Mineral and Organic Materials as Factors Reducing the Effect of Petrol on Heavy Metal Content in Soil
Abstract
1. Introduction
2. Materials and Methods
2.1. Pot Vegetative Experiment
2.2. Analytical Methods
2.3. Statistical Methods
- η2—coefficient η2,
- SS effect—the sum of squares related to a given effect,
- And Total SS—the sum of squares associated with all effects.
3. Results
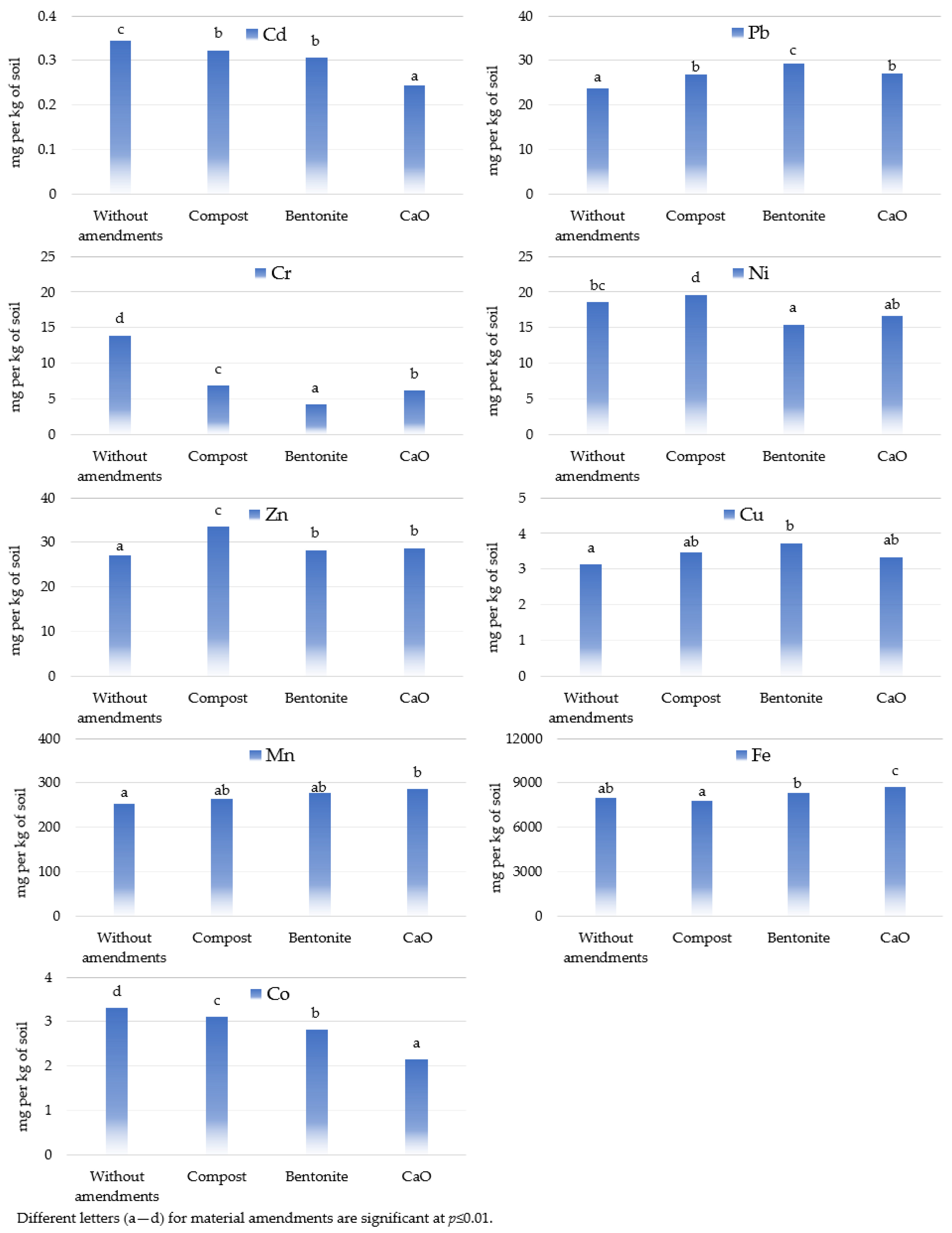
3.1. Heavy Metals
3.2. Relations between Heavy Metals
4. Discussion
5. Conclusions
Supplementary Materials
Author Contributions
Funding
Institutional Review Board Statement
Informed Consent Statement
Data Availability Statement
Conflicts of Interest
References
- Lifshits, S.; Glyaznetsova, Y.; Erofeevskaya, L.; Chalaya, O.; Zueva, I. Effect of oil pollution on the ecological condition of soils and bottom sediments of the arctic region (Yakutia). Environ. Pollut. 2021, 288, 117680. [Google Scholar] [CrossRef] [PubMed]
- Borowik, A.; Wyszkowska, J.; Kucharski, M.; Kucharski, J. Implications of soil pollution with diesel oil and BP Petroleum with active technology for soil health. Int. J. Environ. Res. Public Health 2019, 16, 2474. [Google Scholar] [CrossRef] [PubMed]
- Czarny, J.; Staninska-Pięta, J.; Piotrowska-Cyplik, A.; Juzwa, W.; Wolniewicz, A.; Marecik, R. Acinetobacter sp. as the key player in diesel oil degrading community exposed to PAHs Heavy Metals. J. Hazard Mater. 2020, 383, 1168. [Google Scholar] [CrossRef] [PubMed]
- Daâssi, D.; Qabil Almaghribi, F. Petroleum-contaminated soil: Environmental occurrence and remediation strategies. 3 Biotech 2022, 12, 139. [Google Scholar] [CrossRef] [PubMed]
- Devatha, C.P.; Vishnu Vishal, A.; Purna Chandra Rao, J. Investigation of physical and chemical characteristics on soil due to crude oil contamination and its remediation. Appl. Water Sci. 2019, 9, 89. [Google Scholar] [CrossRef]
- Stepanova, A.Y.; Gladkov, E.A.; Osipova, E.S.; Gladkova, O.V.; Tereshonok, D.V. Bioremediation of soil from petroleum contamination. Processes 2022, 10, 1224. [Google Scholar] [CrossRef]
- Wyszkowski, M.; Ziółkowska, A. Role of compost, bentonite and calcium oxide in restricting the effect of soil contamination with petrol and diesel oil on plants. Chemosphere 2009, 74, 860–865. [Google Scholar] [CrossRef]
- Wyszkowska, J.; Kucharski, J. Biochemical properties of soil contaminated by petrol. Pol. J. Environ. Stud. 2000, 6, 479–485. [Google Scholar]
- Borowik, A.; Wyszkowska, J.; Zaborowska, M.; Kucharski, J. Soil enzyme response and calorific value of Zea mays used for the phytoremediation of soils contaminated with diesel oil. Energies 2024, 17, 2552. [Google Scholar] [CrossRef]
