Comparison of the Micro-Shear Bond Strength of Resin Cements to CAD/CAM Glass Ceramics with Various Surface Treatments
Abstract
1. Introduction
2. Materials and Methods
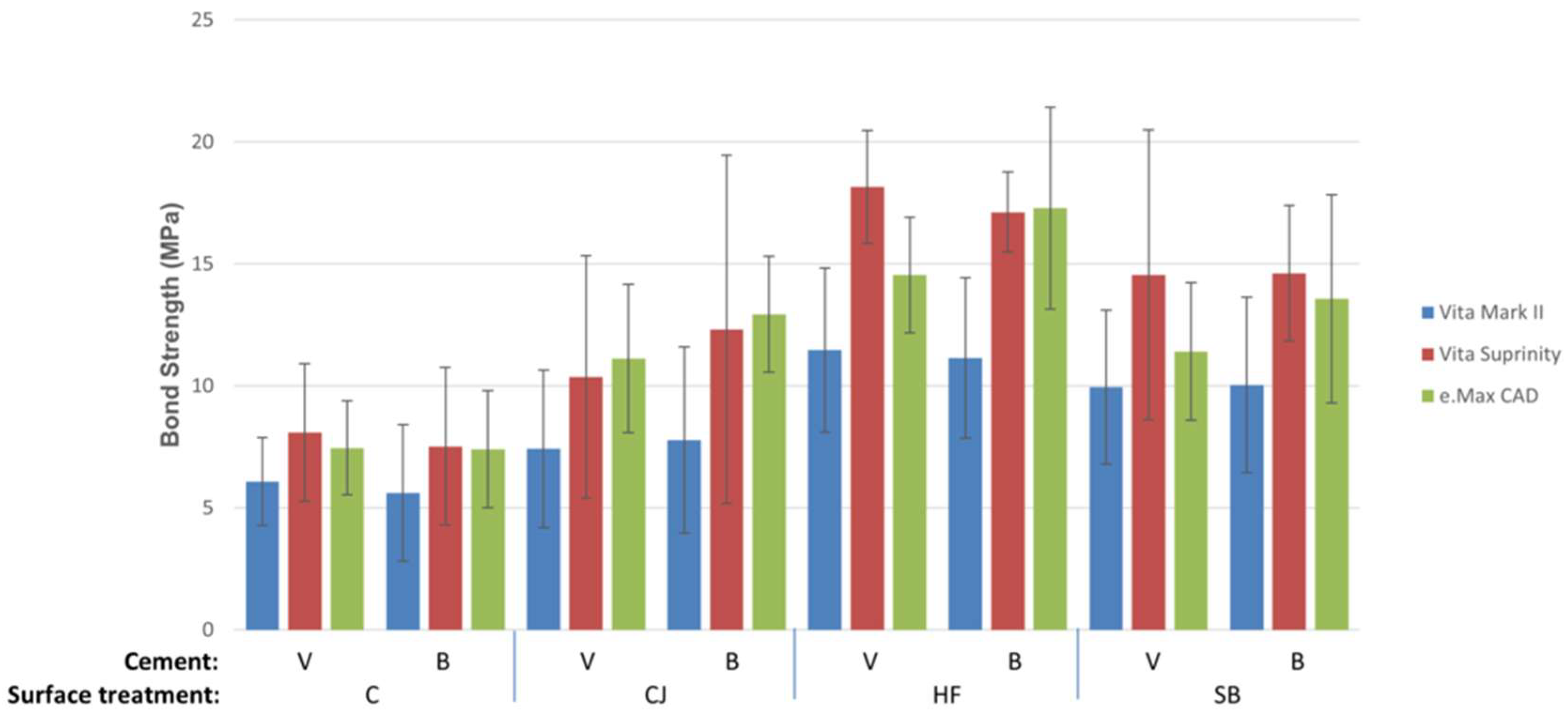
