Poly(ethylene oxide)- and Polyzwitterion-Based Thermoplastic Elastomers for Solid Electrolytes
Abstract
1. Introduction
2. Materials and Methods
2.1. Materials
2.2. Synthesis of PVPS-b-PEO-b-PVPS tri-BCPs
2.3. Preparation of Polymer/LiTFSI Hybrids
2.4. Characterizations
3. Results and Discussion
3.1. Microphase Separation Behavior
3.2. Thermal Properties
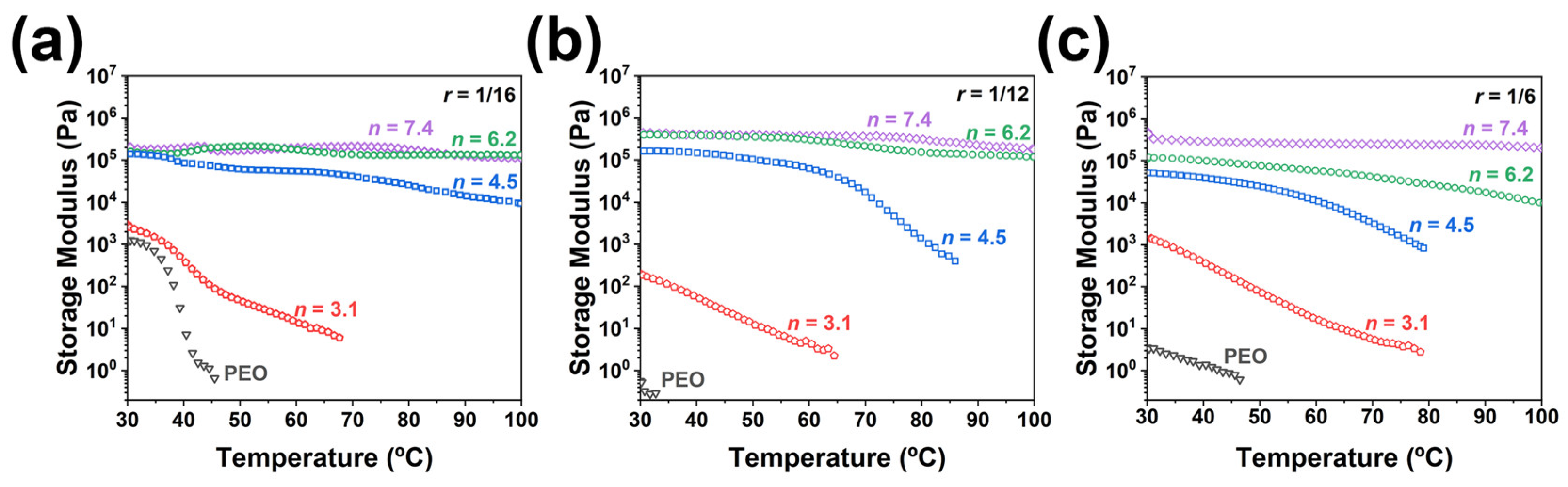
3.3. Rheological Properties
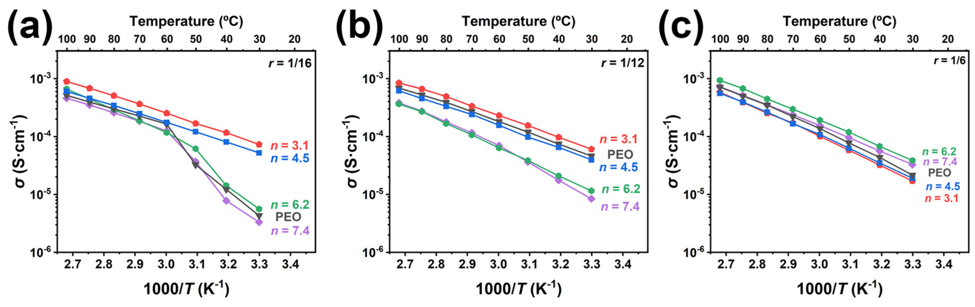
3.4. Ionic Conductivity
4. Conclusions
Supplementary Materials
Author Contributions
Funding
Institutional Review Board Statement
Informed Consent Statement
Data Availability Statement
Conflicts of Interest
References
- Armand, M.; Tarascon, J.M. Building Better Batteries. Nature 2008, 451, 652–657. [Google Scholar] [CrossRef] [PubMed]
- Choi, J.W.; Aurbach, D. Promise and Reality of Post-Lithium-Ion Batteries with High Energy Densities. Nat. Rev. Mater. 2016, 1, 16013. [Google Scholar] [CrossRef]
- Zimmerman, A.H. Self-Discharge Losses in Lithium-Ion Cells. IEEE AESS Systm. Mag. 2004, 19, 19–24. [Google Scholar] [CrossRef]
- Cheng, H.; Shapter, J.G.; Li, Y.Y.; Gao, G. Recent Progress of Advanced Anode Materials of Lithium-Ion Batteries. J. Energy Chem. 2021, 57, 451–468. [Google Scholar] [CrossRef]
- Lin, D.C.; Liu, Y.Y.; Cui, Y. Reviving the Lithium Metal Anode for High-Energy Batteries. Nat. Nanotechnol. 2017, 12, 194–206. [Google Scholar] [CrossRef] [PubMed]
- Liu, C.B.; Sun, J.C.; Zheng, P.L.; Jiang, L.; Liu, H.Y.; Chai, J.C.; Liu, Q.Y.; Liu, Z.H.; Zheng, Y.; Rui, X.H. Recent Advances of Non-Lithium Metal Anode Materials for Solid-State Lithium-Ion Batteries. J. Mater. Chem. A 2022, 10, 16761–16778. [Google Scholar] [CrossRef]
- Fenton, D.E.; Parker, J.M.; Wright, P.V. Complexes of Alkali-Metal Ions with Poly(Ethylene Oxide). Polymer 1973, 14, 589. [Google Scholar] [CrossRef]
- Pesko, D.M.; Webb, M.A.; Jung, Y.K.; Zheng, Q.; Miller, T.F., III; Coates, G.W.; Balsara, N.P. Universal Relationship between Conductivity and Solvation-Site Connectivity in Ether-Based Polymer Electrolytes. Macromolecules 2016, 49, 5244–5255. [Google Scholar] [CrossRef]
- Singh, M.; Odusanya, O.; Wilmes, G.M.; Eitouni, H.B.; Gomez, E.D.; Patel, A.J.; Chen, V.L.; Park, M.J.; Fragouli, P.; Iatrou, H.; et al. Effect of Molecular Weight on the Mechanical and Electrical Properties of Block Copolymer Electrolytes. Macromolecules 2007, 40, 4578–4585. [Google Scholar] [CrossRef]
- Bouchet, R.; Phan, T.N.T.; Beaudoin, E.; Devaux, D.; Davidson, P.; Bertin, D.; Denoyel, R. Charge Transport in Nanostructured PS-PEO-PS Triblock Copolymer Electrolytes. Macromolecules 2014, 47, 2659–2665. [Google Scholar] [CrossRef]