- Mekkiyah, H.M.; Al-Hamadani, Y.A.J.; Abdulhameed, A.A.; Resheq, A.S.; Mohammed, Z.B. Effect of crude oil on the geotechnical properties of various soils and the developed remediation methods. Appl. Sci. 2023, 13, 9103. [Google Scholar] [CrossRef]
- Grifoni, M.; Rosellini, I.; Angelini, P.; Petruzzelli, G.; Pezzarossa, B. The effect of residual hydrocarbons in soil following oil spillages on the growth of Zea mays plants. Environ. Pollut. 2020, 265, 114950. [Google Scholar] [CrossRef]
- Bonvicini, S.; Antonioni, G.; Morra, P.; Cozzani, V. Quantitative assessment of environmental risk due to accidental spills from onshore pipelines. Process Saf. Environ. Prot. 2015, 93, 31–49. [Google Scholar] [CrossRef]
- Caravaca, F.; Rodán, A. Assessing changes in physical and biological properties in soil contaminated by oil sludges under semiarid Mediterranean conditions. Geoderma 2013, 117, 53–61. [Google Scholar] [CrossRef]
- Souza, E.C.; Vessoni-Penna, T.C.; de Souza Oliveira, R.P. Biosurfactant-enhanced hydrocarbon bioremediation: An overview. Int. Biodeter. Biodegr. 2014, 89, 88–94. [Google Scholar] [CrossRef]
- Rizvi, A.; Zaidi, A.; Ameen, F.; Ahmed, B.; AlKahtani, M.D.F.; Khan, M.S. Heavy metal induced stress on wheat: Phytotoxicity and microbiological management. RSC Adv. 2020, 10, 38379–38403. [Google Scholar] [CrossRef] [PubMed]
- Adebiyi, F.M.; Ore, O.T.; Akhigbe, G.E.; Adegunwa, A.O. Metal fractionation in the soils around a refined petroleum products depot. Environ. Forensics 2020, 21, 121–131. [Google Scholar] [CrossRef]
- Adebiyi, F.M.; Ayeni, D.A. Chemical speciation, bioavailability and risk assessment of potentially toxic metals in soils around petroleum product marketing company as environmental degradation indicators. Pet. Res. 2022, 7, 286–296. [Google Scholar] [CrossRef]
- Nawab, J.; Ghani, J.; Khan, S.; Xiaoping, W. Minimizing the risk to human health due to the ingestion of arsenic and toxic metals in vegetables by the application of biochar, farmyard manure and peat moss. J. Environ. Manag. 2018, 214, 172–183. [Google Scholar] [CrossRef] [PubMed]
- Hossain, M.A.; Piyatida, P.; da Silva, J.A.T.; Fujita, M. Molecular mechanism of heavy metal toxicity and tolerance in plants: Central role of glutathione in detoxification of reactive oxygen species and methylglyoxal and in heavy metal chelation. J. Bot. 2012, 2012, 37. [Google Scholar] [CrossRef]
- Shahid, M.; Khalid, S.; Abbas, G.; Shahid, N.; Nadeem, M.; Sabir, M.; Aslam, M.; Dumat, C. Heavy metal stress and crop productivity. In Crop Production and Global Environmental Issues; Hakeem, K., Ed.; Springer: Cham, Switzerland, 2015. [Google Scholar] [CrossRef]
