
- Gu, J.D. Microbiological Deterioration and Degradation of Synthetic Polymeric Materials: Recent Research Advances. Int. Biodeterior. Biodegrad. 2003, 52, 69–91. [Google Scholar] [CrossRef]
- Bandini, F.; Vaccari, F.; Soldano, M.; Piccinini, S.; Misci, C.; Bellotti, G.; Taskin, E.; Cocconcelli, P.S.; Puglisi, E. Rigid Bioplastics Shape the Microbial Communities Involved in the Treatment of the Organic Fraction of Municipal Solid Waste. Front. Microbiol. 2022, 13, 1035561. [Google Scholar] [CrossRef]
- Abraham, A.; Park, H.; Choi, O.; Sang, B.-I. Anaerobic Co-Digestion of Bioplastics as a Sustainable Mode of Waste Management with Improved Energy Production—A Review. Bioresour. Technol. 2021, 322, 124537. [Google Scholar] [CrossRef] [PubMed]
- Sundberg, C.; Al-Soud, W.A.; Larsson, M.; Alm, E.; Yekta, S.S.; Svensson, B.H.; Sørensen, S.J.; Karlsson, A. 454 Pyrosequencing Analyses of Bacterial and Archaeal Richness in 21 Full-Scale Biogas Digesters. FEMS Microbiol. Ecol. 2013, 85, 612–626. [Google Scholar] [CrossRef] [PubMed]
- Cazaudehore, G.; Monlau, F.; Gassie, C.; Lallement, A.; Guyoneaud, R. Active Microbial Communities during Biodegradation of Biodegradable Plastics by Mesophilic and Thermophilic Anaerobic Digestion. J. Hazard. Mater. 2023, 443, 130208. [Google Scholar] [CrossRef]
- Cazaudehore, G.; Monlau, F.; Gassie, C.; Lallement, A.; Guyoneaud, R. Methane Production and Active Microbial Communities during Anaerobic Digestion of Three Commercial Biodegradable Coffee Capsules under Mesophilic and Thermophilic Conditions. Sci. Total Environ. 2021, 784, 146972. [Google Scholar] [CrossRef] [PubMed]
- Abou-Zeid, D.-M.; Müller, R.-J.; Deckwer, W.-D. Degradation of Natural and Synthetic Polyesters under Anaerobic Conditions. J. Biotechnol. 2001, 86, 113–126. [Google Scholar] [CrossRef]
- Thakur, S.; Chaudhary, J.; Sharma, B.; Verma, A.; Tamulevicius, S.; Thakur, V.K. Sustainability of Bioplastics: Opportunities and Challenges. Curr. Opin. Green Sustain. Chem. 2018, 13, 68–75. [Google Scholar] [CrossRef]
- Cazaudehore, G.; Guyoneaud, R.; Lallement, A.; Gassie, C.; Monlau, F. Biochemical Methane Potential and Active Microbial Communities during Anaerobic Digestion of Biodegradable Plastics at Different Inoculum-Substrate Ratios. J. Environ. Manag. 2022, 324, 116369. [Google Scholar] [CrossRef]
- Yagi, H.; Ninomiya, F.; Funabashi, M.; Kunioka, M. Mesophilic Anaerobic Biodegradation Test and Analysis of Eubacteria and Archaea Involved in Anaerobic Biodegradation of Four Specified Biodegradable Polyesters. Polym. Degrad. Stab. 2014, 110, 278–283. [Google Scholar] [CrossRef]
- Yagi, H.; Ninomiya, F.; Funabashi, M.; Kunioka, M. Thermophilic Anaerobic Biodegradation Test and Analysis of Eubacteria Involved in Anaerobic Biodegradation of Four Specified Biodegradable Polyesters. Polym. Degrad. Stab. 2013, 98, 1182–1187. [Google Scholar] [CrossRef]
- Tseng, H.-C.; Fujimoto, N.; Ohnishi, A. Biodegradability and Methane Fermentability of Polylactic Acid by Thermophilic Methane Fermentation. Bioresour. Technol. Rep. 2019, 8, 100327. [Google Scholar] [CrossRef]
