Performance Evaluation of Radiation-Shielding Materials and Process Technology for Manufacturing Skin Protection Cream
Abstract
1. Introduction
2. Materials and Methods
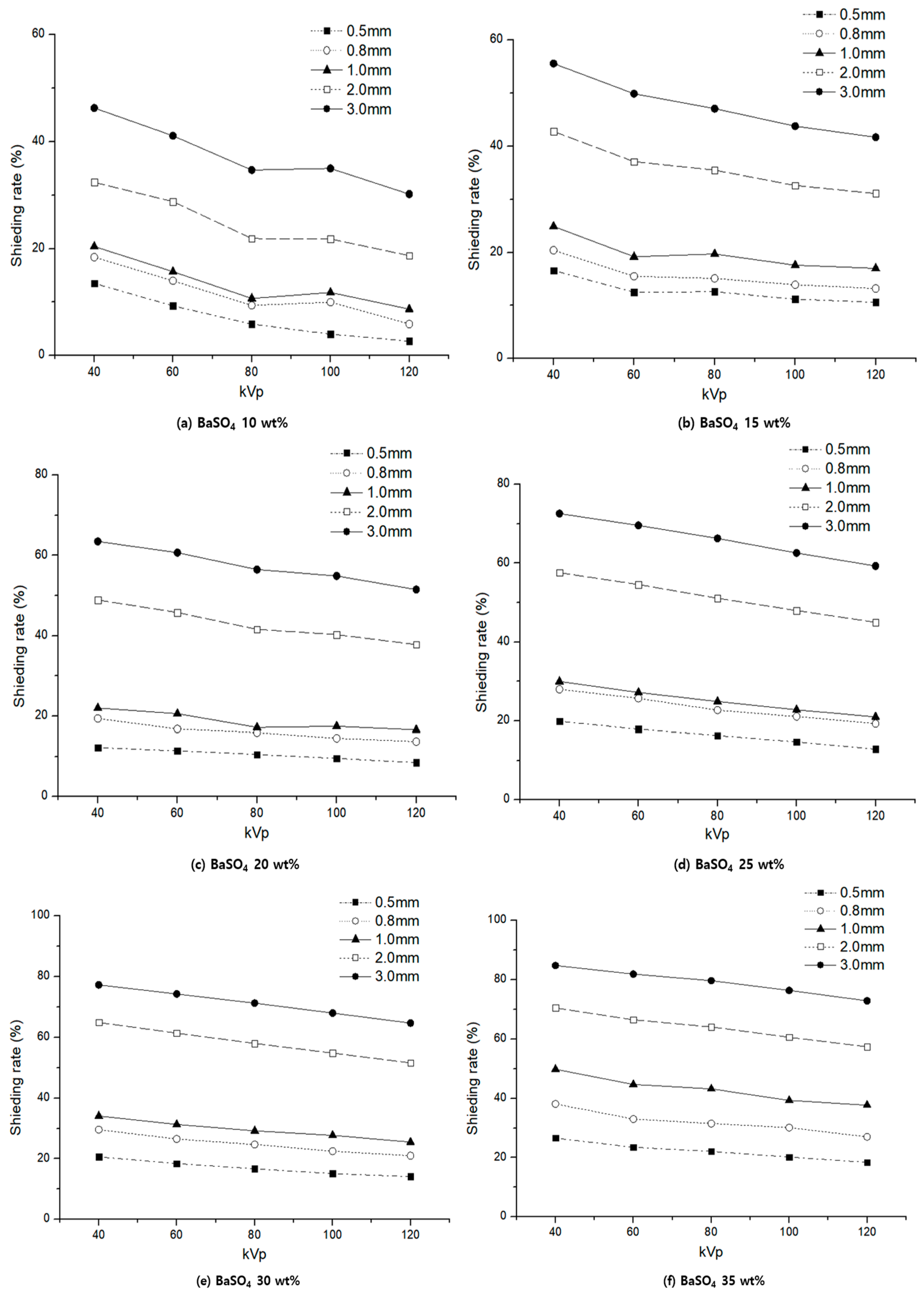
3. Results
4. Discussion
5. Conclusions
Funding
Institutional Review Board Statement
Informed Consent Statement
Data Availability Statement
Conflicts of Interest
References
- Andreo, P. Monte Carlo techniques in medical radiation physics. Phys. Med. Biol. 1991, 36, 861. [Google Scholar] [CrossRef]
- Lewis, S.J.; Gandomkar, Z.; Brennan, P.C. Artificial Intelligence in medical imaging practice: Looking to the future. J. Med. Radiat. Sci. 2019, 66, 292–295. [Google Scholar] [CrossRef]
- Bessonneau, V.; Mosqueron, L.; Berrubé, A.; Mukensturm, G.; Buffet-Bataillon, S.; Gangneux, J.P.; Thomas, O. VOC contamination in hospital, from stationary sampling of a large panel of compounds, in view of healthcare workers and patients exposure assessment. PLoS ONE 2013, 8, e55535. [Google Scholar] [CrossRef]
- Malik, H.; Naeem, A.; Naqvi, R.A.; Loh, W.K. DMFL_Net: A Federated Learning-Based Framework for the Classification of COVID-19 from Multiple Chest Diseases Using X-rays. Sensors 2023, 23, 743. [Google Scholar] [CrossRef]
- Singh, V.K.; Seed, T.M. Development of gamma-tocotrienol as a radiation medical countermeasure for the acute radiation syndrome: Current status and future perspectives. Expert Opin. Investig. Drugs 2023, 32, 25–35. [Google Scholar] [CrossRef]
- Shuryak, I.; Nemzow, L.; Bacon, B.A.; Taveras, M.; Wu, X.; Deoli, N.; Ponnaiya, B.; Garty, G.; Brenner, D.J.; Turner, H.C. Machine learning approach for quantitative biodosimetry of partial-body or total-body radiation exposures by combining radiation-responsive biomarkers. Sci. Rep. 2023, 13, 949. [Google Scholar] [CrossRef]
- Ito, R.; Kondo, Y.; Nakano, M.; Kajiyama, T.; Kobayashi, Y. Cardiac Resynchronization Therapy Device Implantation Using Suspended Personal Radiation Protection System: Examination of Radiation Protection Effectiveness by Dosimetry at 51 Exposure Sites. Heart Rhythm O2 2023. [Google Scholar] [CrossRef]
- Pasha, A.; Abd El-Rehim, A.F.; Ali, A.M.; Srinivasamurthy, K.M.; Manjunatha, S.O.; Wang, S. High performance EMI shielding applications of Co0.5Ni0.5CexSmyFe2−x−yO4 nanocomposite thin films. Ceram. Int. 2023, 49, 2224–2235. [Google Scholar] [CrossRef]