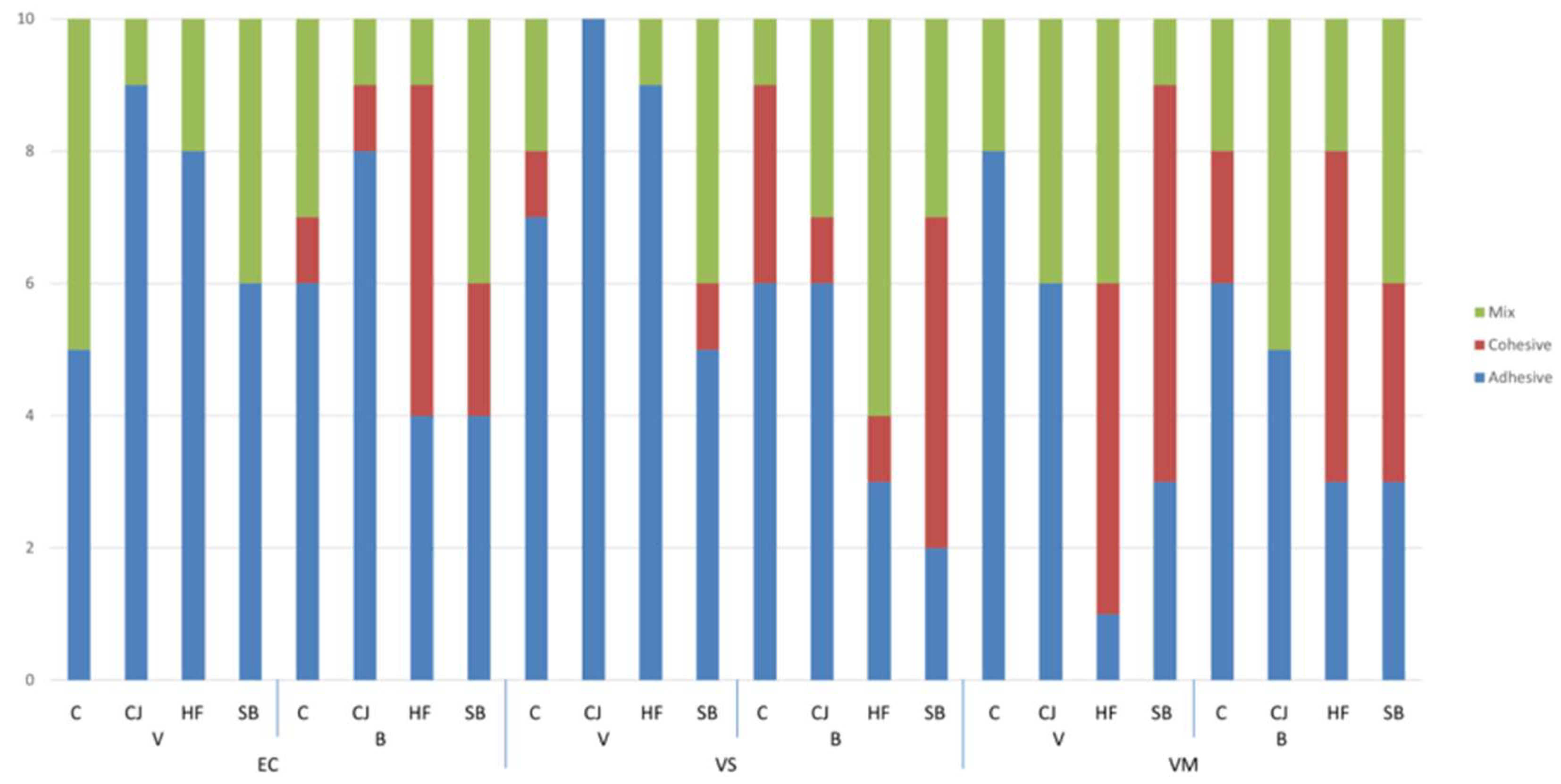
3. Results
4. Discussion
5. Conclusions
- Better bond strengths can be obtained with HF acid etching than with sandblasting and silica coating.