- Xiong, Z.-T.; Zhao, F.; Li, M.-J. Lead toxicity in Brassica pekinensis Rupr.: Effect on nitrate assimilation and growth. Environ. Toxicol. 2006, 21, 147–153. [Google Scholar] [CrossRef] [PubMed]
- Yadav, M.; George, N.; Dwibedi, V. Emergence of toxic trace elements in plant environment: Insights into potential of silica nanoparticles for mitigation of metal toxicity in plants. Environ. Pollut. 2023, 333, 122112. [Google Scholar] [CrossRef] [PubMed]
- Emamverdian, A.; Ding, Y.; Mokhberdoran, F.; Xie, Y. Heavy metal stress and some mechanisms of plant defense response. Sci. World J. 2015, 2015, 756120. [Google Scholar] [CrossRef]
- Houben, D.; Pircar, J.; Sonnet, P. Heavy metal immobilization by cost-effective amendments in a contaminated soil: Effects on metal leaching and phytoavailability. J. Geochem. Explor. 2012, 123, 87–94. [Google Scholar] [CrossRef]
- Palansooriya, K.N.; Shaheen, S.M.; Chen, S.S.; Tsang, D.C.W.; Hashimoto, Y.; Hou, D.; Bolan, N.S.; Rinklebe, J.; Ok, Y.S. Soil amendments for immobilization of potentially toxic elements in contaminated soils: A critical review. Environ. Int. 2020, 134, 105046. [Google Scholar] [CrossRef] [PubMed]
- Kosiorek, M.; Wyszkowski, M. Effect of neutralizing substances on the content of trace elements in soil contaminated with cobalt. Environ. Prot. Eng. 2019, 4, 45–55. [Google Scholar] [CrossRef]
- Wyszkowski, M.; Kordala, N. Trace element contents in petrol-contaminated soil following the application of compost and mineral materials. Materials 2022, 15, 5233. [Google Scholar] [CrossRef] [PubMed]
- Beesley, L.; Marmiroli, M. The immobilization and retention of soluble arsenic, cadmium and zinc by biochar. Environ. Pollut. 2011, 159, 474–480. [Google Scholar] [CrossRef] [PubMed]
- Lebrun, M.; Miard, F.; Nandillon, R.; Scippa, G.S.; Bourgerie, S.; Morabito, D. Biochar effect associated with compost and iron to promote Pb and as soil stabilization and Salix viminalis L. growth. Chemosphere 2019, 222, 810–822. [Google Scholar] [CrossRef] [PubMed]
- Soares, M.A.R.; Quina, M.J.; Quinta-Ferreira, R.M. Immobilisation of lead and zinc in contaminated soil using compost derived from industrial eggshell. J. Environ. Manag. 2015, 164, 137–145. [Google Scholar] [CrossRef] [PubMed]
- Wyszkowski, M.; Kordala, N. Applicability of compost and mineral materials for reducing the effect of diesel oil on trace element content in soil. Materials 2023, 16, 3655. [Google Scholar] [CrossRef] [PubMed]