- Bates, C.M.; Chang, A.B.; Momcilovic, N.; Jones, S.C.; Grubbs, R.H. Aba Triblock Brush Polymers: Synthesis, Self-Assembly, Conductivity, and Rheological Properties. Macromolecules 2015, 48, 4967–4973. [Google Scholar] [CrossRef]
- Stone, G.M.; Mullin, S.A.; Teran, A.A.; Hallinan, D.T.; Minor, A.M.; Hexemer, A.; Balsara, N.P. Resolution of the Modulus Versus Adhesion Dilemma in Solid Polymer Electrolytes for Rechargeable Lithium Metal Batteries. J. Electrochem. Soc. 2012, 159, 222–227. [Google Scholar] [CrossRef]
- Glynos, E.; Pantazidis, C.; Sakellariou, G. Designing All-Polymer Nanostructured Solid Electrolytes: Advances and Prospects. ACS Omega 2020, 5, 2531–2540. [Google Scholar] [CrossRef] [PubMed]
- Wu, F.; Luo, L.F.; Tang, Z.H.; Liu, D.; Shen, Z.H.; Fan, X.H. Block Copolymer Electrolytes with Excellent Properties in a Wide Temperature Range. ACS Appl. Energy Mater. 2020, 3, 6536–6543. [Google Scholar] [CrossRef]
- Hallinan, D.T.; Balsara, N.P. Polymer Electrolytes. Annu. Rev. Mater. Res. 2013, 43, 503–525. [Google Scholar] [CrossRef]
- Schulze, M.W.; Mcintosh, L.D.; Hillmyer, M.A.; Lodge, T.P. High-Modulus, High-Conductivity Nanostructured Polymer Electrolyte Membranes Via Polymerization-Induced Phase Separation. Nano Lett. 2014, 14, 122–126. [Google Scholar] [CrossRef] [PubMed]
- Glynos, E.; Papoutsakis, L.; Pan, W.Y.; Giannelis, E.P.; Nega, A.D.; Mygiakis, E.; Sakellariou, G.; Anastasiadis, S.H. Nanostructured Polymer Particles as Additives for High Conductivity, High Modulus Solid Polymer Electrolytes. Macromolecules 2017, 50, 4699–4706. [Google Scholar] [CrossRef]
- Liu, D.; Wu, F.; Shen, Z.H.; Fan, X.H. Safety-Enhanced Polymer Electrolytes with High Ambient-Temperature Lithium-Ion Conductivity Based on Aba Triblock Copolymers. Chin. J. Polym. Sci. 2021, 40, 21–28. [Google Scholar] [CrossRef]
- Moehl, G.E.; Metwalli, E.; Bouchet, R.; Phan, T.N.T.; Cubitt, R.; Mueller Buschbaum, P. In Operando Small-Angle Neutron Scattering Study of Single-Ion Copolymer Electrolyte for Li-Metal Batteries. ACS Energ. Lett. 2018, 3, 1–6. [Google Scholar] [CrossRef]
- Xue, Z.G.; He, D.; Xie, X.L. Poly(Ethylene Oxide)-Based Electrolytes for Lithium-Ion Batteries. J. Mater. Chem. A 2015, 3, 19218–19253. [Google Scholar] [CrossRef]
- Jiang, Y.; Yan, X.M.; Ma, Z.F.; Mei, P.; Xiao, W.; You, Q.L.; Zhang, Y. Development of the PEO Based Solid Polymer Electrolytes for All-Solid State Lithium Ion Batteries. Polymers 2018, 10, 1237. [Google Scholar] [CrossRef] [PubMed]