- The application of silane alone may be considered insufficient to achieve adequate bond strength.
- Self-adhesive or conventional resin cements can be used effectively in the cementation of glass-ceramic-based CAD/CAM restorations, and they are not superior to each other in terms of micro-shear bond strength values.
- Prior to the resin cementation of feldspathic, lithium disilicate, and zirconia-reinforced CAD/CAM ceramic materials, HF acid etching can be recommended for surface pretreatment.
Author Contributions
Funding
Institutional Review Board Statement
Informed Consent Statement
Data Availability Statement
Conflicts of Interest
References
- Zarone, F.; Ferrari, M.; Mangano, F.G.; Leone, R.; Sorrentino, R. Digitally Oriented Materials": Focus on Lithium Disilicate Ceramics. Int. J. Dent. 2016, 2016, 9840594. [Google Scholar] [CrossRef] [PubMed]
- Gracis, S.; Thompson, V.P.; Ferencz, J.L.; Silva, N.R.; Bonfante, E.A. A new classification system for all-ceramic and ceramic-like restorative materials. Int. J. Prosthodont. 2015, 28, 227–235. [Google Scholar] [CrossRef] [PubMed]
- Guess, P.C.; Schultheis, S.; Bonfante, E.A.; Coelho, P.G.; Ferencz, J.L.; Silva, N.R. All-ceramic systems: Laboratory and clinical performance. Dent. Clin. North Am. 2011, 55, 333–352. [Google Scholar] [CrossRef]
- Roggendorf, M.J.; Kunzi, B.; Ebert, J.; Roggendorf, H.C.; Frankenberger, R.; Reich, S.M. Seven-year clinical performance of CEREC-2 all-ceramic CAD/CAM restorations placed within deeply destroyed teeth. Clin. Oral Investig. 2012, 16, 1413–1424. [Google Scholar] [CrossRef]
- Schestatsky, R.; Zucuni, C.P.; Venturini, A.B.; de Lima Burgo, T.A.; Bacchi, A.; Valandro, L.F.; Rocha Pereira, G.K. CAD-CAM milled versus pressed lithium-disilicate monolithic crowns adhesively cemented after distinct surface treatments: Fatigue performance and ceramic surface characteristics. J. Mech. Behav. Biomed. Mater. 2019, 94, 144–154. [Google Scholar] [CrossRef]
- Elsaka, S.E.; Elnaghy, A.M. Mechanical properties of zirconia reinforced lithium silicate glass-ceramic. Dent. Mater. 2016, 32, 908–914. [Google Scholar] [CrossRef]
- Furtado de Mendonca, A.; Shahmoradi, M.; Gouvêa, C.V.D.; De Souza, G.M.; Ellakwa, A. Microstructural and Mechanical Characterization of CAD/CAM Materials for Monolithic Dental Restorations. J. Prosthodont. 2019, 28, e587–e594. [Google Scholar] [CrossRef] [PubMed]
- Badawy, R.; El-Mowafy, O.; Tam, L.E. Fracture toughness of chairside CAD/CAM materials—Alternative loading approach for compact tension test. Dent. Mater. 2016, 32, 847–852. [Google Scholar] [CrossRef] [PubMed]
- Elsaka, S.E. Bond strength of novel CAD/CAM restorative materials to self-adhesive resin cement: The effect of surface treatments. J. Adhes. Dent. 2014, 16, 531–540. [Google Scholar]
- Lise, D.P.; Perdigão, J.; Van Ende, A.; Zidan, O.; Lopes, G.C. Microshear Bond Strength of Resin Cements to Lithium Disilicate Substrates as a Function of Surface Preparation. Oper. Dent. 2015, 40, 524–532. [Google Scholar] [CrossRef]