- Peng, W.; Wang, Z.; Shu, Y.; Lü, F.; Zhang, H.; Shao, L.; He, P. Fate of a Biobased Polymer via High-Solid Anaerobic Co-Digestion with Food Waste and Following Aerobic Treatment: Insights on Changes of Polymer Physicochemical Properties and the Role of Microbial and Fungal Communities. Bioresour. Technol. 2022, 343, 126079. [Google Scholar] [CrossRef] [PubMed]
- Hiraishi, T.; Taguchi, S. Protein Engineering of Enzymes Involved in Bioplastic Metabolism. In Protein Engineering—Technology and Application; InTech: Rijeka, Croatia, 2013. [Google Scholar] [CrossRef]
- Kaushal, J.; Khatri, M.; Arya, S.K. Recent Insight into Enzymatic Degradation of Plastics Prevalent in the Environment: A Mini—Review. Clean. Eng. Technol. 2021, 2, 100083. [Google Scholar] [CrossRef]
- Mistry, A.N.; Kachenchart, B.; Pinyakong, O.; Assavalapsakul, W.; Jitpraphai, S.M.; Somwangthanaroj, A.; Luepromchai, E. Bioaugmentation with a Defined Bacterial Consortium: A Key to Degrade High Molecular Weight Polylactic Acid during Traditional Composting. Bioresour. Technol. 2023, 367, 128237. [Google Scholar] [CrossRef]
- van Eck, N.J.; Waltman, L. Software Survey: VOSviewer, a Computer Program for Bibliometric Mapping. Scientometrics 2010, 84, 523–538. [Google Scholar] [CrossRef]
- Aria, M.; Cuccurullo, C. Bibliometrix: An R-Tool for Comprehensive Science Mapping Analysis. J. Informetr. 2017, 11, 959–975. [Google Scholar] [CrossRef]
- Cazaudehore, G.; Guyoneaud, R.; Evon, P.; Martin-Closas, L.; Pelacho, A.M.; Raynaud, C.; Monlau, F. Can Anaerobic Digestion Be a Suitable End-of-Life Scenario for Biodegradable Plastics? A Critical Review of the Current Situation, Hurdles, and Challenges. Biotechnol. Adv. 2022, 56, 107916. [Google Scholar] [CrossRef]
- Vardar, S.; Demirel, B.; Onay, T.T. Degradability of Bioplastics in Anaerobic Digestion Systems and Their Effects on Biogas Production: A Review. Rev. Environ. Sci. Bio/Technol. 2022, 21, 205–223. [Google Scholar] [CrossRef]
- Rohatgi, A. WebPlotDigitizer: Version 4.6. Pacifica, California, USA. 2022. Available online: https://automeris.io/WebPlotDigitizer (accessed on 7 March 2023).
- European Committee for Standardisation. EN 13432: Packaging—Requirements for Packaging Recoverable through Composting and Biodegradation; European Committee for Standardisation: Brussels, Belgium, 2008. [Google Scholar]
- Puechner, P.; Mueller, W.-R.; Bardtke, D. Assessing the Biodegradation Potential of Polymers in Screening- and Long-Term Test Systems. J. Environ. Polym. Degrad. 1995, 3, 133–143. [Google Scholar] [CrossRef]
- Battista, F.; Frison, N.; Bolzonella, D. Can Bioplastics Be Treated in Conventional Anaerobic Digesters for Food Waste Treatment? Environ. Technol. Innov. 2021, 22, 101393. [Google Scholar] [CrossRef]
- Zhang, W.; Heaven, S.; Banks, C.J. Degradation of Some EN13432 Compliant Plastics in Simulated Mesophilic Anaerobic Digestion of Food Waste. Polym. Degrad. Stab. 2018, 147, 76–88. [Google Scholar] [CrossRef]
- Calabrò, P.S.; Folino, A.; Fazzino, F.; Komilis, D. Preliminary Evaluation of the Anaerobic Biodegradability of Three Biobased Materials Used for the Production of Disposable Plastics. J. Hazard. Mater. 2020, 390, 121653. [Google Scholar] [CrossRef] [PubMed]
