Continuous Casting Slab Mold: Key Role of Nozzle Immersion Depth
Abstract
1. Introduction
2. Establishment of Physical Model and Mathematical Model
2.1. Establishment of Physical Model
2.2. Establishment of Mathematical Model
2.2.1. Assumption
- The flow of molten steel is regarded as a steady state, and the molten steel is treated as an incompressible Newtonian fluid, with constant viscosity, specific heat capacity, and thermal conductivity.
- The turbulence model employs the low-Reynolds-number k-ε model.
- The flow field within the slab mold is assumed to be symmetric with respect to the central plane along the wide face.
- The effects of molten steel solidification shrinkage, mold powder, and mold oscillation on the flow and temperature fields of the molten steel are neglected.
- The mushy zone is treated as a porous medium, and the internal flow follows Darcy’s law.
2.2.2. Governing Equation
- (1)
- Continuity equation:
- (2)
- Momentum equation:
- (3)
- Low Reynolds number k-ε equation
- (4)
- Energy equation:
2.2.3. Mesh and Boundary Conditions
2.3. Simulation Conditions Parameters
3. Result and Discussion
3.1. Analysis of Water Modeling Results for 1600 mm × 220 mm Section
3.2. Analysis of Numerical Simulation Results for 2065 mm × 220 mm Section
4. Conclusions
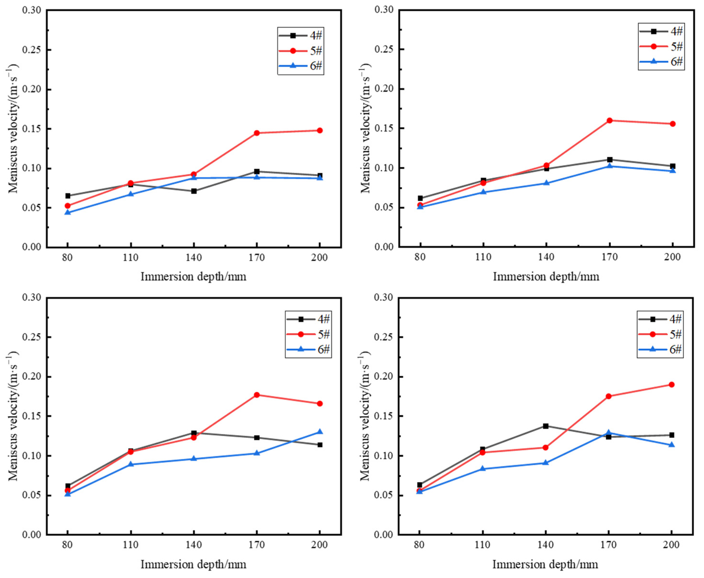
- Based on the experimental and simulation results, it was found that when the SEN depth is too shallow (80 mm), there are significant fluctuations at the slag–metal interface, and the slag layer on the narrow face is thin, increasing the likelihood of slag entrapment. As the SEN depth increases, the surface flow velocity initially rises and then decreases. There seems to be a critical SEN depth (170 mm in this study) at which the surface flow velocity reaches its maximum, significantly raising the risk of shear-induced slag entrapment. In this study, when the SEN depth is 110 mm, the slag layer on the surface is the most stable and uniform.
- As the SEN depth increases, the jet impingement point on the narrow face gradually moves downward, and the vortex in the upper recirculation zone evolves from an indistinct circulation to a well-defined vortex with a centered core. When the SEN depth increases to 170 mm, the upper recirculation zone becomes more fully developed, leading to an increase in the maximum surface velocity. However, with further increases in the SEN depth, the kinetic energy loss in the upper recirculation increases, causing the maximum surface velocity to gradually decrease.
- Within a certain range, increasing the SEN depth can expand the high-temperature region near the meniscus, facilitating the uniform melting of the mold flux. The thickness of the shell on the narrow face is significantly affected by the SEN depth as the high-temperature jet from the side ports impacts the narrow face shell, leading to slow growth or even remelting in the impact zone. Changes in the SEN depth can affect the duration of the “plateau period” in the growth of the narrow face shell, which has a substantial impact on casting quality defects and the risk of breakout.
