Influence of Laser Process Parameters on the Forming Quality and Discharge Performance of 3D-Printed Porous Anodes for Al–Air Batteries
Abstract
1. Introduction
2. Experiment
2.1. Material Preparation
2.2. Instruments
2.3. Experimental Program
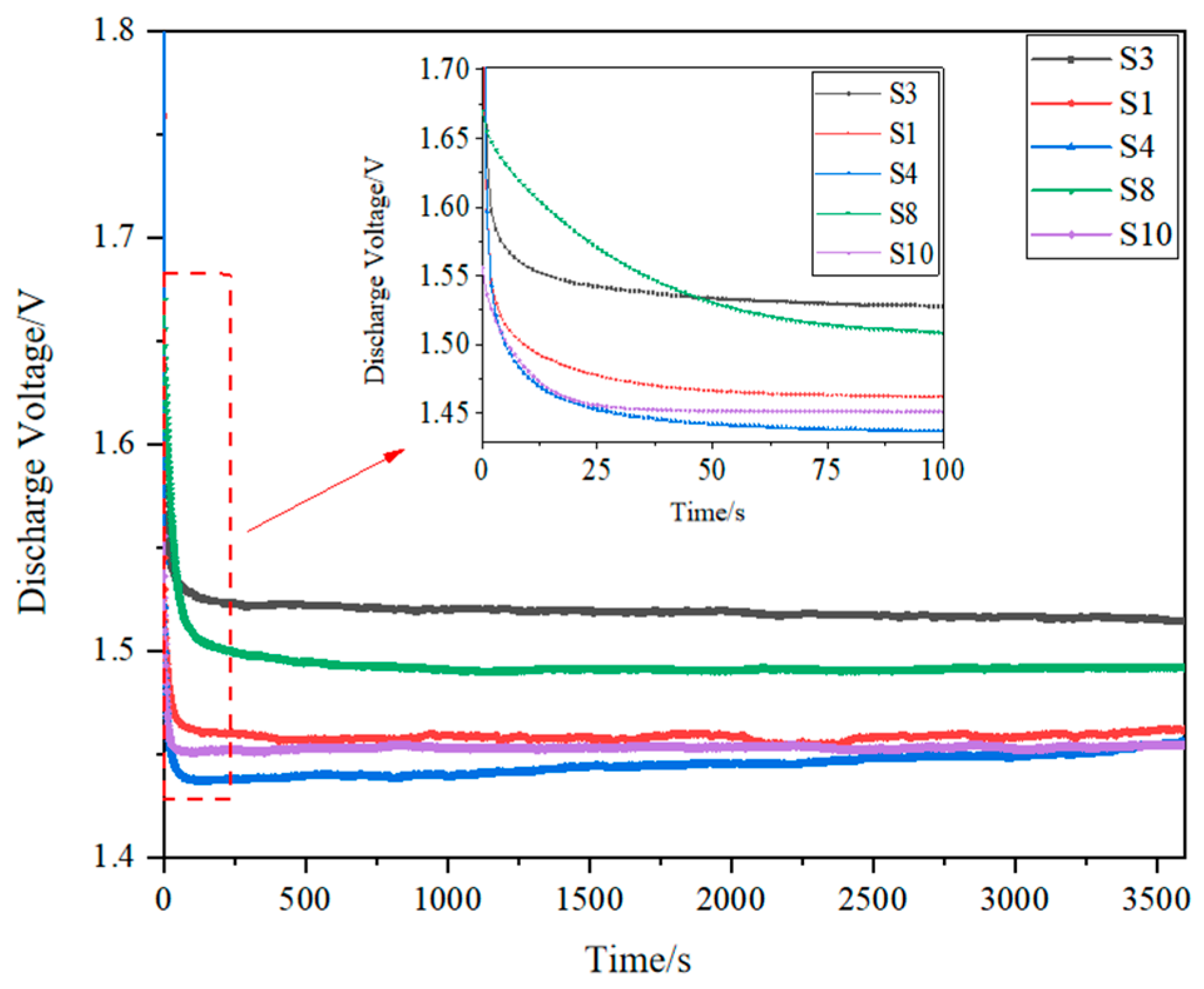
3. Results and Discussion
3.1. Influence of Process Parameters on Forming Quality
3.1.1. Surface Roughness
3.1.2. Homogeneity
3.2. Influence of Molding Quality on Discharge Properties
3.2.1. Discharge Performance
3.2.2. Anode Utilization
3.2.3. Electrical Discharge Pattern
3.2.4. Validation of Validity
4. Conclusions
Author Contributions
Funding
Institutional Review Board Statement
Informed Consent Statement
Data Availability Statement
Conflicts of Interest
References
- Liu, Q.; Pan, Z.; Wang, E.; An, L.; Sun, G. Aqueous metal-air batteries: Fundamentals and applications. Energy Storage Mater. 2020, 27, 478–505. [Google Scholar] [CrossRef]
- Sun, Y.T.; Liu, X.R.; Jiang, Y.M.; Li, J.; Ding, J.; Hu, W.B.; Zhong, C. Recent advances and challenges in divalent and multivalent metal electrodes for metal–air batteries. J. Mater. Chem. A 2019, 7, 18183–18208. [Google Scholar] [CrossRef]
- Wu, Z.; Zhang, H.; Tang, S.; Zhou, J.; Yang, D.; Wang, Y.; Qin, K.; Ban, C.; Cui, J.; Nagaumi, H. Effect of calcium on the electrochemical behaviors and discharge performance of Al-Sn alloy as anodes for Al-air batteries. Electrochim. Acta 2021, 370, 137833. [Google Scholar] [CrossRef]
- Linjee, S.; Moonngam, S.; Klomjit, P.; Pålsson, N.S.; Banjongprasert, C. Corrosion behaviour improvement from the ultrafine-grained Al-Zn-In alloys in Al-air battery. Energy Rep. 2022, 8, 5117. [Google Scholar] [CrossRef]
- Zhang, Z.K.; Wang, Y.B.; Wei, X.F.; Feng, J.; Xin, Y.; Wang, X.; Wei, Y. High energy efficiency and high discharge voltage of 2N-purity Al-based anodes for Al-air battery by simultaneous addition of Mn, Zn and Ga. J. Power Sources 2023, 563, 232845. [Google Scholar] [CrossRef]
- Saladom, M.; Lizundia, E. Advances, challenges, and environmental impacts in metal-air battery electrolytes. Mater. Today Energy 2022, 28, 101064. [Google Scholar] [CrossRef]
- Buckinghan, R.; Asset, T.; Atanassov, P. Aluminum-air batteries: A review of alloys, electrolytes and design. J. Power Sources 2021, 498, 229762. [Google Scholar] [CrossRef]
- Baek, M.J.; Choi, J.; Wi, T.U.; Lim, H.Y.; Myung, M.H.; Lim, C.; Sung, J.; Park, J.S.; Park, J.H.; Shim, Y.H.; et al. Strong interfacial energetics between catalysts and current collectors in aqueous sodium-air batteries. J. Mater. Chem. A 2022, 10, 4601. [Google Scholar] [CrossRef]
