Research on Damage Evolution Law of Glazed Hollow Beads-Cement/Sodium Silicate Grouting Materials under Different Cycles of Loading and Unloading
Abstract
:1. Introduction
2. Test Materials and Methods
2.1. Raw Materials
2.2. Experimental Design
3. Results and Analysis
3.1. Orthogonal Test Results
3.2. Fatigue Strength
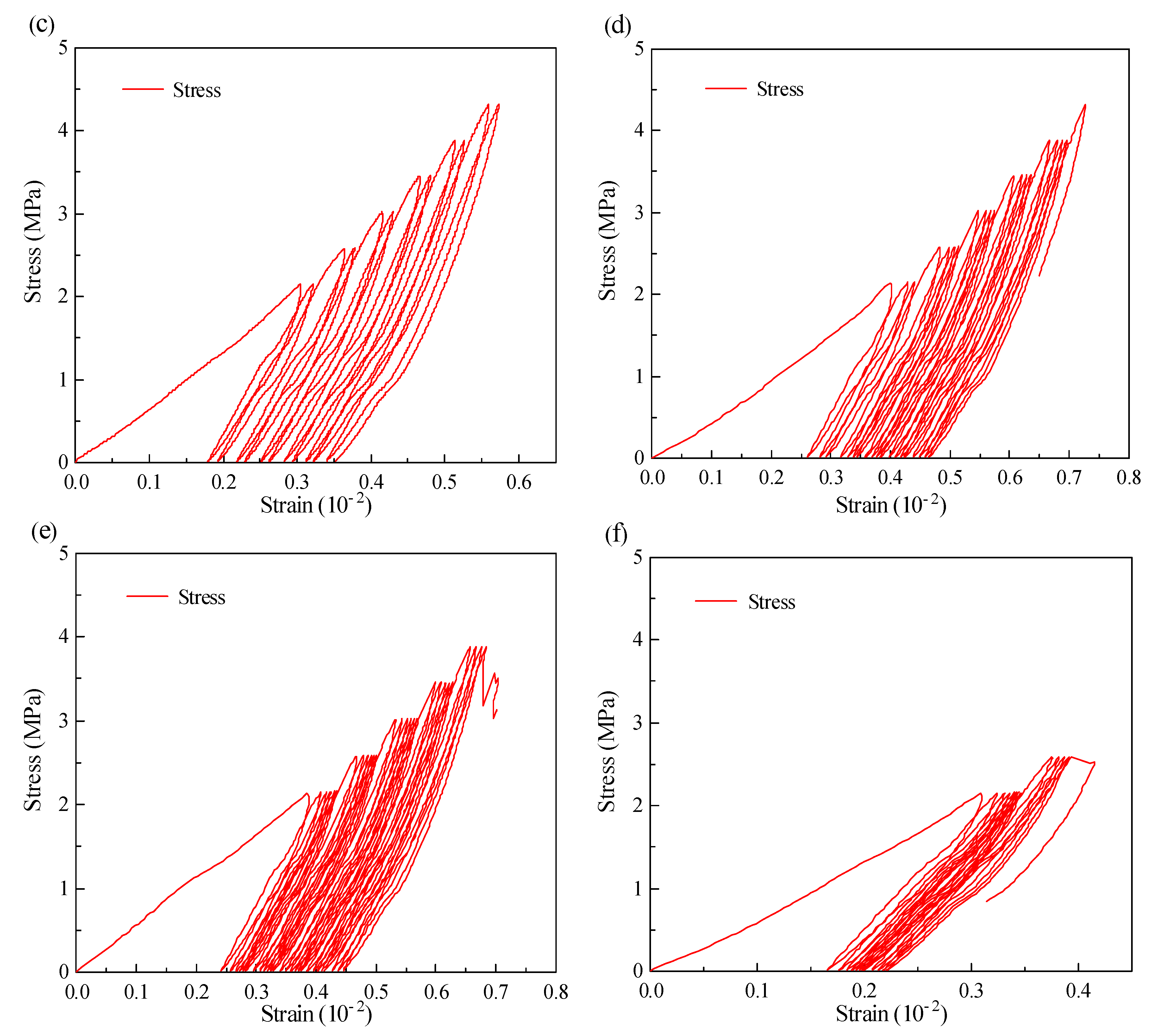
3.3. Fatigue Deformation
3.4. Loading-Residual Strain
3.5. Energy Evolution
3.5.1. Energy Density
3.5.2. Energy Dissipation
- (1)
- Energy Consumption Ratio
- (2)
- Energy Competition Coefficient
3.6. Micromorphological Analysis
4. Conclusions
Author Contributions
Funding
Institutional Review Board Statement
Informed Consent Statement
Data Availability Statement
Conflicts of Interest
References
- Chatterjee, A.; Zhang, L.; Xia, X. Optimization of Mine Ventilation Fan Speeds according to Ventilation on Demand and Time of Use Tariff. Appl. Energy 2015, 146, 65–73. [Google Scholar] [CrossRef]
- Pathak, C.S.; Mandavgane, S.A. Application of Recycle Paper Mill Waste (RPMW) as a Thermal Insulation Material. Waste Biomass Valorization 2019, 10, 2343–2352. [Google Scholar] [CrossRef]
- Frick, D.; Achmus, M. ScienceDirect An Experimental Study on the Parameters Affecting the Cyclic Lateral Response of Monopiles for Offshore Wind Turbines in Sand. Soils Found. 2020, 60, 1570–1587. [Google Scholar] [CrossRef]
- Noritake, F.; Sato, T.; Yamamoto, A.; Wakabayashi, D.; Urakawa, S.; Funamori, N. Structure of Sodium Silicate Water Glass-X-ray Scattering Experiments and Force-Field Molecular Dynamics Simulations. J. Non-Cryst. Solids 2022, 579, 121370. [Google Scholar] [CrossRef]
- Baetens, R.; Jelle, B.P.; Thue, J.V.; Tenpierik, M.J.; Grynning, S.; Uvsløkk, S.; Gustavsen, A. Vacuum Insulation Panels for Building Applications: A Review and Beyond. Energy Build. 2010, 42, 147–172. [Google Scholar] [CrossRef]
- Ryan, A.; Euler, D.S. Heat Stress Management in Underground Mines. Int. J. Min. Sci. Technol. 2017, 27, 651–655. [Google Scholar] [CrossRef]
- Bao, T.; Meldrum, J.; Green, C.; Vitton, S.; Liu, Z.; Bird, K. Geothermal Energy Recovery from Deep Flooded Copper Mines for Heating. Energy Convers. Manag. 2019, 183, 604–616. [Google Scholar] [CrossRef]
- Corinaldesi, V.; Mazzoli, A.; Moriconi, G. Mechanical Behaviour and Thermal Conductivity of Mortars Containing Waste Rubber Particles. Mater. Des. 2011, 32, 1646–1650. [Google Scholar] [CrossRef]
