Strong Impact of Particle Size Polydispersity on the Thermal Conductivity of Yukawa Crystals
Abstract
1. Introduction
2. Model and Method
2.1. Model
2.2. Method
2.3. Simulation Details
3. Results and Discussion
3.1. Thermal Conductivity of Monodisperse Yukawa Crystals
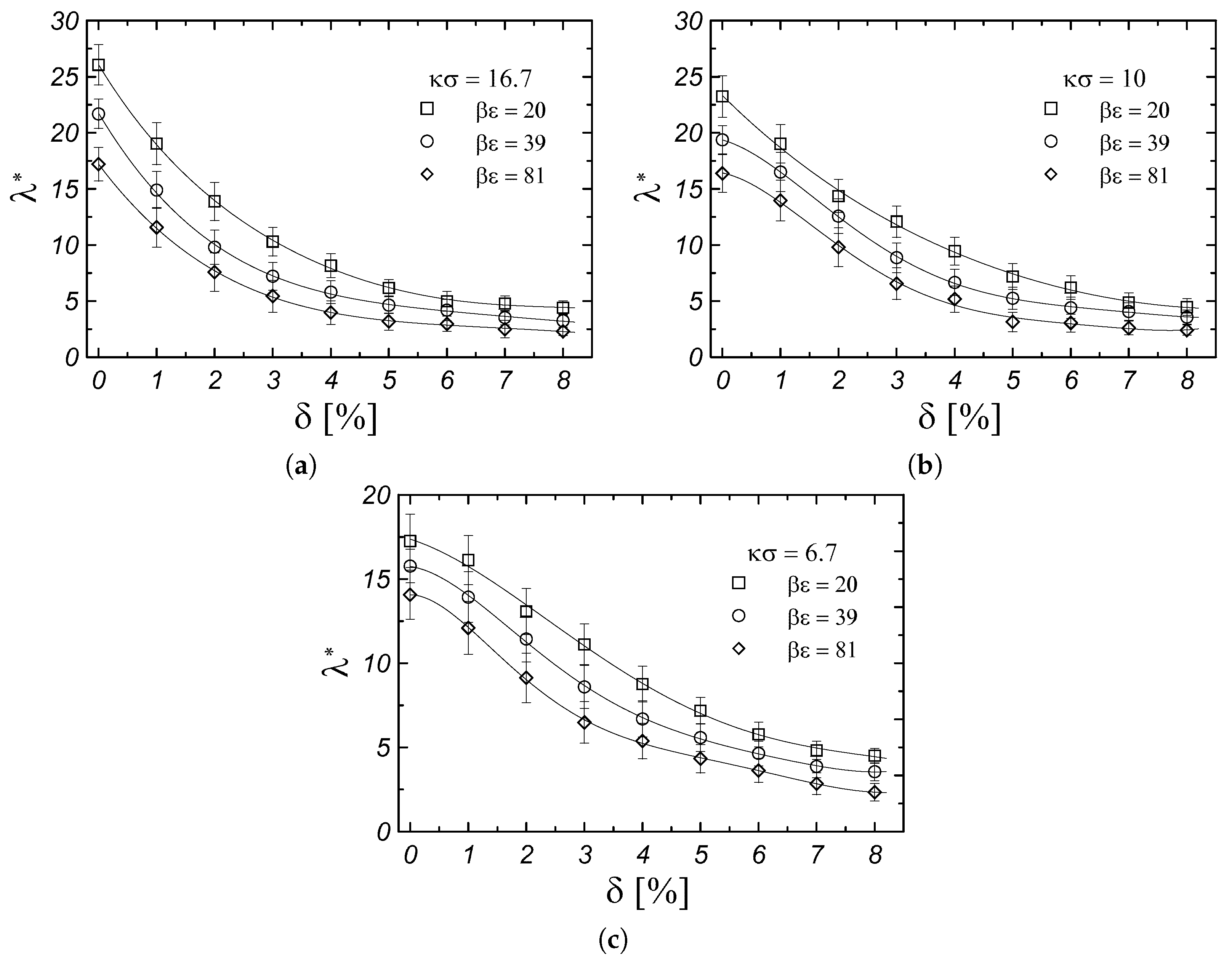
3.2. Thermal Conductivity of Polydisperse Yukawa Crystals
4. Conclusions
Author Contributions
Funding
Institutional Review Board Statement
Informed Consent Statement
Data Availability Statement
Acknowledgments
Conflicts of Interest
Abbreviations
| MDs | Molecular dynamics | 
| EMD | Equilibrium molecular dynamics | 
| HCRYP | Hard-core repulsive Yukawa potential | 
| fcc | Face-centered cubic | 
References
- van Blaaderen, A.; Ruel, R.; Wiltzius, P. Template-directed colloidal crystallization. Nature 1997, 385, 321–324. [Google Scholar]
- Talapin, D.V.; Lee, J.S.; Kovalenko, M.V.; Shevchenko, E.V. Prospects of colloidal nanocrystals for electronic and optoelectronic applications. Chem. Rev. 2010, 110, 389–458. [Google Scholar] [PubMed]
- Galisteo-López, J.; Ibisate, M.; Sapienza, R.; Froufe-Peérez, L.; Blanco, A.; López, C. Self-Assembled Photonic Structures. Adv. Mater. 2011, 23, 30. [Google Scholar] [PubMed]
- Alexeev, V.L.; Finegold, D.N.; Asher, S.A. Photonic crystal glucose-sensing material for noninvasive monitoring of glucose in tear fluid. Clin. Chem. 2004, 50, 2353–2360. [Google Scholar] [PubMed]
- Demirörs, A.F.; Johnson, P.M.; van Kats, C.M.; van Blaaderen, A.; Imhof, A. Directed Self-Assembly of Colloidal Dumbbells with an Electric Field. Langmuir 2010, 26, 14466–14471. [Google Scholar] [CrossRef] [PubMed]
- Bakker, H.E.; Dussi, S.; Droste, B.L.; Besseling, T.H.; Kennedy, C.L.; Wiegant, E.I.; Liu, B.; Imhof, A.; Dijkstra, M.; van Blaaderen, A. Phase diagram of binary colloidal rod-sphere mixtures from a 3D real-space analysis of sedimentation—Diffusion equilibria. Soft Matter 2016, 12, 9238–9245. [Google Scholar] [CrossRef]
- Smallenburg, F.; Vutukuri, H.R.; Imhof, A.; van Blaaderen, A.; Dijkstra, M. Self-assembly of colloidal particles into strings in a homogeneous external electric or magnetic field. J. Phys.-Condes. Matter 2012, 24, 464113. [Google Scholar]
- Demirörs, A.F.; Pillai, P.P.; Kowalczyk, B.; Grzybowski, B.A. Colloidal assembly directed by virtual magnetic moulds. Nature 2013, 503, 99–103. [Google Scholar] [CrossRef]
- Sacanna, S.; Rossi, L.; Pine, D.J. Magnetic Click Colloidal Assembly. J. Am. Chem. Soc. 2012, 134, 6112–6115. [Google Scholar]