- Tu, J.; Song, W.L.; Lei, H.; Yu, Z.; Chen, L.L.; Wang, M.; Jiao, S. Nonaqueous Rechargeable Aluminum Batteries: Progresses, Challenges, and Perspectives. Chem. Rev. 2021, 121, 4903–4961. [Google Scholar] [CrossRef]
- Liu, Z.; Hao, H.; Cheng, X.; Zhao, F. Critical issues of energy efficient and new energy vehicles development in China. Energy Policy 2018, 115, 92–97. [Google Scholar] [CrossRef]
- He, J.G.; Wen, J.B.; Li, X.D.; Wang, G.W.; Xu, C.H. Influence of Ga and Bi on electrochemical performance of Al-Zn-Sn sacrificial anodes. Trans. Nonferrous Met. Soc. China 2011, 21, 1580. [Google Scholar] [CrossRef]
- Zuo, Y.; Yu, Y.; Liu, H.; Gu, Z.; Cao, Q.; Zuo, C. Electrospun Al2O3 Film as Inhibiting Corrosion Interlayer of Anode for Solid Aluminum–Air Batteries. Batteries 2020, 6, 19. [Google Scholar] [CrossRef]
- Zheng, X.B.; Zhang, T.; Yang, H.J.; Zheng, Q.; Gao, Y.; Liu, Z.; Wang, W.; Wang, K. Friction stir processing induced elctrochemical performance improvement of commercial Al for Al-air battery. Electrochim. Acta 2020, 354, 136635. [Google Scholar] [CrossRef]
- Zhang, P.; Liu, X.; Xue, J.; Jiang, K. The role of microstructural evolution in improving energy conversion of Al-based anodes for metal-air batteries. J. Power Sources 2020, 451, 227806. [Google Scholar] [CrossRef]
- Xiao, W.; Wang, D.L.; Lou, X. Shape-controlled synthesis of MnO2 nanostructures with enhanced electrocatalytic activity for oxygen reduction. J. Phys. Chem. C 2010, 114, 1694–1700. [Google Scholar] [CrossRef]
- Li, M.; Bi, X.X.; Wang, R.Y.; Li, Y.; Jiang, G.; Li, L.; Zhong, C.; Chen, Z.; Lu, J. Relating catalysis between fuel cell and metal-air batteries. Matter 2020, 2, 32–49. [Google Scholar] [CrossRef]
- Peng, G.M.; Wu, J.W.; Wang, M.Z.; Niklas, J.; Zhou, H.; Liu, C. Nitrogen-defective polymeric carbon nitride nanolayer enabled efficient electrocatalytic nitrogen reduction with high faradaic efficiency. Nano Lett. 2020, 20, 2879–2885. [Google Scholar] [CrossRef]
- He, Y.; Yang, J.; Fu, Q.; Li, J.; Zhang, L.; Zhu, X.; Liao, Q. Structure design of 3D hierarchical porous anode for high performance microbial fuel cells: From macro-to micro-scale. J. Power Sources 2021, 516, 230687. [Google Scholar] [CrossRef]
- Wu, J.H.; Hu, L.J.; Wang, N.; Li, Y.; Zhao, D.; Li, L.; Peng, X.; Cui, Z.; Ma, L.-J.; Tian, Y.; et al. Surface confinement assisted synthesis of nitrogen-rich hollow carbon cages with Co nanoparticles as breathable electrodes for Zn-air batteries. Appl. Catal. B Environ. 2019, 254, 55–65. [Google Scholar] [CrossRef]
- Zhao, R.; Xie, J.D.; Wen, H.; Wang, F.; Yang, J.; Zhang, D. Performance modeling and parameter sensitivity analyses of an aluminum-air battery with dual electrolyte structure. J. Energy Storage 2020, 32, 101696. [Google Scholar] [CrossRef]
