Study on Pore Water Pressure Model of EICP-Solidified Sand under Cyclic Loading
Abstract
1. Introduction
2. Materials and Methods
2.1. Test Materials
2.2. Sample Preparation
2.3. Test Methods
3. Results and Discussion
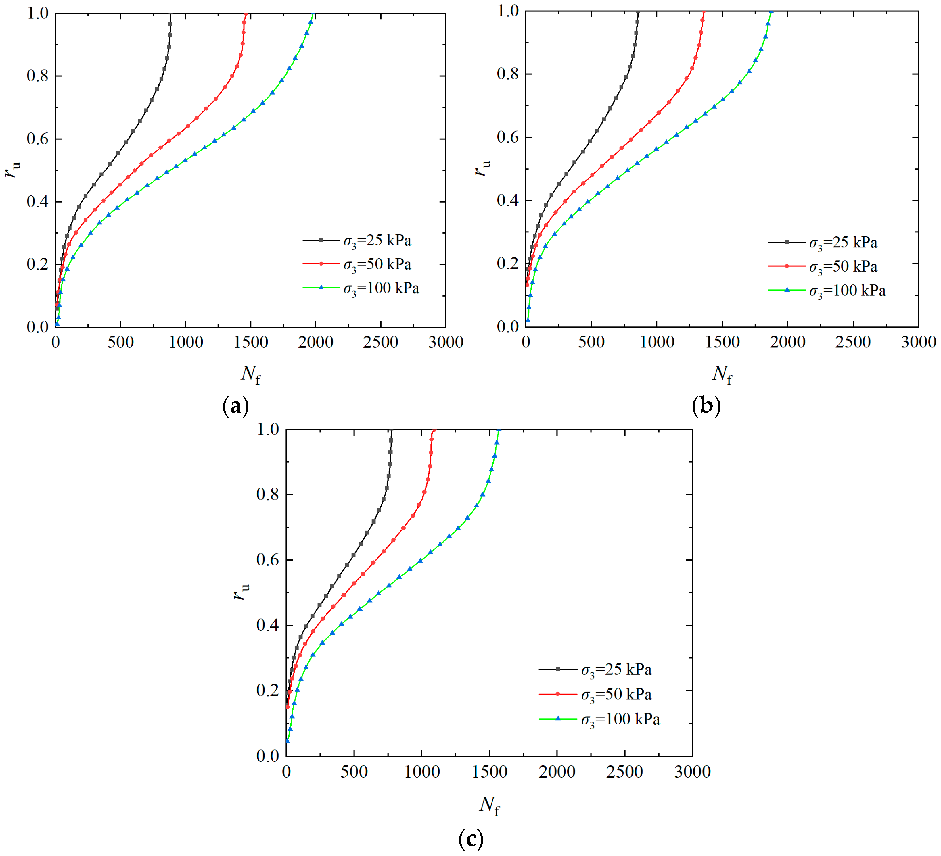
3.1. Analysis of the Influence of Confining Pressure on Pore Water Pressure
3.2. Analysis of the Influence of Cementation Number on Pore Water Pressure
3.3. Analysis of the Influence of Cyclic Stress Ratio on Pore Water Pressure
3.4. Analysis of the Influence of Dry Density on Pore Water Pressure
3.5. Analysis of the Influence of Frequency on Pore Water Pressure
4. Pore Pressure Model of EICP-Solidified Standard Sand
4.1. Analysis of Pore Pressure Development Model
4.2. Establishment and Verification of Pore Water Pressure Model of Solidified Sand by EICP
5. Conclusions
- The pore pressure changes in three stages with the increase in the vibration number: in the instantaneous increase section, the curve is convex; in the middle gentle section, the curve is nearly linear; and in instantaneous liquefaction section, the curve is concave. As the σ3 rises, the failure vibration number of the specimen decreases. The increase in the pore water pressure accelerates, and the pore water pressure curve shows an increasing trend from slow to steep, indicating that the liquefaction resistance of the solidified specimen is gradually weakened.
