The Synergy Reinforcement Effect of Sm0.85Zn0.15MnO3 and ZrMgMo3O12 on Sm0.85Zn0.15MnO3-ZrMgMo3O12/Al-20Si Composites
Abstract
1. Introduction
2. Experimental Materials and Procedures
2.1. Experimental Materials
2.2. Preparation of Composites
2.3. Microstructure Characterization of Composites
2.4. Measurement of Mechanical Properties
2.5. Measurement of CTE
3. Results and Discussion
3.1. Microstructural Characterization of Composites
3.2. Hardness of SZMO-ZMMO/Al-20Si Composites
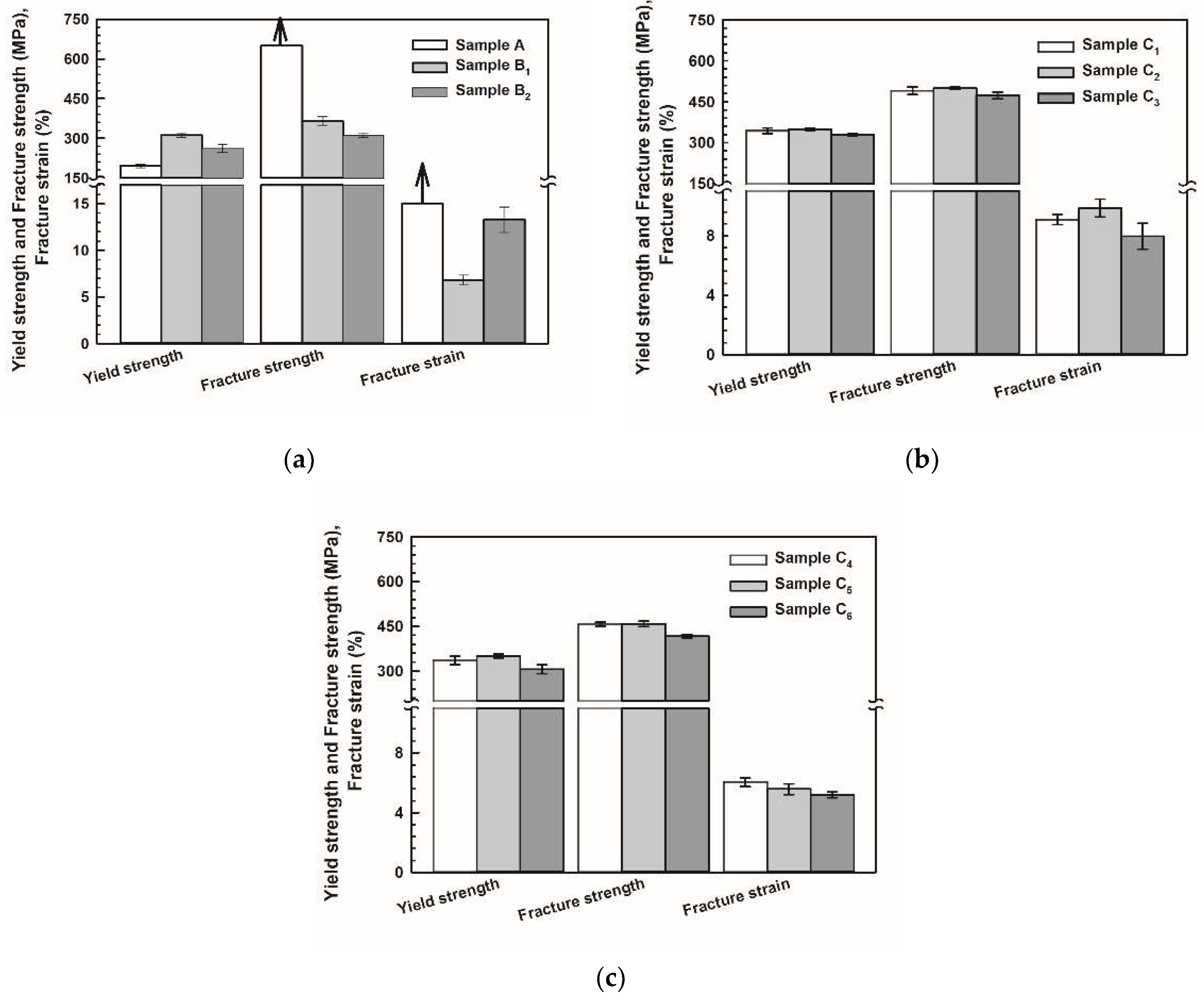
3.3. Compressive Properties of SZMO-ZMMO/Al-20Si Composites
3.4. Thermal Expansion Properties of SZMO-ZMMO/Al-20Si Composites
3.5. Synergy Effect of SZMO and ZMMO Reinforcements on Composites
4. Conclusions
- (1)
- SZMO-ZMMO/Al-20Si composites were fabricated by adding varying contents of SZMO and ZMMO NTE ceramic reinforcements. Both the SZMO and ZMMO NTE ceramic reinforcements exhibited excellent phase stability. However, excessive addition of those reinforcements could cause their aggregation within the composite.
- (2)
- Adding a small amount of SZMO significantly enhanced the reinforcing effect provided by ZMMO reinforcements on the Al-20Si matrix alloy. The combined incorporation of 2.5 vol% SZMO and 5 vol% ZMMO NTE ceramic reinforcements results in an increase of 63.5% in hardness and 79.7% in compressive yield strength compared to the bare Al-20Si alloy, respectively.
- (3)
- The addition of a small amount of SZMO in combination with ZMMO reinforcements effectively reduced the CTE in SZMO-ZMMO/Al-20Si composites. The lowest CTE achieved was 12.55 × 10−6/K when combining 2.5 vol% SZMO NTE ceramic and 10 vol% ZMMO NTE ceramic, resulting in a decrease of 26.44% compared to the bare Al-20Si alloy and a decrease of 10% compared to the ZMMO/Al-20Si composite.
- (4)
- Based on the evaluation parameter proposed in this study, the composite prepared by adding 2.5 vol% SZMO NTE ceramic and 10 vol% ZMMO NTE ceramic exhibited an optimal balance between CTE and strength. This represented a significant increase in yield strength by 79.20% and a notable reduction in CTE by 26.44%, compared to the bare Al-20Si alloy.
Author Contributions
Funding
Institutional Review Board Statement
Informed Consent Statement
Data Availability Statement
Conflicts of Interest
References
- Liu, J.; Zhou, B.; Xu, L.; Han, Z.; Zhou, J. Fabrication of SiC reinforced aluminium metal matrix composites through microwave sintering. Mater. Res. Express 2020, 7, 125101. [Google Scholar] [CrossRef]