- Prochnow, C.; Venturini, A.B.; Grasel, R.; Gundel, A.; Bottino, M.C.; Valandro, L.F. Adhesion to a Lithium Disilicate Glass Ceramic Etched with Hydrofluoric Acid at Distinct Concentrations. Braz. Dent. J. 2018, 29, 492–499. [Google Scholar] [CrossRef] [PubMed]
- Kato, H.; Matsumura, H.; Atsuta, M. Effect of etching and sandblasting on bond strength to sintered porcelain of unfilled resin. J. Oral Rehabil. 2000, 27, 103–110. [Google Scholar] [CrossRef]
- Ozcan, M. The use of chairside silica coating for different dental applications: A clinical report. J. Prosthet. Dent. 2002, 87, 469–472. [Google Scholar] [CrossRef] [PubMed]
- Blatz, M.B.; Phark, J.H.; Ozer, F.; Mante, F.K.; Saleh, N.; Bergler, M.; Sadan, A. In vitro comparative bond strength of contemporary self-adhesive resin cements to zirconium oxide ceramic with and without air-particle abrasion. Clin. Oral Investig. 2010, 14, 187–192. [Google Scholar] [CrossRef]
- Sato, T.P.; Anami, L.C.; Melo, R.M.; Valandro, L.F.; Bottino, M.A. Effects of Surface Treatments on the Bond Strength Between Resin Cement and a New Zirconia-reinforced Lithium Silicate Ceramic. Oper. Dent. 2016, 41, 284–292. [Google Scholar] [CrossRef]
- Peumans, M.; Valjakova, E.B.; De Munck, J.; Mishevska, C.B.; Van Meerbeek, B. Bonding Effectiveness of Luting Composites to Different CAD/CAM Materials. J. Adhes. Dent. 2016, 18, 289–302. [Google Scholar]
- Rigolin, F.J.; Negreiros, W.M.; Giannini, M.; Rizzatti Barbosa, C.M. Effects of sandblasting and hydrofluoric acid etching on surface topography, flexural strength, modulus and bond strength of composite cement to ceramics. J. Adhes. Dent. 2021, 23, 113–119. [Google Scholar] [PubMed]
- Al-Thagafi, R.; Al-Zordk, W.; Saker, S. Influence of Surface Conditioning Protocols on Reparability of CAD/CAM Zirconia-reinforced Lithium Silicate Ceramic. J. Adhes. Dent. 2016, 18, 135–141. [Google Scholar]
- Zarone, F.; Ruggiero, G.; Leone, R.; Breschi, L.; Leuci, S.; Sorrentino, R. Zirconia-reinforced lithium silicate (ZLS) mechanical and biological properties: A literature review. J. Dent. 2021, 109, 103661. [Google Scholar] [CrossRef] [PubMed]
- Awad, M.M.; Al Jeaidi, Z.A.; Almutairi, N.; Vohra, F.; Ozcan, M.; Alrahlah, A. Effect of self-etching ceramic primer on bond strength of zirconia-reinforced lithium silicate ceramics. J. Adhes. Sci. Technol. 2020, 34, 91–101. [Google Scholar] [CrossRef]
- Wang, Y.; Hui, R.; Gao, L.; Ma, Y.; Wu, X.; Meng, Y.; Hao, Z. Effect of surface treatments on bond durability of zirconia-reinforced lithium silicate ceramics: An in vitro study. J. Prosthet. Dent. 2022, 128, 1350.e1–1350.e10. [Google Scholar] [CrossRef] [PubMed]
- Souza, E.M.; De Munck, J.; Pongprueksa, P.; Van Ende, A.; Van Meerbeek, B. Correlative analysis of cement—Dentin interfaces using an interfacial fracture toughness and micro-tensile bond strength approach. Dent. Mater. 2016, 32, 1575–1585. [Google Scholar] [CrossRef]