- Cahill, T.; da Silveira, W.A.; Renaud, L.; Wang, H.; Williamson, T.; Chung, D.; Chan, S.; Overton, I.; Hardiman, G. Investigating the effects of chronic low-dose radiation exposure in the liver of a hypothermic zebrafish model. Sci. Rep. 2023, 13, 918. [Google Scholar] [CrossRef]
- Abo-Dahab, S.M.; Mohamed, R.A.; Abd-Alla, A.M.; Soliman, M.S. Double-diffusive peristaltic MHD Sisko nanofluid flow through a porous medium in presence of non-linear thermal radiation, heat generation/absorption, and Joule heating. Sci. Rep. 2023, 13, 1432. [Google Scholar] [CrossRef]
- Marengo, M.; Rubow, S. The relative contribution of photons and positrons to skin dose in the handling of PET radiopharmaceuticals. Appl. Radiat. Isot. 2023, 194, 110705. [Google Scholar] [CrossRef] [PubMed]
- Abdelgawad, K.R.M.; Ahmed, G.S.M.; Farag, A.T.M.; Bendary, A.A.; Salem, S.M.; Tartor, B.A.; Bashter, I.I. Structure and gamma-ray attenuation capabilities for eco-friendly transparent glass system prepared from rice straw ash. Prog. Nucl. Energy 2023, 158, 104586. [Google Scholar] [CrossRef]
- Kobayashi, S.; Oka, N.; Watanabe, K.; Ohmori, K.; Inoue, M.; Iguchi, K. Development of simplified process for KrF excimer halftone mask with chrome-shielding method. In Proceedings of the 19th Annual Symposium on Photomask Technology, Monterey, CA, USA, 30 December 1999. [Google Scholar]
- Huang, M.; Hasan, M.K.; Pillai, S.D.; Pharr, M.; Staack, D. Electron beam technology for Re-processing of personal protective equipment. Radiat. Phys. Chem. 2023, 202, 110557. [Google Scholar] [CrossRef] [PubMed]
- Arvaneh, A.; Asadi, A.; Hosseini, S.A. Sensitivity analysis of gamma-ray shielding characteristics to the TiO2 concentration in the Bi2O3–ZnO–Pb3O4–Al2O3 glass sample based on the Monte Carlo method. Prog. Nucl. Energy 2023, 156, 104539. [Google Scholar] [CrossRef]
- Cantlon, M.B.; Ilyas, A.M. Assessment of radiation protection in hand-shielding products with mini c-arm fluoroscopy. Hand 2021, 16, 505–510. [Google Scholar] [CrossRef]
- Jia, X.; Zhou, Y.; Zheng, J.; Li, Y.; Zou, H.; Xie, R. Cerium doped barium tantalates: Fabrication, characterization, and investigation of gamma radiation attenuation. J. Alloys Compd. 2016, 688, 679–684. [Google Scholar] [CrossRef]
- Khan, M.G.M.; Wang, Y. Advances in the current understanding of how low-dose radiation affects the cell cycle. Cells 2022, 11, 356. [Google Scholar] [CrossRef]