- Ye, T.; Xu, Y.; Ren, J. Effects of SiC particle size on mechanical properties of SiC particle reinforced aluminum metal matrix composite. Mater. Sci. Eng. A 2019, 753, 146–155. [Google Scholar] [CrossRef]
- Mao, D.; Meng, X.; Xie, Y.; Yang, Y.; Xu, Y.; Qin, Z.; Chang, Y.; Wan, L.; Huang, Y. Strength-ductility balance strategy in SiC reinforced aluminum matrix composites via deformation-driven metallurgy. J. Alloys Compd. 2022, 891, 162078. [Google Scholar] [CrossRef]
- Song, Y.; Ding, X.; Zhao, X.; Xiao, L.; Yu, C. The effect of SiC addition on the dimensional stability of Al-Cu-Mg alloy. J. Alloys Compd. 2018, 750, 111–116. [Google Scholar] [CrossRef]
- Sun, R.; Cao, Z.; Che, Z.; Zhang, H.; Zou, S.; Wu, J.; Guo, W. A combined experimental-numerical study of residual stress and its relaxation on laser shock peened SiC particle-reinforced 2009 aluminum metal matrix composites. Surf. Coat. Technol. 2022, 430, 127988. [Google Scholar] [CrossRef]
- Dong, X.; Shin, Y.C. Multi-scale modeling of thermal conductivity of SiC-reinforced aluminum metal matrix composite. J. Compos. Mater. 2017, 51, 3941–3953. [Google Scholar] [CrossRef]
- Shishkin, R.; Yuferov, Y. Fabrication of SiC matrix composite material by pressureless aluminum melt infiltration in air atmosphere. Compos. Commun. 2022, 32, 101176. [Google Scholar] [CrossRef]
- Varol, T.; Canakci, A.; Ozkaya, S.; Erdemir, F. Determining the effect of flake matrix size and Al2O3 content on microstructure and mechanical properties of Al2O3 nanoparticle reinforced Al matrix composites. Part. Sci. Technol. 2016, 36, 312–323. [Google Scholar] [CrossRef]
- Chen, C.; Guo, Z.; Luo, J.; Wang, W.; Hao, J. Effects of Ultrasonic Treatment on Microstructure and Properties of Al-Based Composites Reinforced by In Situ Al2O3 Nanoparticles. High Temp. Mater. Process. 2016, 35, 169–175. [Google Scholar] [CrossRef]
- Ipekoglu, M.; Nekouyan, A.; Albayrak, O.; Altintas, S. Mechanical characterization of B4C reinforced aluminum matrix composites produced by squeeze casting. J. Mater. Res. 2017, 32, 599–605. [Google Scholar] [CrossRef]
- Kara, M.; Coskun, T.; Gunoz, A. Influence of B4C on enhancing mechanical properties of AA2014 aluminum matrix composites. Proc. Inst. Mech. Eng. Part C J. Mech. Eng. Sci. 2022, 236, 2536–2545. [Google Scholar] [CrossRef]
- Tong, X.; Ghosh, A. Fabrication of in situ TiC reinforced aluminum matrix composites. J. Mater. Sci. 2001, 36, 4059–4069. [Google Scholar] [CrossRef]