- Likos, C. Effective interactions in soft condensed matter physics. Phys. Rep.-Rev. Sec. Phys. Lett. 2001, 348, 267–439. [Google Scholar] [CrossRef]
- Verwey, E.J.W.; Overbeek, J.T.G. Theory of the Stability of Lyophobic Colloids; Elsevier: New York, NY, USA, 1948. [Google Scholar]
- Alexander, S.; Chaikin, P.; Grant, P.; Morales, G.; Pincus, P.; Hone, D. Charge renormalization, osmotic-pressure, and bulk modulus of colloidal crystals: Theory. J. Chem. Phys. 1984, 80, 5776–5781. [Google Scholar] [CrossRef]
- Ohshima, H. Theory of Colloid and Interfacial Electric Phenomena; Academic Press: Amsterdam, The Netherlands, 2006. [Google Scholar]
- Hone, D.; Alexander, S.; Chaikin, P.M.; Pincus, P. The phase-diagram of charged colloidal suspensions. J. Chem. Phys. 1983, 79, 1474. [Google Scholar] [CrossRef]
- Tejero, C.F.; Lutsko, J.F.; Colot, J.L.; Baus, M. Thermodynamic properties of the fluid, FCC, and BCC phases of monodisperse charge-stabilized colloidal suspensions within the Yukawa model. Phys. Rev. A 1992, 46, 3373. [Google Scholar] [CrossRef] [PubMed]
- Royall, C.; Leunissen, M.; Hynninen, A.; Dijkstra, M.; van Blaaderen, A. Re-entrant melting and freezing in a model system of charged colloids. J. Chem. Phys. 2006, 124, 244706. [Google Scholar] [CrossRef] [PubMed]
- Azhar, F.E.; Baus, M.; Ryckaert, J.P. Line of triple points for the hard-core Yukawa model: A computer simulation study. J. Chem. Phys. 2000, 112, 5121–5126. [Google Scholar] [CrossRef]
- Hynninen, A.P.; Dijkstra, M. Phase diagrams of hard-core repulsive Yukawa particles. Phys. Rev. E 2003, 68, 021407. [Google Scholar] [CrossRef]
- Tretiakov, K.V.; Wojciechowski, K.W. Partially auxetic behavior in fcc crystals of hard-core repulsive Yukawa particles. Phys. Stat. Solidi B 2014, 251, 383. [Google Scholar] [CrossRef]
- Tretiakov, K.V.; Wojciechowski, K.W. The Influence of the Soft Yukawa Potential and Hard Core Interactions on Auxeticity of the Face Centered Cubic Crystal of Hard-Core Repulsive Yukawa Particles. Phys. Stat. Solidi B 2020, 257, 2000194. [Google Scholar] [CrossRef]
- Phan, S.E.; Russel, W.B.; Zhu, J.X.; Chaikin, P.M. Effects of polydispersity on hard sphere crystals. J. Chem. Phys. 1998, 108, 9789. [Google Scholar]
- Phan, S.E.; Russel, W.B.; Cheng, Z.; Zhu, J.; Chaikin, P.M.; Dunsmuir, J.H.; Ottewill, R.H. Phase transition, equation of state, and limiting shear viscosities of hard sphere dispersions. Phys. Rev. Stat. Phys. Plasmas Fluids Relat. Interdiscip. Top. 1996, 54, 6633–6645. [Google Scholar] [CrossRef]