- Bhalke, R.D.; Kulkarni, S.S.; Kendre, P.N.; Pande, V.V.; Giri, M.A. A facile approach to fabrication and characterization of novel herbal microemulsion-based UV shielding cream. Future J. Pharm. Sci. 2020, 6, 76. [Google Scholar]
- Filié Haddad, M.; Coelho Goiato, M.; Micheline dos Santos, D.; Moreno, A.; Filipe D’almeida, N.; Alves Pesqueira, A. Color stability of maxillofacial silicone with nanoparticle pigment and opacifier submitted to disinfection and artificial aging. J. Biomed. Optics 2011, 16, 095004. [Google Scholar] [CrossRef]
- Khushnood, R.A.; Ahmad, S.; Savi, P.; Tulliani, J.M.; Giorcelli, M.; Ferro, G.A. Improvement in electromagnetic interference shielding effectiveness of cement composites using carbonaceous nano/micro inerts. Constr. Build. Mater. 2015, 85, 208–216. [Google Scholar] [CrossRef]
- Shen, X.H.; Zhang, X.; Liu, J.; Zhao, S.F.; Yuan, G.P. Analysis of the enhanced negative correlation between electron density and electron temperature related to earthquakes. Ann. Geophys. 2015, 33, 471–479. [Google Scholar] [CrossRef]
- Mahmoud, K.A.; Tashlykov, O.L.; Wakil, A.E.; Zakaly, H.M.; Aassy, I.E. Investigation of radiation shielding properties for some building materials reinforced by basalt powder. AIP Conf. Proc. 2023, 2174, 020036. [Google Scholar] [CrossRef]
- Monzen, H.; Tamura, M.; Kijima, K.; Otsuka, M.; Matsumoto, K.; Wakabayashi, K.; Choi, M.G.; Yoon, D.K.; Doi, H.; Akiyama, H.; et al. Estimation of radiation shielding ability in electron therapy and brachytherapy with real time variable shape tungsten rubber. Phys. Med. 2019, 66, 29–35. [Google Scholar] [CrossRef] [PubMed]
- Özkalayc, F.; Kaçal, M.R.; Agar, O.; Ploat, H.; Sharma, A.; Akman, F. Lead(II) chloride effects on nuclear shielding capabilities of polymer composites. J. Phys. Chem. Solids 2020, 145, 109543. [Google Scholar] [CrossRef]
- Seco, J.; Clasie, B.; Partridge, M. Review on the characteristics of radiation detectors for dosimetry and imaging. Phys. Med. Biol. 2014, 59, R303. [Google Scholar] [CrossRef]
- Mostafa, A.M.A.; Issa, S.A.M.; Sayyed, M.I. Gamma ray shielding properties of PbO-B2O3-P2O5 doped with WO3. J. Alloys Compd. 2017, 708, 294–300. [Google Scholar] [CrossRef]
- Mehra, A.; Deakin, D.E.; Khan, A.; Sheehan, T.M.T.; Nightingale, P.; Deshmukh, S.C. Lead contamination of surgical gloves by contact with a lead hand. Int. Sch. Res. Notices 2011, 2011, 946370. [Google Scholar] [CrossRef]