Author Contributions
Funding
Institutional Review Board Statement
Informed Consent Statement
Data Availability Statement
Conflicts of Interest
References
- Bernhard, C.; Hiebler, H.; Wolf, M.M. How fast can we cast. Ironmak. Steelmak. 2000, 27, 450–454. [Google Scholar] [CrossRef]
- Pang, J.C.; Qian, G.Y.; Pang, S.; Ma, W.H.; Cheng, G.G. Design of a submerged entry nozzle for optimizing continuous casting of stainless steel slab. J. Iron Steel Res. 2023, 30, 2229–2241. [Google Scholar] [CrossRef]
- Zeng, J.; Chen, W.; Wang, G.; Cao, C.; Gao, Y. Development and application of an off-line soft reduction model during continuous casting of high-carbon rectangular billet. Metall. Res. Technol. 2015, 112, 403. [Google Scholar] [CrossRef]
- Tsukaguchi, Y.; Nakamura, O.; Jönsson, P.; Yokoya, S.; Tanaka, T.; Hara, S. Design of swirling flow submerged entry nozzles for optimal head consumption between tundish and mold. ISIJ Int. 2007, 47, 1436–1443. [Google Scholar] [CrossRef]
- Wang, Y.; Zhang, L. Fluid flow-related transport phenomena in steel slab continuous casting strands under electromagnetic brake. Metall. Mater. Trans. B 2011, 42, 1319–1351. [Google Scholar] [CrossRef]
- Deng, X.; Ji, C.; Zhu, G.; Liu, Q.; Huang, F.; Tian, Z.; Wang, X. Quantitative evaluations of surface cleanliness in IF steel slabs at unsteady casting. Metall. Mater. Trans. B 2019, 50, 1974–1987. [Google Scholar] [CrossRef]
- Zhao, B.; Thomas, B.G.; Vanka, S.P.; O’malley, R.J. Transient fluid flow and superheat transport in continuous casting of steel slabs. Metall. Mater. Trans. B 2005, 36, 801–823. [Google Scholar] [CrossRef]
- Kato, T.; Hara, M.; Muto, A.; Hiraki, S.; Kawamoto, M. Fluid flow behavior in submerged entry nozzle of continuous casting. ISIJ Int. 2007, 47, 840–846. [Google Scholar] [CrossRef][Green Version]
- Calderón-Ramos, I.; Morales, R.D. The role of submerged entry nozzle port shape on fluid flow turbulence in a slab mold. Metall. Mater. Trans. B 2015, 46, 1314–1325. [Google Scholar] [CrossRef]
- Gonzalez-Trejo, J.; Real-Ramirez, C.A.; Miranda-Tello, J.R.; Gabbasov, R.; Carvajal-Mariscal, I.; Sanchez-Silva, F.; Cervantes-de-la-Torre, F. Influence of the submerged entry nozzle’s bottom well on the characteristics of its exit jets. Metals 2021, 11, 398. [Google Scholar] [CrossRef]
- Morales, R.D.; Tang, Y.; Nitzl, G.; Eglsäeer, C.; Hackl, G. Design of a submerged entry nozzle for thin slab molds operating at high casting speeds. ISIJ Int. 2012, 52, 1607–1615. [Google Scholar] [CrossRef]
- Gan, M.; Pan, W.; Wang, Q.; Zhang, X.; He, S. Effect of exit shape of submerged entry nozzle on flow field and slag entrainment in continuous casting mold. Metall. Mater. Trans. B 2020, 51, 2862–2870. [Google Scholar] [CrossRef]
- Du, F.; Li, T.; Zheng, G. The effects of nozzle inclination, area ratio, and side-hole aspect ratio on the flow behavior in mold. Coatings 2022, 12, 815. [Google Scholar] [CrossRef]
- Lee, W.H.; Yi, K.W. Relationship between fluid flow stability and submerged entry nozzle port angle in a conventional slab continuous-casting mold. Met. Mater. Int. 2021, 27, 4168–4181. [Google Scholar] [CrossRef]
- Yin, Y.; Zhang, J.; Xiao, P. Mathematical modeling on optimization of submerged entry nozzle for an ultra-thick slab continuous casting mold. Metals 2023, 13, 221. [Google Scholar] [CrossRef]
- Kumar, M.; Mishra, P.; Kumar Roy, A. Influence of Submerged Entry Nozzle Port Blockage on the Meniscus Fluctuation Considering Various Operational Parameters. Metals 2020, 10, 269. [Google Scholar] [CrossRef]
- Sambasivam, R. Clogging resistant submerged entry nozzle design through mathematical modelling. Ironmak. Steelmak. 2006, 33, 439–453. [Google Scholar] [CrossRef]