- Colombo, J.; Dijkstra, M. Effect of quenched size polydispersity on the fluid-solid transition in charged colloidal suspensions. J. Chem. Phys. 2011, 134, 154504. [Google Scholar] [CrossRef] [PubMed]
- van der Linden, M.N.; van Blaaderen, A.; Dijkstra, M. Effect of size polydispersity on the crystal-fluid and crystal-glass transition in hard-core repulsive Yukawa systems. J. Chem. Phys. 2013, 138. [Google Scholar] [CrossRef] [PubMed]
- Narojczyk, J.W.; Piglowski, P.M.; Wojciechowski, K.W.; Tretiakov, K.V. Elastic properties of mono- and polydisperse two-dimensional crystals of hard-core repulsive Yukawa particles. Phys. Stat. Solidi B 2015, 252, 1508–1513. [Google Scholar] [CrossRef][Green Version]
- Tretiakov, K.V.; Wojciechowski, K.W. Elasticity of two-dimensional crystals of polydisperse hard disks near close packing: Surprising behavior of the Poisson’s ratio. J. Chem. Phys. 2012, 136, 204506. [Google Scholar] [CrossRef] [PubMed]
- Tretiakov, K.V.; Wojciechowski, K.W. Elastic properties of fcc crystals of polydisperse soft spheres. Phys. Stat. Solidi B 2013, 250. [Google Scholar] [CrossRef]
- Piglowski, P.; Narojczyk, J.; Wojciechowski, K.; Tretiakov, K. Auxeticity enhancement due to size polydispersity in fcc crystals of hard-core repulsive Yukawa particles. Soft Matter 2017, 13, 7916. [Google Scholar] [CrossRef]
- Cahill, D.; Ford, W.; Goodson, K.; Mahan, G.; Majumdar, A.; Maris, H.; Merlin, R.; Phillpot, S. Nanoscale thermal transport. J. Appl. Phys. 2003, 93, 793–818. [Google Scholar] [CrossRef]
- Cahill, D.G.; Braun, P.V.; Chen, G.; Clarke, D.R.; Fan, S.; Goodson, K.E.; Keblinski, P.; King, W.P.; Mahan, G.D.; Majumdar, A.; et al. Nanoscale thermal transport. II. 2003–2012. Appl. Phys. Rev. 2014, 1, 011305. [Google Scholar] [CrossRef]
- Poudel, B.; Hao, Q.; Ma, Y.; Lan, Y.; Minnich, A.; Yu, B.; Yan, X.; Wang, D.; Muto, A.; Vashaee, D.; et al. High-thermoelectric performance of nanostructured bismuth antimony telluride bulk alloys. Science 2008, 320, 634–638. [Google Scholar] [CrossRef]
- Cahill, D.; Watson, S.; Pohl, R. Lower limit to the thermal-conductivity of disordered crystals. Phys. Rev. B 1992, 46, 6131–6140. [Google Scholar] [CrossRef]
- Ishibe, T.; Kaneko, T.; Uematsu, Y.; Sato-Akaba, H.; Komura, M.; Iyoda, T.; Nakamura, Y. Tunable Thermal Switch via Order-Order Transition in Liquid Crystalline Block Copolymer. Nano Lett. 2022, 22, 6105–6111. [Google Scholar] [CrossRef] [PubMed]
