Magnetic Properties of Gd-Doped Bi7Fe3Ti3O21 Aurivillius-Type Ceramics
Abstract
1. Introduction
2. Materials and Methods
3. Results and Discussion
3.1. Structure and Microstructure Studies
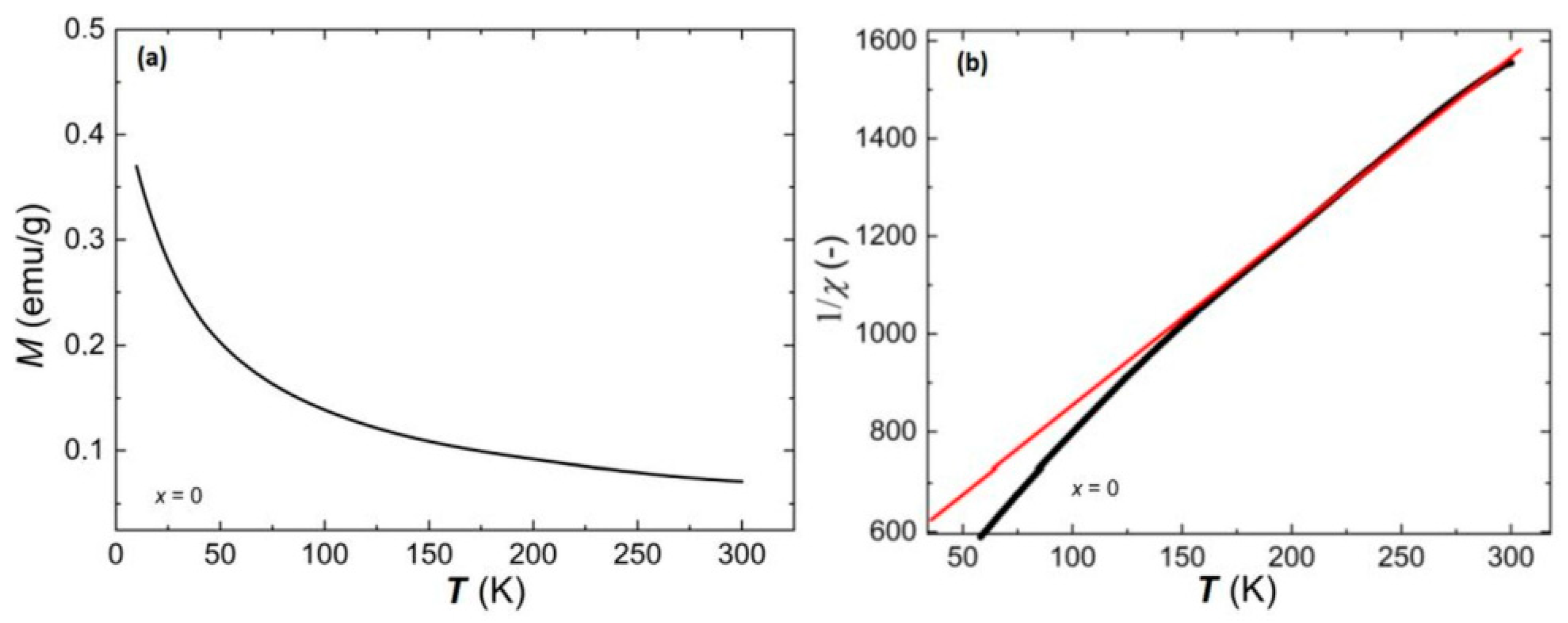
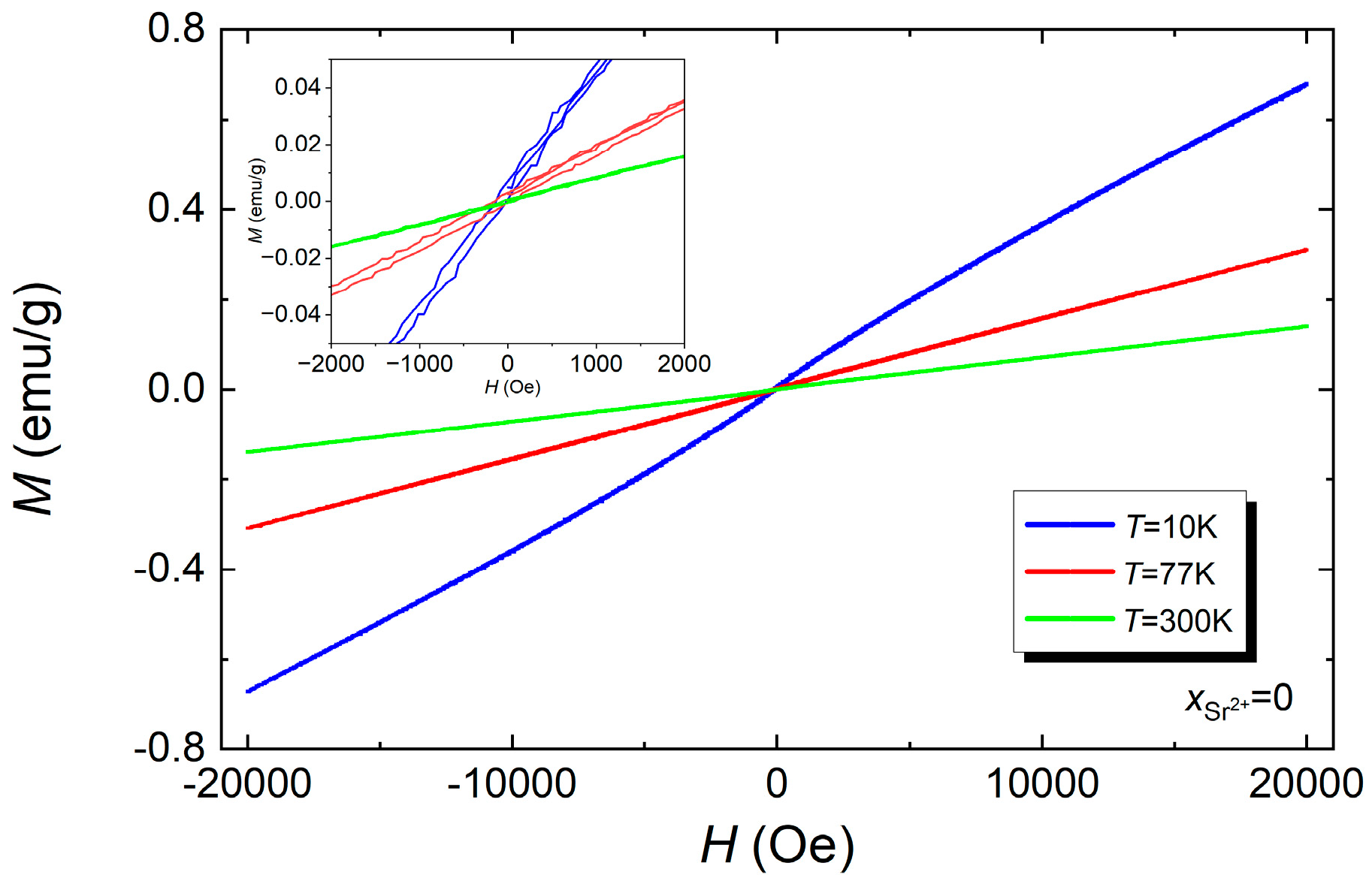
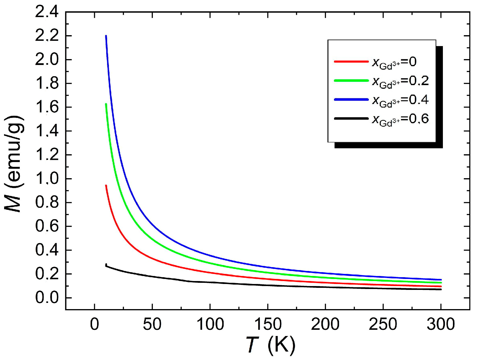
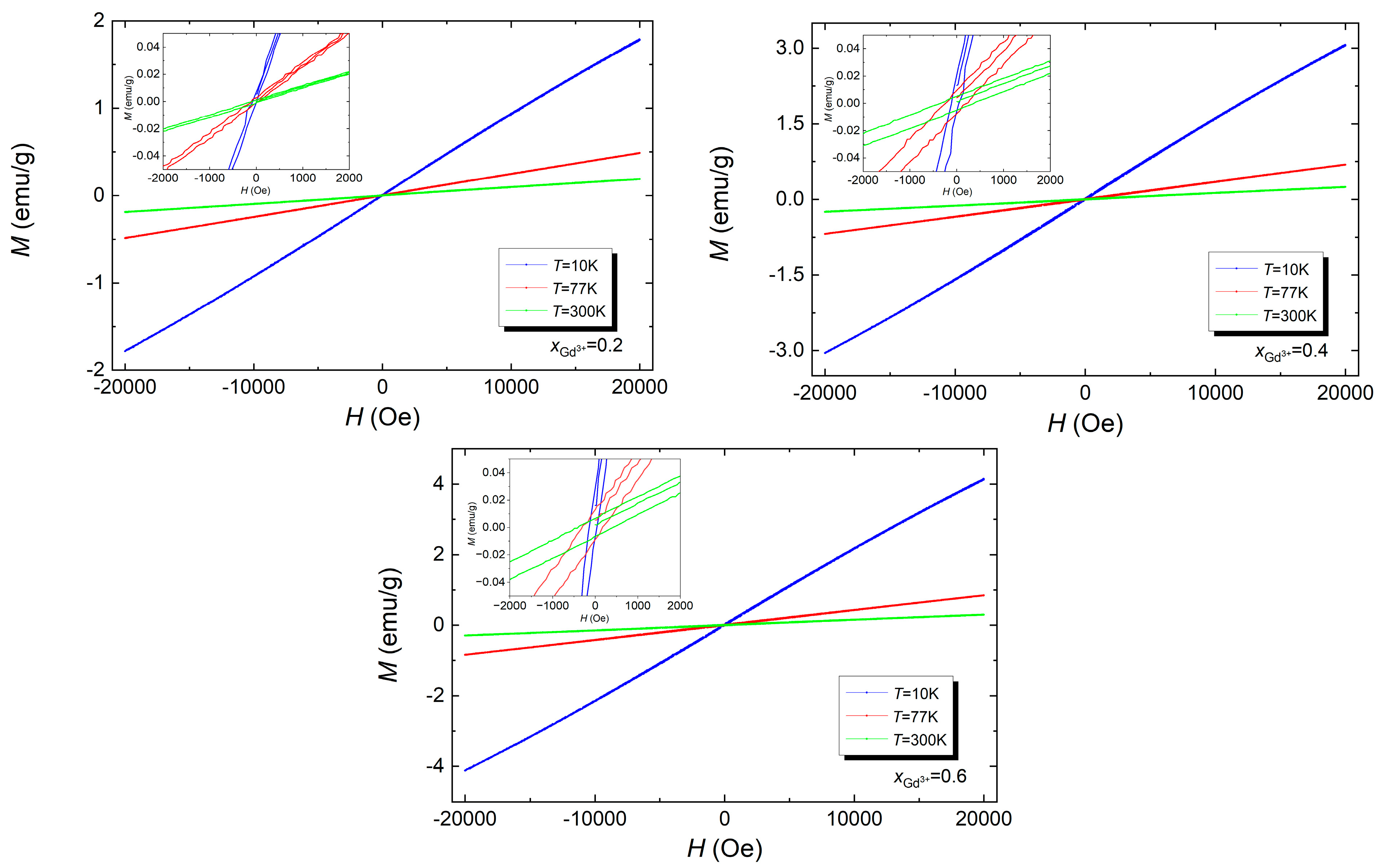
3.2. Magnetic Properties
4. Conclusions
Author Contributions
Funding
Institutional Review Board Statement
Informed Consent Statement
Data Availability Statement
Conflicts of Interest
References
- Isupov, V.A. Systematization of Aurivillius-Type Layered Oxides. Inorg. Mater. 2006, 42, 1094–1098. [Google Scholar] [CrossRef]
- Aurivillius, B. Mixed bismuth oxides with layer lattices I. Ark. Kemi. 1949, 1, 463–480. [Google Scholar]
- Zhang, M.; Xu, X.; Ahmed, S.; Yue, Y.; Palma, M.; Svec, P.; Gao, F.; Abrahams, I.; Reece, M.J.; Yan, H. Phase transformations in an Aurivillius layer structured ferroelectric designed using the high entropy concept. Acta Mater. 2022, 229, 117815. [Google Scholar] [CrossRef]
- Mercadelli, E.; Sangiorgi, N.; Fabbri, S.; Sangiorgi, A.; Sanson, A. Structural, optical, and photo-electrochemical properties of Aurivillius-type layered Bi4Ti3O12–BiFeO3 oxides. Sol. Energy Mater. Sol. Cells 2024, 267, 112732. [Google Scholar] [CrossRef]
- Lafuerza, S.; Gracia, D.; Blasco, J.; Evangelisti, M. Electrocaloric effect near room temperature in lead-free Aurivillius phase Sr2Bi4Ti5O18 upon La and Nb cooping. J. Alloys Compd. 2024, 983, 173923. [Google Scholar] [CrossRef]
- Sun, S.; Shen, J.; Yang, D.; Han, W.; Ti, R.; Yin, X. Strong magnetic response regulated by layer-stacking perturbations in an Aurivillius-phase oxide. Mater. Lett. 2024, 357, 135720. [Google Scholar] [CrossRef]