- As the increase in Pc, the pore water pressure curve of EICP-solidified specimens, changes from steep to slow, the increasing rate of pore water pressure decreases gradually, and the vibration number required for failure increases gradually, which indicates that the increase in Pc is helpful to improve the liquefaction resistance of EICP-solidified sand.
- When the vibration number is the same, the greater the CSR, the higher the ru, and the lower vibration number required for the liquefaction of the specimen, which indicates that the increase in CSR accelerates the liquefaction trend in the specimen.
- With the increase in the ρd of the specimen, the growth rate of the pore water pressure decreases, and the vibration number required when liquefaction failure is achieved increases accordingly.
- When the vibration number is constant, the ru decreases with the increase in vibration frequency. When the ru is constant, with the rise in f, the increased rate of pore pressure of the specimen gradually decreases, and the required vibration number gradually increases when liquefaction is achieved.
- The three-parameter unified pore water pressure prediction model is applied to calculate the test results, and the test results align well with the predicted results, which demonstrates that the model is suited to describe the development law of the A-type and B-type pore water pressure of EICP-solidified sand simultaneously.
- In the future, the struvite precipitation can be considered to recover the ammonia generated during the EICP mineralization reaction process, which can reduce environmental pollution [47]. The enzyme solution and cementing solution can be sprayed on the foundation of saturated loose sand to solidify the sand and improve foundation resistance to liquefaction.
Author Contributions
Funding
Institutional Review Board Statement
Informed Consent Statement
Data Availability Statement
Conflicts of Interest
References
- Krishnan, V.; Tirkolaei, H.K.; Martin, K.; Hamdan, N.; Paassen, L.A.V.; Kavazanjian, E., Jr. Variability in the unconfined compressive strength of EICP-treated “standard” sand. J. Geotech. Geoenviron. Eng. 2021, 147, 06021001. [Google Scholar] [CrossRef]
- He, J.; Fang, C.H.; Mao, X.Y.; Qi, Y.S.; Zhou, Y.D.; Kou, H.L.; Xiao, L. Enzyme-induced carbonate precipitation for the protection of earthen dikes and embankments under surface runoff: Laboratory investigations. J. Ocean Univ. China 2022, 21, 306–314. [Google Scholar] [CrossRef]
- Liu, K.W.; Jiang, N.J.; Qin, J.D.; Wang, Y.J.; Tang, C.S.; Han, X.L. An experimental study of mitigating coastal sand dune erosion by microbial and enzymatic-induced carbonate precipitation. Acta Geotech. 2021, 16, 467–480. [Google Scholar] [CrossRef]
- Cao, G.H.; Ma, L.Q.; Ngo, I.; Osemudiamhen, A.E.; Guo, Z.Z. Experimental investigation on the combination of enzyme-induced calcium carbonate precipitation and organic materials for underground backfilling preparation. Minerals 2024, 14, 153. [Google Scholar] [CrossRef]
- Zhang, P.H.; Ma, L.J. Application of foam light soil in road expansion. Sci. J. Technol. Vol. 2021, 3, 2688–8645. [Google Scholar]