- Feng, X.P.; Jia, Z.; Liang, H.; Wang, Z.; Wang, B.; Jiang, X.; Cao, H.; Sun, X. A Full Air Cooling and Heating System Based on Mine Water Source. Appl. Therm. Eng. 2018, 145, 610–617. [Google Scholar] [CrossRef]
- Xiao, Y.; Deng, H.; Xie, Z.; He, W. Application of Nanoporous Super Thermal Insulation Material in the Prevention and Control of Thermal Hazards in Deep Mining of Metal Mines. J. Nanomater. 2022, 2022, 2390616. [Google Scholar] [CrossRef]
- Xu, Y.; Li, Z.; Chen, Y.; Jia, M.; Zhang, M.; Li, R. Synergetic Mining of Geothermal Energy in Deep Mines: An Innovative Method for Heat Hazard Control. Appl. Therm. Eng. 2022, 210, 118398. [Google Scholar] [CrossRef]
- Du Plessis, G.E.; Liebenberg, L.; Mathews, E.H. The Use of Variable Speed Drives for Cost-Effective Energy Savings in South African Mine Cooling Systems. Appl. Energy 2013, 111, 16–27. [Google Scholar] [CrossRef]
- Qiaoyun, H.; Yi, Z.; Kongqing, L.; Shenghua, Z. Computational Evaluation of Cooling System under Deep Hot and Humid Coal Mine in China: A Thermal Comfort Study. Tunn. Undergr. Sp. Technol. 2019, 90, 394–403. [Google Scholar] [CrossRef]
- Wang, J.; Wan, Z.; Zhang, H.; Wu, D.; Zhang, Y.; Wang, Y.; Xiong, L.; Wang, G. Application of Thermal Insulation Gunite Material to the High Geo-Temperature Roadway. Adv. Civ. Eng. 2020, 2020, 8853870. [Google Scholar] [CrossRef]
- Akçaözoǧlu, S.; Akçaözoǧlu, K.; Atiş, C.D. Thermal Conductivity, Compressive Strength and Ultrasonic Wave Velocity of Cementitious Composite Containing Waste PET Lightweight Aggregate (WPLA). Compos. Part B Eng. 2013, 45, 721–726. [Google Scholar] [CrossRef]
- Chung, S.Y.; Han, T.S.; Kim, S.Y.; Jay Kim, J.H.; Youm, K.S.; Lim, J.H. Evaluation of Effect of Glass Beads on Thermal Conductivity of Insulating Concrete Using Micro CT Images and Probability Functions. Cem. Concr. Compos. 2016, 65, 150–162. [Google Scholar] [CrossRef]
- Xie, S.; Su, C.; Xu, Y.; Wang, Q.; Wang, J.; Xia, Z. Mechanical Properties and Energy Dissipation of Sandstone under Cyclic Loading-Unloading. Shock Vib. 2021, 2021, 15–17. [Google Scholar] [CrossRef]
- Jiang, C.; Duan, M.; Yin, G.; Wang, J.G.; Lu, T.; Xu, J.; Zhang, D.; Huang, G. Experimental Study on Seepage Properties, AE Characteristics and Energy Dissipation of Coal under Tiered Cyclic Loading. Eng. Geol. 2017, 221, 114–123. [Google Scholar] [CrossRef]
- Mader-arndt, K.; Aman, S.; Fuchs, R.; Tomas, J. Contact Properties Determination of Macroscopic Fine Disperse Glass Particles via Compression Tests under Cyclic Loading/Unloading. Adv. Powder Technol. 2017, 28, 687–696. [Google Scholar] [CrossRef]