- Yu, K.; Xu, J.; Jiang, X.H.; Liu, C.; McCall, W.; Lu, J.L. Stabilization of heavy metals in soil using two organo-bentonites. Chemosphere 2017, 184, 884–891. [Google Scholar] [CrossRef] [PubMed]
- Jing, H.P.; Wang, X.J.; Xia, P.; Zhao, J.F. Sustainable utilization of a recovered struvite/diatomite compound for lead immobilization in contaminated soil: Potential, mechanism, efficiency, and risk assessment. Environ. Sci. Pollut. Res. 2019, 26, 4890–4900. [Google Scholar] [CrossRef] [PubMed]
- Wyszkowska, J.; Borowik, A.; Zaborowska, M.; Kucharski, J. The potential for restoring the activity of oxidoreductases and hydrolases in soil contaminated with petroleum products using perlite and dolomite. Appl. Sci. 2024, 14, 3591. [Google Scholar] [CrossRef]
- Ochecova, P.; Tlustos, P.; Szakova, J. Wheat and soil response to wood fly ash application in contaminated soils. Agron. J. 2014, 106, 995–1002. [Google Scholar] [CrossRef]
- Wyszkowski, M.; Wyszkowska, J.; Kordala, N.; Borowik, A. Applicability of ash wastes for reducing trace element content in Zea mays L. grown in Eco-Diesel Contaminated Soil. Molecules 2022, 27, 897. [Google Scholar] [CrossRef] [PubMed]
- Rolka, E.; Wyszkowski, M.; Żołnowski, A.C.; Skorwider-Namiotko, A. Role of woody biomass ash material in immobilization of cadmium, lead and zinc in soil. Materials 2024, 17, 2206. [Google Scholar] [CrossRef] [PubMed]
- Pogrzeba, M.; Galimska-Stypa, R.; Krzyżak, J.; Sas-Nowosielska, A. Sewage sludge and fly ash mixture as an alternative for decontaminating lead and zinc ore regions. Environ. Monit. Assess. 2015, 187, 4120–4133. [Google Scholar] [CrossRef]
- Wyszkowski, M.; Wyszkowska, J.; Borowik, A.; Kordala, N. Sewage sludge as a tool in limiting the content of trace elements in avena sativa L. on the soil polluted with diesel oil. Materials 2021, 14, 4003. [Google Scholar] [CrossRef] [PubMed]
- Kumpiene, J.; Lagerkvist, A.; Maurice, C. Stabilization of As, Cr, Cu, Pb and Zn in soil using amendments—A review. Waste Manag. 2008, 28, 215–225. [Google Scholar] [CrossRef] [PubMed]
- Lwin, C.S.; Seo, B.H.; Kim, H.U.; Owens, G.; Kim, K.R. Application of soil amendments to contaminated soils for heavy metal immobilization and improved soil quality—A critical review. Soil Sci. Plant Nutr. 2018, 64, 156–167. [Google Scholar] [CrossRef]
- Kumpiene, J.; Antelo, J.; Brännvall, E.; Carabante, I.; Ek, K.; Komarek, M.; Söderberg, C.; Warell, L. In situ chemical stabilization of trace element-contaminated soil—Field demonstrations and barriers to transition from laboratory to the field—A review. App. Geochem. 2019, 100, 335–351. [Google Scholar] [CrossRef]