- Supriya, S. Tailoring layered structure of bismuth-based Aurivillius perovskites: Recent advances and future aspects. Coord. Chem. Rev. 2023, 479, 215010. [Google Scholar] [CrossRef]
- Putra Wendari, T.; Zulhadjri; Rizki, A.; Insani, A.; Emriadi; Arief, S. Coexistence of relaxor ferroelectricity and magnetism in multi-element substituted Aurivillius phases Pb1-2xBi1.5+2xNd0.5Nb2-xMnxO9. J. Solid State Chem. 2023, 324, 124083. [Google Scholar] [CrossRef]
- Putra Wendari, T.; Zulhadjri; Ikhram, M.; Emriadi. Compositional-induced structural transformation and relaxor ferroelectric behavior in Sr/Nb-modified Bi4Ti3O12 Aurivillius ceramics. Ceram. Int. 2022, 48, 30598–30605. [Google Scholar] [CrossRef]
- Mao, X.; Wang, W.; Chen, X.; Lu, Y. Multiferroic properties of layer-structured Bi5Fe0.5Co0.5Ti3O15 ceramics. Appl. Phys. Lett. 2009, 95, 082901. [Google Scholar] [CrossRef]
- Giddings, A.T.; Stennett, M.C.; Reid, D.P.; McCabe, E.E.; Greaves, C.; Hyatt, N.C. Synthesis, structure and characterisation of the n= 4 Aurivillius phase Bi5Ti3CrO15. J. Solid State Chem. 2011, 184, 252. [Google Scholar] [CrossRef]
- Liu, Z.; Yang, J.; Tang, X.W.; Yin, L.H.; Zhu, X.B.; Dai, J.M.; Sun, Y.P. Multiferroic properties of Aurivillius phase Bi6Fe2−xCoxTi3O18 thin films prepared by a chemical solution deposition route. Appl. Phys. Lett. 2012, 101, 122402. [Google Scholar] [CrossRef]
- Keeney, L.; Maity, T.; Schmidt, M.; Amann, A.; Deepak, N.; Petkov, N.; Roy, S.; Pemble, M.E.; Whatmore, R.W. Magnetic field-induced ferroelectric switching in multiferroic Aurivillius phase thin films at room temperature. J. Am. Ceram. Soc. 2013, 96, 2339. [Google Scholar] [CrossRef]
- Schmid, H. Multi-ferroic magnetoelectrics. Ferroelectrics 1994, 162, 317. [Google Scholar] [CrossRef]
- Eerenstein, W.; Mathur, N.D.; Scott, J.F. Multiferroic and magnetoelectric materials. Nature 2006, 442, 759. [Google Scholar] [CrossRef]