- Chen, J.F.; Bao, N.; Sun, R. Three-dimensional discrete-element-method analysis of behavior of geogrid-reinforced sand foundations under strip footing. Int. J. Geomech. 2022, 22, 04022134. [Google Scholar] [CrossRef]
- Liu, J.; Bai, Y.X.; Song, Z.Z.; Lu, Y.; Qian, W.; Kanungo, D.P. Evaluation of strength properties of sand modified with organic polymers. Polymers 2018, 10, 287. [Google Scholar] [CrossRef] [PubMed]
- Cui, M.J.; Lai, H.J.; Hoang, T.; Chu, J. One-phase-low-pH enzyme induced carbonate precipitation (EICP) method for soil improvement. Acta Geotech. 2021, 16, 481–489. [Google Scholar] [CrossRef]
- Almajed, A.; Abbas, H.; Arab, M.; Alsabhan, A.; Hamid, W.; Al-Salloum, Y. Enzyme-induced carbonate precipitation (EICP) based methods for ecofriendly stabilization of different types of natural sands. J. Cleaner Prod. 2020, 274, 122627. [Google Scholar] [CrossRef]
- Rosa, D.; Verdirame, L.; Bavasso, I.; Bracciale, M.P.; Di-Palma, L. Soil biocementation via enzyme induced carbonate precipitation (EICP) method employing soybeans as a source of cheap enzyme. Chem. Eng. Trans. 2023, 99, 157–162. [Google Scholar]
- Sun, X.H.; Miao, L.C.; Wang, H.X.; Yuan, J.H.; Fan, G.C. Enhanced rainfall erosion durability of enzymatically induced carbonate precipitation for dust control. Sci. Total Environ. 2021, 791, 148369. [Google Scholar] [CrossRef] [PubMed]
- Ivanov, V.; Chu, J. Applications of microorganisms to geotechnical engineering for bioclogging and biocementation of soil in situ. Rev. Environ. Sci. Bio/Technol. 2008, 7, 139–153. [Google Scholar] [CrossRef]
- Bak, H.M.; Kariminia, T.; Shahbodagh, B.; Rowshanzamir, M.A.; Khoshghalb, A. Application of bio-cementation to enhance shear strength parameters of soil-steel interface. Constr. Build. Mater. 2021, 294, 123470. [Google Scholar]
- Qabany, A.A.; Soga, K.; Santamarina, J.C. Factors affecting efficiency of microbially induced calcite precipitation. J. Geotech. Geoenviron. Eng. 2012, 138, 992–1001. [Google Scholar] [CrossRef]
- Arab, M.G.; Alsodi, R.; Almajed, A.; Yasuhara, H.; Zeiada, W.; Shahin, M.A. State-of-the-art review of enzyme-induced calcite precipitation (EICP) for ground improvement: Applications and prospects. Geosciences 2021, 11, 492. [Google Scholar] [CrossRef]
- Almajed, A.; Lateef, M.A.; Moghal, A.A.B.; Lemboye, K. State-of-the-art review of the applicability and challenges of microbial-induced calcite precipitation (MICP) and enzyme-induced calcite precipitation (EICP) techniques for geotechnical and geoenvironmental applications. Crystals 2021, 11, 370. [Google Scholar] [CrossRef]
- Muhammed, A.S.; Kassim, K.A.; Ahmad, K.; Zango, M.U.; Chong, C.S.; Makinda, J. Influence of multiple treatment cycles on the strength and microstructure of biocemented sandy soil. Int. J. Environ. Sci. Tech. 2021, 18, 3427–3440. [Google Scholar] [CrossRef]
- Zhang, J.W.; Yin, Y.; Shi, W.P.; Bian, H.L.; Shi, L.; Wu, L.Y.; Han, Z.G.; Zheng, J.J.; He, X. Strength and uniformity of EICP-treated sand under multi-factor coupling effects. Biogeotechnics 2023, 1, 100007. [Google Scholar] [CrossRef]
- Arab, M.G.; Rohy, H.; Zeiada, W.; Almajed, A.; Omar, M. One-phase EICP biotreatment of sand exposed to various environmental conditions. J. Mater. Civ. Eng. 2021, 33, 04020489. [Google Scholar] [CrossRef]