- Teran, A.A.; Tang, M.H.; Mullin, S.A.; Balsara, N.P. Effect of Molecular Weight on Conductivity of Polymer Electrolytes. Solid State Ionics 2011, 203, 18–21. [Google Scholar] [CrossRef]
- Lascaud, S.; Perrier, M.; Vallée, A.; Besner, S.; Prud’homme, J. Phase Diagrams and Conductivity Behavior of Poly(Ethylene Oxide)-Molten Salt Rubbery Electrolytes. Macromolecules 1994, 27, 7469–7477. [Google Scholar] [CrossRef]
- Borodin, O.; Smith, G.D. Mechanism of Ion Transport in Amorphous Poly(Ethylene Oxide)/LiTFSI from Molecular Dynamics Simulations. Macromolecules 2006, 39, 1620–1629. [Google Scholar] [CrossRef]
- Young, W.S.; Kuan, W.F.; Epps, T.H. Block Copolymer Electrolytes for Rechargeable Lithium Batteries. J. Polym. Sci. Part B Polym. Phys. 2014, 52, 1–16. [Google Scholar] [CrossRef]
- Grim, B.J.; Green, M.D. Thermodynamics and Structure–Property Relationships of Charged Block Polymers. Macromol. Chem. Phys. 2022, 223, 2200036. [Google Scholar] [CrossRef]
- Rolland, J.; Brassinne, J.; Bourgeois, J.P.; Poggi, E.; Vlad, A.; Gohy, J.F. Chemically Anchored Liquid-PEO Based Block Copolymer Electrolytes for Solid-State Lithium-Ion Batteries. J. Mater. Chem. A 2014, 2, 11839–11846. [Google Scholar] [CrossRef]
- Sharon, D.; Bennington, P.; Webb, M.A.; Deng, C.; De Pablo, J.J.; Patel, S.N.; Nealey, P.F. Molecular Level Differences in Ionic Solvation and Transport Behavior in Ethylene Oxide-Based Homopolymer and Block Copolymer Electrolytes. J. Am. Chem. Soc. 2021, 143, 3180–3190. [Google Scholar] [CrossRef]
- Mauger, A.; Armand, M.; Julien, C.M.; Zaghib, K. Challenges and Issues Facing Lithium Metal for Solid-State Rechargeable Batteries. J. Power Sources 2017, 353, 333–342. [Google Scholar] [CrossRef]
- Teran, A.A.; Balsara, N.P. Thermodynamics of Block Copolymers with and without Salt. J. Phys. Chem. B 2014, 118, 4–17. [Google Scholar] [CrossRef]
- Gomez, E.D.; Panday, A.; Feng, E.H.; Chen, V.; Stone, G.M.; Minor, A.M.; Kisielowski, C.; Downing, K.H.; Borodin, O.; Smith, G.D.; et al. Effect of Ion Distribution on Conductivity of Block Copolymer Electrolytes. Nano Lett. 2009, 9, 1212–1216. [Google Scholar] [CrossRef] [PubMed]
- Cao, X.H.; Yang, J.L.; Wang, R.Y.; Zhang, X.H.; Xu, J.T. Microphase Separation of Poly(Propylene Monothiocarbonate)-b-Poly(Ethylene Oxide) Block Copolymers Induced by Differential Interactions with Salt. Polymer 2019, 180, 121745. [Google Scholar] [CrossRef]
- Cao, X.H.; Li, J.H.; Yang, M.J.; Yang, J.L.; Wang, R.Y.; Zhang, X.H.; Xu, J.T. Simultaneous Improvement of Ionic Conductivity and Mechanical Strength in Block Copolymer Electrolytes with Double Conductive Nanophases. Macromol. Rapid Commun. 2020, 41, 1900622. [Google Scholar] [CrossRef] [PubMed]