- Cheong, S.-W.; Mostovoy, M. Multiferroics: A magnetic twist for ferroelectricity. Nat. Mater. 2007, 6, 13. [Google Scholar] [CrossRef]
- Ramesh, R.; Spaldin, N.A. Multiferroics: Progress and prospects in thin films. Nat. Mater. 2007, 6, 21–29. [Google Scholar] [CrossRef]
- Wendari, T.P.; Rizki, A.; Putri, Y.E.; Labanni, A.; Insani, A.; Liandi, A.R. Structure, ferroelectric, magnetic, and energy storage performances of lead-free Bi4Ti2.75(FeNb)0.125O12 Aurivillius ceramic by doping Fe3+ ions extracted from Padang beach sand. Case Stud. Chem. Environ. Eng. 2024, 9, 100679. [Google Scholar] [CrossRef]
- Spaldin, N.A.; Ramesh, R. Advances in magnetoelectric multiferroics. Nat. Mater. 2019, 18, 203–212. [Google Scholar] [CrossRef]
- Yang, Z.; Du, H.; Jin, L.; Poelman, D. High-performance lead-free bulk ceramics for electrical energy storage applications: Design strategies and challenges. J. Mater. Chem. A 2021, 9, 18026–18085. [Google Scholar] [CrossRef]
- Lin, Y.; Li, D.; Zhang, M.; Zhan, S.; Yang, Y.; Yang, H.; Yuan, Q. Excellent energy-storage properties achieved in BaTiO3-based lead-free relaxor ferroelectric ceramics via domain engineering on the nanoscale. ACS Appl. Mater. Interfaces 2019, 11, 36824–36830. [Google Scholar] [CrossRef]
- Triana, C.A.; Villa Hernandez, J.I.; Landínez Téllez, D.A.; Fajardo Tolosa, F.; Roa-Rojas, J. Synthesis Process and Magnetic Characterization of the Novel Aurivillius Ferroelectric Material Bi4Gd2Ti3Fe2O16. IEEE Trans. Magn. 2013, 49, 4660–4663. [Google Scholar] [CrossRef]
- Szalbot, D.; Bartkowska, J.A.; Makowska, J.; Chrunik, M.; Osińska, K.; Adamczyk-Habrajska, M. Dielectric Properties and Magnetoelectric Effect of Bi7Fe3Ti3O21 Ceramic Material Doped with Gadolinium Ions. Appl. Sci. 2024, 14, 3920. [Google Scholar] [CrossRef]