- Aditya, L.; Mahlia, T.M.I.; Rismanchi, B.; Ng, H.M.; Hasan, M.H.; Metselaar, H.S.C.; Muraza, O.; Aditiya, H.B. A Review on Insulation Materials for Energy Conservation in Buildings. Renew. Sustain. Energy Rev. 2017, 73, 1352–1365. [Google Scholar] [CrossRef]
- Okamura, M.; Nelson, F.; Watanabe, S. Pre-Shaking e Ff Ects on Volumetric Strain and Cyclic Strength of Sand and Comparison to Unsaturated Soils. Soil Dyn. Earthq. Eng. 2019, 124, 307–316. [Google Scholar] [CrossRef]
- Juneja, A.; Mohammed-aslam, A.K. Post-Cyclic Undrained Response of Sand and Silt. Soil Dyn. Earthq. Eng. 2020, 133, 106138. [Google Scholar] [CrossRef]
- Touqan, M.; Ahmed, A.; El, H.; Stark, T. Static and Cyclic Characterization of Fouled Railroad Sub-Ballast Layer Behaviour. Soil Dyn. Earthq. Eng. 2020, 137, 106293. [Google Scholar] [CrossRef]
- Alkan, H.; Cinar, Y.; Pusch, G. Rock Salt Dilatancy Boundary from Combined Acoustic Emission and Triaxial Compression Tests. Int. J. Rock Mech. Min. Sci. 2007, 44, 108–119. [Google Scholar] [CrossRef]
- Koohestani, B.; Mokhtari, P.; Yilmaz, E.; Mahdipour, F.; Khodadadi, A. Geopolymerization Mechanism of Binder-Free Mine Tailings by Sodium Silicate. Constr. Build. Mater. 2021, 268, 121217. [Google Scholar] [CrossRef]
- Elzeadani, M.; Bompa, D.V.; Elghazouli, A.Y. Monotonic and Cyclic Constitutive Behaviour of Rubberised One-Part Alkali-Activated Concrete. Constr. Build. Mater. 2023, 368, 130414. [Google Scholar] [CrossRef]
- Fuenkajorn, K.; Phueakphum, D. Effects of Cyclic Loading on Mechanical Properties of Maha Sarakham Salt. Eng. Geol. 2010, 112, 43–52. [Google Scholar] [CrossRef]
- Benmansour, N.; Agoudjil, B.; Gherabli, A.; Kareche, A.; Boudenne, A. Thermal and Mechanical Performance of Natural Mortar Reinforced with Date Palm Fibers for Use as Insulating Materials in Building. Energy Build. 2014, 81, 98–104. [Google Scholar] [CrossRef]
- Yousaf, Z.; Smith, M.; Potluri, P.; Parnell, W. Compression Properties of Polymeric Syntactic Foam Composites under Cyclic Loading. Compos. Part B 2020, 186, 107764. [Google Scholar] [CrossRef]
- Li, L.; Guo, X.; Liu, Y. Characterization of Cyclic Loading/Unloading Damage Behavior in Fiber-Reinforced Ceramic-Matrix Composites Using Inverse Tangent Modulus. J. Eur. Ceram. Soc. 2022, 42, 1912–1927. [Google Scholar] [CrossRef]