- Ye, Z.; Zhang, Z.K.; Ding, S.P.; Xia, D.L.; Xu, J.T. Salt Distribution, Phase Structure, and Conductivity of Poly(Ethylene Oxide)-block-Poly(N-Butyl Acrylate) Block Copolymer Electrolytes with Double Conductive Phases. ACS Appl. Polym. Mater. 2022, 5, 120–129. [Google Scholar] [CrossRef]
- Zhang, Z.K.; Ding, S.P.; Ye, Z.; Xia, D.L.; Xu, J.T. PEO-Based Block Copolymer Electrolytes Containing Double Conductive Phases with Improved Mechanical and Electrochemical Properties. Materials 2022, 15, 7930. [Google Scholar] [CrossRef] [PubMed]
- Makhlooghiazad, F.; O’dell, L.A.; Porcarelli, L.; Forsyth, C.; Quazi, N.; Asadi, M.; Hutt, O.; Mecerreyes, D.; Forsyth, M.; Pringle, J.M. Zwitterionic Materials with Disorder and Plasticity and Their Application as Non-Volatile Solid or Liquid Electrolytes. Nat. Mater. 2022, 21, 228–236. [Google Scholar] [CrossRef] [PubMed]
- Lu, F.; Gao, X.P.; Wu, A.L.; Sun, N.; Shi, L.J.; Zheng, L.Q. Lithium-Containing Zwitterionic Poly(Ionic Liquid)S as Polymer Electrolytes for Lithium-Ion Batteries. J. Phys. Chem. C 2017, 121, 17756–17763. [Google Scholar] [CrossRef]
- Sun, N.; Gao, X.P.; Wu, A.L.; Lu, F.; Zheng, L.Q. Mechanically Strong Ionogels Formed by Immobilizing Ionic Liquid in Polyzwitterion Networks. J. Mol. Liq. 2017, 248, 759–766. [Google Scholar] [CrossRef]
- Irfan, M.; Zhang, Y.L.; Yang, Z.H.; Su, J.H.; Zhang, W.X. Novel Conducting Solid Polymer Electrolytes with a Zwitterionic Structure Boosting Ionic Conductivity and Retarding Lithium Dendrite Formation. J. Mater. Chem. A 2021, 9, 22878–22891. [Google Scholar] [CrossRef]
- Laschewsky, A. Structures and Synthesis of Zwitterionic Polymers. Polymers 2014, 6, 1544–1601. [Google Scholar] [CrossRef]
- Blackman, L.D.; Gunatillake, P.A.; Cass, P.; Locock, K.E.S. An Introduction to Zwitterionic Polymer Behavior and Applications in Solution and at Surfaces. Chem. Soc. Rev. 2019, 48, 757–770. [Google Scholar] [CrossRef] [PubMed]
- Cardoso, J.; Huanosta, A.; Mañero, O. Ionic Conductivity Studies on Salt-Polyzwitterion Systems. Macromolecules 1991, 24, 2890–2895. [Google Scholar] [CrossRef]
- Jones, S.D.; Nguyen, H.; Richardson, P.M.; Chen, Y.Q.; Wyckoff, K.E.; Hawker, C.J.; Clement, R.J.; Fredrickson, G.H.; Segalman, R.A. Design of Polymeric Zwitterionic Solid Electrolytes with Superionic Lithium Transport. ACS Cent. Sci. 2022, 8, 169–175. [Google Scholar] [CrossRef] [PubMed]
- Wang, J.R.; Li, S.Q.; Zhao, Q.; Song, C.; Xue, Z.G. Structure Code for Advanced Polymer Electrolyte in Lithium-Ion Batteries. Adv. Funct. Mater. 2020, 31, 2008208. [Google Scholar] [CrossRef]