- Kosheleva, A.; Gadaleta, G.; De Gisi, S.; Heerenklage, J.; Picuno, C.; Notarnicola, M.; Kuchta, K.; Sorrentino, A. Co-Digestion of Food Waste and Cellulose-Based Bioplastic: From Batch to Semi-Continuous Scale Investigation. Waste Manag. 2023, 156, 272–281. [Google Scholar] [CrossRef] [PubMed]
- Day, M.; Shaw, K.; Cooney, D. Biodegradability: An Assessment of Commercial Polymers According to the Canadian Method for Anaerobic Conditions. J. Environ. Polym. Degrad. 1994, 2, 121–127. [Google Scholar] [CrossRef]
- Scandola, M.; Finelli, L.; Sarti, B.; Mergaert, J.; Swings, J.; Ruffieux, K.; Wintermantel, E.; Boelens, J.; Wilde, B.D.E.; Müller, W.-R.; et al. Biodegradation of a Starch Containing Thermoplastic in Standardized Test Systems. J. Macromol. Sci. Part A 1998, 35, 589–608. [Google Scholar] [CrossRef]
- Mohee, R.; Unmar, G.D.; Mudhoo, A.; Khadoo, P. Biodegradability of Biodegradable/Degradable Plastic Materials under Aerobic and Anaerobic Conditions. Waste Manag. 2008, 28, 1624–1629. [Google Scholar] [CrossRef] [PubMed]
- Zaborowska, M.; Bernat, K.; Pszczółkowski, B.; Wojnowska-Baryła, I.; Kulikowska, D. Anaerobic Degradability of Commercially Available Bio-Based and Oxo-Degradable Packaging Materials in the Context of Their End of Life in the Waste Management Strategy. Sustainability 2021, 13, 6818. [Google Scholar] [CrossRef]
- Svoboda, P.; Dvorackova, M.; Svobodova, D. Influence of Biodegradation on Crystallization of Poly (Butylene Adipate-Co-Terephthalate). Polym. Adv. Technol. 2019, 30, 552–562. [Google Scholar] [CrossRef]
- García-Depraect, O.; Lebrero, R.; Rodriguez-Vega, S.; Bordel, S.; Santos-Beneit, F.; Martínez-Mendoza, L.J.; Aragão Börner, R.; Börner, T.; Muñoz, R. Biodegradation of Bioplastics under Aerobic and Anaerobic Aqueous Conditions: Kinetics, Carbon Fate and Particle Size Effect. Bioresour. Technol. 2022, 344, 126265. [Google Scholar] [CrossRef] [PubMed]
- Shin, P.K.; Kim, M.H.; Kim, J.M. Biodegradability of Degradable Plastics Exposed to Anaerobic Digested Sludge and Simulated Landfill Conditions. J. Environ. Polym. Degrad. 1997, 5, 33–39. [Google Scholar] [CrossRef]
- Cho, H.S.; Moon, H.S.; Kim, M.; Nam, K.; Kim, J.Y. Biodegradability and Biodegradation Rate of Poly(Caprolactone)-Starch Blend and Poly(Butylene Succinate) Biodegradable Polymer under Aerobic and Anaerobic Environment. Waste Manag. 2011, 31, 475–480. [Google Scholar] [CrossRef]
- Narancic, T.; Verstichel, S.; Reddy Chaganti, S.; Morales-Gamez, L.; Kenny, S.T.; De Wilde, B.; Babu Padamati, R.; O’Connor, K.E. Biodegradable Plastic Blends Create New Possibilities for End-of-Life Management of Plastics but They Are Not a Panacea for Plastic Pollution. Environ. Sci. Technol. 2018, 52, 10441–10452. [Google Scholar] [CrossRef]
- Dvorackova, M.; Svoboda, P.; Kostka, L.; Pekarova, S. Influence of Biodegradation in Thermophilic Anaerobic Aqueous Conditions on Crystallization of Poly(Butylene Succinate). Polym. Test. 2015, 47, 59–70. [Google Scholar] [CrossRef]