- Xu, D.-M.; Fu, R.-B.; Wang, J.-X.; Shi, Y.-X.; Guo, X.-P. Chemical stabilization remediation for heavy metals in contaminated soils on the latest decade: Available stabilizing materials and associated evaluation methods—A critical review. J. Clean. Prod. 2021, 321, 128730. [Google Scholar] [CrossRef]
- Wu, M.; Guo, X.; Wu, J.; Chen, K. Effect of compost amendment and bioaugmentation on PAH degradation and microbial community shifting in petroleum-contaminated soil. Chemosphere 2020, 256, 126998. [Google Scholar] [CrossRef] [PubMed]
- Ossai, I.C.; Ahmed, A.; Hassan, A.; Hamid, F.S. Remediation of soil and water contaminated with petroleum hydrocarbon: A review. Environ. Technol. Innov. 2020, 17, 100526. [Google Scholar] [CrossRef]
- Alvarenga, P.; Gonçalves, A.P.; Fernandes, R.M.; de Varennes, A.; Vallini, G.; Duarte, E.; Cunha-Queda, A.C. Evaluation of composts and liming materials in the phytostabilization of a mine soil using perennial ryegrass. Sci. Total Environ. 2008, 406, 43–56. [Google Scholar] [CrossRef] [PubMed]
- Henderson, S.C.; Dhar, A.; Naeth, M.A. Reclamation of hydrocarbon contaminated soils using soil amendments and native plant species. Resources 2023, 12, 130. [Google Scholar] [CrossRef]
- IUSS Working Group WRB. World Reference Base for Soil Resources, 4th ed.; International Soil Classification System for Naming Soils and Creating Legends for Soil Maps; International Union of Soil Sciences (IUSS): Vienna, Austria, 2022; p. 236. Available online: https://www.isric.org/sites/default/files/WRB_fourth_edition_2022-12-18.pdf (accessed on 14 December 2023).
- Hamidpour, M.; Kalbasi, M.; Afyuni, M.; Shariatmadari, H.; Holm, P.E.; Hansen, G.C.B. Sorption hysteresis of Cd(II) and Pb(II) on natural zeolite and bentonite. J. Hazard. Mater. 2010, 181, 686–691. [Google Scholar] [CrossRef] [PubMed]
- Sun, Y.B.; Li, Y.; Xu, Y.M.; Liang, X.F.; Wang, L. In situ stabilization remediation of cadmium (Cd) and lead (Pb) co-contaminated paddy soil using bentonite. Appl. Clay Sci. 2015, 105, 200–206. [Google Scholar] [CrossRef]
- Khedr, M.; Emran, M.; Gispert, M.; Rashad, M. Immobilization of Cr3+, Cd2+, and Pb2+ added to calcareous soil amended with composted agro-industrial residues. Sci. Rep. 2023, 13, 8197. [Google Scholar] [CrossRef] [PubMed]
- United States Environmental Protection Agency. US-EPA Method 3051A: Microwave Assisted Acid Digestion of Sediment, Sludges, Soils, and Oils; United States Environmental Protection Agency: Washington, DC, USA, 2007; pp. 1–30. Available online: https://www.epa.gov/sites/production/files/2015-12/documents/3051a.pdf (accessed on 12 December 2023).