- Zhang, Z.; Nasrabadi, A.T.; Aryal, D.; Ganesan, V. Mechanisms of Ion Transport in Lithium Salt-Doped Polymeric Ionic Liquid Electrolytes. Macromolecules 2020, 53, 6995–7008. [Google Scholar] [CrossRef]
- Tiyapiboonchaiya, C.; Pringle, J.M.; Sun, J.; Byrne, N.; Howlett, P.C.; Macfarlane, D.R.; Forsyth, M. The Zwitterion Effect in High-Conductivity Polyelectrolyte Materials. Nat. Mater. 2004, 3, 29–32. [Google Scholar] [CrossRef] [PubMed]
- Yoshizawa-Fujita, M.; Ishii, J.; Takeoka, Y.; Rikukawa, M. Oligoether/Zwitterion Diblock Copolymers: Synthesis and Application as Cathode-Coating Material for Li Batteries. Polymers 2021, 13, 800. [Google Scholar] [CrossRef] [PubMed]
- Ding, S.P.; Zhang, Z.K.; Ye, Z.; Du, B.Y.; Xu, J.T. Fabrication of High χ-Low N Block Copolymers with Thermally Stable Sub-5 nm Microdomains Using Polyzwitterion as a Constituent Block. ACS Macro Lett. 2021, 10, 1321–1325. [Google Scholar] [CrossRef] [PubMed]
- Ding, S.P.; Zhang, Z.K.; Ye, Z.; Xia, D.L.; Xu, J.T. Electrostatic Crosslinking-Enabled Highly Asymmetric Lamellar Nanostructures of Polyzwitterionic Block Copolymers for Lithography. Nanoscale 2023, 15, 4553–4560. [Google Scholar] [CrossRef]
- Genest, A.; Portinha, D.; Pouget, E.; Lamnawar, K.; Ganachaud, F.; Fleury, E. Zwitterionic Silicone Materials Derived from Aza-Michael Reaction of Amino-Functional Pdms with Acrylic Acid. Macromol. Rapid Commun. 2021, 42, 2000372. [Google Scholar] [CrossRef]
- Wu, T.Y.; Beyer, F.L.; Brown, R.H.; Moore, R.B.; Long, T.E. Influence of Zwitterions on Thermomechanical Properties and Morphology of Acrylic Copolymers: Implications for Electroactive Applications. Macromolecules 2011, 44, 8056–8063. [Google Scholar] [CrossRef]
- Timachova, K.; Villaluenga, I.; Cirrincione, L.; Gobet, M.; Bhattacharya, R.; Jiang, X.; Newman, J.; Madsen, L.A.; Greenbaum, S.G.; Balsara, N.P. Anisotropic Ion Diffusion and Electrochemically Driven Transport in Nanostructured Block Copolymer Electrolytes. J. Phys. Chem. B 2018, 122, 1537–1544. [Google Scholar] [CrossRef]
- Sing, C.E.; Zwanikken, J.W.; Olvera De La Cruz, M. Electrostatic Control of Block Copolymer Morphology. Nat. Mater. 2014, 13, 694–698. [Google Scholar] [CrossRef] [PubMed]
- Leibler, L. Theory of Microphase Separation in Block Copolymers. Macromolecules 1980, 13, 1602–1617. [Google Scholar] [CrossRef]
- Wang, R.Y.; Zhang, Z.K.; Guo, X.S.; Cao, X.H.; Zhang, T.Y.; Tong, Z.Z.; Xu, J.T.; Du, B.Y.; Fan, Z.Q. Mechanistic Study of the Influence of Salt Species on the Lower Disorder-to-Order Transition Behavior of Poly(Ethylene Oxide)-b-Poly(Ionic Liquid)/Salt Hybrids. Macromolecules 2020, 53, 4560–4567. [Google Scholar] [CrossRef]
