Dual-Action Calcium Monoaluminate Enabled Room-Temperature Curing of Inorganic Phosphate-Based High-Temperature Adhesive
Abstract
1. Introduction
2. Material and Methods
2.1. Materials and Manufacturing
2.2. Tensile Strength Test
2.3. Thermogravimetric Differential Scanning Calorimetry (TG-DSC)
2.4. X-ray Diffraction Analysis (XRD)
2.5. X-ray Photon–Electron Spectroscopy (XPS)
2.6. Scanning Electron Microscopy Analysis (SEM)
3. Results and Discussion
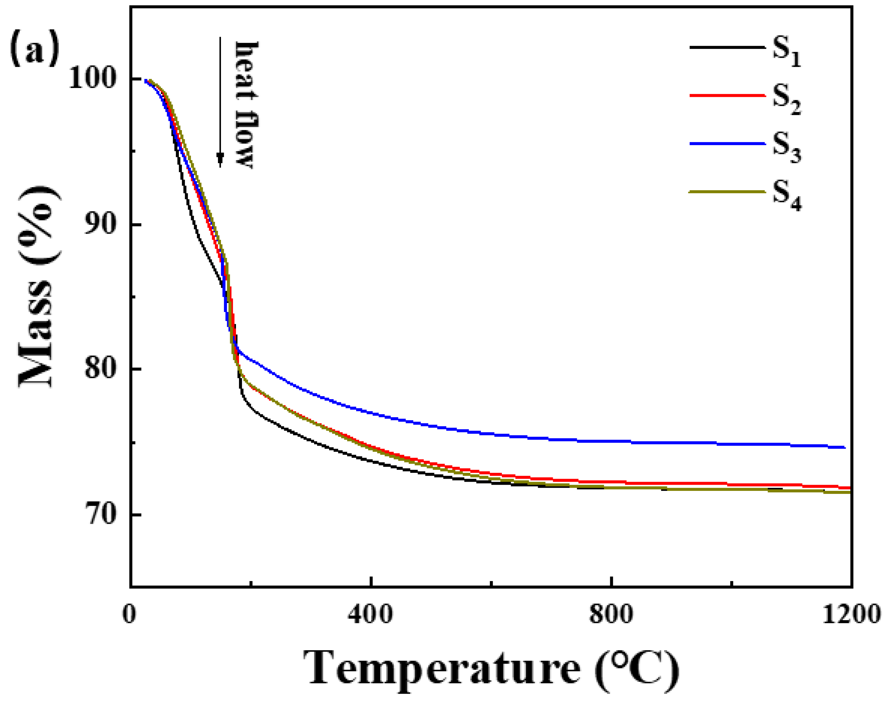
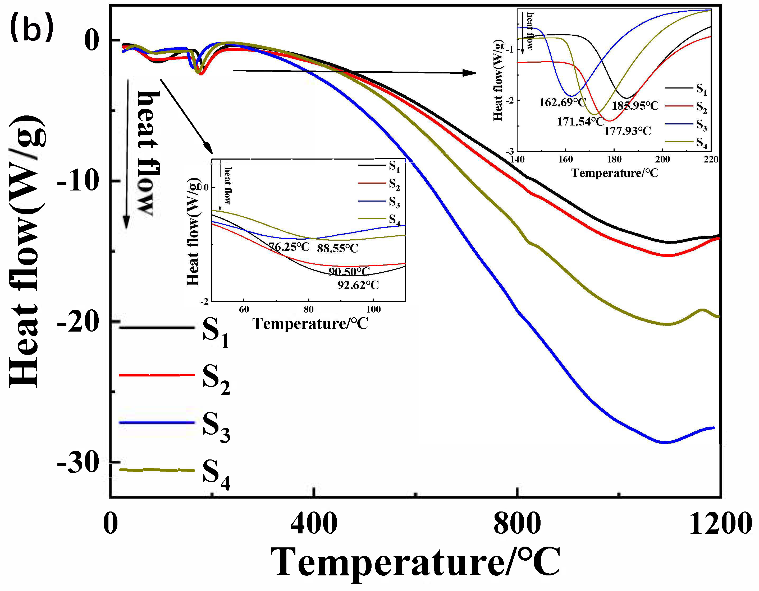
3.1. Thermal Properties
3.2. XRD Patterns of the Specimens
3.3. Micromorphology
3.4. XPS
3.5. Tensile Strength Test
4. Conclusions
Author Contributions
Funding
Data Availability Statement
Conflicts of Interest
References
- Zhu, J.; Li, M.; Liu, J.; Liu, L.; Chen, Z.; Yang, F.; Shi, C. Corrosion Resistance of Cement-Based Materials with Sugarcane Bagasse Ash-Metakaolin-Portland Cement Binder under Carbonic Acid Water Environment. J. Build. 2024, 87, 109065. [Google Scholar] [CrossRef]
- Stepanov; Antonov, P.A.; Atroshchenko, V.V.; Nikulina, I.G.; Stroeva, O.V.; Borodai, O.A.; Ya, F.; Nepovinnykh, L.K. Radioparent Heat-Resistant Coating Based on Inorganic Binder. Refract. Ind. Ceram. 2017, 58, 239–241. [Google Scholar] [CrossRef]
- Wu, W.; Li, L.; Yu, J.; Xu, S.; Zhang, C.; Xue, L. Investigation on Thermo-Oxidative Aging Properties of Asphalt Binder with Hindered Phenolic Antioxidant. J. Test. Eval. 2018, 46, 624–630. [Google Scholar] [CrossRef]
- Barmouz, M.; Steinhäuser, F.; Azarhoushang, B.; Khosravi, J. Influence of Bond Thermal and Mechanical Properties on the Additively Manufactured Grinding Wheels Performance: Mechanical, Wear, Surface Integrity, and Topography Analysis. Wear 2024, 538–539, 205215. [Google Scholar] [CrossRef]
- Zhao, L.; Li, H.; Zhou, K.; Liu, X.; Wang, J.; Zhao, B. Enhanced Mechanical Stability and Corrosion Resistance of Superhydrophobic Coating Reinforced with Inorganic Binder. J. Cent. South Univ. 2024, 17, 3998. [Google Scholar] [CrossRef]
- Jarnerud, T.; Karasev, A.V.; Jnsson, P.G. Briquetting of Wastes from Pulp and Paper Industries by Using AOD Converter Slag as Binders for Application in Metallurgy. Materials 2019, 12, 2888. [Google Scholar] [CrossRef]
- Wang, F.; Cui, X.; Yang, Q. Fabrication and Posttreatment for Inorganic Binder Jetting Sand Molds for Casting. Addit. Manuf. 2023, 73, 103690. [Google Scholar] [CrossRef]
- Tchio, J.A.; Yerima, N.; Kaze, C.R. Design and Characterization of Iron-Calcium-Aluminum-Silicate-Hydrate as Low-Temperature Binder. Innov. Infrastruct. Solut. 2024, 9, 42. [Google Scholar] [CrossRef]