- Yu, Y.C.; Chen, M.; Wang, S.T.; Hill, C.; Joshi, P.; Kuruganti, T.; Hu, A. Laser sintering of printed anodes for Al-air batteries. J. Electrochem. Soc. 2018, 165, A584–A592. [Google Scholar] [CrossRef]
- Yu, Y.; Wang, S.; Ma, D.; Joshi, P.; Hu, A. Recent progress on laser manufacturing of micro size energy devices on flexible substrates. J. Met. 2018, 70, 1816–1822. [Google Scholar]
- Jiang, H.; Yu, S.; Li, W.Z.; Yang, Y.; Yang, L.; Zhang, Z. Inhibition effect and mechanism of inorganic-organic hybrid additives on three-dimension porous aluminum foam in alkaline Al-air battery. J. Power Sources 2020, 448, 227460. [Google Scholar] [CrossRef]
- Han, Y.F. Study of Anode and Structural Properties of Aluminum-Air Batteries. Master’s Thesis, Shanghai Jiaotong University, Shanghai, China, 2020. Available online: https://link.cnki.net/doi/10.27307/d.cnki.gsjtu.2020.002858 (accessed on 28 April 2024).
- Emamian, A.; Stephen, F.; Khajepour, A. The influence of combined laser parameters on in-situ formed TiC morphology during laser cladding. Surf. Coat. Technol. 2001, 206, 124–131. [Google Scholar] [CrossRef]
- Liu, Y.; Liu, X.; Li, T.Y.; Tian, Y. Numerical modelling and experimental study on pulsed laser surface texturing on cemented carbides. Int. J. Adv. Manuf. Tech. 2021, 114, 3137–3145. [Google Scholar] [CrossRef]
- Ma, J.; Ren, F.; Wang, G.; Xiong, Y.; Li, Y.; Wen, J. Electrochemical performance of melt-spinning Al–Mg–Sn based anode alloys. Int. J. Hydrogen Energy 2017, 42, 11654–11661. [Google Scholar]
- Okobira, T.; Nguyen, D.T.; Taguchi, K. Effectiveness of doping zinc to the aluminum anode on aluminum-air battery performance. Int. J. Appl. Electromagn. Mech. 2020, 64, 57–64. [Google Scholar] [CrossRef]














| Sequences | Laser Power p/W | Scanning Speed v/mm·s−1 | Scanning Distance s/mm |
|---|---|---|---|
| 1 | 260, 280, 300, 320, 340 | 1000 | 0.13 |
| 2 | 300 | 800, 900, 1000, 1100, 1200 | 0.13 |
| 3 | 300 | 1000 | 0.09, 0.11, 0.13, 0.15, 0.17 |
| Ordinal Number | Laser Power P (W) | Scanning Speed V (mm/s) | Powder Thickness T (mm) | Scanning Distance D (mm) | Surface Roughness Ra (μm) | Homogeneity (%) |
|---|---|---|---|---|---|---|
| 1 | 275 | 900 | 0.02 | 0.10 | 18.05 | 93.19 |
| 2 | 275 | 1000 | 0.03 | 0.12 | 16.95 | 92.75 |
| 3 | 275 | 1100 | 0.04 | 0.14 | 19.58 | 93.29 |
| 4 | 300 | 900 | 0.03 | 0.14 | 16.89 | 92.15 |
| 5 | 300 | 1000 | 0.04 | 0.12 | 16.01 | 91.81 |
| 6 | 300 | 1100 | 0.02 | 0.10 | 17.68 | 93.09 |
| 7 | 325 | 900 | 0.04 | 0.12 | 15.15 | 94.01 |
| 8 | 325 | 1000 | 0.02 | 0.14 | 16.16 | 92.70 |
| 9 | 325 | 1100 | 0.03 | 0.10 | 16.73 | 94.62 |
| Influencing Factors | Laser Power (A) | Scanning Speed (B) | Powder Thickness (C) | Scanning Distance (D) |