- Chintapalli, M.; Timachova, K.; Olson, K.R.; Mecham, S.J.; Desimone, J.M.; Balsara, N.P. Lithium Salt Distribution and Thermodynamics in Electrolytes Based on Short Perfluoropolyether-block-Poly(Ethylene Oxide) Copolymers. Macromolecules 2020, 53, 1142–1153. [Google Scholar] [CrossRef]
- Zhang, Z.K.; Ding, S.P.; Ye, Z.; Xia, D.L.; Xu, J.T. Thermodynamic Understanding the Phase Behavior of Fully Quaternized Poly(Ethylene Oxide)-b-Poly(4-Vinylpyridine) Block Copolymers. Polymer 2022, 254, 125045. [Google Scholar] [CrossRef]
- Kim, Y.W.; Lee, W.; Choi, B.K. Relation between Glass Transition and Melting of PEO–Salt. Electrochim. Acta 2000, 45, 1473–1477. [Google Scholar] [CrossRef]
- Clark, A.; Biswas, Y.; Taylor, M.E.; Asatekin, A.; Panzer, M.J.; Schick, C.; Cebe, P. Glass-Forming Ability of Polyzwitterions. Macromolecules 2021, 54, 10126–10134. [Google Scholar] [CrossRef]
- Zhang, X.Y.; Wang, A.X.; Liu, X.J.; Luo, J.Y. Dendrites in Lithium Metal Anodes: Suppression, Regulation, and Elimination. Acc. Chem. Res. 2019, 52, 3223–3232. [Google Scholar] [CrossRef]
- Huang, J.; Tong, Z.Z.; Zhou, B.; Xu, J.T.; Fan, Z.Q. Salt-Induced Microphase Separation in Poly(ε-Caprolactone)-b-Poly(Ethylene Oxide) Block Copolymer. Polymer 2013, 54, 3098–3106. [Google Scholar] [CrossRef]
- Chintapalli, M.; Chen, X.C.; Thelen, J.L.; Teran, A.A.; Wang, X.; Garetz, B.A.; Balsara, N.P. Effect of Grain Size on the Ionic Conductivity of a Block Copolymer Electrolyte. Macromolecules 2014, 47, 5424–5431. [Google Scholar] [CrossRef]
- Grundy, L.S.; Fu, S.; Galluzzo, M.D.; Balsara, N.P. The Effect of Annealing on the Grain Structure and Ionic Conductivity of Block Copolymer Electrolytes. Macromolecules 2022, 55, 10294–10301. [Google Scholar] [CrossRef]
- Lu, F.; Li, G.R.; Yu, Y.; Gao, X.P.; Zheng, L.Q.; Chen, Z.W. Zwitterionic Impetus on Single Lithium-Ion Conduction in Solid Polymer Electrolyte for All-Solid-State Lithium-Ion Batteries. Chem. Eng. J. 2020, 384, 123237. [Google Scholar] [CrossRef]
- Liu, Y.; Hou, L.; Jiao, Y.C.; Wu, P.Y. Decoupling of Mechanical Strength and Ionic Conductivity in Zwitterionic Elastomer Gel Electrolyte toward Safe Batteries. ACS Appl. Mater. Interfaces 2021, 13, 13319–13327. [Google Scholar] [CrossRef] [PubMed]
- Diederichsen, K.M.; Buss, H.G.; Mccloskey, B.D. The Compensation Effect in the Vogel–Tammann–Fulcher (VTF) Equation for Polymer-Based Electrolytes. Macromolecules 2017, 50, 3831–3840. [Google Scholar] [CrossRef]