- Song, L.; Liu, W.; Xin, F.; Li, Y. Study of Adhesion Properties and Mechanism of Sodium Silicate Binder Reinforced with Silicate Fume. Int. J. Adhes. Adhes. 2021, 106, 102820. [Google Scholar] [CrossRef]
- Ma, C.; Chen, H.; Wang, C.; Zhang, J.; Qi, H. Effects of Nano-Aluminum Nitride on the Performance of an Ultrahigh-Temperature Inorganic Phosphate Adhesive Cured at Room Temperature. Materials 2017, 10, 1266. [Google Scholar] [CrossRef]
- Niu, Y.; Zheng, S.; Zhang, X. Preparation, Structures and Properties of Phosphate/S-PEEK Hybrid Composites Utilized Sintering Al(OH)3 Particles as Curing Agents. Ceram 2021, 47, 9711–9716. [Google Scholar] [CrossRef]
- Djobo, J.N.Y.; Nkwaju, R.Y. Preparation of Acid Aluminum Phosphate Solutions for Metakaolin Phosphate Geopolymer Binder. RSC Adv. 2021, 11, 32258–32268. [Google Scholar] [CrossRef] [PubMed]
- Liu, Y.; Bian, D.; Zhao, Y. The Influence of Curing Agents on Thermal Property and Corrosion Resistance of Chemically Bonded Phosphate Ceramic Coatings. J. Sol-Gel Sci. Technol. 2019, 89, 403–415. [Google Scholar] [CrossRef]
- Banganayi, F.C.; Nyembwe, D.K.; Polzin, H. Optimisation of an Environmentally Friendly Foundry Inorganic Binder Core Making Process for the Replacement of an Organic Binder. MRS Adv. 2020, 5, 1323–1330. [Google Scholar] [CrossRef]
- Lu, W.; Chung, D.D.L. Oxidation Protection of Carbon Materials by Acid Phosphate Impregnation. Carbon 2002, 40, 1249–1254. [Google Scholar] [CrossRef]
- Zárybnická, L.; Machotová, J.; Mácová, P.; Machová, D.; Viani, A. Design of Polymeric Binders to Improve the Properties of Magnesium Phosphate Cement. Constr. Build. Mater. 2021, 290, 123202. [Google Scholar] [CrossRef]
- Fernando, J.A.; Chung, D.D.L. Improving an Alumina Fiber Filter Membrane for Hot Gas Filtration Using an Acid Phosphate Binder. J. Mater. 2001, 36, 5079–5085. [Google Scholar] [CrossRef]
- Li, Y.; Chen, G.; Zhu, S. Preparation of an Aluminium Phosphate Binder and Its Influence on the Bonding Strength of Coating. Bull. Mater. Sci. 2019, 42, 200. [Google Scholar] [CrossRef]
- Xie, L.; Li, Y.; Hu, W.; Fang, S.; Chen, X.Q. A Novel Inorganic Phosphate-Based Adhesive for Bonding Archaeological Pottery: A Preliminary Exploration. Herit. Sci. 2024, 12, 164. [Google Scholar] [CrossRef]
- Shirani, S.; Cuesta, A.; Torre, A. CAC Conversion Analysed by Ptychographic Nanotomography. Cem. Concr. Res. 2020, 137, 106201. [Google Scholar] [CrossRef]