- Szalbot, D.; Bartkowska, J.A.; Adamczyk-Habrajska, M.; Chełkowska, G.; Pawełczyk, M.; Bara, M.; Dzik, J. Magnetoelectric properties of multiferroic Aurivillius type Bi7Fe3Ti3O21 ceramics. Process. Appl. Ceram. 2020, 14, 218–222. [Google Scholar] [CrossRef]
- Szalbot, D.; Bartkowska, J.A.; Feliksik, K.; Bara, M.; Chrunik, M.; Adamczyk-Habrajska, M. Correlation between structure, microstructure, and dielectric properties of Bi7Fe3Ti3O21 ceramics obtained in different conditions. Arch. Metall. Mater. 2020, 65, 879–884. [Google Scholar] [CrossRef]
- Bućko, M.M.; Polnar, J.; Lis, J.; Przewoźnik, J.; Gąska, K.; Kapusta, C. Magnetic properties of the Bi7Fe3Ti3O21 Aurivillius phase doped with samarium. Adv. Sci. Technol. 2012, 77, 220–224. [Google Scholar]
- Srinivas, A.; Kumar, M.M.; Suryanarayana, S.V.; Bhimasankaram, T. Investigation of dielectric and magnetic nature of Bi7Fe3Ti3O21. Mater. Res. Bull. 1999, 34, 989–996. [Google Scholar] [CrossRef]
- Kittel, C. Introduction to Solid State Physics, 8th ed.; John Wiley & Sons, Inc.: Hoboken, NJ, USA, 2005; pp. 297–310. [Google Scholar]
- Wang, G.; Huang, Y.; Sun, S.; Wang, J.; Peng, R.; Lu, Y. Layer Effects on the Magnetic Behaviors of Aurivillius Compounds Bin+1Fen−3Ti3O3n+1 (n = 6, 7, 8, 9). J. Am. Ceram. Soc. 2016, 99, 1318–1323. [Google Scholar] [CrossRef]
- Srinivas, A.; Kim, D.W.; Hong, K.S.; Suryanarayana, S.V. Study of magnetic and magnetoelectric measurements in bismuth iron titanate ceramic—Bi8Fe4Ti3O24. Mater. Res. Bull. 2004, 39, 55–61. [Google Scholar] [CrossRef]
- Jartych, E.; Pikula, T.; Mazurek, M.; Lisińska-Czekaj, A.; Czekaj, D.; Gąska, K.; Przewoźnik, J.; Kapusta, C.; Surowiec, Z. Antiferromagnetic spin glass-like behavior in sintered multiferroic Aurivillius Bim+1Ti3Fem-3O3m+3. J. Magn. Magn. Mater. 2013, 342, 27–34. [Google Scholar] [CrossRef]