- Sui, Y.; Chen, X.; Wang, R.; Qi, J.; Wei, F.; He, Y.; Meng, Q.; Sun, Z. Wear behavior of in-situ TiC particles reinforced aluminum matrix composite. J. Wuhan Univ. Technol. Mater Sci. Ed. 2017, 32, 552–556. [Google Scholar] [CrossRef]
- Chamroune, N.; Mereib, D.; Delange, F.; Caillault, N.; Lu, Y.; Grosseau-Poussard, J.-L.; Silvain, J.-F. Effect of flake powder metallurgy on thermal conductivity of graphite flakes reinforced aluminum matrix composites. J. Mater. Sci. 2018, 53, 8180–8192. [Google Scholar] [CrossRef]
- Alaneme, K.K.; Fajemisin, A.V.; Maledi, N.B. Development of aluminium-based composites reinforced with steel and graphite particles: Structural, mechanical and wear characterization. J. Mater. Res. Technol. 2019, 8, 670–682. [Google Scholar] [CrossRef]
- Zhai, M.-J.; Zhang, F.-L.; Chen, X.-S.; Lin, Y.-B.; Zhu, M.-X.; Tang, H.-Q.; Zhou, Y.-M. Preparation and characterization of nanodiamond reinforced aluminum matrix composites by hot-press sintering. Diam. Relat. Mater. 2021, 120, 108664. [Google Scholar] [CrossRef]
- Wu, B.-L.; Peng, Y.-C.; Tang, H.-Q.; Zhan, Y.-Z.; Zhang, F.-L. Microstructural evolution of nanodiamond-reinforced aluminum matrix composites during the process of hot extrusion. Ceram. Int. 2023, 49, 9355–9370. [Google Scholar] [CrossRef]
- Su, J.; Teng, J. Recent progress in graphene-reinforced aluminum matrix composites. Front. Mater. Sci. 2021, 15, 79–97. [Google Scholar] [CrossRef]
- Meng, J.; Shi, X.; Wang, M.; Zhang, S.; Kong, X. Microstructure and wear resistance of graphene-reinforced aluminum matrix composites. Mater. Res. Express 2018, 6, 026517. [Google Scholar] [CrossRef]
- Wang, F.; Li, J.; Shi, C.; Liu, E.; He, C.; Zhao, N. In-situ synthesis of MgAlB4 whiskers as a promising reinforcement for aluminum matrix composites. Mater. Sci. Eng. A 2019, 764, 138229. [Google Scholar] [CrossRef]
- Zhang, C.; Yin, J.; Yao, D.; Zuo, K.; Xia, Y.; Liang, H.; Zeng, Y. Enhanced tensile properties of Al matrix composites reinforced with β-Si3N4 whiskers. Compos. Part A Appl. Sci. Manuf. 2017, 102, 145–153. [Google Scholar] [CrossRef]
- Bedmar, J.; Torres, B.; Rams, J. Manufacturing of Aluminum Matrix Composites Reinforced with Carbon Fiber Fabrics by High Pressure Die Casting. Materials 2022, 15, 3400. [Google Scholar] [CrossRef] [PubMed]
- Tsukamoto, H. Mechanical behavior of shape memory alloy fiber reinforced aluminum matrix composites. Mater. Today Commun. 2021, 29, 102750. [Google Scholar] [CrossRef]