- Lapyote, P.; Issara, S. Dissolution, Nucleation and Crystal Growth Mechanism of CAC. J. Sustain. Cem.-Based Mater. 2019, 8, 180–197. [Google Scholar]
- Hertel, T.; Neubauer, J.; Goetz-Neunhoeffer, F. Study of Hydration Potential and Kinetics of the Ferrite Phase in Iron-Rich CAC. Cem. Concr. Res. 2016, 83, 79–85. [Google Scholar] [CrossRef]
- Klaus, S.R.; Neubauer, J.; Goetz-Neunhoeffer, F. Influence of the Specific Surface Area of Alumina Fillers on CAC Hydration Kinetics. Adv. Cem. Res. 2016, 28, 62–70. [Google Scholar] [CrossRef]
- Hueller, F.; Naber, C.; Neubauer, J. Impact of Initial CA Dissolution on the Hydration Mechanism of CAC. Cem. Concr. Res. 2018, 113, 41–54. [Google Scholar] [CrossRef]
- Alonso, M.M.; Palacios, M.; Puertas, F. Effect of Polycarboxylate-Ether Admixtures on CAC Pastes. Part 2: Hydration studies. Ind. Eng. Chem. Res. 2013, 52, 17330–17340. [Google Scholar] [CrossRef]
- Yang, X.; Huang, Y.; Zhang, J.; Cao, H. Preparation and Properties of Phosphate Base Heat-resisting Composites. Chem. Adhes. 2005, 27, 67–70. [Google Scholar]
- Cao, X.; Zhao, K.; Wang, L. Robust, Thermally Insulating, and High-Temperature Resistant Phosphate-Enhanced Mullite Fiber Porous Ceramic Composites. Ceram 2024, 50, 23733–23743. [Google Scholar] [CrossRef]
- Zhang, S.; Sun, W.; Zhan, Z. Novel High-Temperature-Resistant Phosphates: Thermal Ablation Behavior of La-Al System Phosphates at 2000 °C. ACS Omega 2022, 7, 3452–3461. [Google Scholar] [CrossRef]
- Nouri-Khezrabad, M.; Braulio, M.A.L.; Pandolfelli, V.C. Nano-Bonded Refractory Castables. Ceram 2013, 39, 3479–3497. [Google Scholar] [CrossRef]
- Burgos-Montes, O.; Álvarez, M.; Aza, A.D. The Main Role of Silica-Based Cement Free Binders on the Microstructural Evolution and Mechanical Behaviour of High Alumina Castables. J. Eur. Ceram. Soc. 2018, 38, 4137–4148. [Google Scholar] [CrossRef]
- Hossain, S.K.S.; Roy, P.K. Waste Rice Husk Ash Derived Sol: A Potential Binder in High Alumina Refractory Castables as a Replacement of Hydraulic Binder. J. Alloys Compd. 2020, 817, 152806. [Google Scholar] [CrossRef]
- Hao, R.; Liu, J.; Dong, X.; Guo, A.; Hou, Z.; Wang, M. High-Temperature Shear Strength and Bonding Mechanism of the Mullite Ceramic/Fiber Brick Component Joined by Phosphate Adhesive. Int. J. Appl. Ceram. Technol. 2022, 10, 978–985. [Google Scholar] [CrossRef]
















| Al(H2PO4)3 | CaO·Al2O3 | Nano-MgO | Nano-SiO2 | Nano-Al2O3 | State | |
|---|---|---|---|---|---|---|
| S0 | 94 | 0 | 6 | Uncured | ||
| S1 | 89 | 9 | 2 | Cured | ||
| S2 | 89 | 5 | 2 | 4 | Cured | |
| S3 | 89 | 5 | 2 | 4 | Cured | |
| S4 | 89 | 5 | 2 | 2 | 2 | Cured |