- Li, S.; Huang, M.; Cui, M.J.; Jiang, Q.W.; Xu, K. Thermal conductivity enhancement of backfill material and soil using enzyme-induced carbonate precipitation (EICP). Acta Geotech. 2023, 18, 6143–6158. [Google Scholar] [CrossRef]
- Sun, Y.S.; Zhong, X.Y.; Lv, J.G.; Wang, G.H.; Hu, R.L. Experimental study on different improvement schemes of EICP-lignin solidified silt. Materials 2023, 16, 999. [Google Scholar] [CrossRef] [PubMed]
- Li, G.; Yan, D.Q.; Liu, J.; Yang, P.D.; Zhang, J.Y. Study on the mechanical properties of crack mortar repaired by enzyme-induced calcium carbonate precipitation (EICP). Materials 2024, 17, 2978. [Google Scholar] [CrossRef] [PubMed]
- Thomas, G.; Rangaswamy, K. Dynamic soil properties of nanoparticles and bioenzyme treated soft clay. Soil Dyn. Earthq. Eng. 2020, 137, 106324. [Google Scholar] [CrossRef]
- Saif, A.; Cuccurullo, A.; Gallipoli, D.; Perlot, C.; Bruno, A.W. Advances in enzyme induced carbonate precipitation and application to soil improvement: A review. Materials 2022, 15, 950. [Google Scholar] [CrossRef] [PubMed]
- Shen, D.Y.; Liu, Z.Y.; Song, Z.C.; Wu, C.Z. Reinforcement mechanism and erosion resistance of loess slope using enzyme induced calcite precipitation technique. Sustainability 2023, 15, 1044. [Google Scholar] [CrossRef]
- Zhu, H.B.; Zhang, X.Y.; Cui, J. Enhancing the seismic performance of piles in liquefiable soils by slag powder. Case Stud. Constr. Mater. 2023, 18, e01995. [Google Scholar] [CrossRef]
- Li, Y.J.; Li, Y.L.; Guo, Z.; Xu, Q. Durability of MICP-reinforced calcareous sand in marine environments: Laboratory and field experimental study. Biogeotechnics 2023, 1, 100018. [Google Scholar] [CrossRef]
- Wang, H.X.; Wang, J.J.; Sun, X.H.; Miao, L.C.; Shi, W.B.; Wu, L.Y.; Yuan, J.H. Erosion resistance of treated dust soils based on the combined enzymatically induced carbonate precipitation and polyacrylic acid. Biogeotechnics 2023, 1, 100050. [Google Scholar] [CrossRef]
- Wu, L.Y.; Miao, L.C.; Kawasaki, S.; Wang, H.X. Effects of reaction conditions on EICP-treated desert aeolian sand. KSCE J. Civ. Eng. 2022, 26, 2662–2674. [Google Scholar] [CrossRef]
- Cui, M.; Xiong, H.H.; Zheng, J.J.; Cui, M.J.; Lv, S.Y.; Lai, H.J. Experimental study on multiscale engineering properties of EICP combined with xan than gum solidified Sand. J. Mater. Civ. Eng. 2024, 36, 04024108. [Google Scholar] [CrossRef]
- Alotaibi, E.; Arab, M.G.; Abdallah, M.; Nassif, N.; Omar, M. Life cycle assessment of biocemented sands using enzyme induced carbonate precipitation (EICP) for soil stabilization applications. Sci. Rep. 2022, 12, 6032. [Google Scholar] [CrossRef] [PubMed]
- GB/T 50123-2019; Standard for Geotechnical Testing Method. Construction Ministry of PRC: Beijing, China, 2019.
- Singh, M.; Indraratna, B.; Nguyen, T.T. Experimental insights into the stiffness degradation of subgrade soils prone to mud pumping. Transp. Geotech. 2021, 27, 100490. [Google Scholar] [CrossRef]
- Indraratna, B.; Nguyen, T.T.; Singh, M.; Rujikiatkamjorn, C.; Carter, J.P.; Ni, J.; Truong, M.H. Cyclic loading response and associated yield criteria for soft railway subgrade–theoretical and experimental perspectives. Comput. Geotech. 2021, 138, 104366. [Google Scholar] [CrossRef]