- Zhang, T.; Yang, J.; Xu, G.J.; Liu, H.J.; Zhou, J.J.; Qin, W. Effects of operating parameters on the flow field in slab continuous casting molds with narrow widths. Int. J. Miner. Met. Mater. 2021, 28, 238–248. [Google Scholar] [CrossRef]
- Watanabe, T.; Iguchi, M. Water model experiments on the effect of an argon bubble on the meniscus near the immersion nozzle. ISIJ Int. 2009, 49, 182–188. [Google Scholar] [CrossRef][Green Version]
- Hoffken, E.; Lax, H.; Pietzko, G. Development of improved immersion nozzles for continuous slab casting. In Proceedings of the 4th International Conference Continuous Casting, Preprints, Brussels, Belgium, 17–19 May 1988; Volume 2, pp. 461–473. [Google Scholar]
- Miranda, R.; Barron, M.A.; Barreto, J.; Hoyos, L.; Gonzalez, J. Experimental and numerical analysis of the free surface in a water model of a slab continuous casting mold. ISIJ Int. 2005, 45, 1626–1635. [Google Scholar] [CrossRef]
- Zhang, H.; Fang, Q.; Xiao, T.; Ni, H.; Liu, C. Optimization of the flow in a slab mold with argon blowing by divergent bifurcated SEN. ISIJ Int. 2019, 59, 86–92. [Google Scholar] [CrossRef]
- Wang, Y.; Fang, Q.; Zhang, H.; Zhou, J.; Liu, C.; Ni, H. Effect of argon blowing rate on multiphase flow and initial solidification in a slab mold. Metall. Mater. Trans. B 2020, 51, 1088–1100. [Google Scholar] [CrossRef]
- Ramos, I.C.; Morales, R.D.; Garcia-Hernandez, S.; Ceballos-Huerta, A. Effects of immersion depth on flow turbulence of liquid steel in a slab mold using a nozzle with upward angle rectangular ports. ISIJ Int. 2014, 54, 1797–1806. [Google Scholar] [CrossRef]
- Saldaña-Salas, F.; Torres-Alonso, E.; Ramos-Banderas, J.A.; Solorio-Díaz, G.; Hernández-Bocanegra, C.A. Analysis of the Depth of Immersion of the Submerged Entry Nozzle on the Oscillations of the Meniscus in a Continuous Casting Mold. Metals 2019, 9, 596. [Google Scholar] [CrossRef]
- Xu, P.; Zhou, Y.Z.; Chen, D.F.; Long, M.J.; Duan, H.M. Optimization of submerged entry nozzle parameters for ultra-high casting speed continuous casting mold of billet. J. Iron Steel Res. 2022, 29, 44–52. [Google Scholar] [CrossRef]
- Lu, Q.; Yang, R.; Wang, X.; Zhang, J.; Wang, W. Water modeling of mold powder entrapment in slab continuous casting mold. J. Univ. Sci. Technol. Beijing Miner. Met. Mater. 2007, 14, 399–404. [Google Scholar] [CrossRef]
- Lee, J.H.; Han, S.; Cho, H.-J.; Park, I.S. Numerical and experimental study of the meniscus vortex core in a water model of continuous casting mold. Metall. Trans. B 2021, 52, 178–189. [Google Scholar] [CrossRef]
- Jin, X.; Chen, D.; Xie, X.; Shen, J.; Long, M. Investigation on water model for fluid flow in slab continuous casting mold with consideration of solidified process. Steel Res. Int. 2013, 84, 31–39. [Google Scholar] [CrossRef]
- Wang, G.; Yun, M.; Zhang, C.; Xiao, G. Flow mechanism of molten steel in a single-strand slab caster tundish based on the residence time distribution curve and data. ISIJ Int. 2015, 55, 984–992. [Google Scholar] [CrossRef]
- Aboutalebi, M.R.; Guthrie, R.I.L.; Seyedein, S.H. Mathematical modeling of coupled turbulent flow and solidification in a single belt caster with electromagnetic brake. Appl. Math. Model. 2007, 31, 1671–1689. [Google Scholar] [CrossRef]
- Jones, W.P.; Launder, B. The calculation of low-Reynolds-number phenomena with a two-equation model of turbulence. Int. J. Heat Mass Transf. 1973, 16, 1119–1130. [Google Scholar] [CrossRef]
- Lai, K.Y.M.; Salcudean, M.; Tanaka, S.; Guthrie, R.I.L. Mathematical modeling of flows in large tundish systems in steelmaking. Metall. Trans. B 1986, 17, 449–459. [Google Scholar] [CrossRef]