- Hill, E.E. Dental cements for definitive luting: A review and practical clinical considerations. Dent. Clin. N. Am. 2007, 51, 643–658. [Google Scholar] [CrossRef]
- Gonzaga, C.C.; Cesar, P.F.; Miranda, W.G., Jr.; Yoshimura, H.N. Slow crack growth and reliability of dental ceramics. Dent. Mater. 2011, 27, 394–406. [Google Scholar] [CrossRef] [PubMed]
- Bebsh, M.; Haimeur, A.; França, R. The Effect of Different Surface Treatments on the Micromorphology and the Roughness of Four Dental CAD/CAM Lithium Silicate-Based Glass-Ceramics. Ceramics 2021, 4, 467–475. [Google Scholar] [CrossRef]
- Tian, T.; Tsoi, J.K.; Matinlinna, J.P.; Burrow, M.F. Aspects of bonding between resin luting cements and glass ceramic materials. Dent. Mater. 2014, 30, e147–e162. [Google Scholar] [CrossRef]
- El Zohairy, A.A.; de Gee, A.J.; de Jager, N.; van Ruijven, L.J.; Feilzer, A.J. The influence of specimen attachment and dimension on microtensile strength. J. Dent. Res. 2004, 83, 420–424. [Google Scholar] [CrossRef]
- Della Bona, A.; Anusavice, K.J. Microstructure, composition, and etching topography of dental ceramics. Int. J. Prosthodont. 2002, 15, 159–167. [Google Scholar]
- Venturini, A.B.; Prochnow, C.; Rambo, D.; Gundel, A.; Valandro, L.F. Effect of Hydrofluoric Acid Concentration on Resin Adhesion to a Feldspathic Ceramic. J. Adhes. Dent. 2015, 17, 313–320. [Google Scholar] [CrossRef] [PubMed]
- Saraçoglu, A.; Cura, C.; Çotert, H.S. Effect of various surface treatment methods on the bond strength of the heat-pressed ceramic samples. J. Oral Rehabil. 2004, 31, 790–797. [Google Scholar] [CrossRef]
- Ozcan, M.; Allahbeickaraghi, A.; Dündar, M. Possible hazardous effects of hydrofluoric acid and recommendations for treatment approach: A review. Clin. Oral Investig. 2012, 16, 15–23. [Google Scholar] [CrossRef] [PubMed]
- Pollington, S.; Fabianelli, A.; van Noort, R. Microtensile bond strength of a resin cement to a novel fluorcanasite glass-ceramic following different surface treatments. Dent. Mater. 2010, 26, 864–872. [Google Scholar] [CrossRef] [PubMed]
- Çınar, Ş.; Fildişi, M.A.; Altan, B.; Ozkan, D. Effects of Two Different Acid Etching and Surface Washing Methods on Bond Strength on Different CAD-CAM Blocks under Aging Protocols. BioMed Res. Int. 2023. [Google Scholar] [CrossRef]
- Fonseca, R.G.; Haneda, I.G.; Almeida-Júnior, A.A.; de Oliveira Abi-Rached, F.; Adabo, G.L. Efficacy of air-abrasion technique and additional surface treatment at titanium/resin cement interface. J. Adhes. Dent. 2012, 14, 453–459. [Google Scholar] [PubMed]
- Cinar, S.; Altan, B.; Akgungor, G. Comparison of Bond Strength of Monolithic CAD-CAM Materials to Resin Cement Using Different Surface Treatment Methods. J. Adv. Oral Res. 2019, 10, 120–127. [Google Scholar] [CrossRef]
- Abdulkader, K.F.; Elnaggar, G.A.; Kheiralla, L.S. Shear bond strength of cemented zirconia-reinforced lithium silicate ceramics (Celtra Duo) with two surface treatments (in vitro study). J. Adhes. Sci. Technol. 2021, 35, 35–51. [Google Scholar] [CrossRef]