- Lin, J.; Zhang, Y.; Yang, Z. A Review of Recent Advances in Alkali-Activated Materials from Silica-Rich Wastes Derived Sodium Silicate Activators. J. Adv. Concr. Technol. 2023, 21, 189–203. [Google Scholar] [CrossRef]
- Pongsopha, P.; Sukontasukkul, P.; Phoo-ngernkham, T.; Imjai, T.; Jamsawang, P.; Chindaprasirt, P. Use of Burnt Clay Aggregate as Phase Change Material Carrier to Improve Thermal Properties of Concrete Panel. Case Stud. Constr. Mater. 2019, 11, e00242. [Google Scholar] [CrossRef]
- Yousefi, A.; Jolaiy, S.; Dezaki, M.L.; Zolfagharian, A.; Serjouei, A.; Bodaghi, M. 3D-Printed Soft and Hard Meta-Structures with Supreme Energy Absorption and Dissipation Capacities in Cyclic Loading Conditions. Adv. Eng. Mater. 2023, 25, 202201189. [Google Scholar] [CrossRef]
- Lazaro, A.L.; Rodriguez-Valadez, F.J.; Lopez, J.J.M.; Espejel-Ayala, F. SBA-15 Synthesis from Sodium Silicate Prepared with Sand and Sodium Hydroxide. Mater. Res. Express 2020, 7, 045503. [Google Scholar] [CrossRef]
- Alrayes, O.; Koenke, C.; Ooi, E.T.; Hamdia, K.M. Modeling Cyclic Crack Propagation in Concrete Using the Scaled Boundary Finite Element Method Coupled with the Cumulative Damage-Plasticity Constitutive Law. Materials 2023, 16, 863. [Google Scholar] [CrossRef] [PubMed]
- Adhikary, S.K.; Rudžionis, Ž.; Tučkutė, S. Characterization of Novel Lightweight Self-Compacting Cement Composites with Incorporated Expanded Glass, Aerogel, Zeolite and Fly Ash. Case Stud. Constr. Mater. 2022, 16, e00879. [Google Scholar] [CrossRef]
- Kansoun, Z.; Chaouki, H.; Picard, D.; Lauzon-Gauthier, J.; Alamdari, H.; Fafard, M. Strain Rate and Stress Amplitude Effects on the Mechanical Behavior of Carbon Paste Used in the Hall–Héroult Process and Subjected to Cyclic Loadings. Materials 2022, 15, 1263. [Google Scholar] [CrossRef] [PubMed]
- Gailitis, R.; Sprince, A.; Łach, M.; Gavrilovs, P.; Pakrastins, L. Cyclic Load Impact Assessment of Long-Term Properties in Compression to Steel and Polyvinyl Alcohol Fibre-Reinforced Geopolymer Composites. Materials 2023, 16, 6128. [Google Scholar] [CrossRef]
- Song, Z.; Konietzky, H.; Wu, Y.; Du, K.; Cai, X. Mechanical Behaviour of Medium-Grained Sandstones Exposed to Differential Cyclic Loading with Distinct Loading and Unloading Rates. J. Rock Mech. Geotech. Eng. 2022, 14, 1849–1871. [Google Scholar] [CrossRef]
- Sharma, H.K.; Sharma, R.K.; Saxena, R.S.; Gokhale, A.; Prasad, R. Cyclic Nanoindentation Studies of HgCdTe Epitaxial Films. Mater. Res. Express 2020, 7, 016430. [Google Scholar] [CrossRef]