- Cardarelli, J.J.; Ulsh, B.A. It is time to move beyond the linear no-threshold theory for low-dose radiation protection. Dose-Response Relat. 2018, 16, 1559325818779651. [Google Scholar] [CrossRef]
- Kayan, M.; Yaşar, S.; Saygın, M.; Yılmaz, Ö.; Aktaş, A.R.; Kayan, F.; Türker, Y.; Çetinkaya, G. Investigation of X-ray permeability of surgical gloves coated with different contrast agents. Anatol. J. Cardiol. 2016, 16, 424. [Google Scholar] [CrossRef]
- Xia, S.; Wei, C.; Tang, J.; Yan, J. Tensile stress-gated electromagnetic interference shielding fabrics with real-time adjustable shielding efficiency. ACS Sustain. Chem. Eng. 2021, 9, 13999–14005. [Google Scholar] [CrossRef]
- Schuemann, J.; Bagley, A.F.; Berbeco, R.; Bromma, K.; Butterworth, K.T.; Byrne, H.L.; Chithrani, B.D.; Cho, S.H.; Cook, J.R.; Favaudon, V.; et al. Roadmap for metal nanoparticles in radiation therapy: Current status, translational challenges, and future directions. Phys. Med. Biol. 2020, 65, 21RM02. [Google Scholar] [CrossRef]
- McCaffrey, J.P.; Shen, H.; Downton, B.; Mainegra-Hing, E. Radiation attenuation by lead and nonlead materials used in radiation shielding garments. Med. Phys. 2007, 34, 530–537. [Google Scholar] [CrossRef] [PubMed]
- Patel, B.; Kachhwaha, S.S.; Modi, B. Thermodynamic modelling and parametric study of a two stage compression-absorption refrigeration system for ice cream hardening plant. Energy Procedia 2017, 109, 190–202. [Google Scholar] [CrossRef]
- Hashimov, R.F.; Mikailzade, F.A.; Trukhanov, S.V.; Lyadov, N.M.; Vakhitov, I.R.; Trukhanov, A.V.; Mirzayev, M.N. Structure and thermal analysis of Ba0.5La0.5MnO3 polycrystalline powder. Int. J. Mod. Phys. B 2019, 33, 1950244. [Google Scholar] [CrossRef]
- González, M.; Pozuelo, J.; Baselga, J. Electromagnetic shielding materials in GHz range. Chem. Rec. 2018, 18, 1000–1009. [Google Scholar] [CrossRef]
- Srivastava, S.K.; Manna, K. Recent Advancements in Electromagnetic Interference Shielding Performance of Nanostructured Materials and their Nanocomposites: A Review. J. Mater. Chem. A 2022, 10, 7431–7496. [Google Scholar] [CrossRef]
- AbuAlRoos, N.J.; Amin, N.A.B.; Zainon, R. Conventional and new lead-free radiation shielding materials for radiation protection in nuclear medicine: A review. Radiat. Phys. Chem. 2019, 165, 108439. [Google Scholar] [CrossRef]
- Perrenoud, D.; Gallezot, D.; Van Melle, G. The efficacy of a protective cream in a real-world apprentice hairdresser environment. Contact Derm. 2001, 45, 134–138. [Google Scholar] [CrossRef]