- Sun, S.; Wang, G.; Huang, Y.; Wang, J.; Peng, R.; Lu, Y. Structural transformation and multiferroic properties in Gd-doped Bi7Fe3Ti3O21 ceramics. RSC Adv. 2014, 4, 0440–30446. [Google Scholar]
- Koval, V.; Skorvanek, I.; Viola, G.; Zhang, M.; Jia, C.; Yan, H. Crystal Chemistry and Magnetic Properties of Gd-Substituted Aurivillius-Type Bi5FeTi3O15 Ceramics. J. Phys. Chem. C 2018, 122, 15733–15743. [Google Scholar] [CrossRef]
- Rehman, F.; Jin, H.-B.; Niu, C.; Bukhtiar, A.; Zhao, Y.-J.; Lin, J.-B. Structural, magnetic and dielectric properties of Bi4Nd0.5Gd0.5Ti3FeO15 ceramics. Ceram. Int. 2016, 42, 2806–2812. [Google Scholar] [CrossRef]
- Khomchenko, V.A.; Kiselev, D.A.; Bdikin, I.K.; Shvartsman, V.V.; Borisov, P.; Kleemann, W.; Vieira, J.M.; Kholkin, A.L. Crystal structure and multiferroic properties of Gd-substituted BiFeO3. Appl. Phys. Lett. 2008, 93, 262905-3. [Google Scholar] [CrossRef]
- Prasad, N.V.; Kumar, G.S. Magnetic and magnetoelectric measurements on rare-earth-substituted five-layered Bi6Fe2Ti3O18 compound. J. Magn. Magn. Mater. 2000, 213, 349–356. [Google Scholar] [CrossRef]
- Diéguez, O.; Iniguez, J. First-Principles investigation of morphotropic transitions and phase-change functional responses in BiFeO3-BiCoO3 multiferroic solid solutions. Phys. Rev. Lett. 2011, 107, 057601-5. [Google Scholar] [CrossRef]
- Kiwi, M. Exchange bias theory. J. Magn. Magn. Mater. 2001, 234, 584–595. [Google Scholar] [CrossRef]
- Menéndez, E.; Dias, T.; Geshev, J.; Lopez-Barbera, J.F.; Nogués, J.; Steitz, R.; Kirby, B.J.; Borchers, J.A.; Pereira, L.M.C.; Vantomme, A.; et al. Interdependence between training and magnetization reversal in granular Co-CoO exchange bias systems. Phys. Rev. B 2014, 89, 144407. [Google Scholar] [CrossRef]










| T = 10 K | T = 77 K | T = 300 K | |||||||
|---|---|---|---|---|---|---|---|---|---|