| Raw Material | Purity | Size | Company |
|---|---|---|---|
| CaO | AR | - | China National Pharmaceutical Group Chemical Reagent Co., Ltd. (Beijing, China) |
| Nano-Al2O3 | 99.5% | 30 nm | Shanghai Aladdin Biochemical Technology Co., Ltd. (Shanghai, China) |
| Nano-MgO | 99% | 50–100 nm | Shanghai Aladdin Biochemical Technology Co., Ltd. (Shanghai, China) |
| Phosphoric acid | 85% | - | China National Pharmaceutical Group Chemical Reagent Co., Ltd. (Beijing, China) |
| Al(OH)3 | AR | - | Shanghai Meiruier Biochemical Technology Co., Ltd. (Shanghai, China) |
| Nano-SiO2 | 99.5% | 15 nm | Shanghai Aladdin Biochemical Technology Co., Ltd. (Shanghai, China) |
| Sample | Room Temperature | 1200 °C |
|---|---|---|
| S1 | 5.51 MPa | 0.90 MPa |
| S2 | 28.41 MPa | 11.86 MPa |
| S3 | 22.44 MPa | 2.55 MPa |
| S4 | 32.48 MPa | 8.71 MPa |
| Comparison sample [32] | 7.56 MPa | 5.06 MPa |
Disclaimer/Publisher’s Note: The statements, opinions and data contained in all publications are solely those of the individual author(s) and contributor(s) and not of MDPI and/or the editor(s). MDPI and/or the editor(s) disclaim responsibility for any injury to people or property resulting from any ideas, methods, instructions or products referred to in the content. |
© 2024 by the authors. Licensee MDPI, Basel, Switzerland. This article is an open access article distributed under the terms and conditions of the Creative Commons Attribution (CC BY) license (https://creativecommons.org/licenses/by/4.0/).
Share and Cite
Dong, Z.; Zhang, L.; Yang, K.; Fang, Z.; Ni, Y.; Li, Y.; Lu, C. Dual-Action Calcium Monoaluminate Enabled Room-Temperature Curing of Inorganic Phosphate-Based High-Temperature Adhesive. Materials 2024, 17, 4542. https://doi.org/10.3390/ma17184542
Dong Z, Zhang L, Yang K, Fang Z, Ni Y, Li Y, Lu C. Dual-Action Calcium Monoaluminate Enabled Room-Temperature Curing of Inorganic Phosphate-Based High-Temperature Adhesive. Materials. 2024; 17(18):4542. https://doi.org/10.3390/ma17184542
Chicago/Turabian StyleDong, Zhuo, Lei Zhang, Ke Yang, Zhenggang Fang, Yaru Ni, Yang Li, and Chunhua Lu. 2024. "Dual-Action Calcium Monoaluminate Enabled Room-Temperature Curing of Inorganic Phosphate-Based High-Temperature Adhesive" Materials 17, no. 18: 4542. https://doi.org/10.3390/ma17184542
APA StyleDong, Z., Zhang, L., Yang, K., Fang, Z., Ni, Y., Li, Y., & Lu, C. (2024). Dual-Action Calcium Monoaluminate Enabled Room-Temperature Curing of Inorganic Phosphate-Based High-Temperature Adhesive. Materials, 17(18), 4542. https://doi.org/10.3390/ma17184542