- Abou-Zeid, D.-M.; Müller, R.-J.; Deckwer, W.-D. Biodegradation of Aliphatic Homopolyesters and Aliphatic-Aromatic Copolyesters by Anaerobic Microorganisms. Biomacromolecules 2004, 5, 1687–1697. [Google Scholar] [CrossRef]
- Federle, T.W.; Barlaz, M.A.; Pettigrew, C.A.; Kerr, K.M.; Kemper, J.J.; Nuck, B.A.; Schechtman, L.A. Anaerobic Biodegradation of Aliphatic Polyesters: Poly(3-Hydroxybutyrate-Co-3-Hydroxyoctanoate) and Poly(ε-Caprolactone). Biomacromolecules 2002, 3, 813–822. [Google Scholar] [CrossRef]
- Nunziato, R.; Hedge, S.; Dell, E.T.; Thomas Lewis, C.; Diaz, C. Mechanical Properties and Anaerobic Biodegradation of Thermoplastic Starch/Polycaprolactone Blends. In Proceedings of the 21st IAPRI World Conference on Packaging, Zhuai, China, 19–22 June 2018. [Google Scholar]
- Gartiser, S.; Wallrabenstein, M.; Stiene, G. Assessment of Several Test Methods for the Determination of the Anaerobic Biodegradability of Polymers. J. Environ. Polym. Degrad. 1998, 6, 159–173. [Google Scholar] [CrossRef]
- Hubackova, J.; Dvorackova, M.; Svoboda, P.; Mokrejs, P.; Kupec, J.; Pozarova, I.; Alexy, P.; Bugaj, P.; Machovsky, M.; Koutny, M. Influence of Various Starch Types on PCL/Starch Blends Anaerobic Biodegradation. Polym. Test. 2013, 32, 1011–1019. [Google Scholar] [CrossRef]
- Greene, J. Biodegradation of Biodegradable and Compostable Plastics under Industrial Compost, Marine and Anaerobic Digestion. Environ. Sci. Pollut. Res. 2018, 1, 13–18. [Google Scholar]
- Soda, S.; Iwama, K.; Yokoe, K.; Okada, Y.; Ike, M. High Methane Production Potential of Activated Sludge Accumulating Polyhydroxyalkanoates in Anaerobic Digestion. Biochem. Eng. J. 2016, 114, 283–287. [Google Scholar] [CrossRef]
- Majone, M.; Riccardi, C.; Rolle, E.; Scarinci, A. Assessing Anaerobic Biodegradability of Polymeric Materials under Acidogenic or Methanogenic Conditions. Toxicol. Environ. Chem. 1995, 48, 103–118. [Google Scholar] [CrossRef]
- Budwill, K.; Fedorak, P.M.; Page, W.J. Methanogenic Degradation of Poly (3-Hydroxyalkanoates). Appl. Environ. Microbiol. 1992, 58, 1398–1401. [Google Scholar] [CrossRef] [PubMed]
- Gutierrez-Wing, M.T.; Stevens, B.; Theegala, C.; Negulescu, I.; Rusch, K. Anaerobic Biodegradation of Polyhydroxybutyrate (PHB) in Municipal Sewage Sludge. J. Environ. Eng. 2010, 136, 709–718. [Google Scholar] [CrossRef]
- Wang, S.; Lydon, K.A.; White, E.M.; Grubbs, J.B.I.I.I.; Lipp, E.K.; Locklin, J.; Jambeck, J.R. Biodegradation of Poly(3-Hydroxybutyrate-Co-3-Hydroxyhexanoate) Plastic under Anaerobic Sludge and Aerobic Seawater Conditions: Gas Evolution and Microbial Diversity. Environ. Sci. Technol. 2018, 52, 5700–5709. [Google Scholar] [CrossRef] [PubMed]
- Ryan, C.A.; Billington, S.L.; Criddle, C.S. Biocomposite Fiber-Matrix Treatments That Enhance In-Service Performance Can Also Accelerate End-of-Life Fragmentation and Anaerobic Biodegradation to Methane. J. Polym. Environ. 2018, 26, 1715–1726. [Google Scholar] [CrossRef]
- Ryan, C.A.; Billington, S.L.; Criddle, C.S. Assessment of Models for Anaerobic Biodegradation of a Model Bioplastic: Poly(Hydroxybutyrate-Co-Hydroxyvalerate). Bioresour. Technol. 2017, 227, 205–213. [Google Scholar] [CrossRef] [PubMed]