- Geng, R.; Qiu, F.; Jiang, Q.C. Reinforcement in Al matrix composites: A review of strengthening behavior of nano-sized particles. Adv. Eng. Mater. 2018, 20, 1701089. [Google Scholar] [CrossRef]
- Wu, G.; Zhang, Q.; Chen, G.; Jiang, L.; Xiu, Z. Properties of high reinforcement-content aluminum matrix composite for electronic packages. J. Mater. Sci. Mater. Electron. 2003, 14, 9–12. [Google Scholar] [CrossRef]
- Zhang, Q.; Wu, G.; Jiang, L.; Chen, G. Thermal expansion and dimensional stability of Al–Si matrix composite reinforced with high content SiC. Mater. Chem. Phys. 2003, 82, 780–785. [Google Scholar] [CrossRef]
- Erdemir, F.; Canakci, A.; Varol, T. Microstructural characterization and mechanical properties of functionally graded Al2024/SiC composites prepared by powder metallurgy techniques. Trans. Nonferrous Met. Soc. China 2015, 25, 3569–3577. [Google Scholar] [CrossRef]
- Zhang, X.; Zhou, H.; Zhou, B.; Wang, R.; Han, H.; Jiang, X.; Li, M. Surface Morphology and Kerf Quality During Fiber Laser Cutting of High Volume Fraction SiC Particles-Reinforced Aluminum Matrix Composites. J. Mater. Eng. Perform. 2023, 32, 5906–5918. [Google Scholar] [CrossRef]
- Liang, E.; Sun, Q.; Yuan, H.; Wang, J.; Zeng, G.; Gao, Q. Negative thermal expansion: Mechanisms and materials. Front. Phys. 2021, 16, 53302. [Google Scholar] [CrossRef]
- Takenaka, K. Progress of research in negative thermal expansion materials: Paradigm shift in the control of thermal expansion. Front. Chem. 2018, 6, 267. [Google Scholar] [CrossRef]
- Shi, N.; Song, Y.; Xing, X.; Chen, J. Negative thermal expansion in framework structure materials. Coord. Chem. Rev. 2021, 449, 214204. [Google Scholar] [CrossRef]
- Suzuki, T.; Omote, A. Zero thermal expansion in (Al2x(HfMg)1−x)(WO4)3. J. Am. Ceram. Soc. 2006, 89, 691–693. [Google Scholar] [CrossRef]
- Withers, R.; Evans, J.; Hanson, J.; Sleight, A. Anin SituTemperature-Dependent Electron and X-ray Diffraction Study of Structural Phase Transitions in ZrV2O7. J. Solid State Chem. 1998, 137, 161–167. [Google Scholar] [CrossRef]
- Chapman, K.W.; Chupas, P.J.; Kepert, C.J. Compositional dependence of negative thermal expansion in the prussian blue analogues MPt(CN)6 (M = Mn, Fe, Co, Ni, Cu, Zn, Cd). J. Am. Chem. Soc. 2006, 128, 7009–7014. [Google Scholar] [CrossRef] [PubMed]
- Zhou, Y.; Zhou, C.; Wu, Y.; Zhao, Q.; Fu, L.; Yu, C.; Zhang, Q.; Wu, G. Near-zero thermal expansion in a wide temperature range of lightweight mMnZnSnN/AlSi with high thermal conductivity. Ceram. Int. 2023, 49, 34472–34480. [Google Scholar] [CrossRef]