- Rüttermann, S.; Fries, L.; Raab, W.H.; Janda, R. The effect of different bonding techniques on ceramic/resin shear bond strength. J. Adhes. Dent. 2008, 10, 197–203. [Google Scholar] [PubMed]
- Blatz, M.B.; Sadan, A.; Kern, M. Resin-ceramic bonding: A review of the literature. J. Prosthet. Dent. 2003, 89, 268–274. [Google Scholar] [CrossRef]
- Straface, A.; Rupp, L.; Gintaute, A.; Fischer, J.; Zitzmann, N.U.; Rohr, N. HF etching of CAD/CAM materials: Influence of HF concentration and etching time on shear bond strength. Head Face Med. 2019, 15, 21. [Google Scholar] [CrossRef]
- Rohr, N.; Flury, A.; Fischer, J. Efficacy of a Universal Adhesive in the Bond Strength of Composite Cements to Polymer-infiltrated Ceramic. J. Adhes. Dent. 2017, 19, 417–424. [Google Scholar] [PubMed]
- Hu, M.; Weiger, R.; Fischer, J. Comparison of two test designs for evaluating the shear bond strength of resin composite cements. Dent. Mater. 2016, 32, 223–232. [Google Scholar] [CrossRef]
- Vichi, A.; Fabian Fonzar, R.; Carrabba, M.; Louca, C.; Scotti, N.; Mazzitelli, C.; Breschi, L.; Goracci, C. Comparison between Hydrofluoric Acid and Single-Component Primer as Conditioners on Resin Cement Adhesion to Lithium Silicate and Lithium Disilicate Glass Ceramics. Materials 2021, 14, 6776. [Google Scholar] [CrossRef] [PubMed]
- Ataol, A.S.; Ergun, G. Effects of surface treatments on repair bond strength of a new CAD/CAM ZLS glass ceramic and two different types of CAD/CAM ceramics. J. Oral Sci. 2018, 60, 201–211. [Google Scholar] [CrossRef]
- Altan, B.; Cinar, S.; Tuncelli, B. Evaluation of Shear Bond Strength of Zirconia-Based Monolithic CAD-CAM Materials to Resin Cement after Different Surface Treatments. Niger. J. Clin. Pract. 2019, 22, 1475–1482. [Google Scholar] [CrossRef]
- Yildirim, G. Effect of different acid treatments on the shear bond strength of computer-aided design and manufacturing (CAD-CAM) ceramics for dental applications. J. Ceram. Sci. Technol. 2018, 9, 391–395. [Google Scholar]
- Frankenberger, R.; Hartmann, V.E.; Krech, M.; Krämer, N.; Reich, S.; Braun, A.; Roggendorf, M. Adhesive luting of new CAD/CAM materials. Int. J. Comput. Dent. 2015, 18, 9–20. [Google Scholar] [PubMed]
- Spitznagel, F.A.; Horvath, S.D.; Guess, P.C.; Blatz, M.B. Resin bond to indirect composite and new ceramic/polymer materials: A review of the literature. J. Esthet. Restor. Dent. 2014, 26, 382–393. [Google Scholar] [CrossRef] [PubMed]
- Rohr, N.; Märtin, S.; Zitzmann, N.U.; Fischer, J. A comprehensive in vitro study on the performance of two different strategies to simplify adhesive bonding. J. Esthet. Restor. Dent. 2022, 34, 833–842. [Google Scholar] [CrossRef] [PubMed]
- Carrabba, M.; Vichi, A.; Louca, C.; Ferrari, M. Comparison of traditional and simplified methods for repairing CAD/CAM feldspathic ceramics. J. Adv. Prosthodont. 2017, 9, 257–264. [Google Scholar] [CrossRef] [PubMed]