- De Paepe, K.; Derde, M.P.; Roseeuw, D.; Rogiers, V. Claim substantiation and efficiency of hydrating body lotions and protective creams. Contact Derm. 2000, 42, 227–234. [Google Scholar] [CrossRef]
- Wigger-Albert, W.; Rougier, A.; Richard, A.; Elsner, P. Efficacy of protective creams in a modified repeated irritation test: Methodological aspects. Acta Derm. Venereol. 1998, 78, 270–273. [Google Scholar] [CrossRef]









| Thick-Ness | 40 kVp | 60 kVp | 80 kVp | 100 kVp | 120 kVp | |||||
|---|---|---|---|---|---|---|---|---|---|---|
| A | B | A | B | A | B | A | B | A | B | |
| 0.5 | 13.7 | 12.2 | 12.6 | 11.4 | 11.1 | 10.5 | 9.9 | 9.5 | 8.6 | 8.5 |
| 0.8 | 22.0 | 19.4 | 18.0 | 16.8 | 16.5 | 15.9 | 15.1 | 14.5 | 13.9 | 13.7 |
| 1.0 | 23.9 | 22.0 | 23.1 | 20.6 | 18.3 | 17.2 | 17.9 | 17.5 | 17.4 | 16.6 |
| 2.0 | 52.4 | 48.9 | 48.8 | 45.8 | 44.2 | 41.6 | 42.1 | 40.3 | 40.1 | 37.8 |
| 3.0 | 70.1 | 63.5 | 66.9 | 60.7 | 58.4 | 56.5 | 55.4 | 54.9 | 47.4 | 51.5 |
Disclaimer/Publisher’s Note: The statements, opinions and data contained in all publications are solely those of the individual author(s) and contributor(s) and not of MDPI and/or the editor(s). MDPI and/or the editor(s) disclaim responsibility for any injury to people or property resulting from any ideas, methods, instructions or products referred to in the content. |
© 2023 by the author. Licensee MDPI, Basel, Switzerland. This article is an open access article distributed under the terms and conditions of the Creative Commons Attribution (CC BY) license (https://creativecommons.org/licenses/by/4.0/).
Share and Cite
Kim, S.-C. Performance Evaluation of Radiation-Shielding Materials and Process Technology for Manufacturing Skin Protection Cream. Materials 2023, 16, 3059. https://doi.org/10.3390/ma16083059
Kim S-C. Performance Evaluation of Radiation-Shielding Materials and Process Technology for Manufacturing Skin Protection Cream. Materials. 2023; 16(8):3059. https://doi.org/10.3390/ma16083059
Chicago/Turabian StyleKim, Seon-Chil. 2023. "Performance Evaluation of Radiation-Shielding Materials and Process Technology for Manufacturing Skin Protection Cream" Materials 16, no. 8: 3059. https://doi.org/10.3390/ma16083059
APA StyleKim, S.-C. (2023). Performance Evaluation of Radiation-Shielding Materials and Process Technology for Manufacturing Skin Protection Cream. Materials, 16(8), 3059. https://doi.org/10.3390/ma16083059