- Zhou, C.; Zhou, Y.; Zhang, Q.; Meng, Q.; Zhang, L.; Kobayashi, E.; Wu, G. Near-zero thermal expansion of ZrW2O8/Al–Si composites with three dimensional interpenetrating network structure. Compos. Part B Eng. 2021, 211, 108678. [Google Scholar] [CrossRef]
- Cao, H.; Su, Y.; Zhang, D.; Ouyang, Q. Fabrication, mechanical and thermal behaviors of antiperovskite manganese nitride Mn3.1Zn0.5Sn0.4N reinforced aluminum matrix composites. Compos. Part B Eng. 2021, 223, 109080. [Google Scholar] [CrossRef]
- Zhou, C.; Zhang, Q.; Liu, S.; Luo, B.; Yi, E.; Tian, E.; Li, G.; Li, L.; Wu, G. Thermal mismatch strain induced disorder of Y2Mo3O12 and its effect on thermal expansion of Y2Mo3O12/Al composites. Phys. Chem. Chem. Phys. 2017, 19, 11778–11785. [Google Scholar] [CrossRef]
- Song, P.; Xie, K.; Yang, J.; Jiang, D.; Liu, Z.; Zhang, J.; Zhang, G.; Cai, B. Influence of ball milling process on microstructure, mechanical and thermal expansion properties of ZrMgMo3O12/Al-40Si composites. Micron 2022, 157, 103245. [Google Scholar] [CrossRef]
- Song, W.-B.; Liang, E.-J.; Liu, X.-S.; Li, Z.-Y.; Yuan, B.-H.; Wang, J.-Q. A negative thermal expansion material of ZrMgMo3O12. Chin. Phys. Lett. 2013, 30, 126502. [Google Scholar] [CrossRef]
- Yang, J.; Wang, L.; Tan, X.; Zhi, Q.; Yang, R.; Zhang, G.; Liu, Z.; Ge, X.; Liang, E. Effect of sintering temperature on the thermal expansion behavior of ZrMgMo3O12p/2024Al composite. Ceram. Int. 2018, 44, 10744–10752. [Google Scholar] [CrossRef]
- Yang, J.; Liu, Z.; Yang, R.; Zhi, Q.; Yang, M.; Zhang, Y.; Liang, E. Influence of high-energy milling and heat treatment on the thermal and mechanical properties of a ZrMgMo3O12p/2024Al composite. Ceram. Int. 2019, 45, 13464–13471. [Google Scholar] [CrossRef]
- Yang, J.; Liu, Z.; Shi, Y.; Li, M.; Yang, M.; Liang, E. Investigation on the synthesis and the mechanical and thermal expansion properties of ZrMgMo3O12 ceramic bodies. Ceram. Int. 2019, 45, 8750–8760. [Google Scholar] [CrossRef]
- Tang, X.; Jiao, Y.; Yang, M.; Chao, M.; Zhu, Y.; Chen, R.; Guo, J.; Gao, Q.; Liang, E. Anomalous thermal expansion properties in perovskite Sm0.85Zn0.15MnO3. Solid State Ion. 2020, 344, 115139. [Google Scholar] [CrossRef]
- Kim, C.-S.; Cho, K.; Manjili, M.H.; Nezafati, M. Mechanical performance of particulate-reinforced Al metal-matrix composites (MMCs) and Al metal-matrix nano-composites (MMNCs). J. Mater. Sci. 2017, 52, 13319–13349. [Google Scholar] [CrossRef]