- Ostrowska, A.; Gawliński, S.; Szczubiałka, Z. Methods for Analysis and Evaluation of Soil and Plant Properties; Institute of Environmental Protection: Warsaw, Poland, 1991; pp. 1–334. [Google Scholar]
- TIBCO Software Inc. Statistica (Data Analysis Software System), Version 13.3. 2017. Available online: https://www.statsoft.pl/statistica_13/ (accessed on 29 February 2024).
- Sattar, S.; Jehan, S.; Siddiqui, S. Potentially toxic metals in the petroleum waste contaminated soils lead to human and ecological risks in Potwar and Kohat Plateau, Pakistan: Application of multistatistical approaches. Environ. Technol. Innov. 2021, 22, 101395. [Google Scholar] [CrossRef]
- Aradhi, K.K.; Dasari, B.M.; Banothu, D.; Manavalan, S. Spatial distribution, sources and health risk assessment of heavy metals in topsoil around oil and natural gas drilling sites, Andhra Pradesh, India. Sci. Rep. 2023, 13, 10614. [Google Scholar] [CrossRef] [PubMed]
- Qaiser, M.S.H.; Ahmad, I.; Ahmad, S.R.; Afzal, M.; Qayyum, A. Assessing heavy metal contamination in oil and gas well drilling waste and soil in Pakistan. Pol. J. Environ. Stud. 2019, 28, 785–793. [Google Scholar] [CrossRef] [PubMed]
- Ekperusi, O.A.; Aigbodion, I.F.; Iloba, B.N.; Okorefe, S. Assessment and bioremediation of heavy metals from crude oil contaminated soil by earthworms. Ethiop. J. Environ. Stud. Manag. 2017, 9, 1036–1046. [Google Scholar] [CrossRef]
- Dickson, U.J.; Udoessien, E.I. Physicochemical studies of Nigeria’s crude oil blends. Pet. Coal 2012, 54, 243–251. [Google Scholar]
- Wyszkowski, M.; Ziółkowska, A. Compost, bentonite and calcium oxide used for alleviation of the impact of petroleum products on some soil properties. Pol. J. Nat. Sci. 2013, 28, 327–337. [Google Scholar]
- Kicińska, A.; Pomykała, R.; Izquierdo-Diaz, M. Changes in soil pH and mobility of heavy metals incontaminated soils. Eur. J. Soil Sci. 2022, 73, 13203. [Google Scholar] [CrossRef]
- Zhanbin, L.; Qinling, Z.; Peng, L. Distribution characteristics of available trace elements in soil from a reclaimed land in a mining area of north Shaanxi, China. Int. Soil Water Conserv. Res. 2013, 1, 65–75. [Google Scholar] [CrossRef]
- Lee, S.-H.; Lee, J.-S.; Choi, Y.J.; Kim, J.-G. In situ stabilization of cadmium-, lead-, and zinc-contaminated soil using various amendments. Chemosphere 2009, 77, 1069–1075. [Google Scholar] [CrossRef] [PubMed]
- Vondráčková, S.; Hejcman, M.; Tlustoš, P.; Száková, J. Effect of quick lime and dolomite application on mobility of elements (Cd, Zn, Pb, As, Fe, and Mn) in contaminated soils. Pol. J. Environ. Stud. 2013, 22, 577–589. [Google Scholar]
- Burgos, P.; Madejón, E.; Pérez de Mora, A.; Cabrera, F. Spatial variability of the chemical characteristics of a trace-element-contaminated soil before and after remediation. Geoderma 2006, 130, 157. [Google Scholar] [CrossRef]
- Zeng, F.; Ali, S.; Zhang, H.; Ouyang, Y.; Qiu, B.; Wu, F.; Zhang, G. The influence of pH and organic matter content in paddy soil on heavy metal availability and their uptake by rice plants. Environ. Pollut. 2011, 159, 84–91. [Google Scholar] [CrossRef] [PubMed]