- Łysiak, G.; Kulig, R.; Kowalczyk-Juśko, A. Toward New Value-Added Products Made from Anaerobic Digestate: Part 2—Effect of Loading Level on the Densification of Solid Digestate. Sustainability 2023, 15, 7396. [Google Scholar] [CrossRef]

















| Fineness (m2·kg−1) | Loss on Ignition (%) | Water Requirement of Standard Consistency (%) | Setting Time (min) | Compressive Strength (MPa) | Stability | ||
|---|---|---|---|---|---|---|---|
| Initial | Finial | 3 Days | 28 Days | ||||
| 342 | 3.5 | 25.9 | 165 | 220 | 29.9 | 49.75 | Conformity |
| Particle Size (mm) | Bulk Density (kg·m−3) | Apparent Density (kg·m−3) | Cylinder Compression Strength (MPa) | Thermal Conductivity (W/(m·K)−1) | Fire Resistance (°C) | 1 MPa Pressure Volume Loss Rate (%) |
|---|---|---|---|---|---|---|
| 0.5–1.5 | 80–120 | 80–130 | ≥150 | 0.032–0.045 | 1280–1360 | 38–46 |
| Product Model | Silicon Dioxide (SiO2) (%) | Sodium Oxide (Na2O) (%) | Concentration (Bé) | Elastic Coefficient |
|---|---|---|---|---|
| SP38 | 27.3 | 8.54 | 38.5 | 2.25 |
| Factor Level | Water-Cement Ratio | Glazed Hollow Beads Content (kg/m3) | Volume Ratio of Sodium Silicate to Cement Slurry |
|---|---|---|---|
| 1 | 0.6 | 25 | 1.0 |
| 2 | 0.8 | 35 | 0.8 |
| 3 | 1.0 | 45 | 0.6 |
| 4 | 1.2 | 55 | 0.4 |
| Mix | Compressive Strength (MPa) | Gelation Time (s) | Stone Rate | ||||||
|---|---|---|---|---|---|---|---|---|---|
| 3 d | 7 d | 14 d | 21 d | 28 d | 60 d | 90 d | |||
| 1 | 2.5 | 6.1 | 9.3 | 10.1 | 11.3 | 11.6 | 12.3 | 301 | 0.960 |
| 2 | 2.6 | 7.0 | 9.5 | 11.9 | 16.1 | 17.2 | 17.4 | 313 | 0.960 |
| 3 | 3.7 | 9.0 | 13.5 | 14.5 | 19.9 | 20.2 | 20.2 | 233 | 0.980 |
| 4 | 13.6 | 14.2 | 15.1 | 16.1 | 16.3 | 16.6 | 16.9 | 138 | 0.990 |
| 5 | 2.1 | 3.1 | 5.3 | 8.1 | 9.1 | 9.9 | 12.3 | 209 | 0.970 |
| 6 | 1.9 | 2.7 | 2.9 | 3.8 | 3.8 | 5.4 | 6.8 | 413 | 0.941 |
| 7 | 2.3 | 13.3 | 13.6 | 14.9 | 15.7 | 17.3 | 19.9 | 100 | 0.960 |
| 8 | 1.8 | 3.1 | 5.1 | 5.6 | 5.8 | 11.4 | 12.3 | 177 | 0.960 |
| 9 | 1.8 | 2.9 | 3.9 | 7.0 | 9.3 | 9.8 | 10.1 | 99 | 0.951 |
| 10 | 4.6 | 8.0 | 8.5 | 9.1 | 9.4 | 10.7 | 11.3 | 72 | 0.903 |
| 11 | 0.8 | 1.3 | 1.5 | 1.6 | 1.7 | 2.5 | 2.5 | 456 | 0.941 |
| 12 | 1.0 | 1.8 | 1.8 | 2.2 | 2.5 | 3.3 | 3.1 | 310 | 0.960 |
| 13 | 3.3 | 7.5 | 7.6 | 7.8 | 8.1 | 8.4 | 9.0 | 77 | 0.960 |
| 14 | 1.2 | 1.5 | 1.5 | 2.1 | 2.5 | 6.2 | 6.3 | 213 | 0.960 |
| 15 | 0.8 | 1.0 | 1.4 | 1.5 | 1.5 | 1.7 | 1.9 | 361 | 0.960 |
| 16 | 0.3 | 0.6 | 0.6 | 0.7 | 0.7 | 0.8 | 0.8 | 1277 | 0.960 |