- Cen, W.J.; Gu, G.C.; Min, J.J.; Sui, J. Test of dynamic properties of loess and study on resistance of earthquake impact for earth-rock dam on deep loess foundation. Rock Soil Mech. 2010, 31, 187–192. [Google Scholar]
- Seed, H.B.; Martin, P.P.; Lysmer, J. Pore-water pressure changes during soil liquefaction. J. Geotech. Eng. Div. 1976, 102, 323–346. [Google Scholar] [CrossRef]
- Porcino, D.; Marcianò, V.; Granata, R. Cyclic liquefaction behaviour of a moderately cemented grouted sand under repeated loading. Soil Dyn. Earthq. Eng. 2015, 79, 36–46. [Google Scholar] [CrossRef]
- Chen, G.; Liu, X. Study on dynamic pore water pressure in silty clay in terbedded with fine sand of Nanjing. Chin. J. Geotech. Eng. 2004, 26, 79–82. [Google Scholar]
- Zhang, J.M.; Xie, D.Y. A practical algorithm for the growth of vibrating pore water pressure in saturated sand. J. Hydraul. Eng. 1991, 8, 45–51. [Google Scholar]
- Chen, G.X.; Xie, J.F.; Han, W.; Zhang, K.X. A simplified effective stress method of soil mass earthquake response analysis. Earthq. Eng. Struct. Dyn. 1995, 52–61. [Google Scholar]
- Mao, X.; Fahey, M.; Randolph, M.F. Cyclic loading behaviour of fine-grained calcareous soils: Effect of mean and cyclic stress level. In Proceedings of the ISOPE International Ocean and Polar Engineering Conference, Brest, France, 30 May–4 June 1999. [Google Scholar]
- Huang, X.; Cai, X.G.; Yang, P.; Zheng, X.X.; Zhang, S.Q.; Bo, J.S. Study on the dynamic pore water pressure model of centerline tailings sand based on dynamic triaxial tests. Geomech. Geophys. Geo-Energy Geo-Resour. 2023, 9, 79. [Google Scholar] [CrossRef]
- Karakan, E.; Sezer, A.; Tanrinian, N. Evaluation of effect of limited pore water pressure development on cyclic behavior of a nonplastic silt. Soils Found. 2019, 59, 1302–1312. [Google Scholar] [CrossRef]
- Liu, H.L.; Xiao, P.; Xiao, Y.; Wang, J.P.; Chen, Y.M.; Chu, J. Dynamic behaviors of MICP-treated calcareous sand in cyclic tests. Chin. J. Geo. Eng. 2018, 40, 38–45. [Google Scholar]
- Zhang, C.L.; Jiang, G.L.; Su, L.J.; Liu, W.M.; Zhou, G.D. Effect of dry density on the liquefaction behaviour of quaternary silt. J. Mt. Sci. 2018, 15, 1597–1614. [Google Scholar] [CrossRef]
- Pan, K.; Yang, Z.X. Effects of initial static shear on cyclic resistance and pore pressure generation of saturated sand. Acta Geotech. 2018, 13, 473–487. [Google Scholar] [CrossRef]
- Yu, X.N.; Yang, H.Q.; Wang, H. A cleaner biocementation method of soil via microbially induced struvite precipitation: A experimental and numerical analysis. J. Environ. Manag. 2022, 316, 115280. [Google Scholar] [CrossRef] [PubMed]










| Specific Gravity Gs | Maximum Dry Density ρd max (g/cm3) | Minimum Dry Density ρd min (g/cm3) | Effective Diameter d10 (mm) | Median Diameter d30 (mm) | Constrained Diameter d60 (mm) | Coefficient Uniformity Cu | Curvature Coefficient Cc |
|---|---|---|---|---|---|---|---|
| 2.65 | 1.73 | 1.46 | 0.14 | 0.50 | 0.90 | 6.43 | 1.98 |
| σ3 (kPa) | Pc | CSR | ρd (g/cm3) | f (Hz) |
|---|---|---|---|---|
| 25 | 2 | 0.25, 0.30, 0.35 | 1.6, 1.7 | 1, 3 |
| 4 | 0.25, 0.30, 0.35 | 1.6, 1.7 | 1, 3 | |