- Zhang, Z.; Chen, D. Contribution of Orowan strengthening effect in particulate-reinforced metal matrix nanocomposites. Mater. Sci. Eng. A 2008, 483, 148–152. [Google Scholar] [CrossRef]
- Nandihalli, N.; Mori, T.; Kleinke, H. Effect of addition of SiC and Al2O3 refractories on Kapitza resistance of antimonide-telluride. AIP Adv. 2018, 8, 095009. [Google Scholar] [CrossRef]














| Reference Samples | Experimental Samples | ||||||||
|---|---|---|---|---|---|---|---|---|---|
| A | B1 | B2 | C1 | C2 | C3 | C4 | C5 | C6 | |
| Al-20Si | 100 | 95 | 90 | 93.5 | 92.5 | 91.5 | 88.5 | 87.5 | 86.5 |
| SZMO | 0 | 5 | 0 | 1.5 | 2.5 | 3.5 | 1.5 | 2.5 | 3.5 |
| ZMMO | 0 | 0 | 10 | 5 | 5 | 5 | 10 | 10 | 10 |
Disclaimer/Publisher’s Note: The statements, opinions and data contained in all publications are solely those of the individual author(s) and contributor(s) and not of MDPI and/or the editor(s). MDPI and/or the editor(s) disclaim responsibility for any injury to people or property resulting from any ideas, methods, instructions or products referred to in the content. |
© 2024 by the authors. Licensee MDPI, Basel, Switzerland. This article is an open access article distributed under the terms and conditions of the Creative Commons Attribution (CC BY) license (https://creativecommons.org/licenses/by/4.0/).
Share and Cite
Li, K.; Ren, B.; Liu, Z.; Zhang, G.; Cai, B.; Shi, Y.; Huang, H. The Synergy Reinforcement Effect of Sm0.85Zn0.15MnO3 and ZrMgMo3O12 on Sm0.85Zn0.15MnO3-ZrMgMo3O12/Al-20Si Composites. Materials 2024, 17, 2494. https://doi.org/10.3390/ma17112494
Li K, Ren B, Liu Z, Zhang G, Cai B, Shi Y, Huang H. The Synergy Reinforcement Effect of Sm0.85Zn0.15MnO3 and ZrMgMo3O12 on Sm0.85Zn0.15MnO3-ZrMgMo3O12/Al-20Si Composites. Materials. 2024; 17(11):2494. https://doi.org/10.3390/ma17112494
Chicago/Turabian StyleLi, Kaidong, Bo Ren, Zhongxia Liu, Guopeng Zhang, Bin Cai, Yunjia Shi, and Hai Huang. 2024. "The Synergy Reinforcement Effect of Sm0.85Zn0.15MnO3 and ZrMgMo3O12 on Sm0.85Zn0.15MnO3-ZrMgMo3O12/Al-20Si Composites" Materials 17, no. 11: 2494. https://doi.org/10.3390/ma17112494
APA StyleLi, K., Ren, B., Liu, Z., Zhang, G., Cai, B., Shi, Y., & Huang, H. (2024). The Synergy Reinforcement Effect of Sm0.85Zn0.15MnO3 and ZrMgMo3O12 on Sm0.85Zn0.15MnO3-ZrMgMo3O12/Al-20Si Composites. Materials, 17(11), 2494. https://doi.org/10.3390/ma17112494