- Wang, P.; Zhang, Z.; Tie, Z.P.; Qi, M.; Lan, P.; Li, S.X.; Yang, Z.; Zhang, J.Q. Initial transfer behavior and solidification structure evolution in a large continuously cast bloom with a combination of nozzle injection mode and M-EMS. Metals 2019, 9, 1083. [Google Scholar] [CrossRef]
- Dong, Q.; Zhang, J.; Qian, L.; Yin, Y. Numerical modeling of macrosegregation in round billet with different microsegregation models. ISIJ Int. 2017, 57, 814–823. [Google Scholar] [CrossRef]
- Savage, J.; Pritchard, W.H. The problem of rupture of the billet in the continuous casting of steel. J. Iron Steel Inst. 1954, 178, 269–277. [Google Scholar]
- Hardin, R.A.; Liu, K.; Beckermann, C.; Kapoor, A. A transient simulation and dynamic spray cooling control model for continuous steel casting. Metall. Mater. Trans. B 2003, 34, 297–306. [Google Scholar] [CrossRef]
- Chen, X.Q.; Lei, L.L.; Song, Y.; Xiao, H.; Wang, P.; Feng, W.W.; Zhang, J.Q. Physical and numerical simulation of submerged nozzle flow control in slab continuous casting. China Metal. 2023, 12, 42–55. [Google Scholar]
- Zaitsev, A.I.; Leites, A.V.; Lrtvina, A.D.; Mogutnov, B.M. Investigation of the mould powder volatiles during continuous casting. Steel Res. 1994, 65, 368–374. [Google Scholar] [CrossRef]
- Sigworth, G.K.; Wang, C. Mechanisms of porosity formation during solidification: A theoretical analysis. Metall. Trans. B 1993, 24, 349–364. [Google Scholar] [CrossRef]














| Parameters | Experimental Simulation | Numerical Simulation |
|---|---|---|
| Section size/(mm × mm) | 1600 × 220 | 2065 × 220 |
| Effective height of mold/mm | 900 | 800 |
| Immersion depth of nozzle/mm | 80, 110, 140, 170, 200 | 110, 130, 150, 170, 190 |
| Inner diameter of nozzle/mm | 63 | 63 |
| Outer diameter of nozzle/mm | 120 | 125 |
| Port height and width/mm | 70 × 48 | 70 × 48 |
| Casting speed/(m·min−1) | 0.9, 1.0, 1.1, 1.2 | 1.15 |
| Port angle | 15 degrees downwards | 15 degrees downwards |
| Thermal Physical Properties | Value |
|---|---|
| Density of mushy zone/(kg·m−3) | 7200 |
| Viscosity of molten steel/(kg·m−1·s−1) | 0.0055 |
| Liquidus temperature/K | 1786 |
| Solidus temperature/K | 1752 |
| Specific heat capacity/(J·kg−1·K) | 720 |
| Latent heat of solidification/(J·kg−1) | 270,000 |
| Superheat/K | 29 |
Disclaimer/Publisher’s Note: The statements, opinions and data contained in all publications are solely those of the individual author(s) and contributor(s) and not of MDPI and/or the editor(s). MDPI and/or the editor(s) disclaim responsibility for any injury to people or property resulting from any ideas, methods, instructions or products referred to in the content. |
© 2024 by the authors. Licensee MDPI, Basel, Switzerland. This article is an open access article distributed under the terms and conditions of the Creative Commons Attribution (CC BY) license (https://creativecommons.org/licenses/by/4.0/).
Share and Cite
Chen, L.; Chen, X.; Wang, P.; Zhang, J. Continuous Casting Slab Mold: Key Role of Nozzle Immersion Depth. Materials 2024, 17, 4888. https://doi.org/10.3390/ma17194888
Chen L, Chen X, Wang P, Zhang J. Continuous Casting Slab Mold: Key Role of Nozzle Immersion Depth. Materials. 2024; 17(19):4888. https://doi.org/10.3390/ma17194888
Chicago/Turabian StyleChen, Liang, Xiqing Chen, Pu Wang, and Jiaquan Zhang. 2024. "Continuous Casting Slab Mold: Key Role of Nozzle Immersion Depth" Materials 17, no. 19: 4888. https://doi.org/10.3390/ma17194888
APA StyleChen, L., Chen, X., Wang, P., & Zhang, J. (2024). Continuous Casting Slab Mold: Key Role of Nozzle Immersion Depth. Materials, 17(19), 4888. https://doi.org/10.3390/ma17194888