- Gregory, G.L.; Gao, H.; Liu, B.; Gao, X.; Rees, G.J.; Pasta, M.; Bruce, P.G.; Williams, C.K. Buffering Volume Change in Solid-State Battery Composite Cathodes with CO2-Derived Block Polycarbonate Ethers. J. Am. Chem. Soc. 2022, 144, 17477–17486. [Google Scholar] [CrossRef]
- Yuan, R.; Teran, A.A.; Gurevitch, I.; Mullin, S.A.; Wanakule, N.S.; Balsara, N.P. Ionic Conductivity of Low Molecular Weight Block Copolymer Electrolytes. Macromolecules 2013, 46, 914–921. [Google Scholar] [CrossRef]
- Pesko, D.M.; Jung, Y.; Hasan, A.L.; Webb, M.A.; Coates, G.W.; Miller, T.F.; Balsara, N.P. Effect of Monomer Structure on Ionic Conductivity in a Systematic Set of Polyester Electrolytes. Solid State Ionics 2016, 289, 118–124. [Google Scholar] [CrossRef]







| Sample | Block N a | Mnb (kg·mol−1) | Ðc | f (%) of PVPS d | |
|---|---|---|---|---|---|
| PVPS | PEO | ||||
| PVPS3.1-b-PEO210-b-PVPS3.1 | 3.1 | 210 | 11,400 | 1.02 | 12.9 | 
| PVPS4.5-b-PEO210-b-PVPS4.5 | 4.5 | 210 | 12,000 | 1.02 | 17.5 | 
| PVPS6.2-b-PEO210-b-PVPS6.2 | 6.2 | 210 | 12,800 | 1.02 | 23.0 | 
| PVPS7.4-b-PEO210-b-PVPS7.4 | 7.4 | 210 | 13,300 | 1.02 | 26.1 | 
| Disclaimer/Publisher’s Note: The statements, opinions and data contained in all publications are solely those of the individual author(s) and contributor(s) and not of MDPI and/or the editor(s). MDPI and/or the editor(s) disclaim responsibility for any injury to people or property resulting from any ideas, methods, instructions or products referred to in the content. | 
© 2024 by the authors. Licensee MDPI, Basel, Switzerland. This article is an open access article distributed under the terms and conditions of the Creative Commons Attribution (CC BY) license (https://creativecommons.org/licenses/by/4.0/).
Share and Cite
Xia, D.-L.; Ding, S.-P.; Ye, Z.; Yang, C.; Xu, J.-T. Poly(ethylene oxide)- and Polyzwitterion-Based Thermoplastic Elastomers for Solid Electrolytes. Materials 2024, 17, 2145. https://doi.org/10.3390/ma17092145
Xia D-L, Ding S-P, Ye Z, Yang C, Xu J-T. Poly(ethylene oxide)- and Polyzwitterion-Based Thermoplastic Elastomers for Solid Electrolytes. Materials. 2024; 17(9):2145. https://doi.org/10.3390/ma17092145
Chicago/Turabian StyleXia, Ding-Li, Shi-Peng Ding, Ze Ye, Chen Yang, and Jun-Ting Xu. 2024. "Poly(ethylene oxide)- and Polyzwitterion-Based Thermoplastic Elastomers for Solid Electrolytes" Materials 17, no. 9: 2145. https://doi.org/10.3390/ma17092145
APA StyleXia, D.-L., Ding, S.-P., Ye, Z., Yang, C., & Xu, J.-T. (2024). Poly(ethylene oxide)- and Polyzwitterion-Based Thermoplastic Elastomers for Solid Electrolytes. Materials, 17(9), 2145. https://doi.org/10.3390/ma17092145
 
        



 
       