- Reischwitz, A.; Stoppok, E.; Buchholz, K. Anaerobic Degradation of Poly-3-Hydroxybutyrate and Poly-3-Hydroxybutyrate-Co-3-Hydroxyvalerate. Biodegradation 1997, 8, 313–319. [Google Scholar] [CrossRef]
- Nachod, B.; Keller, E.; Hassanein, A.; Lansing, S. Assessment of Petroleum-Based Plastic and Bioplastics Degradation Using Anaerobic Digestion. Sustainability 2021, 13, 13295. [Google Scholar] [CrossRef]
- Vargas, F.L.; Welt, B.A.; Teixeira, A.; Pullammanappallil, P.; Balaban, M.; Beatty, C. Biodegradation of Treated Polylactic Acid (PLA) under Anaerobic Conditions. Trans. ASABE 2009, 52, 1025–1030. [Google Scholar] [CrossRef]
- Itävaara, M.; Karjomaa, S.; Selin, J.-F. Biodegradation of Polylactide in Aerobic and Anaerobic Thermophilic Conditions. Chemosphere 2002, 46, 879–885. [Google Scholar] [CrossRef] [PubMed]
- Bernat, K.; Kulikowska, D.; Wojnowska-Baryła, I.; Zaborowska, M.; Pasieczna-Patkowska, S. Thermophilic and Mesophilic Biogas Production from PLA-Based Materials: Possibilities and Limitations. Waste Manag. 2021, 119, 295–305. [Google Scholar] [CrossRef]
- Mu, L.; Zhang, L.; Ma, J.; Zhu, K.; Chen, C.; Li, A. Enhanced Biomethanization of Waste Polylactic Acid Plastic by Mild Hydrothermal Pretreatment: Taguchi Orthogonal Optimization and Kinetics Modeling. Waste Manag. 2021, 126, 585–596. [Google Scholar] [CrossRef] [PubMed]
- Sutisa Samitthiwetcharong; Orathai Chavalparit Enhancement of Methane Production from Alkaline Pretreated Poly (Lactic Acid) Waste by the Co-Digestion Process. GEOMATE J. 2019, 16, 171–176.
- Hobbs, S.R.; Parameswaran, P.; Astmann, B.; Devkota, J.P.; Landis, A.E. Anaerobic Codigestion of Food Waste and Polylactic Acid: Effect of Pretreatment on Methane Yield and Solid Reduction. Adv. Mater. Sci. Eng. 2019, 2019, 4715904. [Google Scholar] [CrossRef]
- Bandini, F.; Taskin, E.; Vaccari, F.; Soldano, M.; Piccinini, S.; Frache, A.; Remelli, S.; Menta, C.; Sandro Cocconcelli, P.; Puglisi, E. Anaerobic Digestion and Aerobic Composting of Rigid Biopolymers in Bio-Waste Treatment: Fate and Effects on the Final Compost. Bioresour. Technol. 2022, 351, 126934. [Google Scholar] [CrossRef]
- Cazaudehore, G.; Guyoneaud, R.; Vasmara, C.; Greuet, P.; Gastaldi, E.; Marchetti, R.; Leonardi, F.; Turon, R.; Monlau, F. Impact of Mechanical and Thermo-Chemical Pretreatments to Enhance Anaerobic Digestion of Poly(Lactic Acid). Chemosphere 2022, 297, 133986. [Google Scholar] [CrossRef]
- Kolstad, J.J.; Vink, E.T.H.; De Wilde, B.; Debeer, L. Assessment of Anaerobic Degradation of IngeoTM Polylactides under Accelerated Landfill Conditions. Polym. Degrad. Stab. 2012, 97, 1131–1141. [Google Scholar] [CrossRef]
- Russo, M.A.L.; O’Sullivan, C.; Rounsefell, B.; Halley, P.J.; Truss, R.; Clarke, W.P. The Anaerobic Degradability of Thermoplastic Starch: Polyvinyl Alcohol Blends: Potential Biodegradable Food Packaging Materials. Bioresour. Technol. 2009, 100, 1705–1710. [Google Scholar] [CrossRef]
- Liu, C.; Wachemo, A.C.; Tong, H.; Shi, S.; Zhang, L.; Yuan, H.; Li, X. Biogas Production and Microbial Community Properties during Anaerobic Digestion of Corn Stover at Different Temperatures. Bioresour. Technol. 2018, 261, 93–103. [Google Scholar] [CrossRef]