|---|---|---|---|---|
| K1 | 18.19 | 16.70 | 17.30 | 17.49 |
| K2 | 16.86 | 16.37 | 16.86 | 16.59 |
| K3 | 16.01 | 17.99 | 16.91 | 17.54 |
| R | 2.18 | 1.62 | 0.44 | 0.95 |
| Influencing Factors | Laser Power (A) | Scanning Speed (B) | Powder Thickness (C) | Scanning Distance (D) |
|---|---|---|---|---|
| K1 | 93.08 | 93.12 | 92.99 | 93.63 |
| K2 | 93.02 | 93.09 | 93.17 | 93.52 |
| K3 | 93.78 | 93.67 | 93.70 | 92.71 |
| R | 0.76 | 0.58 | 0.71 | 0.92 |
| Battery Anode | Discharge Current Density (mA/cm2) | ||||||||
|---|---|---|---|---|---|---|---|---|---|
| Set Aside 1 | 2 | Set Aside 2 | 4 | Set Aside 3 | 6 | Set Aside 4 | 8 | Set Aside 5 | |
| 3D Printing | 1.78 | 1.65 | 1.78 | 1.58 | 1.78 | 1.50 | 1.78 | 1.45 | 1.78 |
| Casting | 1.48 | 1.34 | 1.47 | 1.26 | 1.47 | 1.18 | 1.47 | 1.12 | 1.46 |
Disclaimer/Publisher’s Note: The statements, opinions and data contained in all publications are solely those of the individual author(s) and contributor(s) and not of MDPI and/or the editor(s). MDPI and/or the editor(s) disclaim responsibility for any injury to people or property resulting from any ideas, methods, instructions or products referred to in the content. |
© 2024 by the authors. Licensee MDPI, Basel, Switzerland. This article is an open access article distributed under the terms and conditions of the Creative Commons Attribution (CC BY) license (https://creativecommons.org/licenses/by/4.0/).
Share and Cite
Wang, K.; Hu, Z.; Yin, C.; Qin, S.; Li, P.; Guan, J.; Zhu, K.; Li, Y.; Tang, S.; Han, J. Influence of Laser Process Parameters on the Forming Quality and Discharge Performance of 3D-Printed Porous Anodes for Al–Air Batteries. Materials 2024, 17, 2837. https://doi.org/10.3390/ma17122837
Wang K, Hu Z, Yin C, Qin S, Li P, Guan J, Zhu K, Li Y, Tang S, Han J. Influence of Laser Process Parameters on the Forming Quality and Discharge Performance of 3D-Printed Porous Anodes for Al–Air Batteries. Materials. 2024; 17(12):2837. https://doi.org/10.3390/ma17122837
Chicago/Turabian StyleWang, Keqing, Zheming Hu, Chutong Yin, Shuangchi Qin, Peng Li, Jiahui Guan, Kui Zhu, Yin Li, Sida Tang, and Jitai Han. 2024. "Influence of Laser Process Parameters on the Forming Quality and Discharge Performance of 3D-Printed Porous Anodes for Al–Air Batteries" Materials 17, no. 12: 2837. https://doi.org/10.3390/ma17122837
APA StyleWang, K., Hu, Z., Yin, C., Qin, S., Li, P., Guan, J., Zhu, K., Li, Y., Tang, S., & Han, J. (2024). Influence of Laser Process Parameters on the Forming Quality and Discharge Performance of 3D-Printed Porous Anodes for Al–Air Batteries. Materials, 17(12), 2837. https://doi.org/10.3390/ma17122837