- Monteiro, J.B.; Oliani, M.G.; Guilardi, L.F.; Prochnow, C.; Rocha Pereira, G.K.; Bottino, M.A.; de Melo, R.M.; Valandro, L.F. Fatigue failure load of zirconia-reinforced lithium silicate glass ceramic cemented to a dentin analogue: Effect of etching time and hydrofluoric acid concentration. J. Mech. Behav. Biomed. Mater. 2018, 77, 375–382. [Google Scholar] [CrossRef]
- Azevedo, V.L.B.; de Castro, E.F.; Bonvent, J.J.; de Andrade, O.S.; Nascimento, F.D.; Giannini, M.; Cavalli, V. Surface treatments on CAD/CAM glass-ceramics: Influence on roughness, topography, and bond strength. J. Esthet. Restor. Dent. 2021, 33, 739–749. [Google Scholar] [CrossRef] [PubMed]
- Moravej-Salehi, E.; Valian, A. Surface topography and bond strengths of feldspathic porcelain prepared using various sandblasting pressures. J. Investig. Clin. Dent. 2016, 7, 347–354. [Google Scholar] [CrossRef]
- Strasser, T.; Preis, V.; Behr, M.; Rosentritt, M. Roughness, surface energy, and superficial damages of CAD/CAM materials after surface treatment. Clin. Oral Investig. 2018, 22, 2787–2797. [Google Scholar] [CrossRef]
- Flury, S.; Peutzfeldt, A.; Lussi, A. Influence of surface roughness on mechanical properties of two computer-aided design/computeraided/manufacturing (CAD/CAM) ceramic materials. Oper. Dent. 2012, 37, 617–624. [Google Scholar] [CrossRef] [PubMed]
- El Mourad, A.M. Assessment of Bonding Effectiveness of Adhesive Materials to Tooth Structure using Bond Strength Test Methods: A Review of Literature. Open Dent. J. 2018, 12, 664–678. [Google Scholar] [CrossRef]
- Özcan, M.; Bernasconi, M. Adhesion to zirconia used for dental restorations: A systematic review and meta-analysis. J. Adhes. Dent. 2015, 17, 7–26. [Google Scholar] [PubMed]



| Material and Type | Code | Composition | Manufacturer | 
|---|---|---|---|
| Vitablocs Mark II; feldspathic ceramic | VM | SiO2 56–64%, AI2O3 20–23%, Na2O 6–9%, K2O 6–8%, CaO 0.3–0.6%, TiO2 0.0–0.1% | Vita Zahnfabrik, Bad Säckingen, Germany | 
| IPS e.max CAD; lithium disilicate glass ceramic | EC | SiO2 58–80%, Li2O 11–19%, K2O 0–13%, ZrO2 0–8%, Al203 0–5% | Ivoclar Vivadent, Schaan, Liechtenstein | 
| Vita Suprinity; zirconia-reinforced lithium silicate glass ceramic | VS | SiO2 56–64%, ZrO2 8–12%, Li2O 15–21%, Al203 1–4%, K2O 1–4%, La2O3 0.1% | Vita Zahnfabrik, Bad Säckingen, Germany | 
| Variolink N; conventional resin cement | V | Bis-GMA, urethane dimethacrylate, triethylene glycol dimethacrylate, Ba-Al-fluorosilicate glass, barium glass, ytterbium trifluoride, spheroid mixed oxide, initiators, stabilizers, pigments | Ivoclar Vivadent, Schaan, Liechtenstein | 
| Monobond N; silane coupling agent | Alcohol solution of silane methacrylate, phosphoric acid methacrylate, and sulfide methacrylate | Ivoclar Vivadent, Schaan, Liechtenstein | |
| BisCem; self-adhesive, resin cement | B | Base: BisGMA, nonpolymerized dimethacrylate monomer, glass filler$Catalyst: Bis[2-(Methacryloyloxy)ethyl] Phosphate, 2-Hydroxyethyl Methacrylate, Bis(Glyceryl 1,3 Dimethacrylate) Phosphate, Dibenzoyl Peroxide | Bisco, Schaumburg, IL, USA | 