| 6 | 0.25, 0.30, 0.35 | 1.6, 1.7 | 1, 3 | |
| 50 | 2 | 0.25, 0.30, 0.35 | 1.6, 1.7 | 1, 3 |
| 4 | 0.25, 0.30, 0.35 | 1.6, 1.7 | 1, 3 | |
| 6 | 0.25, 0.30, 0.35 | 1.6, 1.7 | 1, 3 | |
| 100 | 2 | 0.25, 0.30, 0.35 | 1.6, 1.7 | 1, 3 |
| 4 | 0.25, 0.30, 0.35 | 1.6, 1.7 | 1, 3 | |
| 6 | 0.25, 0.30, 0.35 | 1.6, 1.7 | 1, 3 |
| Number | Pore Pressure Model Formula | Parameter | Formula Source |
|---|---|---|---|
| 1 | θ = c1·FC + c2·Dr + c3·CSR + c4 c1, c2, c3, c4—Calculated parameters | Seed et al. [36] | |
| 2 | a, b, c—Calculated parameters | Porcino et al. [37] | |
| 3 | a, b—Calculated parameters | Chen et al. [38] | |
| 4 | β—Calculated parameters uf—Boundary pore pressure tf—Loading time | Zhang et al. [39] | |
| 5 | αS, m, θ—Calculated parameters | Chen et al. [40] | |
| 6 | m, θ—Calculated parameters | Mao et al. [41] |
| Curve Type | Seed Model | Porcino Model | Chen Model | ||||||
|---|---|---|---|---|---|---|---|---|---|
| β | R2 | a | b | c | R2 | a | b | R2 | |
| Type A | 1.45 | 0.840 | 0.37 | 0.14 | 2.29 | 0.98 | 0.40 | 0.96 | 0.900 |
| Type B | 1.58 | 0.650 | 0.71 | 0.46 | 1.45 | 0.991 | 0.51 | 0.52 | 0.960 |
| Type C | 1.36 | 0.240 | 1.02 | 0.22 | 0.96 | 0.995 | 0.059 | 1.018 | 0.995 |
| Curve Type | Zhang Model | Chen Model | Mao Model | ||||||
| a | R2 | a | b | θ | R2 | m | θ | R2 | |
| Type A | 1.61 | 0.840 | 1.631 | 1.488 | 3.694 | 0.992 | 0.24 | 2.93 | 0.994 |
| Type B | 2.23 | 0.950 | 3.049 | 0.841 | 1.819 | 0.990 | 0.90 | 0.60 | 0.988 |
| Type C | 6.02 | 0.991 | 7.606 | 0.013 | 4.820 | 0.971 | 0.93 | 0.21 | 0.990 |
| Curve Type | Model Parameters | |||
|---|---|---|---|---|
| a | b | c | R2 | |
| Type A | 1.047 | 0.277 | 2.552 | 0.994 |
| Type B | 0.946 | 0.790 | 2.717 | 0.990 |
| Type C | 0.972 | 2.683 | 2.203 | 0.995 |
Disclaimer/Publisher’s Note: The statements, opinions and data contained in all publications are solely those of the individual author(s) and contributor(s) and not of MDPI and/or the editor(s). MDPI and/or the editor(s) disclaim responsibility for any injury to people or property resulting from any ideas, methods, instructions or products referred to in the content. |
© 2024 by the authors. Licensee MDPI, Basel, Switzerland. This article is an open access article distributed under the terms and conditions of the Creative Commons Attribution (CC BY) license (https://creativecommons.org/licenses/by/4.0/).
Share and Cite
Li, G.; Li, Y.; Hua, X.; Liu, J.; Yang, S.; Zhang, Y. Study on Pore Water Pressure Model of EICP-Solidified Sand under Cyclic Loading. Materials 2024, 17, 4800. https://doi.org/10.3390/ma17194800
Li G, Li Y, Hua X, Liu J, Yang S, Zhang Y. Study on Pore Water Pressure Model of EICP-Solidified Sand under Cyclic Loading. Materials. 2024; 17(19):4800. https://doi.org/10.3390/ma17194800
Chicago/Turabian StyleLi, Gang, Yu Li, Xueqing Hua, Jia Liu, Shasha Yang, and Yao Zhang. 2024. "Study on Pore Water Pressure Model of EICP-Solidified Sand under Cyclic Loading" Materials 17, no. 19: 4800. https://doi.org/10.3390/ma17194800
APA StyleLi, G., Li, Y., Hua, X., Liu, J., Yang, S., & Zhang, Y. (2024). Study on Pore Water Pressure Model of EICP-Solidified Sand under Cyclic Loading. Materials, 17(19), 4800. https://doi.org/10.3390/ma17194800