- Xie, H.; Hao, S.; Bao, J.; Slade, T.J.; Snyder, G.J.; Wolverton, C.; Kanatzidis, M.G. All-Inorganic Halide Perovskites as Potential Thermoelectric Materials: Dynamic Cation off-Centering Induces Ultralow Thermal Conductivity. J. Am. Chem. Soc. 2020, 142, 9553–9563. [Google Scholar] [CrossRef] [PubMed]
- Tretiakov, K.V.; Hyzorek, K. Role of the phonon confinement effect and boundary scattering in reducing the thermal conductivity of argon nanowire. J. Chem. Phys. 2021, 154, 054702. [Google Scholar]
- Nutz, F.A.; Ruckdeschel, P.; Retsch, M. Polystyrene colloidal crystals: Interface controlled thermal conductivity in an open-porous mesoparticle superstructure. J. Colloid Interface Sci. 2015, 457, 96–101. [Google Scholar] [CrossRef] [PubMed]
- Nutz, F.A.; Retsch, M. Interfacial and volumetric sensitivity of the dry sintering process of polymer colloidal crystals: A thermal transport and photonic bandgap study. Phys. Chem. Chem. Phys. 2017, 19, 16124–16130. [Google Scholar] [CrossRef]
- Still, T.; Cheng, W.; Retsch, M.; Sainidou, R.; Wang, J.; Jonas, U.; Stefanou, N.; Fytas, G. Simultaneous occurrence of structure-directed and particle-resonance-induced phononic gaps in colloidal films. Phys. Rev. Lett. 2008, 100, 194301. [Google Scholar] [CrossRef]
- Nutz, F.A.; Philipp, A.; Kopera, B.A.F.; Dulle, M.; Retsch, M. Low Thermal Conductivity through Dense Particle Packings with Optimum Disorder. Adv. Mater. 2018, 30, 1704910. [Google Scholar] [CrossRef]
- Allen, M.P.; Tildesley, D.J. Computer Simulation of Liquids; J. W. Arrowsmith Ltd.: Bristol, UK, 1987. [Google Scholar]
- Hyżorek, K.; Tretiakov, K. Thermal conductivity of liquid argon in nanochannels from molecular dynamics simulations. J. Chem. Phys. 2016, 144, 194507. [Google Scholar] [CrossRef]
- Russel, W.B.; Saville, D.A.; Schowalter, W.R. Colloidal Dispersions; Cambridge University Press: Cambridge, UK, 1992. [Google Scholar]
- Green, M.S. Markoff Random Processes and the Statistical Mechanics of Time-Dependent Phenomena. II. Irreversible Processes in Fluids. J. Chem. Phys. 1954, 22, 398–413. [Google Scholar] [CrossRef]
- Kubo, R. Statistical-Mechanical Theory of Irreversible Processes. I. General Theory and Simple Applications to Magnetic and Conduction Problems. J. Phys. Soc. Jpn. 1957, 12, 570–586. [Google Scholar]