- Guo, M.; Trzcinski, A.P.; Stuckey, D.C.; Murphy, R.J. Anaerobic Digestion of Starch–Polyvinyl Alcohol Biopolymer Packaging: Biodegradability and Environmental Impact Assessment. Bioresour. Technol. 2011, 102, 11137–11146. [Google Scholar] [CrossRef]
- Ebrahimzade, I.; Ebrahimi-Nik, M.; Rohani, A.; Tedesco, S. Towards Monitoring Biodegradation of Starch-Based Bioplastic in Anaerobic Condition: Finding a Proper Kinetic Model. Bioresour. Technol. 2022, 347, 126661. [Google Scholar] [CrossRef] [PubMed]
- Shrestha, A.; van-Eerten Jansen, M.C.A.A.; Acharya, B. Biodegradation of Bioplastic Using Anaerobic Digestion at Retention Time as per Industrial Biogas Plant and International Norms. Sustainability 2020, 12, 4231. [Google Scholar] [CrossRef]
- Cucina, M.; Carlet, L.; De Nisi, P.; Somensi, C.A.; Giordano, A.; Adani, F. Degradation of Biodegradable Bioplastics under Thermophilic Anaerobic Digestion: A Full-Scale Approach. J. Clean. Prod. 2022, 368, 133232. [Google Scholar] [CrossRef]
- Cucina, M.; Soggia, G.; De Nisi, P.; Giordano, A.; Adani, F. Assessing the Anaerobic Degradability and the Potential Recovery of Biomethane from Different Biodegradable Bioplastics in a Full-Scale Approach. Bioresour. Technol. 2022, 354, 127224. [Google Scholar] [CrossRef]
- Boonmee, J.; Kositanont, C.; Leejarkpai, T. Biodegradation of Poly(Lactic Acid), Poly(Hydroxybutyrate-Co-Hydroxyvalerate), Poly(Butylene Succinate) and Poly(Butylene Adipate-Co-Terephthalate) under Anaerobic and Oxygen Limited Thermophilic Conditions. EnvironmentAsia 2016, 9, 107–115. [Google Scholar]
- Šmejkalová, P.; Kužníková, V.; Merna, J.; Hermanová, S. Anaerobic Digestion of Aliphatic Polyesters. Water Sci. Technol. 2016, 73, 2386–2393. [Google Scholar] [CrossRef]
- Yagi, H.; Ninomiya, F.; Funabashi, M.; Kunioka, M. Anaerobic Biodegradation Tests of Poly(Lactic Acid) and Polycaprolactone Using New Evaluation System for Methane Fermentation in Anaerobic Sludge. Polym. Degrad. Stab. 2009, 94, 1397–1404. [Google Scholar] [CrossRef]
- Yagi, H.; Ninomiya, F.; Funabashi, M.; Kunioka, M. Anaerobic Biodegradation of Poly (Lactic Acid) Film in Anaerobic Sludge. J. Polym. Environ. 2012, 20, 673–680. [Google Scholar] [CrossRef]
- Hegde, S.; Dell, E.; Lewis, C.; Trabold, T.A.; Diaz, C.A. Anaerobic Biodegradation of Bioplastic Packaging Materials. In Proceedings of the 21st IAPRI World Conference on Packaging, Zhuhai, China, 19–22 June 2018. [Google Scholar]
Disclaimer/Publisher’s Note: The statements, opinions and data contained in all publications are solely those of the individual author(s) and contributor(s) and not of MDPI and/or the editor(s). MDPI and/or the editor(s) disclaim responsibility for any injury to people or property resulting from any ideas, methods, instructions or products referred to in the content. |
© 2023 by the authors. Licensee MDPI, Basel, Switzerland. This article is an open access article distributed under the terms and conditions of the Creative Commons Attribution (CC BY) license (https://creativecommons.org/licenses/by/4.0/).