| Number of Loads | Total Input Energy U-Stress | Elastic Energy UE-Stress |
|---|---|---|
| 1 | ||
| 2 | ||
| 4 | ||
| 6 | ||
| Number of loads | Dissipative energy UD-stress | Energy consumption ratio η-stress |
| 1 | ||
| 2 | ||
| 4 | ||
| 6 | ||
| Number of Cycles | Stage 1 | Stage 2 | Stage 3 | Stage 4 | Stage 5 | Stage 6 | |
|---|---|---|---|---|---|---|---|
| 1 | Total difference | 0.288 | |||||
| Stage difference | |||||||
| 2 | Total difference | 1.727 | |||||
| Stage difference | 1.592 | 0.258 | 0.706 | 0.13 | 0.035 | 0.079 | |
| 4 | Total difference | 2.269 | |||||
| Stage difference | 2.182 | 0.228 | 0.115 | 0.097 | 0.084 | ||
| 6 | Total difference | 2.248 | |||||
| Stage difference | 2.211 | 0.143 | 0.11 | 0.084 | 0.055 | ||
Disclaimer/Publisher’s Note: The statements, opinions and data contained in all publications are solely those of the individual author(s) and contributor(s) and not of MDPI and/or the editor(s). MDPI and/or the editor(s) disclaim responsibility for any injury to people or property resulting from any ideas, methods, instructions or products referred to in the content. |
© 2023 by the authors. Licensee MDPI, Basel, Switzerland. This article is an open access article distributed under the terms and conditions of the Creative Commons Attribution (CC BY) license (https://creativecommons.org/licenses/by/4.0/).
Share and Cite
Liu, T.; Yao, W.; Han, J.; Liu, Y.; Wang, H. Research on Damage Evolution Law of Glazed Hollow Beads-Cement/Sodium Silicate Grouting Materials under Different Cycles of Loading and Unloading. Materials 2024, 17, 204. https://doi.org/10.3390/ma17010204
Liu T, Yao W, Han J, Liu Y, Wang H. Research on Damage Evolution Law of Glazed Hollow Beads-Cement/Sodium Silicate Grouting Materials under Different Cycles of Loading and Unloading. Materials. 2024; 17(1):204. https://doi.org/10.3390/ma17010204
Chicago/Turabian StyleLiu, Tao, Weijing Yao, Jinxiu Han, Yu Liu, and Heng Wang. 2024. "Research on Damage Evolution Law of Glazed Hollow Beads-Cement/Sodium Silicate Grouting Materials under Different Cycles of Loading and Unloading" Materials 17, no. 1: 204. https://doi.org/10.3390/ma17010204
APA StyleLiu, T., Yao, W., Han, J., Liu, Y., & Wang, H. (2024). Research on Damage Evolution Law of Glazed Hollow Beads-Cement/Sodium Silicate Grouting Materials under Different Cycles of Loading and Unloading. Materials, 17(1), 204. https://doi.org/10.3390/ma17010204