| Porcelain Primer; silane coupling agent | Acetone, Ethanol, 3-(Trimethoxysilyl)propyl-2-Methyl-2-Propenoic Acid | Bisco, Schaumburg, IL, USA | |
| IPS Ceramic Etching Gel | HF | 5% hydrofluoric acid | Ivoclar Vivadent, Schaan, Liechtenstein | 
| Korox 50 | SB | 50 mm Al2O3 particles | Bego GmbH, Bremen, Germany | 
| CoJet Sand | CJ | 30 mm silica-coated Al2O3 particles | 3M ESPE, Seefeld, Germany | 
| df | MS | F | p | |
|---|---|---|---|---|
| Material | 2 | 345.527 | 27.723 | <0.001 | 
| Surface treatment | 3 | 604.418 | 48.495 | <0.001 | 
| Cement | 1 | 17.029 | 1.366 | 0.244 | 
| Material × Surface treatment | 6 | 21.381 | 1.715 | 0.119 | 
| Material × Cement | 2 | 16.493 | 1.323 | 0.269 | 
| Surface treatment × Cement | 3 | 7.092 | 0.569 | 0.636 | 
| Material x Surface treatment × Cement | 6 | 3.925 | 0.315 | 0.929 | 
| n | C | CJ | HF | SB | |
|---|---|---|---|---|---|
| VM | 20 | 0.2772 ± 0.008 a | 1.043 ± 0.175 bc | 0.7161 ± 0.1225 c | 1.3716 ± 0.01 b | 
| EC | 20 | 0.283 ± 0.062 a | 1.1674 ± 0.104 b | 0.82526 ± 0.2446 b | 1.1705 ± 0.3525 b | 
| VS | 20 | 0.3001 ± 0.1 a | 1.2509 ± 0.03 b | 0.8048 ± 0.5215 c | 1.3255 ± 0.425 b | 
| Disclaimer/Publisher’s Note: The statements, opinions and data contained in all publications are solely those of the individual author(s) and contributor(s) and not of MDPI and/or the editor(s). MDPI and/or the editor(s) disclaim responsibility for any injury to people or property resulting from any ideas, methods, instructions or products referred to in the content. | 
© 2023 by the authors. Licensee MDPI, Basel, Switzerland. This article is an open access article distributed under the terms and conditions of the Creative Commons Attribution (CC BY) license (https://creativecommons.org/licenses/by/4.0/).
Share and Cite
Sağlam, G.; Cengiz, S.; Köroğlu, A.; Şahin, O.; Velioğlu, N. Comparison of the Micro-Shear Bond Strength of Resin Cements to CAD/CAM Glass Ceramics with Various Surface Treatments. Materials 2023, 16, 2635. https://doi.org/10.3390/ma16072635
Sağlam G, Cengiz S, Köroğlu A, Şahin O, Velioğlu N. Comparison of the Micro-Shear Bond Strength of Resin Cements to CAD/CAM Glass Ceramics with Various Surface Treatments. Materials. 2023; 16(7):2635. https://doi.org/10.3390/ma16072635
Chicago/Turabian StyleSağlam, Gaye, Seda Cengiz, Ayşegül Köroğlu, Onur Şahin, and Neslin Velioğlu. 2023. "Comparison of the Micro-Shear Bond Strength of Resin Cements to CAD/CAM Glass Ceramics with Various Surface Treatments" Materials 16, no. 7: 2635. https://doi.org/10.3390/ma16072635
APA StyleSağlam, G., Cengiz, S., Köroğlu, A., Şahin, O., & Velioğlu, N. (2023). Comparison of the Micro-Shear Bond Strength of Resin Cements to CAD/CAM Glass Ceramics with Various Surface Treatments. Materials, 16(7), 2635. https://doi.org/10.3390/ma16072635
 
        





 
       