- Bolan, N.S.; Adriano, D.C.; Mani, P.A.; Duraisamy, A. Immobilization and phytoavailability of cadmium in variable charge soils. III. Effect of biosolid compost addition. Plant Soil 2003, 251, 187–198. [Google Scholar] [CrossRef]
- Ruttens, A.; Adriaensen, K.; Meers, E.; De Vocht, A.; Geebelen, W.; Carleer, R.; Mench, M.; Vangronsveld, J. Long-term sustainability of metal immobilization by soil amendments: Cyclonic ashes versus lime addition. Environ. Pollut. 2010, 158, 1428–1434. [Google Scholar] [CrossRef] [PubMed]
- Madejón, E.; Pérez de Mora, A.; Felipe, E.; Burgos, P.; Cabrera, F. Soil amendments reduce trace element solubility in a contaminated soil and allow regrowth of natural vegetation. Environ. Pollut. 2006, 139, 40–52. [Google Scholar] [CrossRef] [PubMed]
- Pardo, T.; Clemente, R.; Bernal, M.P. Effects of compost, pig slurry and lime on trace element solubility and toxicity in two soils differently affected by mining activities. Chemosphere 2011, 84, 642–650. [Google Scholar] [CrossRef] [PubMed]
- Fawzy, E.M. Soil remediation using in situ immobilization techniques. Chem. Ecol. 2008, 24, 147–156. [Google Scholar] [CrossRef]
- Hamidpour, M.; Afyuni, M.; Kalbasi, M.; Khoshgoftarmanes, A.H.; Inglezakis, V.J. Mobility and plant-availability of Cd(II) and Pb(II) adsorbed on zeolite and bentonite. Appl. Clay Sci. 2010, 48, 342–348. [Google Scholar] [CrossRef]
- Klik, B.; Holatko, J.; Jaskulska, I.; Gusiatin, M.Z.; Hammerschmiedt, T.; Brtnicky, M.; Liniauskienė, E.; Baltazar, T.; Jaskulski, D.; Kintl, A.; et al. Bentonite as a functional material enhancing phytostabilization of post-industrial contaminated soils with heavy metals. Materials 2022, 15, 8331. [Google Scholar] [CrossRef] [PubMed]
- Laufek, F.; Hanusová, I.; Svoboda, J.; Vašíček, R.; Najser, J.; Koubová, M.; Čurda, M.; Pticen, F.; Vaculíková, L.; Sun, H.; et al. Mineralogical, geochemical and geotechnical study of BCV 2017 bentonite—The initial state and the state following thermal treatment at 200 °C. Minerals 2021, 11, 871. [Google Scholar] [CrossRef]
- Wyszkowski, M.; Ziółkowska, A. Content of polycyclic aromatic hydrocarbons in soils polluted with petrol and diesel oil after remediation with plants and various substances. Plant Soil Environ. 2013, 59, 287–294. [Google Scholar] [CrossRef]
- Mi, J.; Gregorich, E.G.; Xu, S.; McLaughlin, N.B.; Liu, J. Effect of bentonite as a soil amendment on field water-holding capacity, and millet photosynthesis and grain quality. Sci. Rep. 2020, 10, 18282. [Google Scholar] [CrossRef] [PubMed]
- Zhang, H.; Chen, W.; Zhao, B.; Phillips, L.A.; Zhou, Y.; Lapen, D.R.; Liu, J. Sandy soils amended with bentonite induced changes in soil microbiota and fungistasis in maize fields. Appl. Soil Ecol. 2020, 146, 103378. [Google Scholar] [CrossRef]
- Mi, J.; Gregorich, E.G.; Xu, S.; McLaughlin, N.B.; Ma, B.; Liu, J. Changes in soil biochemical properties following application of bentonite as a soil amendment. Eur. J. Soil Biol. 2021, 102, 103251. [Google Scholar] [CrossRef]