| 0.2 | −45.76 | −32.96 | 0.0079 | −75.85 | −30.94 | 0.0026 | −91.41 | −5.71 | 0.0010 |
| 0.4 | −78.43 | −28.90 | 0.0186 | −241.63 | −3.79 | 0.0097 | −315.39 | 45.55 | 0.0049 |
| 0.6 | −78.39 | −47.50 | 0.0275 | −256.04 | −44.88 | 0.0127 | −385.13 | −6.76 | 0.0067 |
Disclaimer/Publisher’s Note: The statements, opinions and data contained in all publications are solely those of the individual author(s) and contributor(s) and not of MDPI and/or the editor(s). MDPI and/or the editor(s) disclaim responsibility for any injury to people or property resulting from any ideas, methods, instructions or products referred to in the content. |
© 2024 by the authors. Licensee MDPI, Basel, Switzerland. This article is an open access article distributed under the terms and conditions of the Creative Commons Attribution (CC BY) license (https://creativecommons.org/licenses/by/4.0/).
Share and Cite
Bartkowska, J.A.; Szalbot, D.; Makowska, J.; Adamczyk-Habrajska, M.; Stokłosa, Z. Magnetic Properties of Gd-Doped Bi7Fe3Ti3O21 Aurivillius-Type Ceramics. Materials 2024, 17, 3760. https://doi.org/10.3390/ma17153760
Bartkowska JA, Szalbot D, Makowska J, Adamczyk-Habrajska M, Stokłosa Z. Magnetic Properties of Gd-Doped Bi7Fe3Ti3O21 Aurivillius-Type Ceramics. Materials. 2024; 17(15):3760. https://doi.org/10.3390/ma17153760
Chicago/Turabian StyleBartkowska, Joanna A., Diana Szalbot, Jolanta Makowska, Małgorzata Adamczyk-Habrajska, and Zbigniew Stokłosa. 2024. "Magnetic Properties of Gd-Doped Bi7Fe3Ti3O21 Aurivillius-Type Ceramics" Materials 17, no. 15: 3760. https://doi.org/10.3390/ma17153760
APA StyleBartkowska, J. A., Szalbot, D., Makowska, J., Adamczyk-Habrajska, M., & Stokłosa, Z. (2024). Magnetic Properties of Gd-Doped Bi7Fe3Ti3O21 Aurivillius-Type Ceramics. Materials, 17(15), 3760. https://doi.org/10.3390/ma17153760