- Zwanzig, R. Time-Correlation Functions and Transport Coefficients in Statistical Mechanics. Annu. Rev. Phys. Chem. 1965, 16, 67–102. [Google Scholar] [CrossRef]
- Hansen, J.P.; McDonald, I.R. Theory of Simple Liquids; Academic: New York, NY, USA, 2005. [Google Scholar]
- Heyes, D. Transport coefficients of Lennard-Jones fluids: A molecular-dynamics and effective-hard-sphere treatment. Phys. Rev. B 1988, 37, 5677. [Google Scholar] [CrossRef] [PubMed]
- Tretiakov, K.V.; Scandolo, S. Thermal conductivity of solid argon for molecular dynamics simulations. J. Chem. Phys. 2004, 120, 3765–3769. [Google Scholar] [CrossRef] [PubMed]
- Vogelsang, R.; Hoheisel, C.; Ciccotti, G. Thermal conductivity of the Lennard-Jones liquid by molecular dynamics calculations. J. Chem. Phys. 1987, 86, 6371. [Google Scholar] [CrossRef]
- Vasileiadis, T.; Varghese, J.; Babacic, V.; Gomis-Bresco, J.; Navarro Urrios, D.; Graczykowski, B. Progress and perspectives on phononic crystals. J. Appl. Phys. 2021, 129, 160901. [Google Scholar] [CrossRef]





| Disclaimer/Publisher’s Note: The statements, opinions and data contained in all publications are solely those of the individual author(s) and contributor(s) and not of MDPI and/or the editor(s). MDPI and/or the editor(s) disclaim responsibility for any injury to people or property resulting from any ideas, methods, instructions or products referred to in the content. | 
© 2024 by the authors. Licensee MDPI, Basel, Switzerland. This article is an open access article distributed under the terms and conditions of the Creative Commons Attribution (CC BY) license (https://creativecommons.org/licenses/by/4.0/).
Share and Cite
Tretiakov, K.V.; Hyżorek, K. Strong Impact of Particle Size Polydispersity on the Thermal Conductivity of Yukawa Crystals. Materials 2024, 17, 4955. https://doi.org/10.3390/ma17204955
Tretiakov KV, Hyżorek K. Strong Impact of Particle Size Polydispersity on the Thermal Conductivity of Yukawa Crystals. Materials. 2024; 17(20):4955. https://doi.org/10.3390/ma17204955
Chicago/Turabian StyleTretiakov, Konstantin V., and Krzysztof Hyżorek. 2024. "Strong Impact of Particle Size Polydispersity on the Thermal Conductivity of Yukawa Crystals" Materials 17, no. 20: 4955. https://doi.org/10.3390/ma17204955
APA StyleTretiakov, K. V., & Hyżorek, K. (2024). Strong Impact of Particle Size Polydispersity on the Thermal Conductivity of Yukawa Crystals. Materials, 17(20), 4955. https://doi.org/10.3390/ma17204955
 
        