- Vrînceanu, N.O.; Motelică, D.M.; Dumitru, M.; Calciu, I.; Tănase, V.; Preda, M. Assessment of using bentonite, dolomite, natural zeolite and manure for the immobilization of heavy metals in a contaminated soil: The Copșa Mică case study (Romania). CATENA 2019, 176, 336–342. [Google Scholar] [CrossRef]
- Mi, J.Z.; Gregorich, E.G.; Xu, S.T.; McLaughlin, N.B.; Ma, B.; Liu, J.H. Effect of bentonite amendment on soil hydraulic parameters and millet crop performance in a semi-arid region. Field Crop. Res. 2017, 212, 107–114. [Google Scholar] [CrossRef]
- Alvarenga, P.; de Varennes, A.; Cunha-Queda, A.C. The Effect of compost treatments and a plant cover with agrostis tenuis on the immobilization/mobilization of trace elements in a mine-contaminated soil. Int. J. Phytoremediat. 2014, 16, 138–154. [Google Scholar] [CrossRef] [PubMed]
- Adriano, D.C.; Wenzel, W.W.; Vangronsveld, J.; Bolan, N.S. Role of assisted natural remediation in environmental cleanup. Geoderma 2004, 122, 121–142. [Google Scholar] [CrossRef]
- Mollon, L.C.; Norton, G.J.; Trakal, L.; Moreno-Jimenez, E.; Elouali, F.Z.; Hough, R.L.; Beesley, L. Mobility and toxicity of heavy metal(loid)s arising from contaminated wood ash application to a pasture grassland soil. Environ. Pollut. 2016, 218, 419–427. [Google Scholar] [CrossRef] [PubMed]
- Nachtegaal, M.; Marcus, M.A.; Sonke, J.E.; Vangronsveld, J.; Livi, K.J.T.; van der Lelie, D.; Sparks, D.L. Effects of in situ remediation on the speciation and bioavailability of zinc in a smelter contaminated soil. Geochim. Cosmochim. Acta 2005, 69, 4649–4664. [Google Scholar] [CrossRef]






Disclaimer/Publisher’s Note: The statements, opinions and data contained in all publications are solely those of the individual author(s) and contributor(s) and not of MDPI and/or the editor(s). MDPI and/or the editor(s) disclaim responsibility for any injury to people or property resulting from any ideas, methods, instructions or products referred to in the content. |
© 2024 by the authors. Licensee MDPI, Basel, Switzerland. This article is an open access article distributed under the terms and conditions of the Creative Commons Attribution (CC BY) license (https://creativecommons.org/licenses/by/4.0/).
Share and Cite
Wyszkowski, M.; Kordala, N. Mineral and Organic Materials as Factors Reducing the Effect of Petrol on Heavy Metal Content in Soil. Materials 2024, 17, 3528. https://doi.org/10.3390/ma17143528
Wyszkowski M, Kordala N. Mineral and Organic Materials as Factors Reducing the Effect of Petrol on Heavy Metal Content in Soil. Materials. 2024; 17(14):3528. https://doi.org/10.3390/ma17143528
Chicago/Turabian StyleWyszkowski, Mirosław, and Natalia Kordala. 2024. "Mineral and Organic Materials as Factors Reducing the Effect of Petrol on Heavy Metal Content in Soil" Materials 17, no. 14: 3528. https://doi.org/10.3390/ma17143528
APA StyleWyszkowski, M., & Kordala, N. (2024). Mineral and Organic Materials as Factors Reducing the Effect of Petrol on Heavy Metal Content in Soil. Materials, 17(14), 3528. https://doi.org/10.3390/ma17143528

